Изобретение относится к области радиоэкологического мониторинга и предназначено для идентификации бета-излучающих радионуклидов. Способ идентификации бета-излучающих радионуклидов включает предварительное однократное создание библиотеки фонов, создание библиотеки для данного жидкостного сцинтилляционного счетчика и данного коктейля для всех бета-излучающих радионуклидов, модельных спектров пробы ОРР при разных уровнях гашения в виде системы полиномов третьей степени параметров суммы кусочно-комбинированных функций и эффективности измерения в зависимости от гашения в виде экспоненциальной функции, измерение и запись спектра пробы и параметров измерения пробы, используя параметр гашения, полученный при измерении пробы, определяют коэффициенты вклада каждого библиотечного спектра изотопа в спектр измеряемой пробы. Способ идентификации бета-излучающих радионуклидов в пробе осуществляют с использованием жидкостного сцинтилляционного счетчика с автоматическим определением гашения, при этом используют всю энергетическую шкалу. По полученным коэффициентам вклада радионуклидов и библиотечным эффективностям измерения радионуклидов в зависимости от гашения вычисляют активность бета-излучающих радионуклидов. Изобретение позволяет увеличить чувствительность спектрометрического анализа. 1 ил.
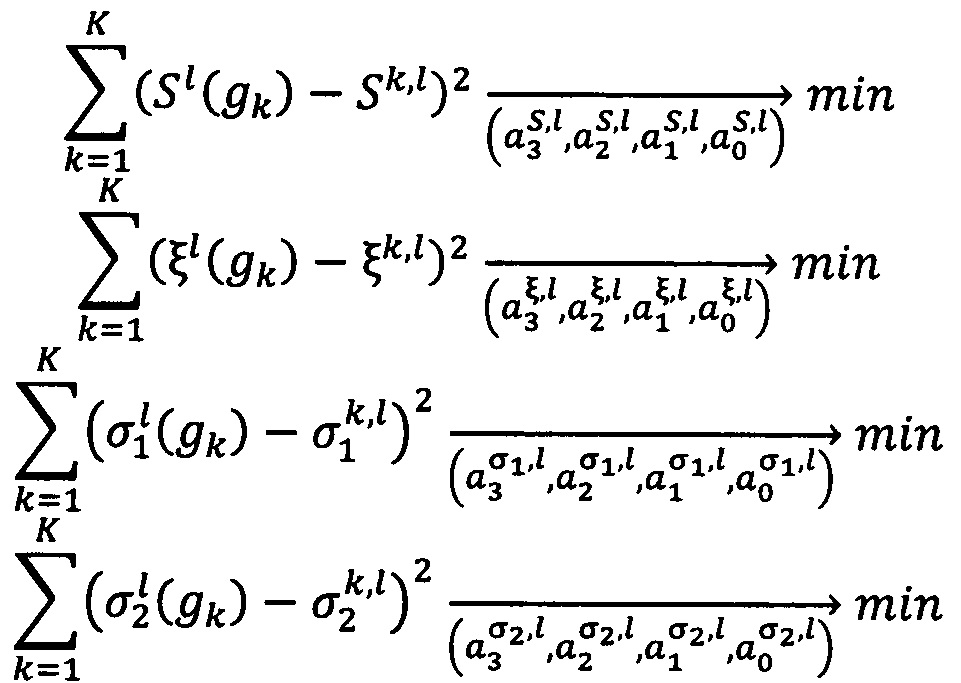
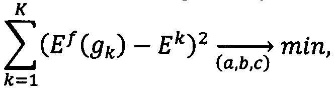
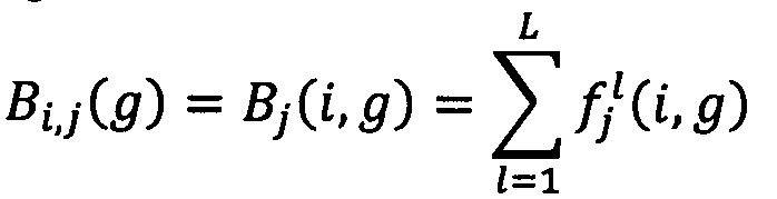
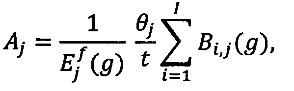
Способ идентификации бета-излучающих радионуклидов в пробах с использованием жидкостного сцинтилляционного счетчика, включающий предварительное однократное создание библиотеки скоростей набора фоновых проб, предварительное однократное создание библиотеки для данного жидкостного сцинтилляционного счетчика и данного коктейля для всех бета-излучающих радионуклидов, встречаемых в измеряемых пробах, модельных спектров пробы ОРР при разных уровнях гашения в виде системы полиномов третьей степени параметров суммы кусочно-комбинированных функций и эффективности измерения в зависимости от гашения в виде экспоненциальной функции, измерение и запись спектра пробы и параметров измерения пробы, минимизируя отклонение всех модельных спектров от спектра пробы, используя параметр гашения, полученный при измерении пробы, определяют коэффициенты вклада каждого библиотечного спектра радионуклида в спектр измеряемой пробы, по коэффициенту вклада и эффективности измерения в зависимости от гашения вычисляют активность бета-излучающих радионуклидов, отличающийся тем, что способ идентификации бета-излучающих радионуклидов в пробе осуществляют с использованием жидкостного сцинтилляционного счетчика с автоматическим определением гашения, при этом используют всю энергетическую шкалу, библиотечный спектр отдельного радионуклида описывают, используя формулу: где i - номер канала жидкостного сцинтилляционного счетчика, i∈I; k - номер уровня гашения, k∈K; I - множество всех каналов жидкостного сцинтилляционного счетчика; K - множество всех уровней гашения, выбирается из соображений достаточности для построения полиномов третьего порядка; l - номер энергетической линии отдельного радионуклида, l∈L; L - множество всех энергетических линий отдельного радионуклида; где gk - k-й уровень гашения: gk≡SQP(E)|k; SQP(E) - значение гашения, вычисляется автоматически при измерении ОРР или пробы методом определения спектрального параметра гашения внешнего стандарта (Spectral Quench Parameter of External standard); Sk,l - площадь пика, [имп.]; параметры где в библиотеке параметры кусочно-комбинированной функции изменения модельного спектра от уровня гашения хранятся в виде системы полиномов третьей степени: где функция эффективности измерения отдельного радионуклида в зависимости от гашения хранится в библиотеке и имеет вид: где а, b, с - параметры аппроксимации, параметры аппроксимации а, b, с вычисляются минимизацией функционала при построении библиотеки спектра отдельного радионуклида: где Ek - измеренное значение эффективности для k-го уровня гашения, k∈K, измеряется спектр фоновой пробы, приводится к скорости набора фоновой пробы F (набор счета в i-м канале, деленный на время набора фоновой пробы) и сохраняется в библиотеке скоростей набора фоновых проб: Fi,i∈I измеряется спектр пробы Р: Pi,i∈I из измеренного спектра пробы Р вычитается соответствующий коктейлю спектр фона (скорость набора фона из библиотеки скоростей набора фоновых проб, умноженную на время набора пробы): где t - время набора спектра пробы, [с], при измерении пробы или ОРР автоматически измеряется гашение пробы: g≡SQP(E)=const, при известном гашении пробы, измеренном автоматически при измерении пробы, происходит спектральная интерполяция образца спектра в виде актуализации библиотеки для измеренной пробы для всех радионуклидов из библиотеки, количество импульсов в i-м канале модельного спектра, актуализированный гашением g, для j-го радионуклида вычисляется следующим образом: где Bi,j(g) - актуализированный гашением g модельный спектр в i-м канале для j-го радионуклида; где оценка коэффициента вклада модельного спектра j-го радионуклида, актуализированного гашением g, находится путем минимизации функционала вида: где θj - коэффициенты вклада модельного спектра j-го радионуклида в спектр пробы; Bi,j(g) - количество импульсов в i-м канале модельного спектра, актуализированный гашением g, для j-го радионуклида, [имп.]; после дифференцирования тоже в матричном виде: В×θ=М решение находится в виде: θ=B-1×M активность j-го радионуклида вычисляется по формуле: где Aj - активность j-го радионуклида в пробе, [Бк]; t - время набора спектра пробы, [с];
- количество импульсов в i-м канале модельного спектра для k-го уровня гашения отдельного радионуклида;
- кусочно-комбинированная функция:
- абсцисса центра пика;
- параметры, определяющие форму пика,
l∈L кусочно-комбинированных функций
соответствующие k-му уровню гашения, вычисляются путем минимизации функционала:
- спектр ОРР отдельного радионуклида для k-го уровня гашения gk,
- параметры полиномов третьей степени вычисляются путем минимизации функционалов:




- кусочно-комбинированная функция:
- актуализированные гашением g параметры для l-м энергетической линии j-го радионуклида определяются из системы полиномов третьей степени, хранящейся в библиотеке модельных спектров,
- количество импульсов в i-м канале измеренного спектра пробы за вычетом соответствующего коктейлю спектра фона, [имп.],
уравнение минимизации функционала тождественно преобразуется в систему линейных уравнений:

- библиотечная эффективность измерения j-го радионуклида в зависимости от гашения g.
Изобретение относится к области радиоэкологического мониторинга, охране окружающей среды, индивидуального дозиметрического контроля работников и предназначено для определения бета-излучающих радионуклидов в пробах окружающей среды, в пробах биосубстратов, в технологических пробах в частности для бета-спектрометрического определения активности радионуклидов: Н-3 (тритий), K-40 (калий-40), Sr-90+Y-90 (стронций-90+иттрий-90). Известен способ идентификации альфа-излучающих радионуклидов в пробах с использованием жидкостного сцинтилляционного счетчика [1]. Способ включает отбор проб окружающей среды и технологических проб, обработку проб, подготовку проб для измерения на жидкостном сцинтилляционном счетчике, измерение и запись спектра пробы и параметров измерения, создание модельного спектра пробы, минимизацию отклонения модельного спектра от спектра пробы и определение содержания альфа-излучающих радионуклидов в пробе. При подготовке пробы предварительно определяют суммарную активность анализируемой пробы и энергетический интервал альфа-излучающих радионуклидов в пробе, а затем в пробу вводят раствор радионуклида в качестве внутреннего стандарта с определенной энергией и заданной активностью альфа-излучения, измеряют и записывают спектр альфа-излучения пробы, на основании результатов измерения спектра пробы, минимизируя отклонение модельного спектра от спектра пробы в области внутреннего стандарта, определяют параметры асимметричного распределения Гаусса, описывающего пик внутреннего стандарта, по этим параметрам, используя эмпирические формулы зависимостей параметров от гашения для энергии альфа-излучения внутреннего стандарта, определяют величину и тип гашения анализируемой пробы, по полученным значениям величины и типа гашения пробы, используя формулы зависимости параметров асимметричного распределения Гаусса от энергии и гашения и справочных данных по альфа-излучающим радионуклидам, составляют модельный спектр. Известный способ предназначен для альфа-излучающих радионуклидов, использует ограниченную часть энергетической шкалы, требует ввода в раствор радионуклида в качестве внутреннего стандарта, требует предварительного определения суммарной активности анализируемой пробы и предварительного определения энергетического интервала альфа-излучающих радионуклидов в пробе, минимизирует функционал, повторяя минимизацию в несколько этапов, на что затрачивает существенно большее время в сравнении с решением системы линейных уравнений, использует ассиметричное распределение Гаусса, которое вычислительно сложнее, чем кусочно-комбинированная функция, в которой нет корня квадратного из переменных. Кроме того, известен способ идентификации альфа-излучающих радионуклидов [2]. Способ включает отбор проб окружающей среды и технологических проб, обработку проб, подготовку проб для измерения, измерение и запись спектра пробы и параметров измерения, создания модельного спектра пробы, минимизацию отклонения модельного спектра от спектра пробы и определение содержания альфа-излучающих радионуклидов в пробе. При подготовке пробы предварительно определяют суммарную активность анализируемой пробы, затем в пробу вводят раствор радионуклида в качестве внутреннего стандарта с определенной энергией и заданной активностью альфа-излучения, измеряют и записывают спектр альфа-излучения пробы. На основании результатов измерения спектра пробы, минимизируя отклонение модельного спектра от спектра пробы в области внутреннего стандарта, определяют параметры асимметричного распределения Гаусса, описывающего пик внутреннего стандарта. Способ идентификации альфа-излучающих радионуклидов осуществляют с использованием полупроводникового спектрометра и используют всю энергетическую шкалу спектрометра. Известный способ предназначен для альфа-излучающих радионуклидов, требует ввода в раствор радионуклида в качестве внутреннего стандарта, требует предварительного определения суммарной активности анализируемой пробы, использует ассиметричное распределение Гаусса, которое вычислительно сложнее, чем кусочно-комбинированная функция, в которой нет корня квадратного из переменных. Наиболее близким к предлагаемому способу по технической сущности и достигаемому эффекту является способ идентификации радионуклидов в жидком сцинтилляционном образце [3], в котором измеряют спектр исследуемого образца, после чего для соответствующего уровня гашения из библиотеки базовых спектров отдельных радионуклидов для различных уровней гашения методом интерполяции и экстраполяции определяют нормированные модельные спектры отдельных радионуклидов. Далее методом наименьших квадратов минимизируют разницу между спектром образца Pi и суммой модельных спектров отдельных радионуклидов Mi,j, умноженных на коэффициенты cj, определяющие активность отдельных радионуклидов. Минимизируемое выражение при этом выглядит следующим образом: где i - номер канала анализатора, j - индекс радионуклида. Однако известный способ не регламентирует ни хранение, ни извлечение, ни спектральную интерполяцию образца спектра, хранящуюся в библиотеке, что может при неудачном выборе хранения или извлечения или интерполяции затруднить задачу нахождения активностей радионуклидов в пробе и увеличить время ее выполнения. Так же известный способ не указывает на правила обработки спектра фона. Задачей изобретения является корректное построение библиотеки модельных спектров, и как следствие, потенциальное увеличение чувствительности спектрометрического анализа. Использование системы полиномов третьей степени параметров суммы кусочно-комбинированных функций и библиотеки эффективностей измерения в зависимости от гашения и использование спектра фона улучшило точность определения активности радионуклидов в пробе. Замена минимизации, при решении методом наименьших квадратов, системой линейных уравнений и непосредственное решение системы линейных уравнений существенно ускорило вычисления и улучшило точность вычисления активности радионуклидов, так как предложенная система линейных уравнений является точным решением задачи поиска коэффициентов методом наименьших квадратов, в отличие от любого метода минимизации. Для выполнения задачи предложен способ идентификации бета-излучающих радионуклидов включающий предварительное однократное создание библиотеки скоростей набора фоновых проб, предварительное однократное создание библиотеки для данного жидкостного сцинтилляционного счетчика и данного коктейля для всех бета-излучающих радионуклидов, встречаемых в измеряемых пробах, модельных спектров проб образцовых радиоактивных растворов (ОРР) при разных уровнях гашения в виде системы полиномов третьей степени параметров суммы кусочно-комбинированных функций и эффективности измерения в зависимости от гашения в виде экспоненциальной функции, измерение и запись спектра пробы и параметров измерения пробы, минимизация отклонения всех модельных спектров от спектра пробы, используя параметр гашения, полученный при измерении пробы, определяются коэффициенты вклада каждого библиотечного спектра радионуклида в спектр измеряемой пробы. Способ идентификации бета-излучающих радионуклидов в пробе осуществляют с использованием жидкостного сцинтилляционного счетчика с автоматическим определением гашения, при этом используется вся энергетическая шкала. По полученным коэффициентам вклада радионуклидов и библиотечным эффективностям измерения радионуклидов в зависимости от гашения вычисляют активность бета-излучающих радионуклидов. Отличительными признаками заявленного способа является использование жидкостного сцинтилляционного счетчика с автоматическим определением гашения, использование всей энергетической шкалы, хранение модельных спектров в виде системы полиномов третьей степени параметров суммы кусочно-комбинированных функций от гашения и параметров функции эффективности измерения от гашения, замена минимизации, при решении методом наименьших квадратов, системой линейных уравнений и непосредственное решение системы линейных уравнений. I. Создание библиотеки модельных спектров Модельный спектр радионуклида - это аппроксимация спектра пробы образцового радиоактивного раствора (ОРР) данного радионуклида какой-либо функцией для данного жидкостного сцинтилляционного счетчика и данного коктейля. Библиотека состоит из функций изменения модельного спектра в зависимости от гашения, и эффективности измерения в зависимости от гашения. Для создание библиотеки для j-го радионуклида (j∈J) необходимо следующее: 1. Для занесения модельного спектра j-го радионуклида (далее в параграфах 1, 2, 3, 4 индекс j будет опускаться, так как все выкладки приводятся для одного радионуклида) в библиотеку для данного жидкостного сцинтилляционного счетчика и данного коктейля, необходимо получить спектры образцового радиоактивного раствора интересующего радионуклида для разных уровней гашения gk, k∈K. Для полученного спектра где J - множество всех радионуклидов; I - множество всех каналов жидкостного сцинтилляционного счетчика; L - множество всех энергетических линий j-го радионуклида; j - номер радионуклида; i - номер канала жидкостного сцинтилляционного счетчика; l - номер энергетической линии j-го радионуклида; k - номер уровня гашения; Mk - модельный спектр, [имп.]. Параметры 2. Построение функции изменения модельного спектра от уровня гашения в виде системы полиномов третьей степени - формула (4) (хранится в библиотеке): где g - уровень гашения: g≡SQP(E); SQP(E) - значение гашения, вычисляется автоматически при измерении пробы методом определения спектрального параметра гашения внешнего стандарта (Spectral Quench Parameter of External standard); Параметры полиномов где gk - k-й уровнь гашения: gk≡SQP(E)|k. 3. Построение функции эффективности измерения в зависимости от гашения, для этого вычисляется эффективность для k-ого уровня гашения: где tk - время набора спектра для k-ого уровня гашения, [с]; Sk - площадь спектра ОРР для k-ого уровня гашения, [имп.]; Должно выполняться равенство: 4. Построение функции изменения эффективности измерения от уровня гашения в виде экспоненциальной функции (8) (хранится в библиотеке): где a, b, с - параметры аппроксимации, параметры аппроксимации а, b, с вычисляются минимизацией функционала при построении библиотеки спектра отдельного радионуклида: 5. При вызове модельного спектра для j-го радионуклида для известного гашения g=const из библиотеки следует: где Bi,j(g) - актуализированный гашением g модельный спектр в j-м канале для j-го радионуклида (спектральная интерполяция образца спектра), [имп.]; II. Измерение пробы При измерении пробы: 1) измеряется спектр пробы Pi, i∈I, где i - номер канала анализатора; 2) автоматически измеряется гашение g≡SQP(E)=const. Из измеренного спектра пробы Pi, i∈I необходимо вычесть соответствующий коктейлю спектр фона (скорость набора фона Fi, i∈I из библиотеки скоростей набора фоновых проб, умноженную на время набора пробы): В данном изобретении используется библиотека скоростей набора фоновых проб, но эта библиотека может быть устроена идентично библиотеки спектров пробы ОРР при разных уровнях гашения, поэтому отдельного описания библиотеки скоростей набора фоновых проб не приводится. Имея модельные спектры j-го радионуклида Bi,j(g), i∈I, j∈J (9), и минимизируя функционал (13), получаем коэффициенты θj, j∈J вклада j-го радионуклида в спектр Р'. после дифференцирования Запишем (14) в матричном виде: Решение (15) имеет вид: Активность j-го радионуклида вычисляется по формуле: где: Aj - активность j-го радионуклида в пробе, [Бк]; t - время набора спектра пробы, [с]; θj - вклад j-го радионуклида в спектр Р'; Ej(g) - библиотечная эффективность измерения j-го радионуклида в зависимости от гашения g; Bi,j(g) - актуализированный гашением g модельный спектр в i-м канале для j-го радионуклида (спектральная интерполяция образца спектра), [имп.]. Пример осуществления способа Пример 1. Результат измерения пробы Q101004N.001 представленным способом приведен на Фиг. 1. Показано: график тонкой голубой линией - исходный спектр; тонкой красной линией - спектр за вычетом фона; тонкой желтой линией - вклад Sr-90+Y-90 в спектр пробы; тонкой зеленой линией - вклад K-40 в спектр пробы; толстая синяя линия - сумма радионуклидов Sr-90+Y-90+K-40, и в правом окне числовые значения: время измерения пробы, гашение пробы SQP(E) (Spectral Quench Parameter of External standard), суммарная по всем каналам активность фона, и для каждого радионуклида: скорость счета, эффективность регистрации, активность в образце, объемная активность. Техническая эффективность предложенного способа по сравнению с прототипом заключается в улучшении точности определения активности радионуклидов в пробе за счет учета спектра фона, в увеличении скорости определения активности радионуклидов в пробе за счет хранения модельного спектра в виде системы полиномов третьей степени параметров суммы кусочно-комбинированных функций и библиотеки эффективностей измерения в зависимости от гашения и замены минимизации при решении методом наименьших квадратов на систему линейных уравнений и непосредственное решение системы линейных уравнений, так как предложенная система линейных уравнений (14) является точным решением уравнения (13), в отличие от любого метода минимизации. Список использованной литературы 1. Патент RU 2191409, G01T 1/204, 1/36. 2. Патент RU 2267800, G01T 1/24, 1/36. 3. WO 199110922 А, 25.07.91.
соответствующего k-му уровню гашения, строим модельный спектр j-го радионуклида Mk в виде суперпозиции кусочно-комбинированных функций
с параметрами
l∈L для каждой l-й энергетической линии j-го радионуклида (не путать с асимметричным распределением Гаусса):
- площадь пика, [имп.];
- абсцисса центра пика;
- параметры, определяющие форму пика;
, l∈L кусочно-комбинированных функций
соответствующие k-му уровню гашения, вычисляются путем минимизации функционала:

вычисляются путем минимизации функционалов:

- активность ОРР введенная в пробу k-го уровня гашения, [Бк].



для l-й энергетической линии j-го радионуклида определены в (4), эффективность измерения Ej(g) для j-го радионуклида для известного гашения g=const определено в (8).

уравнение минимизации функционала (13) тождественно преобразуется в систему линейных уравнений:


