Изобретение относится к области медицины и может быть использовано для диагностики и терапии в урологии при заболевании почек. Предложен способ дифференциальной диагностики форм пиелонефрита и оценки степени их тяжести, заключающийся в проведении лабораторных исследований крови, определяются показатели оксидантного статуса крови в составе признаков: малоновый диальдегид – X, ацилгидроперекись – X, супероксиддисмультаза – X, каталаза – Х, цитокиновый спектр плазмы крови в составе признаков: IFNα – X, IL – Iα – X, IL – 6 – X, IL – 8 – X; IFNα- X; IL – 10 – X; IL – IRA – X; функционально-метаболическая активность нейтрофилов периферической крови в составе признаков: активность и интенсивность фагоцитоза Х, активность кислородозависимых систем – Х, по которым определяются функции принадлежности к классам серозный пиелонефритгнойный пиелонефрити класс переходной формы из серозного в гнойный пиелонефрит. Далее по величине функций принадлежности определяются уверенности в серозном пиелонефрите (US), в гнойном пиелонефрите (UG) и в переходном классе состояний (UP) с использованием итерационных формул. Изобретение обеспечивает повышение качества дифференциальной диагностики форм пиелонефрита с возможностью количественной оценки степени тяжести протекания его острых форм.
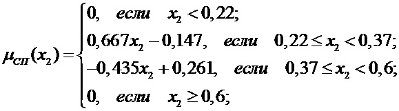
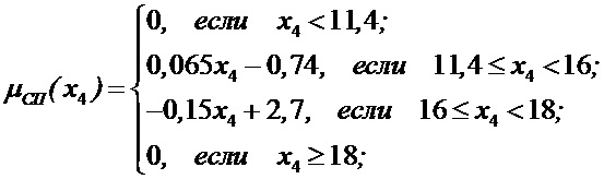
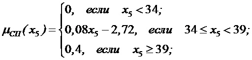
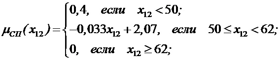
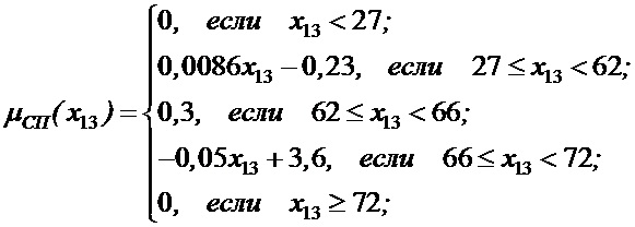
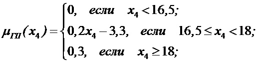
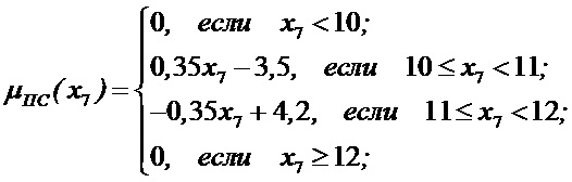
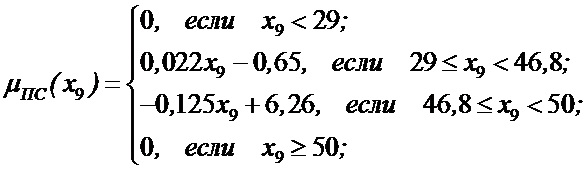
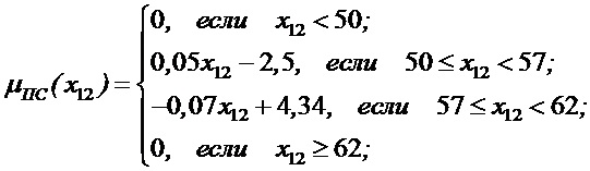
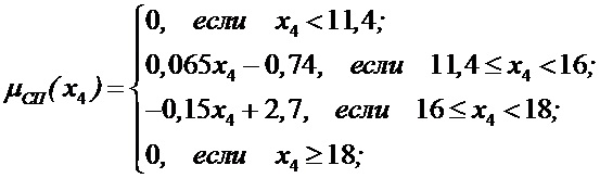
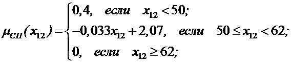
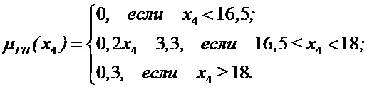
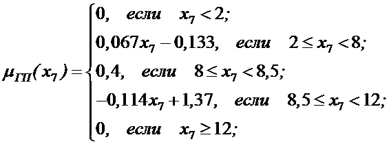
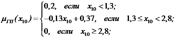
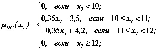
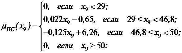
Способ дифференциальной диагностики форм пиелонефрита и оценки степени их тяжести, заключающийся в проведении лабораторных исследований крови, отличающийся тем, что определяются показатели оксидантного статуса крови в составе признаков: малоновый диальдегид – X1, ацилгидроперекись – X2, супероксиддисмультаза – X3, каталаза – Х4, цитокиновый спектр плазмы крови в составе признаков: IFNα – X5, IL – Iα – X6, IL – 6 – X7, IL – 8 – X8; IFNα- X9; IL – 10 – X10; IL – IRA – X11; функционально-метаболическая активность нейтрофилов периферической крови в составе признаков: активность и интенсивность фагоцитоза Х12, активность кислородозависимых систем – Х13, по которым определяются функции принадлежности к классам серозный пиелонефрит для класса гнойный пиелонефрит (µСП) функции принадлежности имеют вид: и для переходного класса µПС функции принадлежности описываются выражениями: при этом решение о классификации где где при этом степень тяжести форм пиелонефрита определяется непрерывной шкалой от 0 до 1, причем нулю соответствует легкая степень, а единица – самая тяжелая ее степень.






































































Изобретение относится к области медицины и может быть использовано для диагностики и терапии в урологии при заболевании почек. Заболеваемость пиелонефритом в течение последних лет неуклонно увеличивается. Часто наблюдается атипичное течение пиелонефрита. Несмотря на высокоинформативные методы диагностики, применяемые при выявлении пиелонефрита дифференциальная диагностика серозных и гнойных форм пиелонефрита остается плохо решаемой проблемой. Многочисленные исследования и опыт практической медицины свидетельствуют о том, что показатели иммунного и оксидантного статуса больных пиелонефритом могут служить информативными тестами для оценки формы пиелонефрита, прогноза течения и эффективности лечения. Однако многочисленность показателей и их неоднозначная трактовка при различных формах пиелонефрита затрудняют оценку показателей и снижают их диагностическую надежность. Известные способы выделения различных форм пиелонефрита при ограниченном числе показателей не обеспечивают приемлемых для практики показателей чувствительности и(или) специфичности исходя из известных проблем дифференциальной диагностики форм пиелонефрита и оценки степени тяжести. Проблема поиска адекватных способов диагностики и оценки степени тяжести пиелонефрита является актуальной задачей. Известны широко распространенные в клинической практике способы лабораторной диагностики пиелонефрита, включающие определение C-реактивного белка, острофазных белков (а именно средних молекул), скорости оседания эритроцитов (Wu T.T., Lee Y.H., Tzeng W.S., Chen W.C., Yu C.C., Huang J.K. The role of C-reactive protein and erythrocyte sedimentation rate in the diagnosis of infected hydronephrosis and pyonephrosis. J Urol. 1994, Jul 152:126-8; Лопаткин Н.А. с соавт. Урология: Учебник. М.: Медицина, 1995, с.199; Маршал В.Д. Клиническая биохимия. / Пер. с англ. – СПб: Невский Диалект, 1999). Известны способы диагностики острого гнойного пиелонефрита по уровню острофазных белков – C-реактивного белка, гаптоглобина, орозомукоида, мукопротеина, альфа-2-макроглобулина (Бугаев Я.В, Патогенетическое обоснование и клиническое применение щадящего хирургического метода в комплексном лечении детей с острыми гнойными пиелонефритами (экспериментально-клиническое исследование). – Автореф. канд. дисс. Омск, 2005; Кубарев Д.В. Электрогидравлическое воздействие при хирургическом лечении больных с очаговыми гнойно-деструктивными заболеваниями почек (экспериментально-клиническое исследование). Автореф. канд. дисс. Омск, 2011). Известна методика определения мочевой кислоты в крови больных (Otetea C., Manginca M., Costesen R. Dozdred spectrofotometrica a acuduli uric in serue sangium prih absatic spectrica ed 290 nm. Cemiscara med., 1976, v.21, №2, p.90-94). Недостатком перечисленных способов является то, что они мало эффективны при диагностике острых форм пиелонефрита, не обеспечивают надежного разделения серозного и гнойного пиелонефритов и не дают количественной оценки степени тяжести этой патологии. Известен способ диагностики различных форм острого пиелонефрита (патент №2478968, Рейс Борис Альбертович (RU), Полуэктов Владимир Леонидович (RU), Морозов Сергей Валентинович (RU), Рейс Альберт Борисович (RU), публикация патента 10.04.2013). Этот способ заключается в том, что в крови больного определяют содержание мочевой кислоты и при ее уровне 1,62-1,91 ммоль/л диагностируют острый серозный пиелонефрит, а при уровне свыше 1,91 ммоль/л – острый гнойный пиелонефрит. Однако, известный способ обладает низкой специфичностью, поскольку изменение мочевой кислоты характерно для целого ряда заболеваний, что снижает его диагностическую ценность при пиелонефрите. Кроме того, использование этого способа не позволяет дать комплексную оценку степени тяжести заболевания. В качестве ближайшего аналога принят способ дифференциальной диагностики острого гнойного пиелонефрита и острого серозного пиелонефрита, описанный в работе М.Н. Шатохин, И.М. Холименко, А.И. Конопля, О.И. Братчиков, В.П. Гаврилюк, А.В. Краснов, М.Ю. Маврин Математическая оценка диагностической информативности лабораторных показателей при серозном и гнойном пиелонефрите / Экспериментальная и клиническая урология, 2016, №4, с.104-110. Сущность этого способа заключается в том, что у пациента измеряются показатели на основе СПЗ и КИФ: уровень бела в моче на основе общего анализа мочи (СПЗ – 0,82 и КИФ – 0,70), суточное количество белка, выделяемого с мочой (СПЗ – 0,35 и 0,74), ЧДД (СПЗ – 0,32 и КИФ – 0,38), уровень ФНО (СПЗ – 0,72 и КИФ – 0,70). Наличие у больного с острым пиелонефритом в общем анализе мочи белка 1,1 г/л и более; выделение с мочой белка за сутки более 0,51 г; учащение ЧДД до 25 и более в минуту и уровень в плазме крови ФНО 10,0-20,0 пкг/мл с 96% вероятностью позволяет утверждать, что у пациента имеет место острый гнойный пиелонефрит, требующий активной хирургической тактики. Наличие в общем анализе мочи 0,033 и менее г/л белка, выделение с мочой за сутки менее 0,05 г белка, ЧДД менее 20 в минуту и уровень в плазме крови ФНО 32,0 пкг/мл и более с аналогичной вероятностью могут свидетельствовать об остром серозном пиелонефрите, для лечения которого необходимо проводить консервативную фармакотерапию. Недостатки данного способа дифференциальной диагностики острого гнойного и серозного пиелонефрита обусловлены следующими обстоятельствами. 1. Предлагаемый способ осуществляет дифференциальную диагностику с большой (выше 60%) зоной неопределенности по каждому из признаков, например, в общем анализе мочи белка зона неопределенности затмевает интервал от 0,033 г/л до 1,1 г/л. Аналогичные зоны наблюдаются по остальным признакам. Это обстоятельство снижает качество принимаемых решений. 2. Выбранный нейросетевой механизм принятия решений не обеспечивает возможность количественной оценки степени тяжести протекания острого пиелонефрита с требуемой для медицинской практики точностью, что снижает функциональные возможности способа. Технической задачей предлагаемого способа является повышение качества дифференциальной диагностики форм пиелонефрита с возможностью количественной оценки степени тяжести протекания его острых форм. Сущность изобретения состоит в том, что в способе дифференциальной диагностики форм пиелонефрита и оценки степени их тяжести общеизвестными методами лабораторного анализа определяются показатели оксидантного статуса крови в составе признаков: малоновый диальдегид – X1, ацилгидроперекись – X2, супероксиддисмультаза – X3, каталаза – Х4, цитокиновый спектр плазмы крови в составе признаков: IFNα – X5, IL – Iα – X6, IL – 6 – X7, IL – 8 – X8; IFNα- X9; IL – 10 – X10; IL – IRA – X11; функционально-метаболическая активность нейтрофилов периферической крови в составе признаков: активность и интенсивность фагоцитоза Х12, активность кислородозависимых систем – Х13. На экспертном уровне определены три формы пиелонефрита, для которых строятся математические модели дифференциальной диагностики: класс С использованием интерактивных процедур, сочетающих технологию экспертного оценивания Делфи и процедур, минимизирующих прогностические ошибки, определяются функции принадлежности к выбранным классам состояний (формам): µСП( Методики построения функций принадлежности и способы их агрегации в прогностические и диагностические решающие правила подробно описаны в работах: Кореневский Н.А. Оценка и управление состоянием здоровья обучающихся на основе гибридных интеллектуальных технологий: монография / Н.А. Кореневский, А.Н. Шуткин, С.А. Горбатенко, В.И. Серебровский. – Старый Оскол: ТНТ, 2016. – 472 с.; Кореневский Н.А. Использование нечеткой логики принятия решений для медицинских экспертных систем. Медицинская техника. – 2015. - №1(289). – С. 33-35.; Кореневский Н.А. Метод синтеза гетерогенных нечетких правил для анализа и управления состоянием биотехнических систем. Известия Юго-Западного государственного университета. Серия: Управление, вычислительная техника, информатика. Медицинское приборостроение. – 2013. - №2. – С. 99-103. По классу серозный пиелонефрит (класс µСП) функции принадлежности описываются следующими выражениями: Для класса гнойный пиелонефрит (µСП) функции принадлежности имеют вид: Для переходного класса µПС функции принадлежности описываются выражениями: Агрегация функций принадлежности в классификационные решающие правила определения уверенности в серозном пиелонефрите (US), в гнойном пиелонефрите (UG) и в переходном классе состояний (UP) осуществляется с использованием итерационных формул вида: где US(i), UG(i), UP(i) – уверенность в наличии серозной, гнойной и переходной форм пиелонефрита при использовании признаков до номера i включительно; Решение о классификации где При равенстве показателей US, UG и UP решение принимается по приоритету в следующей последовательности UG, US, UP. Для оценки степени тяжести определенных форм пиелонефрита используются величины US, UG или UP (в зависимости от того, какое решение было принято с использованием модели (4)). Кроме того в соответствии с методикой, описанной в работах Кореневский Н.А. Комплексная оценка уровня психоэмоционального напряжения / Кореневский Н.А., Филатова О.И., Лукашов М.И., Крупчатников Р.А. // Биомедицинская радиоэлектроника. 2009. №5. С. 4-9., Кореневский Н.А. Оценка и управление состоянием здоровья обучающихся на основе гибридных интеллектуальных технологий: монография / Н.А. Кореневский, А.Н. Шуткин, С.А. Горбатенко, В.И. Серебровский. – Старый Оскол: ТНТ, 2016. – 472 с. определяется уровень психоэмоционального напряжения YP, по методике, описанной в работе Быков А.В. Метод и нечеткая модель оценки степени тяжести ишемической болезни центральной гемодинамической системы / Вестник новых медицинских технологий, том 24, №4, 2017. С.144-150 определяется степень тяжести ишемического поражения центральной гемодинамической системы STC, с использованием известных методик определяется реографический индекс (РИ) в проекции почек и сатурация крови (S). Используя показатели US, UG, YP, STC, РИ и S как базовые переменные определяются функции принадлежности к лингвистической переменной степень тяжести пиелонефрита: Аналитически этот набор функций принадлежности описывается выражениями: Расчет степени тяжести серозного STS, гнойного STG пиелонефрита или его переходной формы STP осуществляется продукционными правилами типа где СП – серозный пиелонефрит; ГП – гнойный пиелонефрит; ПС – переходная форма пиелонефрита. Классификация (определение Показатели STS, STG и STP вычисляются по итерационным правилам типа: где Степень тяжести форм пиелонефрита определяется непрерывной шкалой от 0 до 1, причем нулю соответствует легкая степень, а единица – самая тяжелая ее степень. По желанию медицинских пользователей эта шкала может быть подразделена на различные степени тяжести, например, легкая, средняя, тяжелая, очень тяжелая и т.д. Конкретные примеры реализации способа. Пациент А. Расчетные значения функций принадлежности: Расчетные значения уверенностей: Заключение: У пациента А пиелонефрит не наблюдается. Расчет степени тяжести пиелонефрита не требуется. Пациент Б. Расчетные значения функций принадлежности: Расчетные значения уверенностей: Заключение: У пациента Б серозная форма пиелонефрита. Степень тяжести заболевания по показателю Пациент В. Расчетные значения функций принадлежности: Расчетные значения уверенностей: Решение о классификации: Результат: С уверенностью 0,98 пациент В находится в переходной форме пиелонефрита. По величине Пациент Г. Расчетные значения функций принадлежности: Расчетные значения уверенностей: Значения 










































; (1) ; (2) ; (3) 



, (4) 













; (5) ; (6) , (7) 
; (8) 
, (10) 








































































































































































