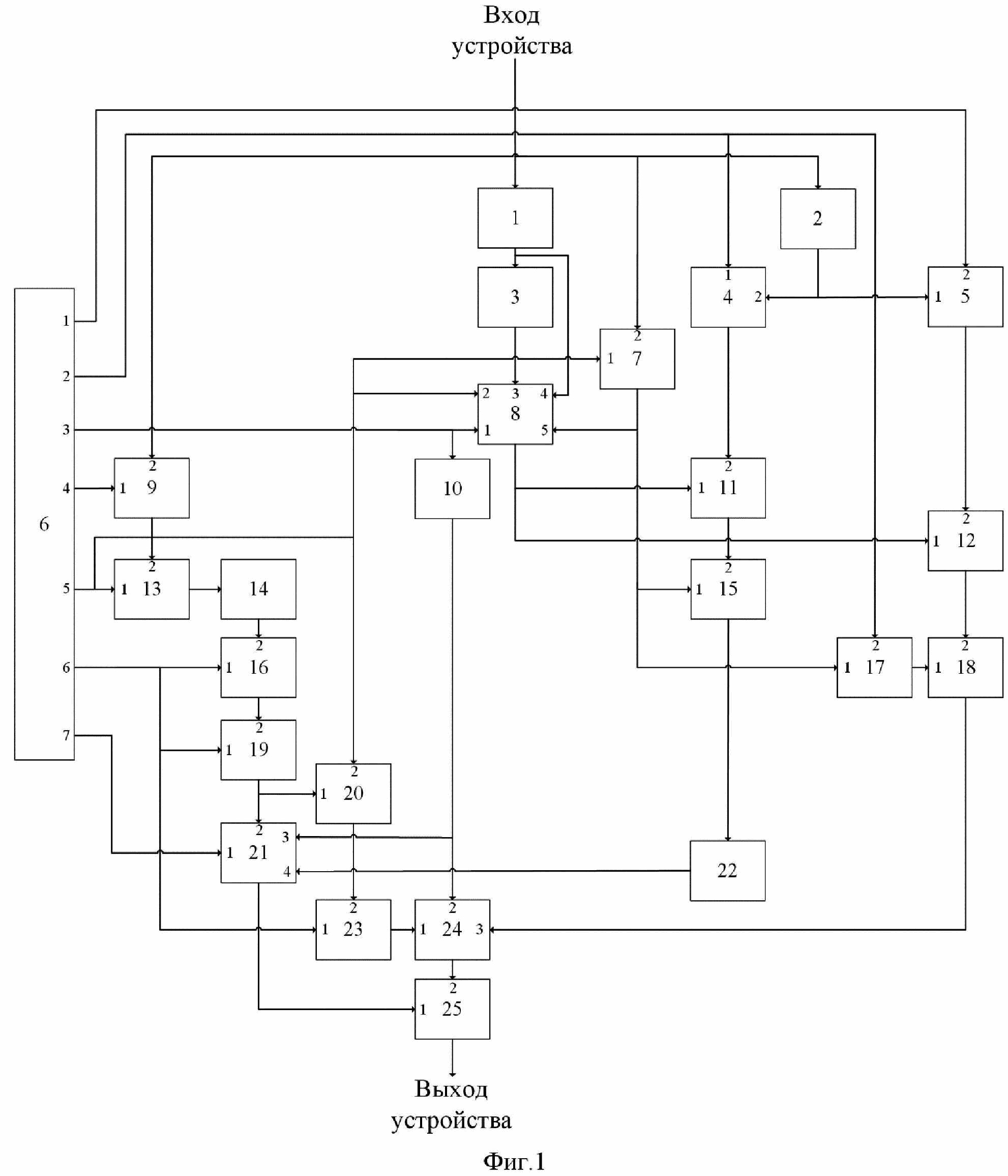
Изобретение относится к области радиоавтоматики и может быть использовано в радиотехнических устройствах и системах связи различного назначения для повышения стабильности частот и синхронизации приемной и передающей аппаратуры. Техническим результатом изобретения является снижение энергозатрат при фазовой синхронизации по критерию быстродействия за счет увеличения числа режимов функционирования. Он достигается за счет реализации устройства контура фазовой автоподстройки частоты с обратной связью на основе объединенного принципа максимума. Устройство синхронизации содержит блок формирования задержки 1; блоки формирования модуля 2, 3; блок хранения констант 6; блоки формирования произведения 4, 7, 8, 13, 17, 20, 21, 24; блоки формирования суммы 5, 9, 15, 16, 18, 23, 25; блок возведения в степень «-1» 10; блоки формирования отношения 11, 12, 19; блок формирования экспоненты 14; блок формирования функции sign 22. 3 ил.
Многорежимное устройство синхронизации с адаптацией, содержащее блок формирования суммы (9), со вторым входом которого соединен вход устройства, который соединен с входом блока формирования модуля (2), вторым входом блока формирования произведения (7) и входом блока формирования линии задержки (1), выход которого соединен с четвертым входом блока формирования произведения (8) и входом блока формирования модуля (3), выход которого соединен с третьим входом блока (8), выход которого соединен с первым входом блока формирования отношения (12) и первым входом блока формирования отношения (11), выход которого соединен со вторым входом блока формирования суммы (15), выход которого соединен с входом блока формирования функции sign (22), выход которого соединен с четвертым входом блока формирования произведения (21), выход которого соединен с первым входом блока формирования суммы (25), выход которого является выходом устройства, первый выход блока хранения констант (6) соединен со вторым входом блока формирования суммы (5), выход которого соединен со вторым входом блока (12), выход которого соединен со вторым входом блока формирования суммы (18), выход которого соединен с третьим входом блока формирования произведения (24), выход которого соединен со вторым входом блока (25), второй выход блока хранения констант (6) соединен со вторым входом блока формирования произведения (17) и с первым входом блока формирования произведения (4), выход которого соединен со вторым входом блока (11), третий выход блока хранения констант (6) соединен с первым входом блока (8) и входом блока формирования возведения в «-1» степень (10), выход которого соединен с третьим входом блока (21) и вторым входом блока (24), четвертый выход блока хранения констант (6) соединен с первым входом блока (9), выход которого соединен со вторым входом блока формирования произведения (13), выход которого соединен с входом блока формирования экспоненты (14), выход которого соединен со вторым входом блока формирования суммы (16), выход которого соединен со вторым входом блока формирования отношения (19), выход которого соединен с первым входом блока формирования произведения (20) и вторым входом блока (21), пятый выход блока хранения констант (6) соединен с первым входом блока (13), вторым входом блока (20), вторым входом блока (18) и первым входом блока формирования произведения (7), выход которого соединен с пятым входом блока (8), с первым входом блока (15) и первым входом блока формирования произведения (17), выход которого соединен с первым входом блока (18), шестой выход блока хранения констант (6) соединен с первым входом блока (16), первым входом блока (19) и первым входом блока формирования суммы (23), выход которого соединен с первым входом блока (24), выход семь блока (6) соединен с первым входом блока (21), выход блока (2) соединен со вторым входом блока (4) и первым входом блока (5), выход блока (20) соединен со вторым входом блока (23).
Изобретение относится к области радиоавтоматики и может быть использовано в радиотехнических устройствах и системах связи различного назначения для повышения стабильности частот и синхронизации приемной и передающей аппаратуры. Известны различные модификации устройств контуров фазовой автоподстройки частоты (ФАПЧ). Все они представляет собой следящую систему автоматического регулирования с одним «входом», одним «выходом» и однопетлевой обратной связью, где объектом регулирования является подстраиваемый генератор. При построении таких систем основное внимание уделяют решению проблемы определения условий устойчивости требуемого режима, а также качественных характеристик процесса его установления. Наиболее близким по технической сущности к заявленному изобретению является устройство фазовой автоподстройки частоты (ФАПЧ) [Патент RU № 2547635, МПК H03L 7/06, опубл. 10.04.2015], где ЭГ – эталонный генератор, УЭ – управляющий элемент, ПГ – подстраиваемый генератор, ФД – фазовый детектор, ФНЧ – фильтр нижних частот. Недостаток прототипа – один релейный режим функционирования, который требует высоких энергетических затрат на синхронизацию. Технической задачей изобретения является снижение энергозатрат при фазовой синхронизации по критерию быстродействия за счет увеличение числа режимов функционирования. Указанная техническая задача достигается за счет реализации устройства контура фазовой автоподстройки частоты с обратной связью на основе объединенного принципа максимума. На Фиг. 1 изображена схема многорежимного устройства синхронизации с адаптацией. На Фиг. 2, 3 представлены результаты математического моделирования. Устройство синхронизации содержит блок формирования задержки 1; блоки формирования модуля 2, 3; блок хранения констант 6; блоки формирования произведения 4, 7, 8, 13, 17, 20, 21, 24; блоки формирования суммы 5, 9, 15, 16, 18, 23, 25; блок возведения в степень «-1» 10; блоки формирования отношения 11, 12, 19; блок формирования экспоненты 14; блок формирования функции sign 22. Результаты математического моделирования приведены на фигурах 2, 3, где сплошной линией обозначены кривые, соответствующие управлению (6) с функциями принадлежности (7), пунктирной линией кривые, соответствующие оптимальному решению Л.С. Понтрягина, а точками кривые, соответствующие управлению (6) с функциями принадлежности (8). Сущность изобретения поясняется чертежом, где на фиг. 1, представлено устройство контура фазовой автоподстройки частоты с обратной связью на основе объединенного принципа максимума, при этом вход устройства соединен со вторым входом блока 9 формирования суммы, со входом блока 2 формирования модуля, вторым входом блока 7 формирования произведения и входом блока 1 формирования линии задержки, выход которого соединен с четвертым входом блока 8 формирования произведения и входом блока 3 формирования модуля, выход которого соединен с третьим входом блока 8, выход которого соединен с первым входом блока 12 формирования отношения и первым входом блока 11 формирования отношения, выход которого соединен со вторым входом блока 15 формирования суммы, выход которого соединен со входом блока 22 формирования функции sign, выход которого соединен с четвертым входом блока 21 формирования произведения, выход которого соединен с первым входом блока 25 формирования суммы, выход которого является выходом устройства, первый выход блока 6 хранения констант соединен со вторым входом блока 5 формирования суммы, выход которого соединен со вторым входом блока 12, выход которого соединен со вторым входом блока 18 формирования суммы, выход которого соединен с третьим входом блока 24 формирования произведения, выход которого соединен со вторым входом блока 25, второй выход блока 6 соединен со вторым входом блока 17 формирования произведения и с первым входом блока 4 формирования произведения, выход которого соединен со вторым входом блока 11, третий выход блока 6 соединен с первым входом блока 8 и входом блока 10 формирования возведения в «-1» степень, выход которого соединен с третьим входом блока 21 и вторым входом блока 24, четвертый выход блока 6 соединен с первым входом блока 9, выход которого соединен со вторым входом блока 13 формирования произведения, выход которого соединен со входом блока 14 формирования экспоненты, выход которого соединен со вторым входом блока 16 формирования суммы, выход которого соединен со вторым входом блока 19 формирования отношения, выход которого соединен с первым входом блока 20 формирования произведения и вторым входом блока 21, пятый выход блока 6 соединен с первым входом блока 13, вторым входом блока 20, вторым входом блока 8 и первым входом блока 7 формирования произведения, выход которого соединен с пятым входом блока 8, с первым входом блока 15 и первым входом блока 17 формирования произведения, выход которого соединен с первым входом блока 18, шестой выход блока 6 соединен с первым входом блока 16, первым входом блока 19 и первым входом блока 23 формирования суммы, выход которого соединен с первым входом блока 24, выход семь блока 6 соединен с первым входом блока 21, выход блока 2 соединен со вторым входом блока 4 и первым входом блока 5, выход блока 20 соединен со вторым входом блока 23. Работа устройства поясняется выражением: где μ1',μ2'–такие функции принадлежности, что при удалении от терминальной точки μ1'уменьшается, а μ2' увеличивается, Устройство работает следующим образом: В момент времени Пример. Рассматривается заданная с точностью до обратной связи система ФАПЧ Требуется синтезировать ФАПЧ из условия минимума целевого функционала при ограничении Использование условий максимума функции обобщенной мощности позволяет получить квазиоптимальное решение задачи синтеза [1 - 4] на границе области допустимых управлений и внутри где Предлагается структура нечеткого управления [7] где Для сравнения выбраны варианты функций принадлежности [5]: и Анализ представленных результатов позволяет сделать вывод о том, что применение синтезированной ФАПЧ с двумя режимами функционирования позволяет избежать режима с учащающимися переключениями и обеспечивает время достижения терминальной точки, совпадающее в пределах выбранного масштаба рассмотрения с оптимальным. Расчеты показывают, что полученный результат исключает режим учащающихся переключений при снижении быстродействия на 0,4% в сравнении с классическим решением Л.С. Понтрягина, что подтверждает его близость к оптимальному. Результаты, приведенные в примере, позволяют сделать заключение о достижении заявленного технического результата. Литература 1. Патент РФ № 2013151702/08. Устройство контура фазовой автоподстройки частоты с обратной связью на основе объединенного принципа максимума // Патент России № 2547635. 2015. Бюл. № 10. / Андрашитов Д.С., Костоглотов А.А., Лазаренко С.В. [и др.]. 2 A.A. Kostoglotov, S.V. Lazarenko. Synthesis of Adaptive Tracking Systems Based on the Hypothesis of Stationarity of the Hamiltonian on the Switching Hypersurface. Journal of Communications Technology and Electronics. 62, 123-127 (2017) 2. A.A. Kostoglotov, A.I. Kostoglotov, S.V. Lazarenko. Joint Maximum Principle in the Problem of Synthesizing an Optimal Control of Nonlinear Systems. Automatic Control and Computer Sciences. 41, 274 – 281 (2007) 3. A. Kostoglotov, S. Lazarenko, I. Derabkin, A. Kuzin, I. Pugachev, O. Manaenkova. Fuzzy Control Laws in the Basis of Solutions of Synthesis Problems of the Combined Maximum Principle. Advances in Intelligent Systems and Computing. 679, 321 – 329 (2017) 4. A.A. Kostoglotov, S.V. Lazarenko, D.S. Andrashitov, I.V. Deryabkin. Synthesis of Phase-locked Loop System Structure with Adaptation Based on Combined-maximum Principle. MATEC Web of Conference. 77, 15002, 1 – 4 (2016) 5. S.A. Orlovskij. The problem of decision making with fuzzy initial information (Nauka, Moscow 1981). 











































