патент
№ RU 2679252
МПК C08K9/10

ИНКАПСУЛИРОВАННЫЕ КОМПОЗИЦИИ НА ОСНОВЕ СТАБИЛИЗАТОРА

Авторы:
ГУПТА Рам Б. (US) ТЕЙХЕЙС Динанд (NL) КОЗАКЕВИЧ Джозеф (US)
Все (7)
Правообладатель:
Номер заявки
2018106903
Дата подачи заявки
29.07.2016
Опубликовано
06.02.2019
Страна
RU
Дата приоритета
16.12.2025
Номер приоритета
Страна приоритета
Как управлять
интеллектуальной собственностью
Чертежи 
8
Реферат

Изобретение относится к композиции на основе маточной смеси, содержащей смолу, для получения инкапсулированного по меньшей мере одного стабилизатора для защиты органических полимеров (пластмасс), к применению композиции на основе маточной смеси, к способу получения ее, к стабилизированным композициям, содержащим композицию на основе маточной смеси, а также к способу получения изделий. Композиция маточной смеси представляет собой инкапсулированную композицию маточной смеси на основе стабилизатора. Композиция представлена в виде пеллет с закрытыми концами, имеющих сердцевину, содержащую по меньшей мере одну добавку, и внешний слой, содержащий полимер, инкапсулирующий сердцевину. Толщина внешнего слоя составляет от 0,001 мм до 1 см. Стабилизированную композицию получают из органического материала, подлежащего стабилизации, и композиции на основе маточной смеси, содержащей смолу. Способ получения композиции на основе маточной смеси, содержащей смолу, предусматривает совместное экструдирование в трубчатую форму с образованием заполненной трубки материала сердцевины, инкапсулированного внешним слоем. Материал сердцевины содержит по меньшей мере одну добавку, внешний слой содержит полимер. Способ предусматривает пропускание заполненной трубки через спаивающее устройство. С помощью спаивающего устройства разрезают заполненную трубку на несколько дискретных подлежащих спаиванию сегментов, одновременно спаивают каждый конец каждого дискретного сегмента с образованием в результате пеллет с закрытыми концами. Осуществляют охлаждение пеллет с закрытыми концами. Изобретение обеспечивает улучшенные характеристики концентратов, содержащих стабилизаторы, инкапсулированных в синтетическую термопластичную полимерную матрицу, облегчает обработку, хранение, транспортировку их и окончательную переработку. 6 н. и 9 з.п. ф-лы, 6 ил., 6 табл., 10 пр.

Формула изобретения

1. Композиция на основе маточной смеси, содержащей смолу, представленная в виде пеллет с закрытыми концами, содержащих сердцевину и внешний слой, инкапсулирующий указанную сердцевину, где сердцевина содержит по меньшей мере один стабилизатор, и внешний слой содержит термопластичный полимер, отличающаяся тем, что толщина внешнего слоя составляет от 0,001 мм до 1 см.

2. Композиция на основе маточной смеси, содержащей смолу, по п. 1, где стабилизатор предусматривает по меньшей мере одно из светостабилизаторов на основе пространственно затрудненных аминов (HALS), органического фосфита или фосфонита, пространственно затрудненного фенола, хромана, поглотителя ультрафиолетового света (УФ), пространственно затрудненного бензоата, гидроксиламина, оксида третичного амина и ингибитора свободно-радикальной полимеризации.

3. Композиция на основе маточной смеси, содержащей смолу, по п. 1, где стабилизатор предусматривает сложные эфиры 2,2,6,6-тетраметил-4-пиперидинола с C12-21-насыщенными и C18-ненасыщенными жирными кислотами.

4. Композиция на основе маточной смеси, содержащей смолу, по п. 1, где стабилизатор предусматривает по меньшей мере одно из фенотиазина, производного фенотиазина, гидрохинона, монометилового эфира гидрохинона (MEHQ) и трет-бутилового катехола (TBC).

5. Композиция на основе маточной смеси, содержащей смолу, по любому из пп. 1-4, где термопластичный полимер содержит по меньшей мере одно из полиолефинов, сложных полиэфиров, полиэфиров, поликетонов, полиамидов, природных и синтетических каучуков, полиуретанов, полистиролов, ударопрочных полистиролов, полиакрилатов, полиметакрилатов, полиацеталей, полиакрилонитрилов, полибутадиенов, терполимеров акрилонитрил-бутадиен-стирола, сополимеров стирол-акрилонитрила, терполимеров акрилат-стирол-акрилонитрила, ацетатбутирата целлюлозы, целлюлозных полимеров, полиимидов, полиамидимидов, полиэфиримидов, полифениленсульфидов, полифениленоксидов, полисульфонов, полиэфирсульфонов, поливинилхлоридов, поликарбонатов и сополимеров этилен-винилацетата.

6. Композиция на основе маточной смеси, содержащей смолу, по п. 5, причем термопластичный полимер содержит по меньшей мере одно из полиэтилена, полипропилена, полипропиленового сополимера, полистирола и сополимера стирол-акрилонитрила.

7. Композиция на основе маточной смеси, содержащей смолу, по любому из пп. 1-6, где сердцевина дополнительно содержит термопластичный полимерный разбавитель, который является таким же, как термопластичный полимер во внешнем слое, или является отличным от него.

8. Композиция на основе маточной смеси, содержащей смолу, по любому из пп. 1-7, где внешний слой содержит по меньшей мере один стабилизатор.

9. Стабилизированная композиция, полученная из органического материала, подлежащего стабилизации, и композиции на основе маточной смеси, содержащей смолу, по любому из пп. 1-8.

10. Стабилизированная композиция по п. 9, где органический материал предусматривает полимер, покрытие, формованное изделие, текстиль, волокно, пленку, этиленненасыщенный мономер, воск, органическое соединение, фотографическую пленку, бумагу, косметическое средство, органический краситель или чернила.

11. Применение композиции на основе маточной смеси, содержащей смолу, по любому из пп. 1-8 для получения стабилизированной композиции.

12. Способ получения композиции на основе маточной смеси, содержащей смолу, по любому из пп. 1-8, при этом способ предусматривает:

совместное экструдирование в трубчатую форму материала сердцевины, инкапсулированного внешним слоем, где материал сердцевины содержит по меньшей мере одну добавку и внешний слой содержит полимер, с образованием заполненной трубки;

пропускание заполненной трубки через спаивающее устройство, с помощью которого разрезают заполненную трубку на несколько дискретных сегментов и одновременно спаивают каждый конец каждого дискретного сегмента с образованием в результате пеллет с закрытыми концами; и

охлаждение пеллет с закрытыми концами.

13. Способ по п. 12, где по меньшей мере две заполненные трубки одновременно экструдируют, разрезают, спаивают и охлаждают с помощью того же устройства с образованием по меньшей мере двух технологических потоков пеллет с закрытыми концами.

14. Способ получения изделия, при этом способ предусматривает смешение в расплаве композиции на основе маточной смеси, содержащей смолу, по любому из пп. 1-8 с полимером с образованием стабилизированной композиции и формование стабилизированной композиции с образованием формованного изделия.

15. Композиция на основе маточной смеси, содержащей смолу, полученная с помощью способа по п. 12.

Описание

[1]

Предпосылки изобретения

[2]

Область, к которой относится изобретение

[3]

Настоящее изобретение в целом относится к композициям на основе стабилизатора для обеспечения защиты органических полимеров (пластмасс) от вредных эффектов от воздуха (кислорода), остаточного катализатора, механического напряжения, тепла и света. Более конкретно настоящее изобретение относится к полимерным добавочным концентратам (стабилизатора), которые являются липкими, воскообразными и/или вязкими по своей природе, которые инкапсулированы в синтетическую термопластичную полимерную матрицу и которые обеспечивают улучшенные характеристики при транспортировке, обработке, хранении и окончательной переработке.

[4]

Описание предшествующего уровня техники.

[5]

Было разработано большое количество материалов, предназначенных для полимерных добавок, представляющих собой композиции на основе стабилизатора, способных ингибировать деградацию в органических материалах, таких как пластмассы и полимерные изделия, из-за вредных эффектов от воздуха (кислорода), остаточного катализатора, механического напряжения, тепла и света, в которых эти добавки смешивают с органическими материалами. Стабилизаторы включают в себя несколько различных классов соединений, таких как антиоксиданты, антиозонанты, термические или термостабилизаторы, ультрафиолетовые (УФ) светостабилизаторы, УФ-поглотители, поверхностно-активные вещества, средства для уплотнения, диспергирующее средство, пигменты, оксиды металлов, сложные тиоэфиры, соединения никеля, свободно-радикальные ингибиторы, антистатические средства, антивуаленты и антикоррозийные средства. Во многих случаях для получения оптимальной защиты часто используется смесь соединений, каждое из которых специально выбрано для обеспечения максимальной защиты от определенного типа деградации.

[6]

Хотя некоторые из таких стабилизаторов могут быть добавлены во время полимеризации, данный подход может оказаться неудовлетворительным для включения других добавок. Например, на эффективность процесса полимеризации может оказывать неблагоприятное влияние взаимодействие стабилизатора(стабилизаторов) с катализатором полимеризации, при этом рассматриваемый полимерный стабилизатор может проявлять несовместимость с другими добавками, используемыми в процессе полимеризации, и/или последующая обработка полимера может быть ограничена присутствием встроенного стабилизатора на данной ранней стадии. Один способ введения стабилизаторов, которые могут использоваться по отдельности или в аддитивной "системе", которая включает предварительно сформированные смеси стабилизаторов, заключается в том, чтобы примешивать к полимеру, который должен быть стабилизирован во время послереакторных операций экструзии. Для облегчения операций смешивания желательно обеспечить стабилизатор в гранулированной форме, поскольку многие стабилизаторы могут спекаться, или образовывать канал небольшого диаметра в загрузочных бункерах, и/или подаваться через дозирующее оборудование неравномерно. Более того, некоторые стабилизаторы, часто используемые при изготовлении полимеров, могут создавать опасную аэрозольную пыль во время операций обработки и смешивания. Порошковые добавки трудно транспортировать в системах, наиболее часто используемых в промышленности пластмасс, и при транспортировании происходят значительные потери порошков. Порошковые добавки также являются пыльными, что создает потенциальную опасность взрыва пыли и потенциальный риск для здоровья работников, которые либо вдыхают пыль, либо кожа которых контактирует с пылью. Кроме того, порошки трудно точно измерить. Таким образом, при загрузке 100% отдельных добавочных компонентов имеется несколько проблем, например, пыль, несколько бункерных загрузочных устройств/питателей для нескольких добавок, липкость из-за оборудования с высокой температурой плавления добавок, добавление нескольких компонентов в отдельности приводит к неоднородности, дополнительной агломерации/неудовлетворительной дисперсии в полимере, агломерации при хранении и агломерации при перевозке. С другой стороны, загрузка предварительно сформированных смесей добавок улучшает дисперсию, при этом требуется система подачи меньшего размера, однако некоторые проблемы остаются нерешенными, например, пыль при падении, липкость от высокой температуры оборудования (бункерное загрузочное устройство), миграция добавок из преформы с добавками, агломерация при хранении и агломерация при перевозке.

[7]

Другой способ состоит в том, чтобы сначала получить концентрат стабилизатора, предварительную смесь стабилизатора и термопластичного полимера, которая включает высокий уровень содержания стабилизатора и которая может, вследствие этого, служить в качестве маточной смеси или концентрата. Использование маточной смеси или концентрата является обычно предпочтительным методом, в частности с жидкими или пастообразными добавками, поскольку аккуратное использование добавок, имеющих такую физическую форму, часто вызывает проблемы с дозированием и часто требует специальных дозирующих насосов или другого дорогостоящего оборудования. Однако в целом было обнаружено, что трудно получить концентраты полимерных добавок, характеризующиеся значением концентрации добавок, превышающим приблизительно 15 процентов по весу в маточной смеси. Кроме того, в технологии маточной смеси все еще имеется проблема миграции/утечки добавок и липкости от высокой температуры оборудования, особенно в случае если добавки характеризуются низкой точкой плавления или являются пастообразными или воскообразными. Следовательно, использование этих маточных смесей приводит к низкой пропускной способности из-за подвисания в бункерном загрузочном устройстве, что в конечном итоге увеличивает время переработки.

[8]

С целью преодоления проблемы низкой концентрации добавок в маточной смеси в публикации заявки на Европейский патент № 259960 A2 раскрывается способ значительного увеличения процента полимерной добавки в таких концентратах с использованием твердого вещества в виде измельченных твердых частиц, предпочтительно диоксида кремния, в качестве абсорбента для жидкости, пастообразные или воскообразные твердые добавки с низкой точкой плавления. Этот загруженный абсорбент смешивают с подходящим полимером в условиях, при которых образуется суперконцентрат, содержащий от 15 до 80 процентов по весу такой добавки. Однако поскольку концентраты полимерных добавок в ЕР 259960 будут обеспечивать маточные смеси, характеризующиеся значительно повышенными загрузками жидких, пастообразных или восковых добавок, в отношении таких концентратов существуют определенные недостатки. A именно, в случае если такие концентраты загружаются в полимеры, которые экструдируются в прозрачные пленки, то диоксид кремния (или другой дисперсный наполнитель) отрицательно влияет на прозрачность готовой пленки.

[9]

В последнее время SKIN TECHNOLOGYTM от Addcomp Holland B.V. использует двухслойный подход с внутренним добавочным слоем и внешним защитным слоем для решения некоторых проблем в отношении подхода с применением эталонной смеси. При загрузке стабилизаторов SKIN TECHNOLOGYTM в определенной степени решается проблема миграции маточных смесей, и при этом утверждается, что агломерация пеллет устраняется. Однако, несмотря на то, что утечка во время хранения, транспортировки или использования уменьшается, она по-прежнему в значительной степени сохраняется из-за открытых/срезанных концов. См. фигуру 1, на котором изображен типичный продукт, изготовленный с использованием SKIN TECHNOLOGYTM. Это особенно применимо к добавкам, которые являются жидкими, пастообразными или воскообразными по своей природе, или если твердое вещество характеризуется низкой точкой плавления. Кроме того, концентрация типичных стабилизаторов составляет приблизительно 25%.

[10]

Соответственно, система доставки маточной смеси, которая обеспечивает гомогенность нескольких стабилизаторов полимерных добавок (и, таким образом, обеспечивает улучшенную дисперсию и перерабатываемость в полимерных материалах) при уровнях концентрации, превышающих таковые, обеспечиваемые в предыдущем уровне техники, и которая облегчает хранение и агломерацию при перевозке из-за миграции добавок, которые являются пастообразными, воскообразными или характеризуются низкой точкой плавления, была бы полезным достижением в данной области техники и могла бы быстро найти признание в полимерной промышленности.

[11]

Краткое описание изобретения

[12]

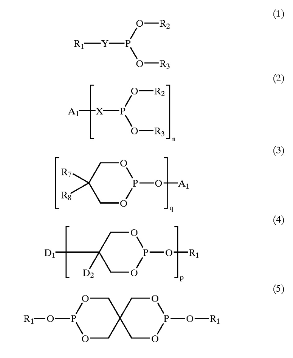
В данное время обнаружены система доставки маточной смеси, которая обеспечивает гомогенность нескольких стабилизаторов (и, таким образом, обеспечивает улучшенную дисперсию и период перерабатываемости в полимерных материалах) при уровнях концентрации, превышающих таковые, обеспечиваемые системами или процессами предыдущего уровня техники, и которая облегчает хранение и агломерацию при перевозке из-за липкости вследствие миграции добавок, которые являются пастообразными, воскообразными или характеризуются низкой точкой плавления. Преимущественным признаком настоящего изобретения является его способность к увеличению пропускной способности, в частности для пастообразных или воскообразных добавок или добавок, характеризующихся низкой точкой плавления, поскольку добавки из системы доставки маточной смеси по настоящему изобретению инкапсулированы и не мигрируют или не приводят к тому, чтобы маточная смесь становилась липкой, и, таким образом, не забивают технологическое оборудование, такое как бункерные загрузочные устройства и экструдеры.

[13]

Соответственно, в одном аспекте настоящее изобретение обеспечивает инкапсулированный отдельный стабилизатор для добавок или смеси беспримесных композиций на основе стабилизатора добавок, которые не содержат пыли, не протекают и легко обрабатываются, хранятся и транспортируются. Эти инкапсулированные стабилизаторы легко подаются в экструдер или другое устройство, где они вводятся в поток расплавленного полимера. На данной стадии инкапсулированный стабилизатор разбавляют до конечного уровня использования с целью стабилизации или введения соответствующих функциональных групп стабилизатора с целью получения полимерной смолы. Эти смеси инкапсулированного стабилизатора также могут быть полезны при подаче непосредственно в твердый полимер и физически смешиваться с основным полимером перед конечным плавлением, смешиванием и гранулированием, или их можно одновременно подавать в устройство для конечного плавления, смешивания и гранулирования с целью получения полимерной смолы. Инкапсулированные стабилизаторы по настоящему изобретению не оказывают вредного эффекта в отношении конечного применения или продукта, поскольку материал инкапсулирующего вещества по существу такой же, как полимерная смола, или является инертным и немигрирующим после его введения в смолу.

[14]

В одном варианте осуществления изобретение включает инкапсулированную композицию на основе стабилизатора маточной смеси, предусмотренную в виде пеллеты с закрытыми концами ("CEP"), содержащей сердцевину и внешний слой, который содержит полимер, инкапсулирующий сердцевину, где сердцевина содержит по меньшей мере один стабилизатор. В то время как материал, составляющий внешний слой, инкапсулирующий сердцевину, преимущественно включает полимер, и материал, составляющий сердцевину, преимущественно включает добавку, представляющую собой стабилизатор, предполагается, что в некоторых вариантах осуществления внешний слой может также включать добавку, представляющую собой стабилизатор, и/или сердцевина может включать полимерный материал. В некоторых вариантах осуществления добавка, представляющая собой стабилизатор, может быть одинаковой как в сердцевине, так и во внешнем слое. То же самое можно сказать и о полимерном материале. В некоторых вариантах осуществления он может быть одинаковым как в сердцевине, так и во внешнем слое. В таких вариантах осуществления разными будут только концентрации.

[15]

В другом аспекте настоящее изобретение относится к способам получения композиций на основе пеллет с закрытыми концами путем совместного экструдирования полимерного внешнего слоя и композиции на основе стабилизатора маточной смеси сердцевины с образованием трубки, в которой сердцевина инкапсулируется внешним слоем, пропускания заполненной трубки через устройство для одновременного спаивания и разрезания трубки на несколько дискретных сегментов и охлаждения сегментов, с образованием в результате нескольких инкапсулированных пеллет, содержащих композицию на основе стабилизатора, где пеллеты спаяны на каждом конце (закрытый конец) трубки, из которой изготовляется пеллета. В изобретении также рассматриваются продукты (т. е. пеллеты с закрытыми концами), полученные такими способами.

[16]

В некоторых вариантах осуществления диаметр пеллет с закрытыми концами в композиции на их основе и толщина стенки трубки могут изменяться с использованием экструзионных мундштуков различных размеров.

[17]

В другом аспекте настоящее изобретение обеспечивает различные применения композиций на основе стабилизатора, содержащегося в пеллетах с закрытыми концами, для формования/составления в полимерные изделия; для применения в водорастворимых или органорастворимых покрытиях; изготовления солнечных панелей; а также в чернилах.

[18]

Эти и другие объекты, признаки и преимущества настоящего изобретения станут очевидными из нижеследующего подробного описания различных аспектов настоящего изобретения в совокупности с прилагаемыми фигурами и примерами.

[19]

Краткое описание графических материалов

[20]

ФИГ. 1 - цилиндрические пеллеты, полученные с использованием SKIN TECHNOLOGYTM.

[21]

ФИГ. 2 - пеллеты с закрытыми концами (CEP) в соответствии с настоящим изобретением.

[22]

ФИГ. 2A - различные формы фенотиазина, порошок (слева), гранула (составленная в полистироле, в центре) и пеллеты с закрытыми концами (с инкапсулирующим веществом из полистирола, справа).

[23]

ФИГ. 2B - различные размеры фенотиазина, икапсулированного в полистироле (CEP).

[24]

ФИГ. 3A-I - эффект пеллеты с закрытыми концами (CEP) в отношении закупоривания питательного отверстия экструдера. ФИГ. 3A-C: хлопьевидная маточная смесь CYASORB® UV-3853S, (A) начало; (B) 1 час при 90-100°F; (C) после вращения шнека экструдера. ФИГ. 3D-F: цилиндрическая пеллета маточной смеси CYASORB® UV-3853 PP5, (D) начало; (E) 1 час при 90-100°F; (F) после вращения шнека экструдера; ФИГ. 3G-I: 70% маточная смесь CEP CYASORB® UV-3853, (G) начало; (H) 1 час при 90-100°F; (I) после вращения шнека экструдера.

[25]

ФИГ. 4A-B - сравнительное исследование агломерации добавок. ФИГ. 4A1-3: CYASORB® UV-3853 CEP с PP, (1) 50% CYASORB® UV-3853; (2) 60% CYASORB® UV-3853 и (3) 70% CYASORB® UV-3853; ФИГ. 4B1-3: (1) CYASORB® UV-3853S, хлопьевидная маточная смесь; (2) круглые пеллеты CYASORB® UV-3853PP5 и (3) цилиндрические пеллеты CYASORB® UV-3853PP5.

[26]

ФИГ. 5A-I - Оценка хрупкости при транспортировке (тест на шейкере). ФИГ. 5A: 50% CYASORB® UV-3853 CEP с PP; ФИГ. 5B: 60% CYASORB® UV-3853 CEP с PP; ФИГ. 5C: 70% CYASORB® UV-3853 CEP с PP; ФИГ. 5D: 50% CYASORB® UV-3853 CEP с PE; ФИГ. 5E: 70% CYASORB® 3853 CEP с PE; ФИГ. 5F: 60% CYASORB® UV-3853 CEP с SAN; ФИГ. 5G: хлопьевидная маточная смесь CYASORB® UV-3853S (50% активности в LDPE); ФИГ. 5H: круглые пеллеты CYASORB® UV-3853PP5 (50% активности в PP); ФИГ. 5I: цилиндрические пеллеты CYASORB® 3853 PP5 (50% активности в PP).

[27]

ФИГ. 6 - схематическое представление экструзионной головки и формование пеллеты с закрытыми концами в соответствии с настоящим изобретением.

[28]

Подробное описание некоторых вариантов осуществления изобретения

[29]

В одном аспекте настоящее изобретение предусматривает новую композицию из инкапсулированных добавок. Инкапсулированные добавки содержат материал сердцевины, который содержит по меньшей мере одну добавку и внешний слой, содержащий полимерный материал, который полностью инкапсулирует материал сердцевины. Инкапсулирующий полимер предпочтительно представляет собой термопластичный полимер, который содержит по меньшей мере одно из полиолефинов, сложных полиэфиров, полиэфиров, поликетонов, полиамидов, природных и синтетических каучуков, полиуретанов, полистиролов, ударопрочных полистиролов, полиакрилатов, полиметакрилатов, полиацеталей, полиакрилонитрилов, полибутадиенов, полистиролов, терполимеров акрилонитрил-бутадиен-стирола, сополимеров стирол-акрилонитрила, терполимеров акрилат-стирол-акрилонитрила, ацетатбутирата целлюлозы, целлюлозных полимеров, полиимидов, полиамидимидов, полиэфиримидов, полифениленсульфидов, полифениленоксидов, полисульфонов, полиэфирсульфонов, поливинилхлоридов, поликарбонатов, поликетонов, алифатических поликетонов, сополимеров этилен-винилацетата и их смесей. По меньшей мере одна добавка, предусматривающая материал сердцевины, предпочтительно выбрана из группы, состоящей из светостабилизаторов на основе пространственно затрудненных аминов (HALS), поглотителей ультрафиолетового света, фенольных антиоксидантов, пространственно затрудненных бензоатов, 3-арилбензофуранонов, соединений на основе хромана, солей щелочных металлов жирных кислот, гидроксиламинов, аминоксидов, поверхностно-активных веществ, средств для уплотнения, диспергирующих средств, органофосфитов, пигментов, оксидов металлов, органофосфонитов, сложных тиоэфиров, соединений никеля, свободно-радикальных ингибиторов, антистатических средств, антикоррозийного средства, катализатора, экстрагента металлов, фотоинициатора, сшивающих средств и смеси любых двух или более из них.

[30]

В другом аспекте настоящее изобретение предусматривает способ получения инкапсулированных стабилизаторов, включающих материал сердцевины, который содержит по меньшей мере один стабилизатор и внешний слой, содержащий полимерный материал, который полностью инкапсулирует материал сердцевины. Способ предусматривает совместное формование трубки, состоящей из полимерного материала и заполненной материалом сердцевины, содержащей по меньшей мере одну добавку, представляющую собой стабилизатор, путем одновременной подачи полимера для внешнего слоя в одну часть экструдера и подачи материала сердцевины в другую часть того же экструдера и совместное экструдирование внешнего слоя и сердцевины с образованием в результате полимерной трубки, заполненной материалом сердцевины. Затем заполненную трубку пропускают через закрывающее устройство (например, зубчатое колесо) для спаивания, посредством чего зубчатое колесо одновременно спаивает/сваривает и разрезает полимерную трубку, заполненную материалом сердцевины, на несколько дискретных сегментов. Затем сегменты охлаждают с образованием в результате множества инкапсулированных пеллет, содержащих композицию на основе стабилизатора, причем пеллеты спаяны на каждом конце (закрытом конце) трубки, из которой изготавливается пеллета. Далее, высушенные пеллеты проходят через сепаратор и затем упаковываются.

[31]

В еще одном аспекте настоящее изобретение предусматривает способ введения инкапсулированных стабилизаторов в полимеры. Инкапсулированные стабилизаторы могут быть смешаны с полимером с использованием таких устройств, как каландры, смесители, месильные машины, экструдеры и т. п. В еще одном аспекте настоящее изобретение предусматривает новую композицию на основе инкапсулированных стабилизаторов, смешанных с полимером, подлежащим стабилизации.

[32]

Количество исходного (исходных) стабилизатора(стабилизаторов) в инкапсулированной CEP может составлять от приблизительно 20 вес. % до приблизительно 95 вес. % и предпочтительно от 30 вес. % до приблизительно 90 вес. %. Эти инкапсулированные стабилизаторы применимы в процессах получения полимерной смолы, особенно при изготовлении полимеров, в результате чего после полимеризации полимер подают в экструдер или другое устройство, в котором полимер расплавляется для того, чтобы вводить инкапсулированный стабилизатор в поток расплавленного полимера. Такие стабилизаторы необходимы для поддержания и улучшения свойств полимеров и для добавления указанным полимерам функциональности или других рабочих характеристик.

[33]

Настоящее изобретение, относящееся к пеллетам с закрытыми концами (CEP), устраняет хрупкость или способность пеллет к истиранию. Хрупкость и истирание обычно относятся к одному и тому же явлению, при котором пеллеты могут образовывать мелкий порошок внутри своего контейнера во время транспортировки пеллет. Сопротивление хрупкости или истиранию является очень желательным, поскольку образуются очень мелкие частицы очень небольшого размера.

[34]

Эти и другие аспекты изобретения описаны более подробно в данном документе. Как используется по всему заявляемому изобретению, для помощи читателю предоставляются следующие термины и определения. Если не указано иное, то все термины из уровня техники, обозначения и другая научная терминология, используемые в данном документе, предназначены для того, чтобы предоставить значения, которые обычно понятны специалистам в областях техники, относящихся к химическим. Как используется в данном документе и в прилагаемой формуле изобретения, формы существительных единственного числа включают множественное число определяемых объектов, если в контексте явно не указано иное. Кроме того, как используется в данном документе и в прилагаемой формуле изобретения, раскрытие любых диапазонов количеств или концентраций включает раскрытие любого количества или значения в данном диапазоне.

[35]

Сокращенные наименования "MB" относится к "маточной смеси", которая представляет собой концентрированную смесь добавок с полимером;"цилиндрические пеллеты" или "skin" относятся к частично инкапсулированному стабилизатору, то есть стабилизатору, инкапсулированному в цилиндрическую оболочку из термопластичного полимера, но с открытыми концами, известному как SKIN TECHNOLOGYTM от Addcomp Holland B.V.; "CEP" относится к "пеллете с закрытыми концами" или полимерному инкапсулированному стабилизатору, в котором два конца каждой трубки спаяны; "PP" относится к полипропилену; "PPC" относится к сополимеру полипропилена; "PE" относится к полиэтилену, "LDPE" относится к полиэтилену низкой плотности, и "SAN" относится к сополимеру стирол-акрилонитрил. Все проценты относятся к процентам вес/вес (вес. %), если в контексте не указано иное.

[36]

По всему данному описанию термины и заместители сохраняют свои определения. Полный список сокращений, используемых специалистами в органической химии (т. е. специалистами в данной области техники), содержится в первом выпуске каждого тома Журнала органической химии. Список, который обычно представлен в таблице, озаглавленной "Стандартный список сокращений", включен в настоящее описание с помощью ссылки.

[37]

Термин "гидрокарбил" представляет собой общий термин, охватывающий алифатические, алициклические и ароматические группы, имеющие полностью углеродный каркас и состоящие из атомов углерода и водорода. Как определено в данном документе, в некоторых случаях один или несколько атомов углерода, составляющих углеродный каркас, могут быть заменены или прерваны указанным атомом или группой атомов, например одним или несколькими гетероатомами N, О и/или S. Примеры гидрокарбильных групп включают алкил, циклоалкил, циклоалкенил, карбоциклический арил, алкенил, алкинил, алкилциклоалкил, циклоалкилалкил, циклоалкенилалкил и карбоциклические аралкильные, алкарильные, аралкенильные и аралкинильные группы. Эти гидрокарбильные группы также могут быть необязательно замещены одним или несколькими заместителями, как определено в данном документе. Соответственно, химические группы или фрагменты, рассмотренные в описании и формуле изобретения, следует понимать как включающие замещенные или незамещенные формы. Примеры и предпочтения, выраженные ниже, также применимы к каждой из групп гидрокарбильных заместителей или углеводородсодержащих заместителей, упомянутых в различных определениях заместителей для соединений с формулами, описанными в данном документе, если в контексте не указано иное.

[38]

Предпочтительными неароматическими углеводородными группами являются насыщенные группы, такие как алкильные и циклоалкильные группы. Как правило, и в качестве примера, гидрокарбильные группы могут иметь до пятидесяти атомов углерода, если только контекст не требует иного. Предпочтительными являются гидрокарбильные группы с 1-30 атомами углерода. Внутри подсовокупности гидрокарбильных групп, содержащих 1-30 атомов углерода, конкретными примерами являются C1-20гидрокарбильные группы, такие как C1-12гидрокарбильные группы (например, C1-6гидрокарбильные группы или C1-4гидрокарбильные группы), конкретными примерами являются любые отдельные значение или комбинация значений, выбранных из гидрокарбильных групп от С1 до С30.

[39]

Алкил должен включать линейные, разветвленные или циклические углеводородные структуры и их комбинации. "Низший алкил" относится к алкильным группам, содержащим 1-6 атомов углерода. Примеры низших алкильных групп включают метил, этил, пропил, изопропил, бутил, s- и трет-бутил и т. п. Предпочтительными алкильными группами являются группы С30 или ниже.

[40]

Алкокси или алкоксиалкил относятся к группам из 1-20 атомов углерода прямой, разветвленной, циклической конфигураций и их комбинациям, присоединенным к исходной структуре через атом кислорода. Примеры включают метокси, этокси, пропокси, изопропокси, циклопропилокси, циклогексилокси и т. п.

[41]

Ацил относится к формилу и к группам из 1, 2, 3, 4, 5, 6, 7, 8, 9, 10, 11 и 12 атомов углерода прямой, разветвленной, циклической конфигураций, насыщенным, ненасыщенным и ароматическим и их комбинациям, присоединенным к исходной структуре через карбонильную функциональную группу. Примеры включают ацетил, бензоил, пропионил, изобутирил, трет-бутоксикарбонил, бензилоксикарбонил и т. п. Низший ацил относится к группам, содержащим от одного до шести атомов углерода.

[42]

Ссылки на "карбоциклические" или "циклоалкильные" группы, используемые в данном документе, должны включать, если в контексте не указано иное, как ароматические, так и неароматические кольцевые системы. Так, например, данным термином охватываются ароматические, неароматические, ненасыщенные, частично насыщенные и полностью насыщенные карбоциклические кольцевые системы. В общем, такие группы могут быть моноциклическими или бициклическими и могут содержать, например 3-12 членов кольца, чаще всего 5-10 членов кольца. Примерами моноциклических групп являются группы, содержащие 3, 4, 5, 6, 7 и 8 членов кольца, более часто 3-7 и предпочтительно 5 или 6 членов кольца. Примерами бициклических групп являются те, которые содержат 8, 9, 10, 11 и 12 членов кольца и более часто 9 или 10 членов кольца. Примеры неароматических карбоциклических/циклоалкильных групп включают c-пропил, c-бутил, c-пентил, c-гексил и т. п. Примеры полициклических углеводородов от C7 до C10 включают кольцевые системы, такие как норборнил и адамантил.

[43]

Арил (карбоциклический арил) относится к 5- или 6-членному ароматическому карбоциклическому кольцу, содержащему бициклическую 9- или 10-членную ароматическую кольцевую систему; или трициклическую 13- или 14-членную ароматическую кольцевую систему. Ароматические 6-14-членные карбоциклические кольца включают, например, замещенные или незамещенные фенильные группы, бензол, нафталин, индан, тетралин и флуорен.

[44]

Замещенные гидрокарбил, алкил, арил, циклоалкил, алкокси и т. п. относятся к конкретному заместителю, в котором до трех атомов Н в каждом остатке замещены алкилом, галогеном, галогеналкилом, гидрокси, алкокси, карбокси, карбоалкокси (также называемый алкоксикарбонилом), карбоксамидо (также называемый алкиламинокарбонилом), циано, карбонилом, нитро, амино, алкиламино, диалкиламино, меркапто, алкилтио, сульфоксидом, сульфоном, ациламино, амидино, фенилом, бензилом, галогенбензилом, гетероарилом, фенокси, бензилокси, гетероарилокси, бензоилом, галогенбензоилом или низшим алкилгидрокси.

[45]

"(Мет)акрилат" является сокращением для акрилата или метакрилата.

[46]

Композиция на основе маточной смеси, содержащей смолу, представленная в виде пеллет с закрытыми концами, содержащих сердцевину и внешний слой, инкапсулирующий сердцевину, где сердцевина содержит по меньшей мере одну добавку, и внешний слой содержит полимер, отличается тем, что толщина внешнего слоя составляет от 0,001 мм до 1 см.

[47]

Внешний слой, используемый для инкапсулирования сердцевины, представляет собой полимер. Полимер может представлять собой термопластичный полимер, термореактивный полимер, водорастворимый или вододиспергируемый полимер, биоразлагаемый полимер или их комбинацию. В некоторых вариантах осуществления полимер представляет собой термопластичный полимер. В некоторых вариантах осуществления полимер представляет собой термопластичный полимер, содержащий по меньшей мере одно из полиолефинов, сложных полиэфиров, полиэфиров, поликетонов, полиамидов, природных и синтетических каучуков, полиуретанов, полистиролов, ударопрочных полистиролов, полиакрилатов, полиметакрилатов, полиацеталей, полиакрилонитрилов, полибутадиенов, терполимеров акрилонитрил-бутадиен-стирола, сополимеров стирол-акрилонитрила, терполимеров акрилат-стирол-акрилонитрила, ацетатбутирата целлюлозы, целлюлозных полимеров, полиимидов, полиамидимидов, полиэфиримидов, полифениленсульфидов, полифениленоксидов, полисульфонов, полиэфирсульфонов, поливинилхлоридов, поликарбонатов и сополимеров этилен-винилацетата.

[48]

Кроме того, термопластичный "полиолефиновый" полимер может быть выбран из члена, который выбран из группы, состоящей из i) полимеров моноолефинов, выбранных из полипропилена, полиизобутилена, полибут-1-ена, поли-4-метилпент-1-ена; ii) диолефинов, выбранных из полиизопрена или полибутадиена; iii) полимеров циклоолефинов, выбранных из циклопентена и норборнена; iv) полиэтилена, выбранного из необязательно сшитого полиэтилена, полиэтилена высокой плотности (HDPE), полиэтилена высокой плотности и высокомолекулярного полиэтилена (HDPE-HMW), полиэтилена высокой плотности и сверхвысокого молекулярного веса (HDPE-UHMW), полиэтилена средней плотности (MDPE), линейного полиэтилена низкой плотности (LDPE), линейного полиэтилена низкой плотности (LLDPE), полиэтилена очень низкой плотности (VLDPE) и полиэтилена сверхнизкой плотности (ULDPE); v) их сополимеров и vi) их смесей.

[49]

Полимер может представлять собой биоразлагаемый полимер. Примеры биоразлагаемых полимеров включают полимолочную кислоту, полигидроксибутират, полибутиленсукцинат, поликапролактон, полигидроксигексаноат, алифатические-ароматические сополиэфиры, полигидроксивалерат, полибутиленсукцинатадипат, полибутиленадипат/терефталат, полиэтилентерефталат, полиметиленадипат/терефталат и их смеси.

[50]

В некоторых вариантах осуществления полимер представляет собой водорастворимый полимер или вододиспергируемый полимер. Примеры водорастворимых или вододиспергируемых полимеров включают производные целлюлозы, полиэтиленоксид, полипропиленоксид, гидроксипропилцеллюлозу, гуар, поливинилпирролидон, поливинилкапролактам, полиакриламид, полигидроксиметакрилат, поливинилимидазол, поливиниловый спирт, полигидроксиэтилметакрилат, силиконовые полимеры и их смеси.

[51]

В некоторых вариантах осуществления полимер предусматривает по меньшей мере одно из полиэтилена, полипропилена, полипропиленового сополимера, полистирола и сополимера стирол-акрилонитрил. В некоторых вариантах осуществления термопластичный полимер представляет собой полипропилен (PP) или сополимер полипропилена (PPC). Сополимер полипропилена может представлять собой сополимер пропилена и этилена и может представлять собой статистический сополимер, блок-сополимер или ударопрочный сополимер. В некоторых вариантах осуществления термопластичный полимер представляет собой полистирол.

[52]

Инкапсулирующий внешний слой, содержащий полимер, имеет трубчатую форму. Толщина внешнего слоя составляет от 0,001 мм до 1 см, предпочтительно от 0,001 до 1 мм. Размеры пеллеты с закрытыми концами составляют от 0,1 до 5 см в длину, предпочтительно от 0,2 до 5 см. Материал сердцевины может быть твердым, полутвердым, воскообразным или жидким при комнатной температуре, при этом комнатная температура определена как 25°C. Материал сердцевины, содержащий по меньшей мере одну добавку, составляет от 10 до 95 вес. %, от 20 до 95 вес. % или от 30 до 90 вес. % от общего веса пеллеты с закрытыми концами. Предпочтительно материал сердцевины составляет от 40 до 80 вес. % от общего веса пеллеты с закрытыми концами. Более предпочтительно, материал сердцевины составляет от 50 до 75 вес. % от общего веса инкапсулированной композиции.

[53]

Композиция материала сердцевины содержит по меньшей мере одну добавку. Примеры добавок включают светостабилизаторы на основе пространственно затрудненных аминов (HALS), поглотители ультрафиолетового света, фенольные антиоксиданты, пространственно затрудненные бензоаты, 3-арилбензофураноны, хроматы, соли щелочных металлов жирных кислот, гидроксиламины, аминоксиды, поверхностно-активные вещества, средства для уплотнения, диспергаторы, органофосфиты, пигменты, оксиды металлов, органофосфониты, сложные тиоэфиры, соединения никеля, ингибиторы свободно-радикальной полимеризации, антистатические средства, антикоррозийные средства, катализаторы, металл-экстрагенты, фотоинициаторы, сшивающие средства и смесь любых двух или более из них.

[54]

В некоторых вариантах осуществления по меньшей мере одна добавка содержит стабилизатор. Стабилизатор может содержать по меньшей мере одно из светостабилизатора на основе пространственно затрудненных аминов (HALS), органического фосфита или фосфонита, пространственно затрудненного фенола, хромана, поглотителя ультрафиолетового света (УФ), пространственно затрудненного бензоата, гидроксиламина, оксида третичного амина и ингибитора свободно-радикальной полимеризации.

[55]

"Светостабилизатор на основе пространственно затрудненных аминов (HALS)" представляет собой соединение, содержащее молекулярный фрагмент в соответствии с формулой (I):

[56]

(I),

[57]

где:

[58]

R62 выбран из члена, который выбран из группы, состоящей из водорода; OH; C1-C20гидрокарбила; -CH2CN; C1-C12ацила и C1-C18алкокси;

[59]

R65 выбран из члена, который выбран из группы, состоящей из водорода и C1-C8 гидрокарбила; и

[60]

каждый из R60, R61, R63 и R64 независимо выбран из C1-C20гидрокарбила, или R60 и R61, и/или R63 и R64, взятые вместе с углеродом, к которому они присоединены, образуют C5-C10циклоалкил;

[61]

или формулой (II):

[62]

(II),

[63]

где:

[64]

m представляет собой целое число от 1 до 2;

[65]

R39 выбран из члена, который выбран из группы, состоящей из водорода; OH; C1-C20гидрокарбила; -CH2CN; C1-C12ацила; и C1-C18алкокси; и

[66]

каждый из G1-G4 независимо выбран из C1-C20гидрокарбила.

[67]

Светостабилизатор на основе пространственно затрудненных аминов предпочтительно выбран из члена, который выбран из группы, состоящей из бис(2,2,6,6-тетраметилпиперидин-4-ил)себацината; бис(2,2,6,6-тетраметилпиперидин-4-ил)сукцината; бис(1,2,2,6,6-пентаметилпиперидин-4-ил)себацината; бис(1-октилокси-2,2,6,6-тетраметилпиперидин-4-ил)себацината; бис(1,2,2,6,6-пентаметилпиперидин-4-ил)-н-бутил-3,5-ди-трет-бутил-4-гидроксибензилмалоната; продукта конденсации 1-(2-гидроксиэтил)-2,2,6,6-тетраметил-4-гидроксипиперидина и янтарной кислоты; 2,2,6,6-тетраметилпиперидин-4-ил-стеарата; 2,2,6,6-тетраметилпиперидин-4-ил-додеканата; 1,2,2,6,6-пентаметилпиперидин-4-ил-стеарата; 1,2,2,6,6-пентаметилпиперидин-4-ил-додеканата; продукта конденсации N,N'-бис(2,2,6,6-тетраметилпиперидин-4-ил)гексаметилендиамина и 4-трет-октиламино-2,6-дихлор-1,3,5-триазина; трис(2,2,6,6-тетраметилпиперидин-4-ил)нитрилотриацетата; тетракис(2,2,6,6-тетраметилпиперидин-4-ил)-1,2,3,4-бутантетракарбоксилата; 4-бензоил-2,2,6,6-тетраметилпиперидина; 4-стеарилокси-2,2,6,6-тетраметилпиперидина; бис(1,2,2,6,6-пентаметилпиперидил)-2-н-бутил-2-(2-гидрокси-3,5-ди-трет-бутилбензил)малоната; 3-н-октил-7,7,9,9-тетраметил-1,3,8-триазаспиро[4,5]декан-2,4-диона; бис(1-октилокси-2,2,6,6-тетраметилпиперидил)себацината; бис(1-октилокси-2,2,6,6-тетраметилпиперидил)сукцината; продукта конденсации N,N'-бис(2,2,6,6-тетраметилпиперидин-4-ил)гексаметилендиамина и 4-морфолино-2,6-дихлор-1,3,5-триазина (CYASORB® UV-3346); продукта конденсации 2-хлор-4,6-бис(4-н-бутиламино-2,2,6,6-тетраметилпиперидил)-1,3,5-триазина и 1,2-бис(3-аминопропиламино)этана; продукта конденсации 2-хлор-4,6-бис(4-н-бутиламино-1,2,2,6,6-пентаметилпиперидил)-1,3,5-триазина и 1,2-бис-(3-аминопропиламино)этана; 8-ацетил-3-додецил-7,7,9,9-тетраметил-1,3,8-триазаспиро[4,5]декан-2,4-диона; 3-додецил-1-(2,2,6,6-тетраметилпиперидин-4-ил)пирролидин-2,5-диона; 3-додецил-1-(1-этаноил-2,2,6,6-тетраметилпиперидин-4-ил)пирролидин-2,5-диона; 3-додецил-1-(1,2,2,6,6-пентаметилпиперидин-4-ил)пирролидин-2,5-диона; смеси 4-гексадецилокси- и 4-стеарилокси-2,2,6,6-тетраметилпиперидина; продукта конденсации N,N'-бис(2,2,6,6-тетраметилпиперидин-4-ил)гексаметилендиамина и 4-циклогексиламино-2,6-дихлор-1,3,5-триазина; продукта конденсации 1,2-бис(3-аминопропиламино)этана, 2,4,6-трихлор-1,3,5-триазина и 4-бутиламино-2,2,6,6-тетраметилпиперидина; 2-ундецил-7,7,9,9-тетраметил-1-окса-3,8-диаза-4-оксоспиро[4,5]декана; оксопиперазинилтриазинов; продукта реакции 7,7,9,9-тетраметил-2-циклоундецил-1-окса-3,8-диаза-4-оксоспиро[4,5]декана и эпихлоргидрина; тетракис(2,2,6,6-тетраметил-4-пиперидил)бутан-1,2,3,4-тетракарбоксилата; сложного тетракис(1,2,2,6,6-пентаметил-4-пиперидинилового) эфира 1,2,3,4-бутантетракарбоновой кислоты; сложного 1,2,2,6,6-пентаметил-4-пиперидинилтридецилового эфира 1,2,3,4-бутантетракарбоновой кислоты; сложного 2,2,6,6-тетраметил-4-пиперидинилтридецилового эфира 1,2,3,4-бутантетракарбоновой кислоты; 1,2,3,4-бутантетракарбоновой кислоты, полимера с 2,2,6,6-тетраметил-2,4,8,10-тетраоксаспиро[5,5]-ундекан-3,9-диэтанолом, сложного 1,2,2,6,6-пентаметил-4-пиперидинилового эфира; 1,2,3,4-бутантетракарбоновой кислоты, полимера с 2,2,6,6-тетраметил-2,4,8,10-тетраоксаспиро[5,5]-ундекан-3,9-диэтанолом, сложного 2,2,6,6-тетраметил-4-пиперидинилового эфира; бис(1-ундеканокси-2,2,6,6-тетраметилпиперидин-4-ил)карбоната; 1-(2-гидрокси-2-метилпропокси)-2,2,6,6-тетраметил-4-пиперидинола; 1-(2-гидрокси-2-метилпропокси)-4-октадеканоилокси-2,2,6,6-тетраметилпиперидина; 1-(4-октадеканоилокси-2,2,6,6-тетраметилпиперидин-1-илокси)-2-октадеканоилокси-2-метилпропана; 1-(2-гидроксиэтил)-2,2,6,6-тетраметил-4-пиперидинола; продукта реакции 1-(2-гидроксиэтил)-2,2,6,6-тетраметил-4-пиперидинола и диметилсукцината; 2,2,4,4-тетраметил-7-окса-3,20-диазадиспиро[5,1,11,2]генэйкозан-21-она; сложного 2,2,6,6-тетраметил-4-пиперидинолового эфира с высшими жирными кислотами, например C12-21-насыщенными и C18-ненасыщенными жирными кислотами (CYASORB® UV-3853); 3-додецил-1-(2,2,6,6-тетраметил-4-пиперидил)пирролидин-2,5-диона; 1H-пиррол-2,5-диона, 1-октадецил-, полимера с (1-метилэтенил)бензолом и 1-(2,2,6,6-тетраметил-4-пиперидинил)-1H-пиррол-2,5-дионом; пиперазинона, 1,1',1''-[1,3,5-триазина-2,4,6-триилтрис[(циклогексиламино)-2,1-этандиил]]трис[3,3,5,5-тетраметил-; пиперазинона, 1,1',1''-[1,3,5-триазина-2,4,6-триилтрис[(циклогексиламино)-2,1-этандиил]]трис[3,3,4,5,5-пентаметил-; продукта реакции 7,7,9,9-тетраметил-2-циклоундецил-1-окса-3,8-диаза-4-оксоспиро[4,5]декана и эпихлоргидрина; продукта конденсации N,N'-бис(2,2,6,6-тетраметилпиперидин-4-ил)гексаметилендиамина и 4-циклогексиламино-2,6-дихлор-1,3,5-триазина; продукта конденсации 1,2-бис(3-аминопропиламино)этана, 2,4,6-трихлор-1,3,5-триазина и 4-бутиламино-2,2,6,6-тетраметилпиперидина; продукта конденсации N,N'-бис(2,2,6,6-тетраметилпиперидин-4-ил)гексаметилендиамина и 4-морфолино-2,6-дихлор-1,3,5-триазина; продукта конденсации 2-хлор-4,6-бис(4-н-бутиламино-2,2,6,6-тетраметилпиперидил)-1,3,5-триазина и 1,2-бис(3-аминопропиламино)этана; продукта конденсации 2-хлор-4,6-бис(4-н-бутиламино-1,2,2,6,6-пентаметилпиперидил)-1,3,5-триазина и 1,2-бис-(3-аминопропиламино)этана; 2-[(2-гидроксиэтил)амино]-4,6-бис[N-(1-циклогексилокси-2,2,6,6-тетраметилпиперидин-4-ил)бутиламино-1,3,5-триазина; сложного [(4-метоксифенил)-метилен]-бис-(1,2,2,6,6-пентаметил-4-пиперидинилового) эфира пропандиовой кислоты; тетракис(2,2,6,6-тетраметилпиперидин-4-ил)-1,2,3,4-бутантетракарбоксилата; сложного 3,5-бис(1,1-диметилэтил)-4-гидрокси-, 1-[2-[3-[3,5-бис(1,1-диметилэтил)-4-гидроксифенил]-1-оксопропокси]этил]-2,2,6,6-тетраметил-4-пиперидинилового эфира бензолпропановой кислоты; N-(1-октилокси-2,2,6,6-тетраметилпиперидин-4-ил)-N'-додецилоксаламида; трис(2,2,6,6-тетраметилпиперидин-4-ил)нитрилотриацетата; 1,5-диоксаспиро{5,5}ундекан-3,3-дикарбоновой кислоты, бис(1,2,2,6,6-пентаметил-4-пиперидинил): 1,5-диоксаспиро{5,5}ундекан-3,3-дикарбоновой кислоты, бис(2,2,6,6-тетраметил-4-пиперидинил); продукта конденсации 1-(2-гидроксиэтил)-2,2,6,6-тетраметил-4-гидроксипиперидина и янтарной кислоты; продукта конденсации N,N'-бис(2,2,6,6-тетраметилпиперидин-4-ил)гексаметилендиамина и 4-трет-октиламино-2,6-дихлор-1,3,5-триазина; сложного 1,2,2,6,6-пентаметил-4-пиперидинилтридецилового эфира 1,2,3,4-бутантетракарбоновой кислоты; тетракис(2,2,6,6-тетраметилпиперидин-4-ил)-1,2,3,4-бутантетракарбоксилата; сложного 2,2,6,6-тетраметил-4-пиперидинилтридецилового эфира 1,2,3,4-бутантетракарбоновой кислоты; тетракис(1,2,2,6,6-пентаметилпиперидин-4-ил)-1,2,3,4-бутантетракарбоксилата; смеси сложного додецилового эфира 2,2,4,4-тетраметил-21-оксо-7-окса-3.20-диазаспиро(5,1,11,2)-генэйкозан-20-пропановой кислоты и сложного тетрадецилового эфира 2,2,4,4-тетраметил-21-оксо-7-окса-3.20-диазаспиро(5,1,11,2)-генэйкозан-20-пропановой кислоты; 1H,4H,5H,8H-2,3a,4a,6,7a,8a-гексаазациклопента[деф]флуорен-4,8-диона, гексагидро-2,6-бис(2,2,6,6-тетраметил-4-пиперидинил)-; полиметил[пропил-3-окси(2',2',6',6'-тетраметил-4,4'-пиперидинил)]силоксана; полиметил[пропил-3-окси(1',2',2',6',6'-пентаметил-4,4'-пиперидинил)]силоксана; сополимера метилметакрилата с этилакрилатом и 2,2,6,6-тетраметилпиперидин-4-илакрилатом; сополимера смешанных C20-C24альфа-олефинов и (2,2,6,6-тетраметилпиперидин-4-ил)сукцинимида; 1,2,3,4-бутантетракарбоновой кислоты, полимера с β,β,β',β'-тетраметил-2,4,8,10-тетраоксаспиро[5,5]ундекан-3,9-диэтанолом, сложного 1,2,2,6,6-пентаметил-4-пиперидинилового эфира; 1,2,3,4-бутантетракарбоновой кислоты, полимера с β,β,β',β'-тетраметил-2,4,8,10-тетраоксаспиро[5,5]ундекан-3,9-диэтанолом, сополимера сложного 2,2,6,6-тетраметил-4-пиперидинилового эфира; 1,3-бензолдикарбоксамида, N,N'-бис(2,2,6,6-тетраметил-4-пиперидинила; 1,1'-(1,10-диоксо-1,10-декандиил)-бис(гексагидро-2,2,4,4,6-пентаметилпиримидина; этандиамида, N-(1-ацетил-2,2,6,6-тетраметилпиперидинил)-N'-додецил; N,N'-1,6-гександиилбис[N-(2,2,6,6-тетраметил-4-пиперидинил) формамида; 1,3:2,4-бис-O-(2,2,6,6-тетраметил-4-пиперидинилиден)-D-глюцита; 2,2,4,4-тетраметил-7-окса-3,20-диаза-21-оксо-диспиро[5,1,11,2]генэйкозана; 2-метил-N-(2,2,6,6-тетраметил-4-пиперидинил)-2-[(2,2,6,6-тетраметил-4-пиперидинил)амино]-пропанамида; 7-окса-3,20-диазадиспиро[5,1,11,2]генэйкозан-20-пропановой кислоты, 2,2,4,4-тетраметил-21-оксо-, сложного додецилового эфира; сложного додецилового эфира N-(2,2,6,6-тетраметилпиперидин-4-ил)-β-аминопропионовой кислоты; N-(2,2,6,6-тетраметилпиперидин-4-ил)-N'-аминооксаламида; N-(2,2,6,6-тетраметил-4-пиперидинил)-3-[(2,2,6,6-тетраметил-4-пиперидинил)амино]-пропанамида; смеси 4-гексадецилокси- и 4-стеарилокси-2,2,6,6-тетраметилпиперидина; 3-додецил-1-(1,2,2,6,6-пентаметилпиперидин-4-ил)пирролидин-2,5-диона; 3-додецил-1-(1-этаноил-2,2,6,6-пентаметилпиперидин-4-ил)пирролидин-2,5-диона; бис(2,2,6,6-тетраметилпиперидин-4-ил)сукцината; бис(1,2,2,6,6-пентаметилпиперидин-4-ил)-н-бутил-3,5-ди-трет-бутил-4-гидроксибензилмалоната; трис(2,2,6,6-тетраметилпиперидин-4-ил)нитрилотриацетата; 1,1'-(1,2-этандиил)бис(3,3,5,5-тетраметилпиперазинона); 4-бензоил-2,2,6,6-тетраметилпиперидина; 4-стеарилокси-2,2,6,6-тетраметилпиперидина; бис(1,2,2,6,6-пентаметилпиперидил)-2-н-бутил-2-(2-гидрокси-3,5-ди-трет-бутилбензил)малоната; 3-н-октил-7,7,9,9-тетраметил-1,3,8-триазаспиро[4,5]декан-2,4-диона; бис(1-октилокси-2,2,6,6-тетраметилпиперидил)себацината; бис(1-октилокси-2,2,6,6-тетраметилпиперидил)сукцината; 8-ацетил-3-додецил-7,7,9,9-тетраметил-1,3,8-триазаспиро[4,5]декан-2,4-диона; 3-додецил-1-(2,2,6,6-тетраметилпиперидин-4-ил)пирролидин-2,5-диона; 3-додецил-1-(1-этаноил-2,2,6,6-тетраметилпиперидин-4-ил)пирролидин-2,5-диона; 3-додецил-1-(1,2,2,6,6-пентаметилпиперидин-4-ил)пирролидин-2,5-диона; смеси 4-гексадецилокси- и 4-стеарилокси-2,2,6,6-тетраметилпиперидина; 2-ундецил-7,7,9,9-тетраметил-1-окса-3,8-диаза-4-оксоспиро[4,5]декана; 1,5-диоксаспиро{5,5}ундекан-3,3-дикарбоновой кислоты, бис(2,2,6,6-тетраметил-4-пиперидинил) и 1,5-диоксаспиро{5,5}ундекан-3,3-дикарбоновой кислоты, бис(1,2,2,6,6-пентаметил-4-пиперидинил); N1-(β-гидроксиэтил)-3,3-пентаметилен-5,5-диметилпиперазин-2-она; N1-трет-октил-3,3,5,5-тетраметилдиазепин-2-она; N1-трет-октил-3,3-пентаметилен-5,5-гексаметилендиазепин-2-она; N1-трет-октил-3,3-пентаметилен-5,5-диметилпиперазин-2-она; транс-1,2-циклогексан-бис-(N1-5,5-диметил-3,3-пентаметилен-2-пиперазинона; транс-1,2-циклогексан-бис-(N1-3,3,5,5-диспиропентаметилен-2-пиперазинона); N1-изопропил-1,4-диазадиспиро-(3,3,5,5)пентаметилен-2-пиперазинона; N1-изопропил-1,4-диазадиспиро-3,3-пентаметилен-5,5-тетраметилен-2-пиперазинона; N1-изопропил-5,5-диметил-3,3-пентаметилен-2-пиперазинона; транс-1,2-циклогексан-бис-N1-(диметил-3,3-пентаметилен-2-пиперазинона); N1-октил-5,5-диметил-3,3-пентаметилен-1,4-диазепин-2-она и N1-октил-1,4-диазадиспиро-(3,3,5,5)-пентаметилен-1,5-диазепин-2-она.

[68]

В некоторых вариантах осуществления светостабилизатор на основе пространственно затрудненных аминов предусматривает сложные 2,2,6,6-тетраметил-4-пиперидиноловые эфиры C12-21-насыщенных и C18-ненасыщенных жирных кислот, доступные как CYASORB® UV-3853S (50 вес. % концентрат с LDPE) и CYASORB® UV-3853PP5 (50 вес. % концентрат с полипропиленом). Сложные 2,2,6,6-тетраметил-4-пиперидиноловые эфиры C12-21насыщенных и C18-ненасыщенных жирных кислот также могут быть представлены в виде концентратов с другими термопластичными полимерами, например, сополимером полипропилена или сополимером стирол-акрилонитрила. В некоторых вариантах осуществления светостабилизатор на основе пространственно затрудненных аминов предусматривает продукт конденсации N,N'-бис(2,2,6,6-тетраметилпиперидин-4-ил)гексаметилендиамина и 4-морфолино-2,6-дихлор-1,3,5-триазина, доступный как CYASORB® UV-3346. В некоторых вариантах осуществления может применяться комбинация стабилизаторов. Например, по меньшей мере одна добавка может представлять собой комбинацию сложных эфиров 2,2,6,6-тетраметил-4-пиперидинола с C12-21-насыщенными и C18-ненасыщенными жирными кислотами и гексадецил-3,5-ди-трет-бутил-4-гидроксибензоата.

[69]

"Органический фосфит или фосфонит" выбран из

[70]

соединения в соответствии с формулами 1-7:

[71]

[72]

[73]

[74]

в которых

[75]

индексы равняются целым числам, и n равняется 2, 3 или 4; p равняется 1 или 2; q равняется 2 или 3; r равняется 4-12; y равняется 1, 2 или 3, и z равняется 1-6;

[76]

A1, если n равняется 2, представляет собой C2-C18алкилен; C2-C12алкилен, прерванный атомом кислорода, серы или -NR4-; радикал формулы:

[77]

[78]

или фенилен;

[79]

A1, если n равняется 3, представляет собой радикал формулы -CrH2r-1-;

[80]

A1, если n равняется 4, представляет собой

[81]

[82]

A2 является таким, как определено для A1, если n равняется 2;

[83]

B представляет собой прямую связь, -CH2-, -CHR4-, -CR1R4-, серу, C5-C7циклоалкилиден или циклогексилиден, который замещен 1-4 C1-C4алкильными радикалами в положении 3, 4 и/или 5;

[84]

D1, если p равняется 1, представляет собой C1-C4алкил, и если p равняется 2, представляет собой -CH2OCH2-;

[85]

D2, если p равняется 1, представляет собой C1-C4алкил;

[86]

E, если y равняется 1, представляет собой C1-C18алкил, -OR1 или галоген;

[87]

E, если y равняется 2, представляет собой -O-A2-O-,

[88]

E, если y равняется 3, представляет собой радикал формулы R4C(CH2O-)3 или N(CH2CH2O-3;

[89]

Q представляет собой радикал по меньшей мере z-валентного спирта или фенола, при этом этот радикал присоединен посредством атома кислорода к атому фосфора;

[90]

R1, R2 и R3 независимо друг от друга представляют собой C1-C18алкил, который является незамещенным или замещенным галогеном, -COOR4, -CN или -CONR4R4; C2-C18алкил, прерванный атомом кислорода, серы или -NR4-; C7-C9фенилалкил; C5-C12циклоалкил, фенил или нафтил; нафтил или фенил, замещенный галогеном, 1-3 алкильными радикалами или алкоксирадикалами, содержащими в совокупности 1-18 атомов углерода, или C7-C9фенилалкилом; или радикал формулы (III):

[91]

(III),

[92]

в которой m представляет собой целое число в диапазоне от 3 до 6;

[93]

R4 представляет собой водород, C1-C8алкил, C5-C12циклоалкил или C7-C9фенилалкил,

[94]

R5 и R6 независимо друг от друга представляют собой водород, C1-C8алкил или C5-C6циклоалкил,

[95]

R7 и R8, если q равняется 2, независимо друг от друга представляют собой C1-C4алкил или вместе представляют собой 2,3-дегидропентаметиленовый радикал; и

[96]

R7 и R8, если q равняется 3, представляют собой метил;

[97]

R14 представляет собой водород, C1-C9алкил или циклогексил,

[98]

R15 представляет собой водород или метил, и если присутствуют два или более радикалов R14 и R15, то эти радикалы являются идентичными или разными,

[99]

каждый из X и Y представляет собой прямую связь или кислород,

[100]

Z представляет собой прямую связь, метилен, -C(R16)2- или серу, и

[101]

R16 представляет собой C1-C8 алкил; и

[102]

трисарилфосфита в соответствии с формулой (8):

[103]

(8),

[104]

где R17 представляет собой заместитель, который является одинаковым или разным, в 0-5 положениях ароматической части формулы (8) и независимо выбран из члена, который выбран из группы, состоящей из C1-C20алкила, C3-C20циклоалкила, C4-C20алкилциклоалкила, C6-C10арила и C7-C20алкиларила; и их комбинаций.

[105]

Предпочтительно, органический фосфит или фосфонит выбран из трифенилфосфита; дифенилалкилфосфитов; фенилдиалкилфосфитов; трилаурилфосфита; триоктадецилфосфита; дистеарилпентаэритритолфосфита; трис(2,4-ди-трет-бутилфенил)фосфита; трис(нонилфенил)фосфита; соединения формул (A), (B), (C), (D), (E), (F), (G), (H), (J), (K) и (L):

[106]

(A),

[107]

(B),

[108]

(C),

[109]

(D),

[110]

(E),

[111]

(F),

[112]

(G),

[113]

(H),

[114]

(J),

[115]

(K), (L);

[116]

2-бутил-2-этил-1,3-пропандиол-2,4,6-три-трет-бутилфенолфосфита, бис-(2,6-ди-трет-бутил-4-метилфенил)пентаэритритолдифосфита, 2-бутил-2-этил-1,3-пропандиол-2,4-ди-кумилфенолфосфита, 2-бутил-2-этил-1,3-пропандиол-4-метил-2,6-ди-трет-бутилфенолфосфита и бис-(2,4,6-три-трет-бутилфенил)пентаэритритолдифосфита.

[117]

Более предпочтительно, по меньшей мере один органический фосфит или фосфонит выбран из трис(2,4-ди-трет-бутилфенил)фосфита (IRGAFOS® 168); бис(2,4-дикумилфенил)пентаэритритолдифосфита (DOVERPHOS® S9228) и тетракис(2,4-ди-трет-бутилфенил)-4,4'-бифенилендифосфонита (IRGAFOS® P-EPQ).

[118]

Соединение с "пространственно затрудненным фенолом" содержит молекулярный фрагмент в соответствии с одной или несколькими формулами (IVa), (IVb) или (IVc):

[119]

[120]

(IVa) (IVb) (IVc),

[121]

где:

[122]

R18 выбран из водорода или C1-4гидрокарбила;

[123]

каждый из R19 и R20независимо выбран из водорода или C1-C20гидрокарбила; и

[124]

R37 выбран из C1-C12гидрокарбила.

[125]

Предпочтительными пространственно затрудненными фенолами являются таковые, где каждый из R18 и R37 независимо выбран из метила или трет-бутила. Более предпочтительно, по меньшей мере одно соединение c пространственно затрудненным фенолом выбрано из члена, который выбран из группы, состоящей из (1,3,5-трис(4-трет-бутил-3-гидрокси-2,6-диметилбензил)-1,3,5-триазин-2,4,6-(1H,3H,5H)-триона; 1,1,3-трис(2'-метил-4'-гидрокси-5'-трет-бутилфенил)бутана; триэтиленгликоль-бис[3-(3-трет-бутил-4-гидрокси-5-метилфенил)пропионата]; 4,4'-тиобис(2-трет-бутил-5-метилфенола); 2,2'-тиодиэтилен-бис[3-(3-трет-бутил-4-гидроксил-5-метилфенил)пропионата]; октадецил-3-(3'-трет-бутил-4'-гидрокси-5'-метилфенил)пропионата; тетракисметилен(3-трет-бутил-4-гидрокси-5-метилгидроциннамат)метана; N,N-гексаметилен-бис[3-(3-трет-бутил-4-гидрокси-5-метилфенил)пропионамида]; ди(4-трет-бутил-3-гидрокси-2,6-диметилбензил)тиодипропионата и октадецил-3,5-ди-трет-бутил-4-гидроксигидроциннамата.

[126]

"Хроман", применимый в настоящем изобретении, выбран из соединений формулы (V):

[127]

(V),

[128]

где:

[129]

R21 выбран из -COR28 или -Si(R29)3, где R28 выбран из H или C1-C20гидрокарбила; и R29 выбран из C1-C12гидрокарбила или алкокси;

[130]

R22 представляет собой заместитель, который может быть одинаковым или разным, в n=0-3 положениях ароматической части формулы V и независимо выбран из H или C1-C12гидрокарбила;

[131]

R23 выбран из H или C1-C12гидрокарбила;

[132]

R24 выбран из H или C1-C20гидрокарбила;

[133]

каждый из R25-R27 независимо выбран из члена, который выбран из группы, состоящей из H; C1-C12гидрокарбила и -OR30, где R30 выбран из H или C1-C12гидрокарбила; и

[134]

R27 представляет собой H или связь, которая вместе с R26образует =O.

[135]

Предпочтительно, соединение формулы (V) представляет собой соединение токоферола, выбранное из члена, который выбран из группы, состоящей из α-токоферола, β-токоферола, γ-токоферола, δ-токоферола, их изомеров, родственных токотриенолов и их смесей.

[136]

Еще одним предпочтительным хроманом является ацетат витамина Е в соответствии с формулой (VI):

[137]

(VI)

[138]

или его изомеры и/или смеси.

[139]

"Поглотитель ультрафиолетового света (УФ)" выбран из члена, который выбран из группы, состоящей из 2-гидроксибензофенона, 2-(2'-гидроксифенил)бензотриазола, 2-(2'-гидроксифенил)-1,3,5-триазина, бензоксазинона, оксамида, оксанилида и комбинации, содержащей по меньшей мере одно из вышеуказанного.

[140]

В одном предпочтительном варианте осуществления поглотитель ультрафиолетового света представляет собой соединение 2-(2'-гидроксифенил)-1,3,5-триазина в соответствии с формулой (VII):

[141]

(VII),

[142]

где:

[143]

каждый из R34 и R35 независимо выбран из члена, который выбран из группы, состоящей из необязательно замещенной C6-C10арильной группы, C1-C10гидрокарбилзамещенной аминогруппы, C1-C10ацила и C1-C10алкоксила; и

[144]

R36 представляет собой заместитель, который является одинаковым или разным, в 0-4 положениях феноксильной части формулы VII и в каждом случае независимо выбран из члена, который выбран из группы, состоящей из гидроксила, C1-C12гидрокарбила, C1-C12алкоксила, сложного C1-C12алкоксиэфира и C1-C12ацила.

[145]

Предпочтительно, соединение 2-(2'-гидроксифенил)-1,3,5-триазина выбрано из члена, который выбран из группы, состоящей из 4,6-бис-(2,4-диметилфенил)-2-(2-гидрокси-4-октилоксифенил)-s-триазина (CYASORB® 1164, доступный от Cytec (Solvay Group)); 4,6-бис-(2,4-диметилфенил)-2-(2,4-дигидроксифенил)-s-триазина; 2,4-бис(2,4-дигидроксифенил)-6-(4-хлорфенил)-s-триазина; 2,4-бис[2-гидрокси-4-(2-гидроксиэтокси)фенил]-6-(4-хлорфенил)-s-триазина; 2,4-бис[2-гидрокси-4-(2-гидрокси-4-(2-гидроксиэтокси)фенил]-6-(2,4-диметилфенил)-s-триазина; 2,4-бис[2-гидрокси-4-(2-гидроксиэтокси)фенил]-6-(4-бромфенил)-s-триазина; 2,4-бис[2-гидрокси-4-(2-ацетоксиэтокси)фенил]-6-(4-хлорфенил)-s-триазина; 2,4-бис(2,4-дигидроксифенил)-6-(2,4-диметилфенил)-s-триазина; 2,4-бис(4-бифенилил)-6-[2-гидрокси-4-[(октилоксикарбонил)этилиденокси]фенил]-s-триазина; 2,4-бис(4-бифенилил)-6-[2-гидрокси-4-(2-этилгексилокси)фенил]-s-триазина; 2-фенил-4-[2-гидрокси-4-(3-втор-бутилокси-2-гидроксипропилокси)фенил]-6-[2-гидрокси-4-(3-втор-амилокси-2-гидроксипропилокси)фенил]-s-триазина; 2,4-бис(2,4-диметилфенил)-6-[2-гидрокси-4-(3-бензилокси-2-гидроксипропилокси)фенил]-s-триазина; 2,4-бис(2-гидрокси-4-н-бутилоксифенил)-6-(2,4-ди-н-бутилоксифенил)-s-триазина; 2,4-бис(2,4-диметилфенил)-6-[2-гидрокси-4-(3-нионилокси-2-гидроксипропилокси)-5-α-кумилфенил]-s-триазина; метиленбис-{2,4-бис(2,4-диметилфенил)-6-[2-гидрокси-4-(3-бутилокси-2-гидроксипропокси)фенил]-s-триазина}; смеси димеров с метиленовыми мостиками, при этом мостики находятся в положениях 3:5', 5:5' и 3:3' в соотношении 5:4:1; 2,4,6-трис(2-гидрокси-4-изооктилоксикарбонилизопропилиденоксифенил)-s-триазина; 2,4-бис(2,4-диметилфенил)-6-(2-гидрокси-4-гексилокси-5-α-кумилфенил)-s-триазина; 2-(2,4,6-триметилфенил)-4,6-бис[2-гидрокси-4-(3-бутилокси-2-гидроксипропилокси)фенил]-s-триазина; 2,4,6-трис[2-гидрокси-4-(3-втор-бутилокси-2-гидроксипропилокси)-фенил]-s-триазина; смеси 4,6-бис-(2,4-диметилфенил)-2-(2-гидрокси-4-(3-додецилокси-2-гидроксипропокси)фенил)-s-триазина и 4,6-бис-(2,4-диметилфенил)-2-(2-гидрокси-4-(3-тридецилокси-2-гидроксипропокси)фенил)-s-триазина (TINUVIN® 400, доступный от BASF); 4,6-бис-(2,4-диметилфенил)-2-(2-гидрокси-4-(3-(2-этилгексилокси)-2-гидроксипропокси)-фенил)-s-триазина; 4,6-дифенил-2-(4-гексилокси-2-гидроксифенил)-s-триазина и их комбинаций.

[146]

В другом предпочтительном варианте осуществления поглотитель ультрафиолетового света на основе 2-(2'-гидроксифенил)бензотриазола выбран из: 2-(2'-гидрокси-5'-метилфенил)бензотриазола; 2-(3',5'-ди-трет-бутил-2'-гидроксифенил)бензотриазола; 2-(5'-трет-бутил-2'-гидроксифенил)бензотриазола; 2-(2'-гидрокси-5'-(1,1,3,3-тетраметилбутил)фенил)бензотриазола; 2-(3',5'-ди-трет-бутил-2'-гидроксифенил)-5-хлорбензотриазола; 2-(3'-трет-бутил-2'-гидрокси-5'-метилфенил)-5-хлорбензотриазола; 2-(3'-втор-бутил-5'-трет-бутил-2'-гидроксифенил)бензотриазола; 2-(2'-гидрокси-4'-октилоксифенил)бензотриазола; 2-(3',5'-ди-трет-амил-2'-гидроксифенил)бензотриазола; 2-(3',5'-бис-(α,α-диметилбензил)-2'-гидроксифенил)бензотриазола; 2-(3'-трет-бутил-2'-гидрокси-5'-(2-октилоксикарбонилэтил)фенил)-5-хлорбензотриазола; 2-(3'-трет-бутил-5'-[2-(2-этилгексилокси)-карбонилэтил]-2'-гидроксифенил)-5-хлорбензотриазола; 2-(3'-трет-бутил-2'-гидрокси-5'-(2-метоксикарбонилэтил)фенил)-5-хлорбензотриазола; 2-(3'-трет-бутил-2'-гидрокси-5'-(2-метоксикарбонилэтил)фенил)бензотриазола; 2-(3'-трет-бутил-2'-гидрокси-5'-(2-октилоксикарбонилэтил)фенил)бензотриазола; 2-(3'-трет-бутил-5'-[2-(2-этилгексилокси)карбонил]-2'-гидроксифенил)бензотриазола; 2-(3'-додецил-2'-гидрокси-5'-метилфенил)бензотриазола; 2-(3'-трет-бутил-2'-гидрокси-5'-(2-изооктилоксикарбонилэтил)фенилбензотриазола; 2,2'-метилен-бис[4-(1,1,3,3-тетраметилбутил)-6-бензотриазол-2-илфенола]; продукта переэтерификации 2-[3'-трет-бутил-5'-(2-метоксикарбонилэтил)-2'-гидроксифенил]-2H-бензотриазола с полиэтиленгликолем 300; [R-CH2CH2-COO-CH2CH2]2, где R представляет собой 3'-трет-бутил-4'-гидрокси-5'-2H-бензотриазол-2-илфенил; 2-[2'-гидрокси-3'-(α,α-диметилбензил)-5'-(1,1,3,3-тетраметилбутил)-фенил]бензотриазола; 2-[2'-гидрокси-3'-(1,1,3,3-тетраметилбутил)-5'-(α,α-диметилбензил)-фенил]бензотриазола и их смесей.

[147]

В еще одном аспекте поглотитель ультрафиолетового света на основе 2-гидроксибензофенона выбран из 4-гидрокси, 4-метокси, 4-октилокси, 4-децилокси, 4-додецилокси, 4-бензилокси, 4,2',4'-тригидрокси и 2'-гидрокси-4,4'-диметокси-производных 2-гидроксибензофенона и их смесей.

[148]

"Пространственно затрудненный бензоат", применяемый в настоящем изобретении, представляет собой соединение, выбранное из 4-трет-бутилфенилсалицилата, фенилсалицилата, октилфенилсалицилата, дибензоилрезорцина, бис(4-трет-бутилбензоил)резорцина, бензоилрезорцина, 2,4-ди-трет-бутилфенил-3,5-ди-трет-бутил-4-гидроксибензоата, гексадецил-3,5-ди-трет-бутил-4-гидроксибензоата, октадецил-3,5-ди-трет-бутил-4-гидроксибензоата, 2-метил-4,6-ди-трет-бутилфенил-3,5-ди-трет-бутил-4-гидроксибензоата и их смеси. В некоторых вариантах осуществления пространственно затрудненный бензоат предусматривает гексадецил-3,5-ди-трет-бутил-4-гидроксибензоат, доступный от Cytec (Solvay Group) в виде CYASORB® UV-2908.

[149]

Стабилизаторы класса "гидроксиламинов", применимые в настоящем изобретении, предусматривают по меньшей мере одно соединение, выбранное из члена, который выбран из группы, состоящей из:

[150]

соединения гидроксиламина в соответствии с формулой (VIII):

[151]

(VIII),

[152]

где:

[153]

T1 выбран из члена, который выбран из группы, состоящей из необязательно замещенного C1-C36гидрокарбила, необязательно замещенного C5-C12циклоалкила и необязательно замещенного C7-C9аралкила; и

[154]

T2 выбран из водорода или T1; и

[155]

соединения оксида третичного амина в соответствии с формулой (IX):

[156]

(IX),

[157]

где:

[158]

каждый из W1 и W2 независимо выбран из C6-C36гидрокарбила, выбранного из члена, который выбран из группы, состоящей из C6-C36алкила с прямой или разветвленной цепью, C6-C12арила, C7-C36аралкила, C7-C36алкарила, C5-C36циклоалкила, C6-C36алкоксиалкила и C6-C36циклоалкилалкила;

[159]

W3 выбран из C1-C36гидрокарбила, выбранного из члена, который выбран из группы, состоящей из C1-C36алкила с прямой или разветвленной цепью, C6-C12арила, C7-C36аралкила, C7-C36алкарила, C5-C36циклоалкила, C6-C36алкоксиалкила и C6-C36циклоалкилалкила;

[160]

при условии, что по меньшей мере один из W1, W2 и W3 содержит β-углерод-водородную связь;

[161]

где указанные алкильные, аралкильные, алкарильные, циклоалкильные, алкциклоалкильные и циклоалкилалкильные группы могут быть прерваны одной-шестнадцатью группами, выбранными из члена, который выбран из группы, состоящей из -O-, -S-, -SO-, -SO2-, COO, -OCO-, -CO-, NW4-, -CONW4- и -NW4CO-, или где указанные алкильные, аралкильные, алкарильные, циклоалкильные, алкциклоалкильные и циклоалкилаллильные группы могут быть замещены одной-шестнадцатью группами, выбранными из члена, который выбран из группы, состоящей из -OW4, -SW4, -COOW4, -OCOW4, -COW4, -N(W4)2, -CON(W4)2, -NW4COW4 и 5- и 6-членных колец, содержащих группу -C(CH3)(CH2Rx)NL(CH2Rx)(CH3)C-, или где указанные алкильные, аралкильные, алкарильные, циклоалкильные, алкциклоалкильные и циклоалкилалкильные группы как прерываются, так и замещены группами, упомянутыми выше;

[162]

где:

[163]

W4 выбран из водорода или C1-C8алкила;

[164]

Rx выбран из водорода или метила; и

[165]

L выбран из C1-C30алкила; фрагмента -C(O)R или фрагмента -OR, где R представляет собой C1-C30алкильную группу с прямой или разветвленной цепью; и

[166]

где указанные арильные группы могут быть замещены членом, выбранным из группы, состоящей из групп с одним-тремя атомами галогена, C1-C8алкильной группы, C1-C8алкоксигруппы и их комбинаций.

[167]

Предпочтительная композиция стабилизатора на основе "гидроксиламина" в соответствии с формулой (VIII) представляет собой N,N-дигидрокарбилгидроксиламин, где каждый из T1 и T2 независимо выбран из члена, который выбран из группы, состоящей из бензила, этила, октила, лаурила, додецила, тетрадецила, гексадецила, гептадецила и октадецила; или где каждый из T1 и T2 представляет собой смесь алкилов, присутствующую в гидрированном талловом амине.

[168]

Более предпочтительно, соединение в соответствии с формулой (VIII) представляет собой N,N-дигидрокарбилгидроксиламин, выбранный из члена, который выбран из группы, состоящей из N,N-дибензилгидроксиламина; N,N-диэтилгидроксиламина; N,N-диоктилгидроксиламина; N,N-дилаурилгидроксиламина N,N-дидодецилгидроксиламина; N,N-дитетрадецилгидроксиламина; N,N-дигексадецилгидроксиламина; N,N-диоктадецилгидроксиламина; N-гексадецил-N-тетрадецилгидроксиламина; N-гексадецил-N-гептадецилгидроксиламина; N-гексадецил-N-октадецилгидроксиламина; N-гептадецил-N-октадецилгидроксиламина и N,N-ди(гидрированного таллового)гидроксиламина.

[169]

Другим аспектом настоящего изобретения является получение композиций на основе маточной смеси, содержащей смолу, которые содержат ингибитор свободно-радикальной полимеризации. Во время изготовления, дистилляции/очистки и хранения/транспортировки этиленненасыщенных мономеров обычно принято вводить стабилизатор мономеров (т. е. ингибитор свободно-радикальных реакций). Эти ингибиторы разработаны для предотвращения преждевременной полимеризации этих мономеров, позволяя изготовлять, дистиллировать, очищать иным способом и хранить мономеры до момента превращения мономера в полезный полимер в контролируемых условиях полимеризации. Примеры этиленненасыщенных мономеров включают стирол, бутадиен, α-метилстирол, винилтолуол, винилнафталин, этилен, пропилен, винилацетат, винилверсатат, винилхлорид, винилиденхлорид, акрилонитрил, метакрилонитрил, (мет)акриламид, различные C1-40алкиловые сложные эфиры (мет)акриловой кислоты; например, метил(мет)акрилат, этил(мет)акрилат, н-бутил(мет)акрилат, 2-этилгексил(мет)акрилат, циклогексил(мет)акрилат, н-октил(мет)акрилат, н-децил(мет)акрилат, н-додецил(мет)акрилат, тетрадецил(мет)акрилат, лаурил(мет)акрилат, олеил(мет)акрилат, пальмитил(мет)акрилат и стеарил(мет)акрилат; другие (мет)акрилаты, такие как изоборнил(мет)акрилат, бензил(мет)акрилат, фенил(мет)акрилат, 2-бромэтил(мет)акрилат, 2-фенилэтил(мет)акрилат и 1-нафтил(мет)акрилат, алкоксиалкил(мет)акрилат, такой как этоксиэтил(мет)акрилат, моно-, ди- и триалкиловые сложные эфиры этиленненасыщенных ди- и трикарбоновых кислот и ангидридов, таких как этилмалеат, диметилфумарат, триметилаконитат и этилметилитаконат; мономеры с функциональной группой карбоновой кислоты, такие как (мет)акриловая кислота, итаконовая кислота, фумаровая кислота и малеиновая кислота, и хлорангидридные производные мономеров с функциональной группой карбоновой кислоты, такие как (мет)акрилоилхлорид. Этиленненасыщенный мономер может также представлять собой мономер с функциональной фосфатной, фосфинатной или фосфонитной группой, например, 2-фосфоэтил(мет)акрилат. Этиленненасыщенный мономер также может представлять собой полиэтиленненасыщенный мономер. Примеры полиэтиленненасыщенных мономеров включают аллил(мет)акрилат, трипропиленгликольди(мет)акрилат, диэтиленгликольди(мет)акрилат, этиленгликольди(мет)акрилат, 1,6-гександиолди(мет)акрилат, 1,3-бутиленгликольди(мет)акрилат, полиалкиленгликольди(мет)акрилат, диаллилфталат, триметилолпропантри(мет)акрилат, дивинилбензол, дивинилтолуол, тривинилбензол и дивинилнафталин. В некоторых вариантах осуществления этиленненасыщенный мономер предусматривает по меньшей мере один из метил(мет)акрилата, этил(мет)акрилата, бутил(мет)акрилата, 2-этилгексил(мет)акрилата, акрилонитрила, винилацетата, акролеина, бутадиена, стирола и хлоропрена.

[170]

В способах изготовления мономеров ингибиторы полимеризации используют отдельно или в комбинации. Ингибитор растворяют в подходящем для способа растворителе или самом мономере в смесительной (т. е. для смешивания) емкости. Ингибиторы растворяют в количестве от 1 до 50 вес. %, в зависимости от растворимости, с образованием концентратов. Затем концентраты загружают в технологический поток с получением концентрации конечного использования от 10 до 10000 ppm.

[171]

Ингибиторы полимеризации по отдельности загружают в смесительные емкости. Таким образом, для нескольких ингибиторов может потребоваться несколько добавок. Ингибиторы поставляются в виде тонкоизмельченных порошков, хлопьев, пастилок, гранул или жидкостей. При обработке и добавлении твердых форм к технологическим потокам используются пневматическая подача, винтовые и тарельчатые питатели, шнеки, поворотные клапаны или другие механические устройства. Использование этих устройств может приводить к истиранию, спеканию и комкованию ингибитора. Также ингибитор может спекаться и комковаться во время хранения в своей оригинальной упаковке или в бункере для хранения. Эти эксплуатационные проблемы являются потенциальными источниками потерь производительности. Кроме того, для загрузки ингибитора в системы смешивания могут потребоваться манипуляции со стороны работника, что может привести к воздействию потенциально опасных химических эффектов от химического вещества-ингибитора. Ингибиторы в форме тонкоизмельченных порошков могут представлять опасность взрыва пыли.

[172]

Таким образом, существует потребность в ингибиторах полимеризации, имеющих улучшенные свойства при обработке, т. е такие, при которых продукты не подвержены истиранию, распадению, спеканию или комкованию. Кроме того, предоставление комбинаций ингибиторов в одиночных пеллетах вместо необходимости обрабатывать и добавлять их в технологические потоки отдельно, упростило бы операции, связанные с получением и хранением мономеров.

[173]

Примеры ингибиторов полимеризации включают фенотиазин (PTZ) и его производные, дигидроксибензолы (например, гидрохинон (HQ), резорцин, катехол) и их производные (например, монометиловый эфир гидрохинона (MEHQ), трет-бутилгидрохинон (TBHQ), пара-бензохинон (PBQ), бутилированный гидроксианизол (BHA), бутилированный гидрокситолуол (BHT), трет-бутиловый катехол (TBC)). Другие ингибиторы полимеризации включают дибутилдитиокарбаматы металлов (например, дибутилдитиокарбаматы меди, марганца или серебра), нитроксильные радикалы (например, TEMPO, 4-гидрокси-TEMPO, 4-ацетамидо-TEMPO), ароматические амины (например, фенилендиамин, бутилированные дифениламины, октилированные дифениламины, фенил-α-метилнафтиламины), гидроксиламины (например, диэтилгидроксиламин), нитрозамины (например, пара-нитрозофенол) и пространственно затрудненные фенолы. Гидроксиламины и пространственно затрудненные фенолы дополнительно обсуждались в предыдущих абзацах. В некоторых вариантах осуществления ингибитор полимеризации предусматривает по меньшей мере одно из фенотиазина, производного фенотиазина, гидрохинона, монометилового эфира гидрохинона (MEHQ) и трет-бутилового катехола (TBC). В некоторых вариантах осуществления ингибитор полимеризации предусматривает фенотиазин (PTZ).

[174]

Другим аспектом настоящего изобретения является получение пеллет с закрытыми концами, в которых сердцевина содержит по меньшей мере один экстрагент металлов.

[175]

В некоторых вариантах осуществления в дополнение к стабилизатору сердцевина дополнительно содержит полимер-разбавитель. Полимер-разбавитель является таким же, как полимер во внешнем слое, или является отличным от него. В некоторых вариантах осуществления в дополнение к полимеру внешний слой дополнительно содержит по меньшей мере один стабилизатор. По меньшей мере один стабилизатор во внешнем слое может являться таким же, как по меньшей мере один стабилизатор в сердцевине, или являться отличным от него.

[176]

Способ получения композиции на основе маточной смеси, содержащей смолу, включает: совместное экструдирование в трубчатую форму материала сердцевины, инкапсулированного внешним слоем, где материал сердцевины содержит по меньшей мере одну добавку, и внешний слой содержит полимер, с образованием заполненной трубки; пропускание заполненной трубки через спаивающее устройство, с помощью которого разрезают заполненную трубку на несколько дискретных сегментов для спаивания и одновременно спаивают каждый конец каждого дискретного сегмента с образованием в результате пеллет с закрытыми концами; и охлаждение пеллет с закрытыми концами. Более подробно этот способ описан в примере 1 ниже, который включает описание экструзионной головки, изображенной на фигуре 6, и ее применение для совместного экструдирования материала сердцевины и внешнего слоя. В некоторых вариантах осуществления по меньшей мере две заполненные трубки одновременно экструдируют, разрезают, спаивают и охлаждают с помощью того же устройства с образованием по меньшей мере двух технологических потоков пеллет с закрытыми концами.

[177]

Композиции на основе маточной смеси, содержащей смолу, могут преимущественно применяться для стабилизации широкого спектра органических материалов. Таким образом, стабилизированную композицию получают из органического материала, подлежащего стабилизации, и композиции на основе маточной смеси, содержащей смолу. В некоторых вариантах осуществления органический материал предусматривает полимер, покрытие, формованное изделие, волокно, текстиль, пленку, этиленненасыщенный мономер, воск, органическое соединение, фотопленку, бумагу, косметическое средство, органический краситель или чернила. Примеры покрытий включают покрытия на основе органических растворителей, покрытия на водной основе и порошковые покрытия.

[178]

В некоторых вариантах осуществления органический материал представляет собой полимер. Примеры полимеров включают полиолефины, сложные полиэфиры, полиэфиры, поликетоны, полиамиды, природные и синтетические каучуки, полиуретаны, полистиролы, ударопрочные полистиролы, полиакрилаты, полиметакрилаты, полиацетали, полиакрилонитрилы, полибутадиены, полистиролы, терполимеры акрилонитрил-бутадиен-стирола, сополимеры стирол-акрилонитрила, терполимеры акрилат-стирол-акрилонитрила, ацетатбутират целлюлозы, целлюлозные полимеры, полиимиды, полиамидимиды, полиэфиримиды, полифенилсульфиды, полифениленоксиды, полисульфоны, полиэфирсульфоны, поливинилхлориды, поликарбонаты, термопластичные олефины, сшитые с аминовой смолой полиакрилаты и сложные полиэфиры, сшитые с полиизоцианатом сложные полиэфиры и полиакрилаты, фенол/формальдегид, мочевина/формальдегидные и меламин/формальдегидные смолы, высыхающие и невысыхающие алкидные смолы, алкидные смолы, смолы на основе сложных полиэфиров, акрилатные смолы, сшитые с меламиновыми смолами, мочевинные смолы, изоцианаты, изоцианураты, карбаматы, эпоксидные смолы, сшитые эпоксидные смолы, полученные из алифатических, циклоалифатических, гетероциклических и ароматических глицидильных соединений, которые сшиты с ангидридами или аминами, полисилоксаны, аддитивные полимеры Майкла, амины, заблокированные амины с активированными ненасыщенными и метиленовыми соединениями, кетимины с активированными ненасыщенным и метиленовыми соединениями, поликетимины в комбинации с ненасыщенными акриловыми полиацетоацетатными смолами, поликетимины в комбинации с ненасыщенными акриловыми смолами, композиции, отверждаемые излучением, эпоксимеламиновые смолы и комбинацию, содержащую по меньшей мере один из вышеуказанных полимеров.

[179]

В некоторых вариантах осуществления полимер представляет собой полиолефин. Полиолефин может представлять собой: i) полимеры моноолефинов, выбранные из полипропилена, полиизобутилена, полибут-1-ена, поли-4-метилпент-1-ена; ii) диолефины, выбранные из полиизопрена или полибутадиена; iii) полимеры циклоолефинов, выбранные из циклопентена и норборнена; iv) полиэтилен, выбранный из необязательно сшитого полиэтилена, полиэтилена высокой плотности (HDPE), полиэтилена высокой плотности и высокой молекулярной массы (HDPE-HMW), полиэтилена высокой плотности и сверхвысокой молекулярной массы (HDPE-UHMW), полиэтилена средней плотности (MDPE), полиэтилена низкой плотности (LDPE), линейного полиэтилена низкой плотности (LLDPE), полиэтилена очень низкой плотности (VLDPE) и полиэтилена сверхнизкой плотности (ULDPE); v) их сополимеры или vi) смеси, содержащие по меньшей мере один из вышеуказанных полиолефинов.

[180]

Стабилизированная композиция содержит от 0,001 до 75% по весу стабилизатора в пересчете на общий вес композиции на основе стабилизатора. В пределах данного диапазона стабилизированная композиция может содержать от 0,01% до 65% по весу, от 0,01% до 50% по весу, от 0,01% до 25% по весу, от 0,01% до 15% по весу, от 0,05% до 10% по весу или от 0,05 до 5 вес. % стабилизатора в пересчете на общий вес стабилизированной композиции.

[181]

В дополнение к органическому материалу, подлежащему стабилизации, и композиции на основе маточной смеси, содержащей смолу, стабилизированная композиция может дополнительно включать традиционные добавки, в том числе без ограничения деактиваторы металлов, нитроны, лактоны, костабилизаторы, зародышеобразователи, осветляющие средства, нейтрализаторы, стеараты металлов, оксиды металлов, гидроталькиты, наполнители и упрочняющие средства, пластификаторы, смазки, эмульгаторы, пигменты, реологические добавки, катализаторы, средства для регулировки уровня, оптические отбеливатели, добавки, придающие огнеупорные свойства, антистатические средства и вспенивающие средства.

[182]

Композицию на основе маточной смеси, содержащей смолу, можно применять для получения стабилизированной композиции. В свою очередь, стабилизированная композиция может применяться в различных изделиях, в том числе без ограничения автомобильных деталях, геомембранах, сельскохозяйственных пленках и солнечных батареях. Примеры геомембран включают противофильтрационные облицовки водоемов, грунтовые покрытия, подстилающий слой, водные барьеры, мембраны для контроля эрозии и т. п. Стабилизированные композиции также могут применяться в любом другом изделии, на которое может оказывать благоприятное действие термическая и/или УФ-стабилизация.

[183]

Другим аспектом настоящего изобретения является способ получения изделия, при этом способ включает смешение в расплаве композиции на основе маточной смеси, содержащей смолу, с полимером с образованием стабилизированной композиции и формование стабилизированной композиции с образованием формованного изделия. Смешивание в расплаве может осуществляться в замешивающем аппарате, таком как одно- или двухшнековый экструдер, смеситель Бенбери или горячие ролики. Формование может представлять собой литьевое формованием, ротационное формование, формование выдуванием, формование "с рулона на рулон", инжекционное формование металла, формование прессованием, трансферное формование, формование окунанием, формование с помощью выдувания газом, инжекционное формование с вкладышами, микроформование, реакционное инжекционное формование и двухкомпонентное инжекционное формование.

[184]

Настоящее изобретение включает по меньшей мере следующие варианты осуществления.

[185]

Вариант осуществления 1. Композиция на основе маточной смеси, содержащей смолу, представленная в виде пеллет с закрытыми концами, содержащих сердцевину и внешний слой, инкапсулирующий указанную сердцевину, где сердцевина содержит по меньшей мере одну добавку, и внешний слой содержит полимер, отличающаяся тем, что толщина внешнего слоя составляет от 0,001 мм до 1 см.

[186]

Вариант осуществления 2. Композиция на основе маточной смеси, содержащей смолу, как определено в варианте осуществления 1, где по меньшей мере одна добавка предусматривает стабилизатор.

[187]

Вариант осуществления 3. Композиция на основе маточной смеси, содержащей смолу, как определено в варианте осуществления 2, где стабилизатор предусматривает по меньшей мере одно из светостабилизаторов на основе пространственно затрудненных аминов (HALS), органического фосфита или фосфонита, пространственно затрудненного фенола, хромана, поглотителя ультрафиолетового света (УФ), пространственно затрудненного бензоата, гидроксиламина, оксида третичного амина и ингибитора свободно-радикальной полимеризации.

[188]

Вариант осуществления 4. Композиция на основе маточной смеси, содержащая смолу, как определено в варианте осуществления 2, где стабилизатор предусматривает сложные эфиры 2,2,6,6-тетраметил-4-пиперидинола с C12-21-насыщенными и C18-ненасыщенными жирными кислотами.

[189]

Вариант осуществления 5. Композиция на основе маточной смеси, содержащей смолу, как определено в варианте осуществления 2, где стабилизатор предусматривает по меньшей мере одно из фенотиазина, производного фенотиазина, гидрохинона и монометилового эфира гидрохинона (MEHQ).

[190]

Вариант осуществления 6. Композиция на основе маточной смеси, содержащей смолу, определенная в любом из вариантов осуществления 1-5, где полимер представляет собой термопластичный полимер.

[191]

Вариант осуществления 7. Композиция на основе маточной смеси, содержащей смолу, как определено в варианте осуществления 6, где термопластичный полимер предусматривает по меньшей мере одно из полиолефинов, сложных полиэфиров, полиэфиров, поликетонов, полиамидов, природных и синтетических каучуков, полиуретанов, полистиролов, ударопрочных полистиролов, полиакрилатов, полиметакрилатов, полиацеталей, полиакрилонитрилов, полибутадиенов, терполимеров акрилонитрил-бутадиен-стирола, сополимеров стирол-акрилонитрила, терполимеров акрилат-стирол-акрилонитрила, ацетатбутирата целлюлозы, целлюлозных полимеров, полиимидов, полиамидимидов, полиэфиримидов, полифениленсульфидов, полифениленоксидов, полисульфонов, полиэфирсульфонов, поливинилхлоридов, поликарбонатов и сополимеров этилен-винилацетата.

[192]

Вариант осуществления 8. Композиция на основе маточной смеси, содержащей смолу, как определено в варианте осуществления 6, где термопластичный полимер предусматривает по меньшей мере одно из полиэтилена, полипропилена, полипропиленового сополимера, полистирола и сополимера стирол-акрилонитрила.

[193]

Вариант осуществления 9. Композиция на основе маточной смеси, содержащей смолу, как определено в любом из вариантов 6-8, где сердцевина дополнительно содержит термопластичный полимерный разбавитель, который является таким же, как термопластичный полимер во внешнем слое, или является отличным от него.

[194]

Вариант осуществления 10. Композиция на основе маточной смеси, содержащей смолу, как определено в любом из вариантов осуществления 1-9, где внешний слой содержит по меньшей мере один стабилизатор.

[195]

Вариант осуществления 11. Стабилизированная композиция, полученная из органического материала, подлежащего стабилизации, и композиции на основе маточной смеси, содержащей смолу, как определено в любом из вариантов осуществления 1-10.

[196]

Вариант осуществления 12. Стабилизированная композиция, как определено в варианте осуществления 11, где органический материал предусматривает полимер, покрытие, формованное изделие, текстиль, волокно, пленку, этиленненасыщенный мономер, воск, органическое соединение, фотографическую пленку, бумагу, косметическое средство, органический краситель или чернила.

[197]

Вариант осуществления 13. Применение композиции на основе маточной смеси, содержащей смолу, как определено в любом из вариантов осуществления 1-10, для получения стабилизированной композиции.

[198]

Вариант осуществления 14. Способ получения композиции на основе маточной смеси, содержащей смолу, как определено в любом из вариантов осуществления 1-10, при этом способ предусматривает совместное экструдирование в трубчатую форму материала сердцевины, инкапсулированного внешним слоем, где материал сердцевины содержит по меньшей мере одну добавку, и внешний слой содержит полимер, с образованием заполненной трубки; пропускание заполненной трубки через спаивающее устройство, с помощью которого разрезают заполненную трубку на несколько дискретных сегментов и одновременно спаивают каждый конец каждого дискретного сегмента с образованием в результате пеллет с закрытыми концами; и охлаждение пеллет с закрытыми концами.

[199]

Вариант осуществления 15. Способ, как определено в варианте осуществления 14, где по меньшей мере две заполненные трубки одновременно экструдируют, разрезают, спаивают и охлаждают с помощью того же устройства с образованием по меньшей мере двух технологических потоков пеллет с закрытыми концами.

[200]

Вариант осуществления 16. Способ получения изделия, при этом способ включает смешение в расплаве композиции на основе маточной смеси, содержащей смолу, согласно любому из вариантов осуществления 1-10 с полимером с образованием стабилизированной композиции и формование стабилизированной композиции с образованием формованного изделия.

[201]

Примеры. Следующие примеры приведены в помощь специалисту в данной области техники для дополнительного понимания некоторых вариантов осуществления. Эти примеры предназначены для иллюстративных целей и не должны истолковываться как ограничивающие объем настоящего изобретения.

[202]

Пример 1. Способ изготовления инкапсулированных стабилизаторов (CEP). Ссылка делается на фигуру 6, на которой изображена экструзионная головка и образование пеллеты с закрытыми концами в соответствии с настоящим изобретением. Внешний слой, обеспечиваемый в виде полимера (например, полипропилена, сополимера полипропилена, полиэтилена или сополимера стирол-акрилонитрила), загружали в экструдер (внешняя экструзионная головка 1, внутренняя экструзионная головка 5) через соединительный с экструдером патрубок для полимера 4 и в канал 2 для расплава полимера. Материал сердцевины, обеспечиваемый в виде стабилизатора (например, CYASORB® UV-3853 или фенотиазин), загружали в другую часть экструзионной головки 1 с помощью насосной системы или другого экструдера через соединительный патрубок 3. В ходе совместной экструзии головка экструдера 1 формовала полимерную трубку 7, которая одновременно заполнялась материалом сердцевины из отверстия мундштука 6. Затем заполненную трубку вводили в закрывающее устройство 8 для спаивания и разрезания. Затем заполненную трубку одновременно спаивали с каждого конца (закрытый конец) трубки и разрезали на несколько дискретных сегментов с образованием нескольких пеллет с закрытыми концами. Затем пеллеты охлаждали водой, подаваемой водораспылительным соплом 9. Затем пеллеты с закрытыми концами сушили и упаковывали. На фигуре 2 изображены иллюстративные пеллеты с закрытыми концами в соответствии с настоящим изобретением. На фигуре 2A изображены различные формы фенотиазина, порошок (слева), гранула (составленная в полистироле, по центру) и CEP (с инкапсулирующим веществом, представляющим собой полистирол, справа). На фигуре 2B изображены различные размеры фенотиазина, икапсулированного в полистироле (CEP). Масштабная линейка размечена в сантиметрах.

[203]

Пример 2. Эффект от применения инкапсулированных стабилизаторов (CEP) в отношении распределения стабилизаторов в полимере после окончательной переработки. Следующий эксперимент планировали для того, чтобы продемонстрировать полезность инкапсулированных стабилизаторов в стабилизации полимера и исследовать любой неблагоприятный эффект от применения инкапсулированных стабилизаторов (CEP) в отношении распределения стабилизаторов в полимере после окончательной переработки. В рамках этого эксперимента исследовали два разных образца инкапсулированных стабилизаторов (CEP) вместе с одним сравнительным образцом в виде цилиндрических пеллет, как показано в таблице 1.

[204]

Оборудование и материал. Применяемое оборудование: Davis-Standard (Killion); тип смолы: полипропиленовая смола (Pro-fax 6301); диапазон температурного профиля: 205-230°C.

[205]

Описание способа. После выдерживания экструдера при требуемой температуре окончательной переработки(205-230°C) в течение одного часа включали пеллетизатор, воздуходувку и экструдер. Скорость электродвигателя экструдера и скорости пеллетизатора синхронизировали (т. е. устанавливали на примерно одинаковой скорости) с тем, чтобы материал равномерно протекал через ванну в пеллетизатор). Скорость экструдера поддерживали на уровне 65 об./мин. Составленную смолу (со стабилизаторами в форме цилиндрических пеллет и CEP), полученную с целью достижения 0,25% концентрации в полимере, выливали в воронку бункерного загрузочного устройства экструдера. Через несколько минут из мундштука вытекал прозрачный материал. Материал, выходящий из мундштука, вытекал в ледяную воду, где нити затвердевали. Нити подавали в пеллетизатор, скорость шнека экструдера регулировали до соответствующей скорости вращения (65 об./мин), и пеллеты из блока пеллетизатора собирали в полиэтиленовый пакет.

[206]

Пеллеты с PP анализировали в отношении количества стабилизатора с помощью GC/FID, и результаты показаны в таблице 1, которые демонстрируют, что целевая концентрация достигалась с помощью технологии CEP по настоящему изобретению, как в сравнительном образце в виде цилиндрических пеллет, и при этом какого-либо неблагоприятного эффекта не наблюдали.

[207]

Таблица 1. Распределение стабилизатора в полипропилене

[208]

ФормаMB стабилизатораКонцентрация стабилизатора
(по весу)
Целевая
конц. в PP
(по весу)
Определенная в анализе
конц. в PP
(по весу)
Цилиндрические пеллетыUV-3853PP550% активен в PP0,25%0,23%
CEPUV-3853PPC70% активен в PPC0,25%0,26%
CEPUV-3808PPC 70% активен в PPC0,25%0,24%

[209]

Пример 3. Эффект от применения инкапсулированных стабилизаторов (CEP) в отношении закупоривания питающего отверстия экструдера. В этом эксперименте моделировали закупоривание питающего отверстия экструдера для исследования эффекта в отношении образования отложений стабилизатора. Как можно увидеть в таблице 2 и на фигуре 3I, материал CEP не оставил никаких отложений, в то время как хлопьевидный материал и материал MB оболочки продемонстрировали отложения на шнеке экструдера (фигуры 3C и 3F соответственно), что демонстрирует явное преимущество применения технологии CEP.

[210]

Оборудование: Davis-Standard (Killion); температура: 90-100°C в бункерном загрузочном устройстве; время выдерживания: 1 ч. (перед включением шнека); количество образца: 50-100 г; маточная смесь: UV-3853S (50% активен в LDPE, хлопья), UV-3853PP5 (50% активен в PP, цилиндрические пеллеты), UV-3853PPC (70% активен в PPC, CEP).

[211]

Три материала, хлопья, цилиндрические пеллеты и CEP, загружали в бункерное загрузочное устройство отдельно и идентичным способом и выдерживали в течение 1 ч. при 90-100°C в бункерном загрузочном устройстве. Затем шнек экструдера включали и в отношении осаждения любого остатка в бункерном загрузочном устройстве или шнеке экструдера присваивали следующие оценки. Как ясно из таблицы 2 и фигур 3А-I, только CEP не оставляли никаких отложений и были наиболее действенными.

[212]

Система оценки: 1 - отсутствие отложения в бункерном загрузочном устройстве, питающем отверстии экструдера и шнеке экструдера; 2 - минимальное отложение в бункерном загрузочном устройстве, питающем отверстии экструдера и шнеке экструдера; 3 - небольшое отложение в бункерном загрузочном устройстве, питающем отверстии экструдера и шнеке экструдера; 4 - значительное отложение в бункерном загрузочном устройстве, питающем отверстии экструдера и шнеке экструдера. Результаты показаны в таблице 2 ниже.

[213]

Таблица 2. Закупоривание питающего отверстия экструдера

[214]

ФормаMB стабилизатораКонцентрация стабилизатора
(по весу)
Оценка
ХлопьяUV-3853S50% активен в LDPE4
Цилиндрическая пеллетаUV-3853PP550% активен в PP3
CEPUV-385370% активен в PP1

[215]

Пример 4. Сравнительное исследование агломерации - комкования и слеживания добавок. Этот эксперимент проводили для оценки комкования, слеживания и хрупкости порошков на основе стабилизатора (и других форм) во время хранения и обработки при значениях температуры выше температуры окружающей среды. Точки плавления некоторых добавок довольно низки(25-40°C), что приводит к проблемам, связанным с комкованием и обработкой, в летние месяцы. Поэтому был разработан способ тестирования для измерения относительных свойств комкования, слеживания, хрупкости и текучести добавок или пеллет с маточной смесью (20-60% добавок в полимерной основе), хранящихся при температуре выше комнатной в диапазоне 40-60°C. Комкование относится к агломерации или слипанию частиц добавок или пеллет с маточной смесью. Слеживание относится к агломерации пеллет с добавками, что приводит к сниженным свойствам текучести, а хрупкость относится к частицам или пеллетам с добавками, которые легко рассыпаются или измельчаются.

[216]

Методика. Количества стабилизатора приведены в таблице 3 ниже. Инкапсулирующее вещество представляло собой полипропилен (PP) для CEP и цилиндрических пеллет. В стакан объемом 250 мл помещали по 50 г каждого образца, поверх порошка или пеллет помещали банку немного меньшего размера, затем поверх банки меньшего размера ставили груз весом 500 г с целью приложения постоянного давления. Помещали образец в печь с принудительной подачей воздуха (Blue M Oven) с поддерживаемой температурой при 40, 50 или 60°C на 24 часа. (Для каждого температурного воздействия использовали новый образец). Охлаждали до комнатной температуры в течение двух часов. Оценивали образец в отношении свойств комкования, слеживания, хрупкости и текучести, используя нижеуказанную систему оценки:

[217]

оценка 1 - свободно-текучий,

[218]

оценка 2 - несколько комков, легко распадаются (хрупкие),

[219]

оценка 3 - в основном комки, распадаются с некоторым усилием (немного хрупкие),

[220]

оценка 4 - в основном комки, не распадаются,

[221]

оценка 5 - расплавленное твердое вещество.

[222]

Результаты, полученные при 50°C, приведены в таблице 3 ниже

[223]

Таблица 3. Сравнительное исследование агломерации

[224]

ФормаСтабилизатор и концентрацияВнешний слойОценка агломерации (50°C)
1CEP50 вес. % UV-3853PP1
2CEP60 вес. % UV-3853PP1
3CEP70 вес. % UV-3853PP1
4CEP50 вес. % UV-3853 PE1
5CEP70 вес. % UV-3853PE1
6CEP60 вес. % UV-3853SAN1
7CEP60 вес. % UV-3853SAN1
8CEP50 вес. % UV-3853PPC1
9CEP70 вес. % UV-3853 PPC1
10ХлопьяUV-3853S (50 вес. % активен в LDPE)Отсутствует3
11Круглые пеллетыUV-3853PP5 (50 вес. % активен в PP) Отсутствует3
12Цилиндрические пеллетыUV-3853PP5 (50 вес. % активен в PP)PP4

[225]

На фигуре 4А показаны фотографии, демонстрирующие результаты для образцов 1-3, а на фигуре 4В показаны фотографии, демонстрирующие результаты для сравнительных образцов 10-12.

[226]

Пример 5. Оценка хрупкости при транспортировке: тест на шейкере (шейкер Red Devil - модель № 5400). Тест разрабатывали так, чтобы оценить стабилизаторы CEP по настоящему изобретению в сравнении с формами материала, известными из уровня техники, а именно MB и MB оболочки. Проблема возникает, когда при транспортировке и перевозке некоторые стабилизаторы или смеси стабилизаторов могут стать рыхлыми, образуя значительное количество мелких частиц, которые могут быть неприемлемыми для конечного потребителя.

[227]

Образцы тестировали следующим образом. Точно взвешенную широкогорлую стеклянную банку весом 16 унций заполняли образцом так, чтобы она была заполнена на 1/3. (Около 140 грамм для пеллет). Следили за тем, чтобы избежать попадания порошка в банку. Закрывали банку соответствующей крышкой. Помещали банку на шейкер Red Devil (модель № 5400) и надежно затягивали зажим, завинтив основание вверх, для гарантии того, что банка с образцом случайно не выпадет во время процесса встряхивания. Образцы встряхивали в течение 5 минут. Содержимое банки выгружали через сетчатый фильтр размером 35 меш (диаметр 0,011 дюйма - 0,0175 дюйма) на лоток из фольги. Вес "мелких частиц" представлял собой совокупный вес порошка в лотке и остаточного порошка в стакане.

[228]

Таблица 4. Процент потери стабилизатора из-за хрупкости при транспортировке

[229]

ФормаСтабилизатор и концентрацияИнкапсули-рующее вещество% потериФигура
1CEP50 вес. % UV-3853PP0,00%5A
2CEP60 вес. % UV-3853PP0,03%5B
3CEP70 вес. % UV-3853PP0,00%
4CEP50 вес. % UV-3853PE0,01%5D
5CEP70 вес. % UV-3853PE0,00%5E
6CEP60 вес. % UV-3853SAN0,07%
7CEP60 вес. % UV-3853SAN0,07%-
8CEP50 вес. % UV-3853PPC0,00%-
9CEP70 вес. % UV-3853PPC0,00%-
10ХлопьяUV-3853S (50% активен в LDPE)Отсутствует16,39%5G
11Круглые пеллетыUV-3853PP5 (50% активен в PP) Отсутствует0,22%5H
12Цилиндрические пеллетыUV-3853PP5 (50% активен в PP)PP0,21%5I

[230]

Пример 7. Полимерный разбавитель в сердцевине. Пеллеты с закрытыми концами получали с использованием CYASORB® UV-3853S, который состоял из 50 вес. % UV-3853 и 50 вес. % LDPE в качестве сердцевины и PP в качестве внешнего слоя, инкапсулирующего сердцевину. Сердцевина и внешний слой составляли соответственно 60 вес. % и 40 вес. % от общего веса CEP. Таким образом, в общем композиция CEP составляла 30 вес. % UV-3853, 30 вес. % LDPE и 40 вес. % PP.

[231]

Пример 8. Стабилизатор во внешнем слое, инкапсулирующем сердцевину. Пеллеты с закрытыми концами получали с использованием CYASORB® UV-3853 (100% активный) в качестве сердцевины и смеси из 50 вес. % CYASORB® UV-3346 и 50 вес. % PP в качестве внешнего слоя, инкапсулирующего сердцевину. Сердцевина и внешний слой составляли соответственно 60 вес. % и 40 вес. % от общего веса CEP. Таким образом, в общем композиция CEP составляла 60 вес. % UV-3853, 20 вес. % UV-3346 и 20 вес. % PP.

[232]

Пример 9. Сравнение времени растворения в стироле для различных форм фенотиазина. Время растворения определяли как время, затрачиваемое на полное растворение в стироле фенотиазина (2 вес. %), а также полистирольной основы (для гранулы) или инкапсулирующего вещества (для CEP) с образованием гомогенного раствора. Результаты подытожены в таблице ниже, и они демонстрируют, что форма CEP фенотиазина легко растворяется в стироловом мономере, растворяясь полностью и столь же быстро, как и гранулированная форма. Полистирольный полимер полностью растворяется в стирольном мономере, сводя к минимуму любое неблагоприятное воздействие на любые последующие производственные операции, в том числе дистилляцию.

[233]

Таблица 5. Оценка времени растворения в стироле

[234]

ПорошокГранулыCEP
Время растворения (мин.)72121
Средний размер частиц (мкм)3501,00010,000

[235]

Пример 10. Сравнение хрупкости и целостности различных форм фенотиазина. Образцы фенотиазина в форме порошка, гранул в полистироле и CEP (инкапсулированных в полистироле) помещали в банку и энергично встряхивали. Образцы визуально оценивали в отношении образования пыли сразу после добавления образца и снова - после интенсивного встряхивания. Результаты подытожены в таблице 6 ниже, в которой степень пылеобразования характеризовалась как "отсутствие", "незначительное", "умеренное".

[236]

Таблица 6. Оценка образования пыли

[237]

Визуальная оценкаПорошокГранулыCEP
ПервоначальнаяНезначительноеОтсутствуетОтсутствует
После встряхиванияУмеренноеНезначительноеОтсутствует

[238]

Эти результаты демонстрируют, что форма CEP фенотиазина характеризуется превосходной целостностью продукта и менее склонна к образованию порошка и пыли, чем даже гранулированная форма. Исходя из этих результатов, ожидается, что форма CEP будет менее склонна к спеканию/комкованию или закупориванию/засорению технологического оборудования, что устраняет непосредственное воздействие фенотиазина на рабочих и сводит к минимуму любые опасности относительно взрыва пыли.

[239]

Также могут быть получены CEP других стабилизаторов мономеров (т. е. ингибиторы), как по отдельности, так и в комбинации. Другие термопластичные полимеры, раскрытые в данном документе, могут быть использованы в качестве инкапсулирующего вещества для получения CEP. Выбор термопластичного полимера частично зависит от его скорости растворения в ингибированном мономере или растворителе.

[240]

В данной заявке упоминались различные ссылки на патенты и/или научную литературу. Раскрытие этих публикаций во всей их полноте включено в данный документ с помощью ссылки, как если бы оно было написано в данном документе. Ввиду приведенных выше описания и примеров специалист в данной области техники сможет осуществить на практике заявляемое изобретение без проведения излишних экспериментов.

[241]

Хотя в вышеизложенном описании показаны, описаны и обозначены основные новые признаки настоящего изобретения, будет понятно, что различные упущения, замены и изменения в деталях аппарата в той форме, в которой они проиллюстрированы, а также в его вариантах применения, могут быть сделаны специалистами в данной области техники, не отходя от объема идей настоящего изобретения. Следовательно, объем настоящего изобретения не должен ограничиваться вышеизложенным обсуждением, а должен определяться прилагаемой формулой изобретения.

Как компенсировать расходы
на инновационную разработку
Похожие патенты