Изобретение относится к области детекторов электромагнитного излучения в терагерцовом диапазоне частот с использованием нелинейного плазменного отклика двумерной электронной системы. Сущность изобретения: детектор на основе графена, содержащий нелинейный элемент на наноструктуре с двумерной системой, при этом в качестве двумерного проводящего слоя используется высокоподвижный графен с реализацией нелинейного элемента в виде асимметричных проводящих затворов, с использованием туннельного эффекта, при помощи использования контактной разности потенциалов. Технический результат изобретения заключается в увеличении чувствительности и быстродействия, благодаря рекордной для двумерных систем подвижности в графене при комнатной температуре, что позволяет эффективнее возбуждать релятивистские плазменные возбуждения в двумерной электронной системе. 5 ил.
Детектор субтерагерцового излучения на основе графена, включающий двумерную электронную систему, выпрямляющий нелинейный элемент и измерительную схему, отличающийся тем, что в качестве двумерного проводящего слоя используется высокоподвижный графен с реализацией нелинейного элемента в виде асимметричных проводящих затворов, с использованием туннельного эффекта, при помощи использования контактной разности потенциалов.
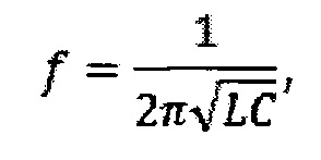
Изобретение относится к области детекторов электромагнитного излучения в терагерцовом диапазоне частот (0.1 ТГц - 1 ТГц) с использованием нелинейного плазменного отклика двумерной электронной системы в углеродном монослое (графене). Создание компактных быстродействующих матричных детекторов в субтерагерцовом и терагерцовом частотных диапазонах является актуальной научной задачей. Технологии детектирования в данном диапазоне еще далеки от совершенства и имеют множество недостатков. Применение графена для изготовления таких детекторов поможет решить проблему недостаточной чувствительности существующих аналогов, сохраняя при этом все их достоинства. Изобретение может быть применено для визуализации пространственного распределения мощности терагерцового излучения. Потенциальные области применения: неинвазивный контроль качества и дефектоскопия различной продукции, фармацевтика, медицина, пищевая и агротехническая промышленность. Известен детектор терагерцового излучения, основанный на графене. Устройство представляет собой планарную антенну, в центре которой расположена графеновая гетероструктура. Принцип работы устройства основывается на детектировании изменения температуры, возникающего за счет поглощения образцом электромагнитного излучения. Измерение температуры производится транспортной методикой, путем измерения Джонсоновского теплового шума или термосопротивления. В связи с низкой плотностью состояний, графен обладает низкой теплоемкостью, что позволяет повысить чувствительность и время отклика устройства. Слабое при низких температурах электрон-фононное взаимодействие приводит к низкой теплопроводности, что также повышает чувствительность устройства. Однако это также приводит к слабой зависимости сопротивления от температуры, что представляет собой главную проблему таких устройств. Существующий прототип болометра работает при 0.1 K, а его шумовая эквивалентная мощность при этом достигает 5*10-20 Вт/Гц1/2 при измерении сопротивления, или 1.2*10-19 Вт/Гц1/2 при измерении Джонсоновского шума (Xu Du, Daniel Е. Prober, Heli Vora, Christopher В. Mckitterick. Graphene and 2D materials, Volume 1, Issue 1, ISSN 2299-3134, DOI: 10.2478/gpe-2014-0001, 2014). Известен еще один детектор терагерцового излучения на основе графена. Изобретение представляет собой графеновые микроленты, сформированные на SiC подложке. Микроленты находятся в контакте с массивом биметаллических электродных линий. Принцип работы устройства основывается на детектировании фотосигнала, усиленного генерируемыми за счет падающего перпендикулярно электродным линиям излучения плазменными волнами. Генерация плазменных возбуждений в терагерцовом частотном диапазоне осуществляется за счет специально подобранного угла между графеновыми лентами и электродными линиями. Частоту плазмонов можно подбирать путем перестройки концентрации носителей тока при помощи затворного напряжения. Продемонстрирован прототип, способный функционировать при комнатной температуре, и детектировать излучение в диапазоне 4-6 ТГц. Однако существенным минусом устройства является тот факт, что в данном рабочем частотном диапазоне многие материалы перестают быть прозрачными, и это сильно сужает область применения устройства (Пат. США 20180047856 А1). Известен детектор электромагнитного излучения в гигагерцовом и терагерцовом частотном диапазоне. Изобретение представляет собой полупроводниковую гетероструктуру с двумерной или квазидвумерной электронной системой (ДЭС), с искусственно встроенными дефектами. Принцип действия устройства основывается на резонансном возбуждении плазменных волн в структуре с последующим детектированием возникающего при этом фотонапряжения на нелинейном элементе (например, асимметричных проводящих затворов к ДЭС). Работоспособность изобретения была продемонстрирована на примере квантовых ям на основе гетероструктур GaAs/AlGaAs. Возникающее при этом фотонапряжение позволяло успешно детектировать сигнал вплоть до температур порядка 200 K и диапазоне частот от 1 до 600 ГГц (Пат. США 8772890 В2). Данное устройство наиболее близко по конструкции и принципу работы к заявляемому детектору, поэтому взято в качестве прототипа. Технический результат, на достижение которого направлено изобретение, заключается в повышении чувствительности и быстродействия работы детектора терагерцового излучения за счет использования в качестве плазмонного резонатора новый двумерный материал - графен, в котором благодаря рекордной подвижности эффективнее возбуждается релятивистская плазменная мода. Для достижения заявленного технического результата в детекторе терагерцового излучения, включающий двумерную электронную систему, выпрямляющий нелинейный элемент в виде асимметричных проводящих затворов и измерительную схему, в качестве ДЭС используется графен, обладающий рекордной для двумерных систем подвижностью электронов при комнатной температуре. Вследствие этого, возможно выполнение условия для наблюдения принципиально новых релятивистских плазмон-поляритонных возбуждений в двумерной электронной системе. Высокая двумерная проводимость, превышающая 240000 см2/Вс, соответствует необходимому режиму Признаки, отличающие предполагаемый детектор от прототипа: использование графена в качестве двумерной системы, к которой формируется проводящий затвор. На Фиг. 1 изображено схематическое устройство детектора терагерцового излучения на графене для исследования нового типа плазменных возбуждений. Фиг. 2. Схематичное изображение детектора терагерцового излучения на графене с нелинейным рабочим элементом в виде асимметричных контактов. Фиг. 3. Схематичное изображение детектора терагерцового излучения с туннельным барьером на одном из контактов в виде гексагонального нитрида бора. Фиг.4. Схематичное изображение детектора терагерцового излучения с нелинейным рабочим элементом в виде контактов, изготовленных из разных металлов. Фиг. 5. Схема колебательного контура. Детектор терагерцового излучения (3) представляет собой планарную наноструктуру, состоящую из графена с двумерной электронной системой (1) и измерительной части (5), к которой методом электронной литографии формируются проводящие затворы (2), на которых происходит выпрямление высокочастотного потенциала плазменных возбуждений (4). Устройство работает следующим образом: электромагнитное излучение в терагерцовом диапазоне (3) падает на графен с ДЭС (1) с нелинейным рабочим элементом в виде асимметричных проводящих затворов (2). Вследствие этого в системе возбуждаются плазменные колебания (4) в области проводящих затворов (2) (контактов). Между контактами нелинейного рабочего элемента образуется сигнал фотонапряжения, который детектируется при помощи измерительной части (5). Преобразование переменного потенциала высокочастотной плазменной волны в детектируемое постоянное напряжение возможно благодаря выпрямлению сигнала на неоднородностях ДЭС. Такой скачок одного из параметров ДЭС возможно реализовать несколькими способами: посредством нелинейности вследствие асимметричности проводящих затворов; при помощи туннельного эффекта, когда между одним из контактов и графеном помещается гексагональный нитрид бора; используя нелинейность из-за контактной разности потенциалов. Существенным преимуществом данного изобретения является возможность изменять частоту возбуждения не только посредством геометрических размеров, но и при помощи изменения концентрации в ДЭС через затворное напряжение. Плазменная частота может быть найдена при помощи модели электрической цепи, содержащей эффективную индуктивность L, эффективную емкость С и эффективное сопротивление R (Фиг. 5), которая образует колебательный контур. При условии слабого затухания резонансная частота и затухание в таком колебательном контуре определяются формулами: Эффективная емкость С определяется емкостью между проводящих затворов. Индуктивность определяется кинетической индуктивностью носителей заряда в двумерной электронной системе. Кинетическая индуктивность определяется кинетической энергией движения носителей заряда и описывается формулой: где meff - эффективная масса,
При выполнении этого условия изменяется характер Максвелловской релаксации флуктуаций зарядовой плотности. Данное явление носит существенно релятивистский характер из-за конечности скорости распространения электромагнитных колебаний. Другим важным условием возбуждения таких плазмон-поляритонных колебаний является проводящий затвор, расположенный вблизи двумерной электронной системы. Посредством изменения размеров щели между контактами и подзатворной области возможна перестройка частоты релятивистских плазмонов на детектирование определенной частоты излучения. Также, в отличие от хорошо известных двумерных плазмонов, затухание новой релятивистской плазменной моды не определяется обратным временем рассеяния носителей заряда. Благодаря этому данный тип плазменных колебаний может возбуждаться даже при комнатной температуре, когда обычные плазмоны сильно подавлены. Таким образом, становится возможным создавать плазмонные устройства на их основе, не требующие криогенных температур.

