Настоящее изобретение относится к радиационно-отверждаемым диспергируемым в воде уретан(мет)акрилатам, к водным покрывающим композициям, содержащим их, к их применению и к способу их получения. Указанный уретан(мет)акрилат образован из (а) по меньшей мере одного (цикло)алифатического ди- и/или полиизоцианата, (b1) по меньшей мере одного алифатического диола с молярной массой менее 700 г/моль, (b2) по меньшей мере одного сложного полиэфирдиола со средневесовой молярной массой от 700 до 2000 и кислотным числом не более 20 мг KОН/г, (с) по меньшей мере одного соединения, имеющего по меньшей мере одну гидроксильную группу и по меньшей мере одну свободно-радикально полимеризуемую ненасыщенную группу, (d) по меньшей мере одного соединения, имеющего по меньшей мере одну реакционоспособную по отношению к изоцианату группу и по меньшей мере одну кислотную группу, (е) по меньшей мере одного основания на основе щелочного металла, (f) необязательно по меньшей мере одного моно- и ди-С-С-алкиламина и (g) по меньшей мере одного монофункционального полиалкиленоксидного простого полиэфирного спирта. Полученные уретан(мет)акрилаты проявляют хорошую стабильность и хорошие свойства пигментации в дисперсии и могут быть использованы в качестве покрытий для древесины, бумаги, кожи, пластиковых поверхностей и т.д., в том числе в качестве печатной краски. 5 н. и 9 з.п. ф-лы, 1 табл., 1 пр.
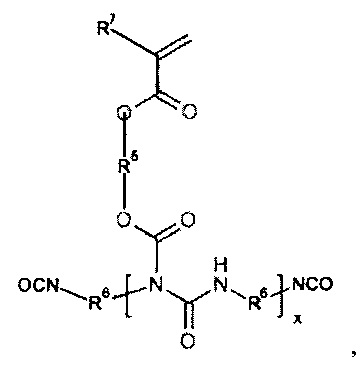
1. Радиационно-отверждаемый диспергируемый в воде уретан(мет)акрилат (А), по существу образованный из (а) по меньшей мере одного (цикло)алифатического ди- и/или полиизоцианата, (b1) по меньшей мере одного алифатического диола, имеющего молярную массу менее 700 г/моль, (b2) по меньшей мере одного сложного полиэфирдиола, имеющего средневесовую молярную массу Mw от 700 до 2000 и предпочтительно кислотное число согласно DIN 53240 не более 20 мг КОН/г, (c) по меньшей мере одного соединения (с), имеющего по меньшей мере одну реакционноспособную в отношении изоцианата группу, выбранную из -ОН, и по меньшей мере одну свободнорадикально полимеризуемую ненасыщенную группу, (d) по меньшей мере одного соединения, имеющего по меньшей мере одну реакционноспособную в отношении изоцианата группу и по меньшей мере одну кислотную группу, (e) по меньшей мере одного основания на основе щелочного металла для по меньшей мере частичной нейтрализации кислотных групп компонента (d), (f) необязательно по меньшей мере одного моно- и ди-С1-С4-алкиламина, (g) по меньшей мере одного монофункционального полиалкиленоксидного простого полиэфирного спирта. 2. Уретан(мет)акрилат по п. 1, где компонент (а) представляет собой смесь циклоалифатического или алифатического мономерного диизоцианата (а1) и полиизоцианата (а2) на основе циклоалифатического или алифатического мономерного диизоцианата. 3. Уретан(мет)акрилат по п. 2, где компонент (а1) выбран из группы, состоящей из гексаметилендиизоцианата, 1,3-бис(изоцианатметил)циклогексана, изофорондиизоцианата и 4,4'- или 2,4'-ди(изоцианатциклогексил)метана. 4. Уретан(мет)акрилат по п. 2 или 3, где полиизоцианат (а2) представляет собой полиизоцианат, имеющий изоциануратные группы, уретдиондиизоцианат, полиизоцианат, имеющий биуретные группы, полиизоцианат, имеющий уретановые или аллофанатные группы. 5. Уретан(мет)акрилат по п. 2, где полиизоцианат (а2) представляет собой соединение формулы в которой R5 представляет собой двухвалентный алкиленовый радикал, который имеет от 2 до 12 атомов углерода и может необязательно быть замещен С1-С4-алкильными группами и/или прерываться одним или более атомами кислорода, предпочтительно имеющий от 2 до 10 атомов углерода, более предпочтительно от 2 до 8 и наиболее предпочтительно имеющий от 3 до 6 атомов углерода, R6 представляет собой двухвалентный алкиленовый радикал или циклоалкиленовый радикал, который имеет от 2 до 20 атомов углерода и может необязательно быть замещен С1-С4-алкильными группами и/или прерываться одним или более атомами кислорода, предпочтительно имеющий от 4 до 15 атомов углерода, более предпочтительно имеющий от 6 до 13 атомов углерода, R7 представляет собой водород или метил, предпочтительно водород, и X представляет собой положительное число, имеющее статистическое среднее от 2 до 6, предпочтительно от 2 до 4. 6. Уретан(мет)акрилат по п. 1, где компонент (b1) выбран из группы, состоящей из этиленгликоля, пропан-1,2-диола, пропан-1,3-диола, бутан-1,2-диола, бутан-1,3-диола, бутан-1,4-диола, бутан-2,3-диола, пентан-1,2-диола, пентан-1,3-диола, пентан-1,4-диола, пентан-1,5-диола, пентан-2,3-диола, пентан-2,4-диола, гексан-1,2-диола, гексан-1,3-диола, гексан-1,4-диола, гексан-1,5-диола, гексан-1,6-диола, гексан-2,5-диола, гептан-1,2-диола, гептан-1,7-диола, октан-1,8-диола, октан-1,2-диола, нонан-1,9-диола, декан-1,2-диола, декан-1,10-диола, додекан-1,2-диола, додекан-1,12-диола, 1,5-гексадиен-3,4-диола, неопентилгликоля, 2-бутил-2-этилпропан-1,3-диола, 2-метилпентан-2,4-диола, 2,4-диметилпентан-2,4-диола, 2-этилгексан-1,3-диола, 2,5-диметилгексан-2,5-диола, 2,2,4-триметилпентан-1,3-диола, пинакола, диэтиленгликоля, триэтиленгликоля, дипропиленгликоля, трипропиленгликоля. 7. Уретан(мет)акрилат по п. 1, где компонент (с) выбран из группы, состоящей из 2-гидроксиэтилакрилата, 2-гидроксиэтилметакрилата, 2-или 3-гидроксипропилакрилата и бутан-1,4-диолмоноакрилата, 1,2- или 1,3-диакрилата глицерина, триметилолпропандиакрилата, пентаэритритилтриакрилата, дитриметилолпропантриакрилата и дипентаэритритилпентаакрилата. 8. Уретан(мет)акрилат по п. 1, где компонент (d) представляет собой диметилолпропионовую кислоту. 9. Уретан(мет)акрилат по п. 1, где компонент (f) представляет собой моно-, ди-С1-С4-алкиламин, моно- или диалканоламин. 10. Уретан(мет)акрилат по п. 1, где компонент (f) выбран из группы, состоящей из диэтиламина, ди-н-бутиламина, этаноламина, пропаноламина, N,N-дипропаноламина и N,N-диэтаноламина. 11. Водная покрывающая композиция, содержащая - по меньшей мере один уретан(мет)акрилат по любому одному из пп. 1-10, - необязательно по меньшей мере один (мет)акрилат (В) с низкой молекулярной массой, который является растворимым или диспергируемым в водной дисперсии уретан(мет)акрилата (А), - необязательно по меньшей мере один пигмент, и - необязательно по меньшей мере один фотоинициатор. 12. Применение покрывающей композиции по п. 11 для покрытия древесины, бумаги, текстиля, кожи, ворса, пластиковых поверхностей, стекла, керамики, минеральных строительных материалов, цементных блоков, цементно-волоконных плит, металлов и покрытых металлов. 13. Применение покрывающей композиции по п. 11 в качестве печатной краски. 14. Способ печати на поликарбонате, полиэтилене, полипропилене, полиамиде, полиэтилентерефталате (PET) и бумаге с применением печатной краски по п. 13.
,
Настоящее изобретение относится к радиационно-отверждаемым, диспергируемым в воде полиуретан(мет)акрилатам, к покрывающим композициям, содержащим их, к их применению и к способу их получения. Диспергируемые в воде уретанакрилаты уже известны, например, из ЕР-А 98752 или DE-A 2936039. Гидрофильность этих известных систем основана на присутствии ионных сит, особенно карбоксилатных или сульфонатных групп, которые имеют катионы щелочных металлов или ионы аммония в качестве противоионов. Амины, которые часто присутствуют (для нейтрализации или чтобы увеличить молярную массу), могут вызывать пожелтение покрывающих композиций. Однако заданная молекулярная масса требуется для понижения толщины пленок. Радиационно-отверждаемые эмульгируемые в воде полиуретан(мет)акрилаты известны, например, из ЕР 694531 А2, DE 19525489 A1, DE 19810793 A1, DE 19933012 A1, DE 19957604 A1 или ЕР 1591502 А1. Общим факторов для всех продуктов, получаемых согласно процитированным документам, состоит в том, что получение полиуретан(мет)акрилатов, описанных в них, включает реакцию с по меньшей мере одним ди- или полиамином. В DE 10 2010003308 раскрываются эмульгируемые в воде уретан(мет)акрилаты, в которых добавление аминов для продления цепи избегается для уменьшения желтизны. В европейской патентной заявке 12189682.3, поданной 24 октября 2012, которая не была опубликована на дату приоритета настоящей заявки, раскрываются радиационно-отверждаемые растворимые в воде или диспергируемые в воде уретан(мет)акрилаты, где агенты обрыва, применяемые в композиции уретана, представляют собой амины, замещенные одним или двумя гидрокарбильными радикалами, где гидрокарбильные радикалы вместе имеют по меньшей мере 12 атомов углерода. Недостаток состоит в том, что амины этого вида имеют низкую коммерческую доступность, и более низкой целевой гидрофильности уретан(мет)акрилата. В международных заявках WO 2008/098972 и WO 2010/018074 раскрываются водные дисперсии уретан(мет)акрилатов и их применение для струйной печати и печати. Недостаток полиуретанов, описанных в этих двух документах, состоит в том, что их свойства изменяются после пролонгированного хранения. Задача настоящего изобретения состояла в разработке радиационно-отверждаемых диспергируемых в воде уретан(мет)акрилатов, которые проявляют хорошую стабильность и хорошие свойства пигментации в дисперсии. Эта задача решается с помощью радиационно-отверждаемых диспергируемых в воде уретан(мет)акрилатов (А), по существу образованных из (а) по меньшей мере одного (цикло)алифатического ди- и/или полиизоцианата, (b1) по меньшей мере одного (цикло)алифатического диола, имеющего молярную массу, равную менее 700 г/моль, (b2) по меньшей мере одного сложного полиэфирдиола, имеющего средневесовую молярную массу Mw от 700 до 2000 и предпочтительно кислотное число согласно DIN 53240 не более 20 мг KOH/г, (c) по меньшей мере одного соединения (с), имеющего по меньшей мере одну реакционноспособную в отношении изоцианата группу и по меньшей мере одну свободнорадикально полимеризуемую ненасыщенную группу, (d) по меньшей мере одного соединения, имеющего по меньшей мере одну реакционноспособную в отношении изоцианата группу и по меньшей мере одну кислотную группу, (e) по меньшей мере одного основания на основе щелочного металла для по меньшей мере частичной нейтрализации кислотных групп компонента (d), (f) необязательно по меньшей мере одного моноспирта, имеющего ровно одну гидроксильную функцию, или по меньшей мере одного моно- и ди-С1-С4-алкиламина, (g) по меньшей мере одного монофункционального полиалкиленоксидполиэфирного спирта. Уретан(мет)акрилаты (А) согласно настоящему изобретению показывают улучшенную стабильность при хранении и хорошие пигментационные свойства. Особенно предпочтительно возможно применять указанные выше уретан(мет)акрилаты (А), необязательно в смеси с другими радиационно-отверждаемыми соединениями (В), в качестве или в покрывающих композициях и в печатных красках. Компонент (a) представляет собой по меньшей мере один, предпочтительно от одного до четырех, более предпочтительно от одного до трех, (цикло)алифатических ди- и/или полиизоцианатов. Они представляют собой мономеры и/или олигомеры алифатических или циклоалифатических диизоцианатов. NCO функциональность такого соединения в общем составляет по меньшей мере 1.8 и может составлять до 8, предпочтительно от 1.8 до 5, и более предпочтительно от 2 до 4. Количество изоцианатных групп, вычисленное как NCO=42 г/моль, составляет в общем от 5% до 25 мас. %. Диизоцианаты предпочтительно представляют собой изоцианаты, имеющие от 4 до 20 атомов углерода. Примерами типичных диизоцианатов являются алифатические диизоцианаты, такие как тетраметилендиизоцианат, пентаметилен 1,5-диизоцианат, гексаметилендиизоцианат (1,6-диизоцианатогексан), октаметилендиизоцианат, декаметилендиизоцианат, додекаметилендиизоцианат, тетрадекаметилендиизоцианат, производные лизиндиизоцианата, триметилгександиизоцианат или тетраметилгександиизоцианат, циклоалифатические диизоцианаты, такие как 1,4-, 1,3- или 1,2-диизоцианатциклогексан, 4,4'- или 2,4'-ди(изоцианатциклогексил)метан, 1-изоцианат-3,3,5-триметил-5-(изоцианатметил)циклогексан(изофорондиизоцианат), 1,3- или 1,4-бис(изоцианатметил)циклогексан или 2,4- или 2,6-диизоцианат-1-метилциклогексан, а также 3 (или 4), 8 (или 9)-бис(изоцианатметил)трицикло[5.2.1.02,6]декан изомерные смеси. Также могут присутствовать смеси указанных диизоцианатов. Особенно предпочтительными являются гексаметилендиизоцианат, 1,3-бис(изоцианатметил)циклогексан, изофорондиизоцианат и 4,4'- или 2,4'-ди-(изоцианатциклогексил)метан, наиболее предпочтительными являются изофорондиизоцианат и гексаметилендиизоцианат. Изофорондиизоцианат, как правило, находится в форме смеси, особенно смеси цис и транс изомеров, в общем в пропорции около от 60:40 до 80:20 (мас./мас.), предпочтительно в пропорции около от 70:30 до 75:25, и более предпочтительно в пропорции около 75:25. Дициклогексилметан 4,4'-диизоцианат может, подобным образом, быть в форме смеси различных цис и транс изомеров. Циклоалифатические изоцианаты представляют собой те, которые содержат по меньшей мере одну циклоалифатическую кольцевую систему. Алифатические изоцианаты представляют собой те, которые содержат только линейные или разветвленные цепи, другими словами, ациклические соединения. Также подходящими являются высшие изоцианаты, имеющее в среднем более 2 изоцианатных групп. Их подходящие примеры включают триизоцианаты, такие как триизоцианатононан. Полезные полиизоцианаты включают полиизоцианаты, имеющие изоциануратные группы, уретдиондиизоцианаты, полиизоцианаты, имеющие биуретные группы, полиизоцианаты, имеющие уретановые группы или аллофанатные группы, полиизоцианаты, содержащие оксадиазинтрионовые группы, уретоиминмодифицированные полиизоцианаты, карбодиимид, гиперразветвленные полиизоцианаты, полиуретан-полиизоцианатные преполимеры или полимочевина-полиизоцианатные преполимеры линейных или разветвленных С4-С20-алкилендиизоцианатов и/или циклоалифатических диизоцианатов, имеющих в общем от 6 до 20 атомов углерода. Ди- и полиизоцианаты, которые могут применяться, предпочтительно имеют содержание изоцианатных групп (вычислено как NCO, молекулярная масса = 42) от 10 до 60 мас. %, на основе ди- и полиизоцианата (смесь), предпочтительно от 15 до 60 мас. % и более предпочтительно от 20 до 55 мас. %. Предпочтительными являются алифатические и/или циклоалифатические ди- и полиизоцианаты, обозначаемые в общем как (цикло)алифатические в контексте настоящего изобретения, причем примерами являются алифатические и/или циклоалифатические диизоцианаты, указанные выше, или их смеси. Для ненастоящего изобретения возможно принимать не только ди- и полиизоцианаты, полученные фосфогенированием соответствующих аминов, но также полученные без применения фосгена, т.е. не включающими фосген способами. Согласно ЕР-А-0126299 (USP 4596678), ЕР-А-126300 (USP 4596679), и ЕР-А-355443 (USP 5087739), например, (цикло)алифатические диизоцианаты, такие как гексаметилен 1,6-диизоцианат (HDI), изомерные алифатические диизоцианаты, имеющие 6 атомов углерода в алкиленовом радикале, 4,4'- или 2,4'-ди(изоцианатциклогексил)метан и 1-изоцианат-3-изоцианатметил-3,5,5-триметилциклогексан (изофорондиизоцианат или IPDI), например, могут быть получены путем реакции (цикло)алифатических диаминов с, например, мочевиной и спиртами, с получением (цикло)алифатических бискарбаминовых сложных эфиров, и осуществления термического расщепления указанных сложных эфиров на соответствующие диизоцианаты и спирты. Синтез, как правило, осуществляется непрерывно в циркуляционном способе и необязательно в присутствии N-незамещенных карбаминовых сложных эфиров, диалкилкарбонатов, и других побочных продуктов, рециклизованных из процесса реакции. Ди- или полиизоцианаты, полученные таким образом, в общем содержат очень низкую или даже неизмеряемую фракцию хлорированных соединений, что приводит к благоприятным цветовым индексам в продуктах. В одном возможном варианте выполнения настоящего изобретения ди- и полиизоцианаты (изоцианат) имеют общее содержание гидролизуемого хлора менее 200 частей на миллион, предпочтительно менее 120 частей на миллион, более предпочтительно менее 80 частей на миллион, даже более предпочтительно менее 50 частей на миллион, в частности менее 15 частей на миллион, о особенно менее 10 частей на миллион. Это может быть измерено, например, ASTM способом D4663-98. Конечно, также возможно применять ди- и полиизоцианаты (изоцианат), имеющие более высокое содержание хлора. Ди- и полиизоцианаты (полиизоцианат) могут также быть по меньшей мере частично в блочной форме. Предпочтительными являются 1) Полиизоцианаты, имеющие изоциануратные группы и полученные из ароматических, алифатических и/или циклоалифатических диизоцианатов. Особенно предпочтительными являются алифатические и/или циклоалифатические изоцианат-изоцианураты и в частности на основе гексаметилендиизоцианата и изофорондиизоцианата. Эти изоцианураты представляют собой, в частности, трис-изоцианаталкил и/или трис-изоцианатциклоалкил изоцианураты, которые представляют собой циклические тримеры диизоцианатов, или представляют собой смеси с их высшими гомологами, содержащими более одного изоциануратного кольца. Изоцианатизоцианураты в общем имеют содержание NCO от 10 до 30 мас. %, в частности от 15 до 25 мас. %, и среднюю функциональность NCO, равную от 2.6 до 8. 2) Уретдиондиизоцианаты с ароматически, алифатически и/или циклоалифатически присоединенными изоцианатными группами, предпочтительно алифатически и/или циклоалифатически присоединенными, и, в частности, полученные из гексаметилендиизоцианата или изофорондиизоцианата. Уретдиондиизоцианаты представляют собой циклические продукты димеризации диизоцианатов. Уретдиондиизоцианаты могут применяться в качестве единственного компонента или в смеси с другими полиизоцианатами, особенно приведенными в пункте 1). 3) Полиизоцианаты, имеющие биуретные группы и имеющие ароматически, циклоалифатически или алифатически присоединенные, предпочтительно циклоалифатически или алифатически присоединенные, изоцианатные группы, в частности трис(6-изоцианатгексил)биурет, или их смеси с их более высокими гомологами. Эти полиизоцианаты, имеющие биуретные группы, в общем имеют содержание NCO от 18% до 22 мас. % и среднюю функциональность NCO от 2.8 до 4.5. 4) Полиизоцианаты, имеющие уретановые и/или аллофанатные группы, и имеющие ароматически, алифатически или циклоалифатически присоединенные, предпочтительно алифатически или циклоалифатически присоединенные, изоцианатные группы, такие, которые могут быть получены, например, путем реакции избыточных количеств гексаметилендиизоцианата или изофорондиизоцианата с моно- или многоатомными спиртами, например метанолом, этанолом, изо-пропанолом, н-пропанолом, н-бутанолом, изо-бутанолом, втор-бутанолом, трет-бутанолом, н-гексанолом, н-гептанолом, н-октанолом, н-деканолом, н-додеканолом (лауриловый спирт), 2-этилгексанолом, н-пентанолом, стеариловым спиртом, цетиловым спиртом, лауриловым спиртом, этиленгликоля монометиловым простым эфиром, этиленгликоля моноэтиловым простым эфиром, пропан-1,3-диолмонометиловым простым эфиром, циклопентанолом, циклогексанолом, циклооктанолом, циклододеканолом, триметилолпропаном, неопентилгликолем, пентаэритритом, бутан-1,4-диолом, гексан-1,6-диолом, пропан-1,3-диолом, 2-этилпропан-1,3-диолом, 2-метилпропан-1,3-диолом, этиленгликолем, диэтиленгликолем, триэтиленгликолем, тетраэтиленгликолем, пентаэтиленгликолем, глицерином, 1,2-дигидроксипропаном, 2,2-диметилэтан-1,2-диолом, бутан-1,2-диолом, бутан-1,4-диолом, 3-метилпентан-1,5-диолом, 2-этилгексан-1,3-диолом, 2,4-диэтилоктан-1,3-диолом, сложным эфиром гидроксипивалиновой кислоты и неопентилгликоля, дитриметилолпропаном, дипентаэритритом, 2,2-бис(4-гидроксициклогексил)пропаном, циклогексан-1,1-, -1,2-, -1,3- и -1,4-диметанолом, циклогексан-1,2-, -1,3- или -1,4-диолом, или их смесями. Эти полиизоцианаты, имеющие уретановые и/или аллофанатные группы, в общем имеют содержание NCO от 12 до 20 мас. % и среднюю функциональность NCO от 2.5 до 4.5. 5) Полиизоцианаты, содержащие оксадиазинтрионовые группы, полученные предпочтительно из гексаметилендиизоцианата или изофорондиизоцианата. Полиизоцианаты этого вида, содержащие оксадиазинтрионовые группы, могут быть получены из диизоцианата и диоксида углерода. 6) Полиизоцианаты, содержащие иминооксадиазиндионовые группы, полученные предпочтительно из гексаметилендиизоцианата или изофорондиизоцианата. Полиизоцианаты этого вида, содержащие иминооксадиазиндионовые группы, могут быть получены из диизоцианатов посредством специфических катализаторов. 7) Уретонимин-модифицированные полиизоцианаты. 8) Карбодиимид-модифицированные полиизоцианаты. 9) Гиперразветвленные полиизоцианаты вида, известного, например, из DE-A1 10013186 или DE-A1 10013187. 10) Полиуретан-полиизоцианатные преполимеры из ди- и/или полиизоцианатов со спиртами. 11) Полимочевина-полиизоцианатные преполимеры. Полиизоцианаты 1) - 11) могут применяться в смеси, необязательно также в смеси с диизоцианатами. В одном варианте выполнения настоящего изобретения компонент (а) представляет собой смесь циклоалифатического или алифатического, предпочтительно алифатического, мономерного диизоцианата (a1) и полиизоцианата (a2) на основе циклоалифатического или алифатического, предпочтительно алифатического, мономерного диизоцианата. В этом варианте выполнения настоящего изобретения, компонент (a1) предпочтительно выбирается из группы, состоящей из гексаметилендиизоцианата, 1,3-бис(изоцианатметил)циклогексана, изофорондиизоцианата и 4,4'- или 2,4'-ди(изоцианатциклогексил)метана, и более предпочтительно выбирается из группы, состоящей из изофорондиизоцианата и гексаметилендиизоцианат, и наиболее предпочтительно представляет собой гексаметилен 1,6-диизоцианат. Полиизоцианат (а2) предпочтительно представляет собой полиизоцианат, имеющий изоциануратные группы, уретдиондиизоцианат, полиизоцианат, имеющий биуретные группы, полиизоцианат, имеющий уретановые группы, или аллофанатные группы, или их смеси, более предпочтительно полиизоцианат, имеющий изоциануратные группы, уретдиондиизоцианат или полиизоцианаты имеющие аллофанатные группы, или их смеси, даже более предпочтительно полиизоцианат, имеющий изоциануратные группы, или полиизоцианаты, имеющие аллофанатные группы, или их смеси, и, в частности, полиизоцианаты, имеющие аллофанатные группы. В одном возможном варианте выполнения настоящего изобретения, уретан(мет)акрилаты согласно настоящему изобретению содержат аллофанатные группы, так что содержание аллофанатных групп в полиуретанах этого вида (вычислено как C2N2HO3=101 г/моль) составляет от 1 до 28 мас. %, предпочтительно от 3 до 25 мас. %. В предпочтительном варианте выполнения настоящего изобретения компонент (a1) представляет собой гексаметилен 1,6-диизоцианат в диизоцианатной форме и/или полиизоцианат на его основе, выбранный из группы, состоящей из изоциануратов, биуретов, уретанов и аллофанатов, предпочтительно из группы, состоящей из изоциануратов, уретанов и аллофанатов, более предпочтительно из группы, состоящей из изоциануратов и аллофанатов, и полиизоцианат на основе гексаметилен 1,6-диизоцианата наиболее предпочтительно представляет собой полиизоцианат, содержащий аллофанатные группы. В особенно предпочтительном варианте выполнения настоящего изобретения, в полиизоцианате (а2), который содержит аллофанатные группы и основан на гексаметилен 1,6-диизоцианате, соединения (с), имеющие только одну реакционноспособную в отношении изоцианата группу и по меньшей мере одну свободнорадикально полимеризуемую ненасыщенную группу, по меньшей мере частично присоединены посредством аллофанатных групп. Наиболее предпочтительно, полиизоцианат (а2) представляет собой полиизоцианат, который содержит по меньшей мере один гидроксиалкил(мет)акрилат, присоединенный через аллофанатную группу, и соответствует формуле в которой R5 представляет собой двухвалентный алкиленовый радикал, который имеет от 2 до 12 атомов углерода и необязательно может быть замещен C1-С4-алкильными группами и/или прерываться одним или более атомами кислорода, предпочтительно имеющий от 2 до 10 атомов углерода, более предпочтительно от 2 до 8, и наиболее предпочтительно имеющий от 3 до 6 атомов углерода, R6 представляет собой двухвалентный алкиленовый радикал или циклоалкиленовый радикал, который имеет от 2 до 20 атомов углерода и необязательно может быть замещен C1-С4-алкильными группами и/или прерываться одним или более атомами кислорода, предпочтительно имеющий от 4 до 15 атомов углерода, более предпочтительно имеющий от 6 до 13 атомов углерода, R7 представляет собой водород или метил, предпочтительно водород, и x представляет собой положительное число, имеющее статистически среднее значение от 2 до 6, предпочтительно от 2 до 4. Примерами радикалов R5 являются 1,2-этилен, 1,2- или 1,3-пропилен, 1,2-, 1,3- или 1,4-бутилен, 1,1-диметил-1,2-этилен, 1,2-диметил-1,2-этилен, 1,5-пентилен, 1,6-гексилен, 1,8-октилен, 1,10-децилен или 1,12-додецилен. Предпочтительными являются 1,2-этилен, 1,2- или 1,3-пропилен, 1,4-бутилен и 1,6-гексилен, особенно предпочтительными являются 1,2-этилен, 1,2-пропилен и 1,4-бутилен, наиболее предпочтительными является 1,2-этилен. Предпочтительно, R6 выбирается из группы, включающей 1,6-гексилен, В особенно предпочтительном варианте выполнения настоящего изобретения R6 представляет собой 1,6-гексилен, и R5 выбирается из группы, включающей 1,2-этилена, 1,2-пропилена и 1,4-бутилена, предпочтительно из 1,2-этилена и 1,4-бутилена, и более предпочтительно представляет собой 1,2-этилен. Коммерчески доступный полиизоцианат, в котором R5 = 1,2-этилен, R6 = 1,6-гексилен, и R7 = водород, доступен под торговым наименованием Laromer® LR 9000 от BASF SE, Ludwigshafen, с содержанием NCO, равным 14.5-15.5 мас. %. Компонент (b1) представляет собой по меньшей мере один, предпочтительно от одного до трех, более предпочтительно от одного до двух и наиболее предпочтительно ровно один (цикло)алифатический, в частности алифатический диол (диолы), имеющий молярную массу менее 700 г/моль, предпочтительно менее 600, более предпочтительно менее 500 и наиболее предпочтительно менее 400 г/моль. Циклоалифатический диол, как понимается, означает диолы, содержащие по меньшей мере одну насыщенную кольцевую систему. Алифатическими диолами являются те, которые содержат только линейные или разветвленные цепи, другими словами ациклические соединения. Примерами алифатических диолов являются этиленгликоль, пропан-1,2-диол, пропан-1,3-диол, бутан-1,2-диол, бутан-1,3-диол, бутан-1,4-диол, бутан-2,3-диол, пентан-1,2-диол, пентан-1,3-диол, пентан-1,4-диол, пентан-1,5-диол, пентан-2,3-диол, пентан-2,4-диол, гексан-1,2-диол, гексан-1,3-диол, гексан-1,4-диол, гексан-1,5-диол, гексан-1,6-диол, гексан-2,5-диол, гептан-1,2-диол, гептан-1,7-диол, октан-1,8-диол, октан-1,2-диол, нонан-1,9-диол, декан-1,2-диол, декан-1,10-диол, додекан-1,2-диол, додекан-1,12-диол, 1,5-гексадиен-3,4-диол, неопентилгликоль, 2-бутил-2-этилпропан-1,3-диол, 2-метилпентан-2,4-диол, 2,4-диметилпентан-2,4-диол, 2-этилгексан-1,3-диол, 2,5-диметилгексан-2,5-диол, 2,2,4-триметилпентан-1,3-диол, пинакол, диэтиленгликоль, триэтиленгликоль, дипропиленгликоль, трипропиленгликоль. Предпочтительно применяемыми диолами являются этиленгликоль, пропан-1,2-диол, пропан-1,3-диол, неопентилгликоль, 2-этилгексан-1,3-диол, 2-бутил-2-этилпропан-1,3-диол, бутан-1,4-диол, пентан-1,5-диол, гексан-1,6-диол и октан-1,8-диол. Особенно предпочтительными являются этиленгликоль, пропан-1,2-диол, пропан-1,3-диол, неопентилгликоль, 2-этилгексан-1,3-диол и 2-бутил-2-этилпропан-1,3-диол, наиболее предпочтительными являются этиленгликоль, пропан-1,3-диол, неопентилгликоль и 2-бутил-2-этилпропан-1,3-диол, и, в частности, неопентилгликоль. Примерами циклоалифатических диолов являются циклопентан-1,2- и -1,3-диолы, циклогексан-1,2-, -1,3- и -1,4-диолы, 1,1-, 1,2-, 1,3- и 1,4-бис(гидроксиметил)циклогексаны, 1,1-, 1,2-, 1,3- и 1,4-бис(гидроксиэтил)циклогексаны и бис(4-гидроксициклогексан)изопропилиден. Предпочтительными являются циклогексан-1,2-, -1,3- и -1,4-диол, 1,3- и 1,4-бис(гидроксиметил)циклогексан и бис(4-гидроксициклогексан)изопропилиден. Предпочтительными диолами (b1) являются этиленгликоль, пропан-1,2-диол, пропан-1,3-диол, 2,2-диметилэтан-1,2-диол, 2,2-диметилпропан-1,3-диол (неопентилгликоль), бутан-1,2-диол, бутан-1,3-диол, бутан-1,4-диол, гексан-1,6-диол или диэтиленгликоль. Особенно предпочтительными соединениями (b1) являются этиленгликоль, пропан-1,2-диол, пропан-1,3-диол, неопентилгликоль, бутан-1,4-диол и диэтиленгликоль. Наиболее предпочтительными соединениями (b1) являются этиленгликоль, неопентилгликоль и бутан-1,4-диол, особенно неопентилгликоль. Компонент (b2) представляет собой по меньшей мере один, предпочтительно от одного до трех, более предпочтительно от одного до двух и наиболее предпочтительно ровно один сложный полиэфирдиол (диолы), имеющий средневесовую молярную массу Mw от 700 до 2000, предпочтительно от 750 до 1500 г/моль (определено, например, с помощью гельпроникающей хроматографии (GPC)), предпочтительно имеющий кислотное число согласно DIN 53240 не более 20 мг KOH/г. Предпочтительным является сложный полиэфирдиол, образованный по меньшей мере частично из единиц циклоалифатического диола и/или дикарбоновой кислоты, более предпочтительно по меньшей мере частично из единиц циклоалифатического диола, наиболее предпочтительно также содержит любые единицы желаемой дикарбоновой кислоты, в частности циклоалифатические диолы в качестве диольных единиц. Сложные полиэфирдиолы этого вида имеют повышенной жесткостью по сравнению с образованными из только алифатических единиц. Кроме того, алифатические и циклоалифатические единицы имеют меньшую склонность к пожелтению по сравнению с только ароматическими единицами. Единицы дикарбоновых кислот могут представлять собой свободные кислоты или их производные. Производные, как понимается, предпочтительно означают - соответствующие ангидриды в мономерной или еще полимерной форме, - моно- или диалкиловые сложные эфиры, предпочтительно моно- или ди-С1-С4-алкиловые сложные эфиры, более предпочтительно моно- или диметиловые сложные эфиры или соответствующие моно- или диэтиловые сложные эфиры, - или еще моно- и дивиниловые сложные эфиры, а также - смешанные сложные эфиры, предпочтительно смешанные сложные эфиры с различными С1-С4-алкиловыми компонентами, более предпочтительно смешанные метиловые этиловые эфиры. В контексте настоящего изобретения, С1-С4-алкил означает метил, этил, изо-пропил, н-пропил, н-бутил, изо-бутил, втор-бутил и трет-бутил, предпочтительно метил, этил и н-бутил, более предпочтительно метил и этил, и наиболее предпочтительно метил. Алифатические единицы имеют только открытые цепи, предпочтительно алкиленовые цепи, тогда как циклоалифатические единицы имеют по меньшей мере одну кольцевую систему вне функциональных групп. Ароматический единицы имеют по меньшей мере одну ароматическую кольцевую систему вне функциональных групп. Примерами алифатических диолов являются этиленгликоль, пропан-1,2-диол, пропан-1,3-диол, бутан-1,2-диол, бутан-1,3-диол, бутан-1,4-диол, бутан-2,3-диол, пентан-1,2-диол, пентан-1,3-диол, пентан-1,4-диол, пентан-1,5-диол, пентан-2,3-диол, пентан-2,4-диол, гексан-1,2-диол, гексан-1,3-диол, гексан-1,4-диол, гексан-1,5-диол, гексан-1,6-диол, гексан-2,5-диол, гептан-1,2-диол, гептан-1,7-диол, октан-1,8-диол, октан-1,2-диол, нонан-1,9-диол, декан-1,2-диол, декан-1,10-диол, додекан-1,2-диол, додекан-1,12-диол, 1,5-гексадиен-3,4-диол, неопентилгликоль, 2-метилпентан-2,4-диол, 2,4-диметилпентан-2,4-диол, 2-этилгексан-1,3-диол, 2,5-диметилгексан-2,5-диол, 2,2,4-триметилпентан-1,3-диол, пинакол, диэтиленгликоль, триэтиленгликоль, дипропиленгликоль, трипропиленгликоль, полиэтиленгликоли НО(СН2СН2O)n-Н или полипропиленгликоли НО(СН[СН3]СН2O)n-Н, где n представляет собой целое число, и n≥4, полиэтилен-полипропиленгликоли, где последовательность этиленоксидных и пропиленоксидных единиц может быть блочной или случайной, политетраметиленгликоли, полипропан-1,3-диолы. Предпочтительно применяемыми диолами являются этиленгликоль, пропан-1,2-диол, пропан-1,3-диол, бутан-1,4-диол, пентан-1,5-диол, гексан-1,6-диол и октан-1,8-диол. Примерами циклоалифатических диолов являются циклопентан-1,2- и -1,3-диолы, циклогексан-1,2-, -1,3- и -1,4-диолы, 1,1-, 1,2-, 1,3- и 1,4-бис(гидроксиметил)циклогексаны, 1,1-, 1,2-, 1,3- и 1,4-бис(гидроксиэтил)циклогексаны и бис(4-гидроксициклогексан)изопропилиден. Предпочтительными являются циклогексан-1,2-, -1,3- и -1,4-диол, 1,3- и 1,4-бис(гидроксиметил)циклогексан и бис(4-гидроксициклогексан)изопропилиден. Примерами алифатических дикарбоновых кислот являются щавелевая кислота, малоновая кислота, малеиновая кислота, фумаровая кислота, сукциновая кислота, глутаровая кислота, адипиновая кислота, пимелиновая кислота, пробковая кислота, азелаиновая кислота, себациновая кислота, ундекан-α,ω-дикарбоновая кислота, додекан-α,ω-дикарбоновая кислота и их производные. Примерами циклоалифатических дикарбоновых кислот являются цис- и транс-циклогексан-1,2-дикарбоновая кислота (гексагидрофталевые кислоты), цис- и транс-циклогексан-1,3-дикарбоновая кислота, цис- и транс-циклогексан-1,4-дикарбоновая кислота, 1,2-, 1,3- или 1,4-циклогекс-4-ендикарбоновая кислота (тетрагидрофталевые кислоты), цис- и транс-циклопентан-1,2-дикарбоновая кислота, цис- и транс-циклопентан-1,3-дикарбоновая кислота и их производные. Примерами ароматических дикарбоновых кислот являются фталевая кислота, изофталевая кислота, терефталевая кислота и фталевый ангидрид, причем предпочтительной является фталевая кислота и изофталевая кислота, особенно предпочтительной является фталевая кислота. Компонент (с) представляет собой по меньшей мере один, предпочтительно от 1 до 3, более предпочтительно ровно от одного до двух и наиболее предпочтительно ровно одно соединение (соединения), имеющее по меньшей мере одну, например от одной до трех, предпочтительно от одной до двух и более предпочтительно ровно одну реакционноспособную в отношении изоцианата группу (группы) и по меньшей мере одну, например от одной до пяти, предпочтительно от одной до трех, более предпочтительно одну или две и наиболее предпочтительно ровно одну свободнорадикально полимеризуемую ненасыщенную группу. Реакционноспособными в отношении изоцианата группами могут быть, например, -ОН, -SH, -NH2 и -NHR8, где R8 представляет собой водород или алкильную группу, содержащую от 1 до 4 атомов углерода, например, метил, этил, н-пропил, изо-пропил, н-бутил, изо-бутил, втор-бутил или трет-бутил. Реакционноспособными в отношении изоцианата группами могут предпочтительно быть -ОН, -NH2 или -NHR8, более предпочтительно -ОН или - NH2 и наиболее предпочтительно -ОН. Примеры возможных компонентов (с) включают сложные моноэфиры α,β-ненасыщенных карбоновых кислот, как например акриловая кислота, метакриловая кислота, кротоновая кислота, итаконовая кислота, фумаровая кислота, малеиновая кислота, акриламидогликолевая кислота, метакриламидогликолевая кислота, или виниловые простые эфиры диолов или полиолов, имеющих предпочтительно от 2 до 20 атомов углерода и по меньшей мере две гидроксильные группы, таких как этиленгликоль, диэтиленгликоль, триэтиленгликоль, 1,2-пропиленгликоль, 1,3-пропиленгликоль, 1,1-диметилэтан-1,2-диол, дипропиленгликоль, триэтиленгликоль, тетраэтиленгликоль, пентаэтиленгликоль, трипропиленгликоль, бутан-1,2-, -1,3- или -1,4-диол, пентан-1,5-диол, неопентилгликоль, гексан-1,6-диол, 2-метилпентан-1,5-диол, 2-этилбутан-1,4-диол, 1,4-диметилолциклогексан, 2,2-бис(4-гидроксициклогексил)пропан, глицерин, триметилолэтан, триметилолпропан, триметилолбутан, пентаэритрит, дитриметилолпропан, эритрит, сорбит, полиТГФ, имеющий молярную массу от 162 до 2000, полипропан-1,3-диол, имеющий молярную массу от 134 до 400, или полиэтиленгликоль, имеющий молярную массу от 238 до 458. Кроме того, также возможно применять сложные эфиры или амиды (мет)акриловой кислоты с аминоспиртами, причем примерами являются 2-аминоэтанол, 2-(метиламино)этанол, 3-амино-1-пропанол, 1-амино-2-пропанол или 2-(2-аминоэтокси)этанол, 2-меркаптоэтанол или полиаминоалканы, такие как этилендиамин или диэтилентриамин, или винилуксусная кислота. Кроме того, ненасыщенные простые полиэфиры спиртов или сложные полиэфиры спиртов или полиакрилатполиолы, имеющие среднюю функциональность ОН от 2 до 10, также являются подходящими, хотя и менее предпочтительно. Примерами амидов этиленненасыщенных карбоновых кислот с аминоспиртами являются гидроксиалкил(мет)акриламиды, такие как N-гидроксиметилакриламид, N-гидроксиметилметакриламид, N-гидроксиэтилакриламид, N-гидроксиэтилметакриламид, 5-гидрокси-3-оксапентил(мет)акриламид, N-гидроксиалкилкротонамиды, такие как N-гидроксиметилкротонамид, или N-гидроксиалкилмалеимиды, такие как N-гидроксиэтилмалеимид. Предпочтительным является применение 2-гидроксиэтил(мет)акрилата, 2- или 3-гидроксипропил(мет)акрилата, 1,4-бутандиолмоно(мет)акрилата, неопентилгликоля моно(мет)акрилата, 1,5-пентандиолмоно(мет)акрилата, 1,6-гександиолмоно(мет)акрилата, глицерина моно(мет)акрилата и ди(мет)акрилата, триметилолпропанмоно(мет)акрилата и ди(мет)акрилата, пентаэритритмоно(мет)акрилата, ди(мет)акрилата, и три(мет)акрилата, а также 4-гидроксибутилвиниловго простого эфира, 2-аминоэтил(мет)акрилата, 2-аминопропил(мет)акрилата, 3-аминопропил(мет)акрилата, 4-аминобутил(мет)акрилата, 6-аминогексил(мет)акрилата, 2-тиоэтил(мет)акрилата, 2-аминоэтил(мет)акриламида, 2-аминопропил(мет)акриламида, 3-аминопропил(мет)акриламида, 2-гидроксиэтил(мет)акриламида, 2-гидроксипропил(мет)акриламида или 3-гидроксипропил(мет)акриламида. Особенно предпочтительными являются 2-гидроксиэтилакрилат, 2-гидроксиэтилметакрилат, 2- или 3-гидроксипропилакрилат, бутан-1,4-диолмоноакрилат, 3-(акрилоилокси)-2-гидроксипропил(мет)акрилат, и моноакрилаты полиэтиленгликоля с молярной массой от 106 до 238. В предпочтительном варианте выполнения настоящего изобретения, компонент (с) выбирается из группы, включающей 2-гидроксиэтилакрилат, 2-гидроксиэтилметакрилат, 2- или 3-гидроксипропилакрилат и бутан-1,4-диолмоноакрилат, 1,2- или 1,3-диакрилат глицерина, триметилолпропандиакрилат, пентаэритритилтриакрилат, дитриметилолпропантриакрилат и дипентаэритритилпентаакрилат, предпочтительно из 2-гидроксиэтилакрилата и 2-гидроксиэтилметакрилата, и более предпочтительно представляет собой 2-гидроксиэтилакрилат. В предпочтительном варианте выполнения настоящего изобретения, по меньшей мере часть соединения (с) присоединена к ди- или полиизоцианату (а), предпочтительно полиизоцианату (а2), более предпочтительно через аллофанатные группы. В этом случае молярное отношение соединения (с), присоединенного к полиизоцианату (а2), к соединению (с), которое применяется в свободной форме при получении уретан(мет)акрилата согласно настоящему изобретению, составляет, например, от 90:10 до 10:90, предпочтительно от 20:80 до 80:20 и более предпочтительно от 30:70 до 70:30. Предпочтительно соединение (с), присоединенное к полиизоцианату (а2), и соединение (с), которое применяется в свободной форме при получении уретан(мет)акрилата согласно настоящему изобретению, представляют собой одно и то же соединение (с), но они также могут быть различными соединениями (с). Если компонент (с) содержит технические смеси от ацилирования триметилолпропана, пентаэритрита, дитриметилолпропана или дипентаэритрита, они, как правило, применяются в форме полностью и не полностью акрилированных полиолов. Особенно предпочтительными в качестве соединений (с) являются технические смеси ацилирования пентаэритрита, которые как правило имеют число ОН согласно DIN 53240 от 99 до 115 мг KOH/г и состоят преимущественно из пентаэритритилтриакрилата и пентаэритритилтетраакрилата, и также могут содержать незначительные количества пентаэритритилдиакрилата. Компонент (d) представляет собой по меньшей мере одно, предпочтительно точно одно, соединение, имеющее по меньшей мере одну, например одну или две, предпочтительно точно две, реакционноспособную в отношении изоцианата группу(ы) и по меньшей мере одну кислотную группу. Кислотные группы, как понимается, означают группы карбоновой кислоты, сульфоновой кислоты или фосфорной кислоты, предпочтительно группы карбоновой кислоты или сульфоновой кислоты, и более предпочтительно группы карбоновой кислоты. Возможно, хотя и менее предпочтительно, соединения (d) содержат ровно одну реакционноспособную в отношении изоцианата группу, и по меньшей мере одну гидрофильную группу, которая является анионной или может быть превращена в анионную группу. Примерами рассматриваемых соединений являются описанные в ЕР-А1 703255, в частности на стр. 3 строка 54 - стр. 4 строка 38, в DE А1 19724199, в частности на стр. 3 строка 4 - строка 30, в DE А1 4010783, в частности в колонке 3 строка 3 - строка 40, в DE А1 4113160, в частности в колонке 3 строка 63 - колонке 4 строка 4, и в ЕР-А2 548669, в частности на стр. 4 строка 50 - стр. 5 строка 6. Эти документы полностью включены посредством ссылки как часть описания настоящего изобретения. Возможными соединениями (d) являются соединения, имеющие общую формулу RG-R3-DG, в которой RG представляет собой по меньшей мере одну реакционноспособную в отношении изоцианата группу, DG представляет собой по меньшей мере одну рассеивающую группу, R3 представляет собой алифатический, циклоалифатический или ароматический радикал, содержащий от 1 до 20 атомов углерода. Примерами реакционноспособных в отношении изоцианата группу RG являются ОН, -SH, -NH2 или -NHR8, где R8 определен выше, но может быть отличен от радикала, применяемого там, предпочтительно -ОН, -NH2 или -NHR8, более предпочтительно -ОН или -NH2, и наиболее предпочтительно -ОН. Примерами DG являются -СООН, -SO3H или -РО3Н и их анионные формы, которые могут быть связаны согласно настоящему изобретению с ионом любого щелочного металла в качестве противоиона, например Li+, Na+, K+ или Cs+. R3 предпочтительно представляет собой метилен, 1,2-этилен, 1,2-пропилен, 1,3-пропилен, 1,2-бутилен, 1,4-бутилен, 1,3-бутилен, 1,6-гексилен, 1,8-октилен, 1,12-додецилен, 1,2 фенилен, 1,3-фенилен, 1,4-фенилен, 1,2-нафтилен, 1,3-нафтилен, 1,4 нафтилен, 1,6-нафтилен, 1,2-циклопентилен, 1,3-циклопентилен, 1,2-циклогексилен, 1,3-циклогексилен или 1,4-циклогексилен. Компоненты (d) этого вида представляют собой, предпочтительно, например, гидроксиуксусную кислоту, винную кислоту, молочную кислоту, 3-гидроксипропионовую кислоту, гидроксипивалиновую кислоту, меркаптоуксусную кислоту, меркаптопропионовую кислоту, тиомолочную кислоту, меркаптосукциновую кислоту, глицин, иминодиуксусную кислоту, саркозин, аланин, β-аланин, лейцин, изолейцин, аминомасляную кислоту, гидроксисукциновую кислоту, гидроксикаприновую кислоту, этилендиаминтриуксусную кислоту, гидроксидодекановую кислоту, гидроксигексадекановую кислоту, 12-гидроксистеариновую кислоту, аминонафталинкарбоновую кислоту, гидроксиэтансульфоновую кислоту, гидроксипропансульфоновую кислоту, меркаптоэтансульфоновую кислоту, меркаптопропансульфоновую кислоту, аминометансульфоновую кислоту, таурин, аминопропансульфоновую кислоту, N-алкилированную или N-циклоалкилированную аминопропансульфоновую или аминоэтансульфоновую кислоты, причем примерами являются N-циклогексиламиноэтансульфоновая кислота или N-циклогексиламинопропансульфоновая кислота, а также их соли щелочных металлов, щелочноземельных металлов или аммония, и особенно предпочтительными являются моногидроксикарбоновые и моногидроксисульфоновые кислоты, а также моноаминокарбоновые и моноаминосульфоновые кислоты. Для получения дисперсии, вышеуказанные кислоты, если они еще не находятся в форме солей, являются частично или полностью нейтрализованы основанием на основе щелочного металла. Соединение (d) предпочтительно представляет собой соединение, имеющее ровно две гидроксильные группы и ровно одну кислотную группу, предпочтительно ровно одну группу карбоновой кислоты. Их примерами являются диметилолпропионовая кислота, диметилолмасляная кислота и диметилолпентановая кислота, предпочтительно диметилолпропионовая кислота и диметилолмасляная кислота, причем особенно предпочтительно соединение (d) представляет собой диметилолпропионовую кислоту. Компонент (е) представляет собой по меньшей мере одно основание на основе щелочного металла для по меньшей мере частичной нейтрализации кислотных групп компонента (d). Подходящие основные соединения (соединение) включают гидроксиды, оксиды, карбонаты и гидрокарбонаты щелочных металлов. Особенно предпочтительной является по меньшей мере частичная, предпочтительно полная, нейтрализация гидроксидом натрия или гидроксидом калия. Количества вводимых химически присоединенных кислотных групп и степень нейтрализации кислотных групп (которая, как правило, составляет от 40 до 100 мол. %, предпочтительно от 50 до 100 мол. %, более предпочтительно от 60 до 100, даже более предпочтительно от 75 до 100 и особенно от 90 до 100 мол. % на основе эквивалентов) должно предпочтительно быть достаточно для обеспечения дисперсии полиуретанов в водной среде, как известно специалистам в данной области техники. Предпочтительно, от 50 до 100 мол. % кислотных групп из (d) нейтрализуется. Это приводит к примерно мономодальному распределению дисперсионных частиц по размеру и увеличивает стабильность дисперсии. Необязательный компонент (f) представляет собой по меньшей мере один нуклеофильный спирт или амин, предпочтительно моноспирт или моноамин, которые могут служить в качестве агентов обрыва для любых свободных изоцианатных групп, все еще присутствующих в уретан(мет)акрилате. Предпочтительными моноспиртами являются спирты, имеющие от 1 до 20, предпочтительно от 1 до 12, более предпочтительно от 1 до 6, даже более предпочтительно от 1 до 4 и особенно от 1 до 2 атомов углерода. Их примерами являются метанол, этанол, изо-пропанол, н-пропанол, н-бутанол, изо-бутанол, втор-бутанол, трет-бутанол, н-гексанол, н-гептанол, н-октанол, н-деканол, н-оддеканол (лауриловый спирт), 2-этилгексанол, циклопентанол, циклогексанол, циклооктанол, циклододцеканол, этиленгликоля монометиловый простой эфир, этиленгликоля моноэтиловый простой эфир, диэтиленгликоль, 1,3-пропандиола монометиловый простой эфир, предпочтительно метанол, этанол, изо-пропанол, н-пропанол, н-бутанол, трет-бутанол, н-гексанол, 2-этилгексанол, циклопентанол, циклогексанол, и циклододеканол, более предпочтительно метанол, этанол, изо-пропанол, н-пропанол, н-бутанол и трет-бутанол, даже более предпочтительно метанол и этанол, и особенно метанол. В предпочтительном варианте выполнения настоящего изобретения, моноолами могут быть установленные циклоалифатические спирты, предпочтительно циклопентанол или циклогексанол, более предпочтительно циклогексанол. В другом предпочтительном варианте выполнения настоящего изобретения, моноолами могут быть установленные алифатические спирты, имеющие от 6 до 20 атомов углерода, более предпочтительно имеющие от 8 до 20 атомов углерода, наиболее предпочтительно имеющие от 10 до 20 атомов углерода. В особенно предпочтительном варианте выполнения настоящего изобретения, моноолами могут быть установленные алифатические спирты, более предпочтительно спирты, имеющие от 1 до 4 атомов углерода, особенно метанол. Предпочтительными агентами обрыва (f) являются, напротив, моно- и ди-С1-С4-алкиламины и более предпочтительно моно- или диалканоламины. Их примерами являются в частности диэтиламин, ди-н-бутиламин, этаноламин, пропаноламин, N,N-дипропаноламин и N,N-диэтаноламин. Моно- и диалкиламины, имеющие более длинные алкильные группы, чем С1-С4-алкильные группы, не входят в объем настоящего изобретения, так как они понижают гидрофильность уретан(мет)акрилатов. Подобным образом исключаются диамины и полифункциональные амины, так как они действуют в качестве удлинителей цепи и увеличивают молекулярную массу уретан(мет)акрилата, что делает диспергируемость или растворимость более сложной. Возможно применять до 10 мас. % агента обрыва (f) на основе полиуретана (А), подлежащего синтезу. Функция соединений (f) состоит в компенсации любых непревращенных изоцианатных групп, оставшихся в ходе получения уретан(мет)акрилатов (А). Обязательное соединение (g) представляет собой по меньшей мере один монофункциональный полиалкиленоксидный простой полиэфирный спирт, как получено путем алкоксилирования подходящих исходных молекул. Подходящими исходными молекулами для получения таких полиалкиленоксидных простых полиэфирных спиртов являются тиольные соединения, моногидроксильные соединения общей формулы R18-O-H, или вторичные моноамины общей формулы R16R17N-H, в которой R16, R17 и R18 каждый независимо представляет собой С1-C18-алкил, С2-C18-алкил, необязательно прерывающийся одним или более атомами кислорода и/или серы и/или одной или более замещенными или незамещенными иминогруппами, С6-С12-арил, С5-С12-циклоалкил или пяти- шестичленный гетероцикл, содержащий атомы кислорода, азота и/или серы, или R16 и R17 вместе образуют ненасыщенное, насыщенное или ароматическое кольцо, необязательно прерывающееся одним или более атомами кислорода и/или серы и/или одной или более замещенными или незамещенными иминогруппами, где указанные радикалы каждый может быть замещен функциональными группами, арилом, алкилом, арилокси, алкилокси, галогеном, гетероатомами и/или гетероциклами. Предпочтительно, R16, R17 и R18 каждый независимо представляет собой С1-С4-алкил; более предпочтительно, R16, R17 и R18 каждый представляет собой метил. Например, подходящими монофункциональными исходными молекулами могут быть насыщенные моноспирты, т.е. не имеющие С-С или С-гетероатом двойные или тройные связи, как например метанол, этанол, н-пропанол, изо-пропанол, н-бутанол, изо-бутанол, втор-бутанол, изомерные пентанолы, гексанолы, октанолы и нонанолы, н-деканол, н-додеканол, н-тетрадеканол, н-гексадеканол, н-октадеканол, циклогексанол, циклопентанол, изомерные метилциклогексанолы или гидроксиметилциклогексан, 3-этил-3-гидроксиметилоксетан, или тетрагидрофурфуриловый спирт; ароматические спирты, такие как фенол, изомерные крезолы или метоксифенолы, аралифатические спирты, такие как бензиловый спирт, анисовый спирт или коричный спирт; вторичные моноамины, такие как диметиламин, диэтиламин, дипропиламин, диизопропиламин, ди-н-бутиламин, диизобутиламин, бис(2-этилгексил)амин, N-метил- и N-этилциклогексиламин или дициклогексиламин, гетероциклические вторичные амины, такие как морфолин, пирролидин, пиперидин или 1Н-пиразол, и аминоспирты, такие как 2-диметиламиноэтанол, 2-диэтиламиноэтанол, 2-диизопропиламиноэтанол, 2-дибутиламиноэтанол, 3-(диметиламино)-1-пропанол или 1-(диметиламино)-2-пропанол. Предпочтительными исходными молекулами являются спирты, имеющие не более 6 атомов углерода, более предпочтительно не более 4 атомов углерода, наиболее предпочтительно не более 2 атомов углерода, и, в частности, метанол. Алкиленоксиды, подходящие для реакции алкоксилирования, представляют собой этиленоксид, пропиленоксид, изо-бутиленоксид, винилоксиран и/или стиролоксид, которые могут применяться в любом порядке (для получения блок-сополимеров) или еще в смеси (для получения случайных сополимеров) в реакции алкоксилирования. Предпочтительными алкиленоксидами являются этиленоксид, пропиленоксид, и их смеси, особенно предпочтительным является этиленоксид. Предпочтительными простыми полиэфирными спиртами являются основанные на полиалкиленоксидных простых полиэфирных спиртах, полученных с применением насыщенных алифатических или циклоалифатических спиртов, указанного выше вида, в качестве исходных молекул. Особенно предпочтительными являются основанные на полиалкиленоксидных простых полиэфирных спиртах, полученных с применением насыщенных алифатических спиртов, имеющих от 1 до 4 атомов углерода в алкильном радикале. Особенно предпочтительными полиалкиленоксидными простыми полиэфирными спиртами являются основанные на метаноле. Одноатомные полиалкиленоксидные простые полиэфирные спирты содержат в среднем в общем по меньшей мере 2 алкиленоксидные единицы, предпочтительно 5 этиленоксидных единиц, на молекулу, в сополимеризованной форме, более предпочтительно по меньшей мере 7 и наиболее предпочтительно по меньшей мере 10. Одноатомные полиалкиленоксидные простые полиэфирные спирты содержат в среднем в общем до 90 алкиленоксидных единиц, предпочтительно этиленоксидных единиц, на молекулу, в сополимеризованной форме, предпочтительно до 45, более предпочтительно до 40 и наиболее предпочтительно до 30. Молярная масса одноатомных полиалкиленоксидных простых полиэфирных спиртов составляет предпочтительно до 4000, более предпочтительно не более 2000 г/моль, наиболее предпочтительно не менее 500, в частности 1000±500 г/моль и особенно от 500 до 1000 г/моль. Предпочтительными простыми полиэфирспиртами являются такие соединения формулы R18-O-[-Xi-]s-H, в которой R18 имеет значения, как определено выше, s представляет собой целое число от 2 до 90, предпочтительно от 5 до 45, более предпочтительно от 7 до 40 и наиболее предпочтительно от 10 до 30, и каждый Xi для i = от 1 до s может быть независимо выбран из группы, состоящей из СН2-СН2-O-, -СН2-СН(СН3)-O-, -СН(СН3)-СН2-O-, -СН2-С(СН3)2-O-, -С(СН3)2-СН2-О-, -CH2-CHVin-O-, -CHVin-CH2-O-, -CH2-CHPh-O- и -CHPh-CH2-O-, предпочтительно из группы СН2-СН2-O-, -СН2-СН(СН3)-O- и -СН(СН3)-СН2-O-, и более предпочтительно -СН2-СН2-О-, где Ph представляет собой фенил, и Vin представляет собой винил. Композиция уретан(мет)акрилатов (А) в общем является следующей: (a) 100 мол. % изоцианатных функций в общей сумме (a1) и (a2), (b) от 5 до 35 мол. % гидроксильных функций в общей сумме (b1) и (b2) (на основе изоцианатных функций в (а)), предпочтительно от 15 до 35 мол. %, (c) от 20 до 80 мол. % гидроксильных функций (на основе изоцианатных функций в (а)), предпочтительно от 30 до 70 мол. %, (d) от 20 до 60 мол. % гидроксильных функций (на основе изоцианатных функций в (a)), предпочтительно от 25 до 50 мол. %, (e) от 60 до 100 мол. % основания (на основе кислотных функций в (d)), предпочтительно от 80 до 100 мол. %, (f) от 0 до 30 мол. %, предпочтительно от 5 до 30 мол. %, более предпочтительно от 10 до 25 мол. %, гидроксильных или амино функций, которые реагируют с изоцианатом (на основе изоцианатных функций в (a)), (g) от 0.5 до 10 мол. %, предпочтительно то 1 до 5 мол. %, гидроксильных функций (на основе изоцианатных функций в (a)), при условии, что общая сумма реакционноспособных в отношении изоцианата группу в компонентах (b), (c), (d) и (g) составляет от 70 до 100 мол. % от реакционноспособных в отношении изоцианата групп, предпочтительно от 75 до 100 мол. % и более предпочтительно от 80 до 100 мол. % (на основе изоцианатных функций в (а)). Реакция компонентов (b), (с), (d) и (g) предпочтительно может быть остановлена путем добавления компонента (f) при конверсии изоцианатных групп от 60 до 100%, более предпочтительно от 70 до 100% и наиболее предпочтительно от 75 до 100%. Когда изоцианатные группы компонента (а) находятся в форме двух различных компонентов (a1) и (а2), отношение (a1) к (а2) (на основе количества присутствующих изоцианатных групп) составляет от 4:1 до 1:4, предпочтительно от 2:1 до 1:4, более предпочтительно от 1:1 до 1:4 и наиболее предпочтительно от 1:3 до 1:4. В ином случае, количественные данные для общей суммы компонентов (a1) и (а2) разумеется основано только на одном компоненте (а). Может быть целесообразно применять компонент (а), содержащий изоцианатные группы, т.е. общую сумму компонентов (a1) и (а2), в избытке, например до 140 мол. %, в отношении ОН-функциональных групп, предпочтительно до 130 мол. % и более предпочтительно до 125 мол. %. Особенно предпочтительно, когда по меньшей мере один из применяемых компонентов, особенно гигроскопичное соединение (b), содержит воду, которая реагирует с изоцианатными функциями в конкуренции с гидроксильными функциями. Молекулярная масса Mw полиуретанов (А) может, например, составлять от 1000 до максимум 50000 г/моль, предпочтительно от 3000 до 30000 г/моль, более предпочтительно от 5000 до 25 ООО г/моль и наиболее предпочтительно по меньшей мере 5000 г/моль, как определено, например, с помощью гель-проникающей хроматографии (GPC). В одном варианте выполнения настоящего изобретения, полиуретан (А) имеет температуру стеклования, определяемую, например, с помощью дифференциального термоанализа (DSC), не более 50°С, предпочтительно не более 40°С, как определено согласно ASTM 3418/82 при скорости нагревания 10°С/мин. В предпочтительном варианте выполнения настоящего изобретения, полиуретан (А) не содержит какие-либо свободные NCO группы. Согласно настоящему изобретению, уретан(мет)акрилат (А) получают из компонентов (а) - (g) путем первоначально загрузки по меньшей мере компонентов (b) и (с) и необязательно (d) по меньшей мере частично, предпочтительно полностью, и добавления изоцианата (а) к этой смеси первоначально загруженных компонентов. С этой целью, предпочтительно по меньшей мере половина запланированного применяемого количества компонента (b) первоначально загружается, предпочтительно по меньшей мере 65%, более предпочтительно по меньшей мере 75% и в частности полное количество. Кроме того, предпочтительно по меньшей мере половина запланированного применяемого количества компонента (с) первоначально загружается, предпочтительно по меньшей мере 65%, более предпочтительно по меньшей мере 75% и в частности полное количество. Предпочтительно по меньшей мере половина запланированного применяемого количества компонента (d) первоначально загружается, предпочтительно по меньшей мере 65%, более предпочтительно по меньшей мере 75% и в частности полное количество. Изоцианат (а) затем добавляется к этой смеси компонентов (b) и (с) и необязательно (d). Это может быть осуществлено непрерывно, в виде двух или более частей, или в одно добавление. Компоненты (a1) и (а2) предпочтительно добавляются одновременно по меньшей мере частично, предпочтительно полностью, чтобы избежать областей, имеющих повышенную долю (a1) или (а2) в полиуретане (А), который образуется. Реакционная смесь затем реагирует при температуре от 25 до 100°С, предпочтительно от 40 до 90°С, за период времени от 3 до 20 часов, предпочтительно от 4 до 12 часов, при перемешивании или принудительной циркуляции с помощью насоса. В ходе реакции температура может оставаться одной и той же или может непрерывно или пошагово увеличиваться. В общем, компонент (f) добавляется, когда компоненты, присутствующие в реакционной смеси, уже прореагировали, например, прореагировали до степени по меньшей мере 50%, предпочтительно до степени по меньшей мере 75%. Реакция ускоряется путем добавления подходящего катализатора. Такие катализаторы известны из литературы, например из G. Oertel (ed.), Polyeurethane [Polyeurethanes], 3rd edition 1993, Carl Hanser Verlag, Munich - Vienna, pages 104 to 110, chapter 3.4.1. "Katalysatoren" [Catalysts], предпочтительно органические амины, особенно третичные алифатические, циклоалифатические или ароматические амины, кислоты Бренстеда и/или подкисленные кислотами Льюиса металлоорганические соединения, более предпочтительно подкисленные кислотами Льюиса металлоорганические соединения. Предпочтительными являются подкисленные кислотами Льюиса металлоорганические соединения, для которых выбираются, например, соединения олова, например, соли олова (II) и органических карбоновых кислот, например, диацетат олова (II), диоктоат олова (II), бис(этилгексаноат) олова (II) и дилаурат олова (II), и соли диалкилолова (IV) и органических карбоновых кислот, например, диацетат диметилолова, диацетат дибутилолова, дибутират дибутилолова, бис(2-этилгексаноат) дибутилолова, дилаурат дибутилолова, малеат дибутилолова, диаурат диоктилолова и диацетат диоктилолова. Кроме того, возможно применять соли цинка (II), например диоктоат цинка (II). Комплексы металлов, такие как ацетилацетонаты железа, титана, алюминия, циркония, марганца, никеля, цинка и кобальта, также возможны. Другие катализаторы на основе металлов описаны в Blank et al. Progress in Organic Coatings, 1999, vol. 35, pages 19-29. He содержащие олово и цинк применяемые альтернативы включают соединения циркония, висмута, титана и алюминия. Например, тетраацетилацетонат циркония (например, K-KAT® 4205 от King Industries); дионаты циркония (например, K-KAT® ХС-9213; ХС-А 209 и ХС-6212 от King Industries); дионат алюминия (например, K-KAT® 5218 от King Industries). Полезные соединения цинка и висмута включают те, в которых применяются следующие анионы: F-, Cl-, ClO-, ClO3-, ClO4-, Br-, I-, IO3-, CN-, OCN-, NO2-, NO3-, HCO3-, CO32-, S2-, SH-, HSO3-, SO32-, HSO4-, SO42-, S2O22-, S2O42-, S2O52-, S2O62-, S2O72-, S2O82-, H2PO2-, H2PO4-, НРO42-, PO43-, P2O74-, (ОСnН2n+1)-, (СnН2n-1O2)-, (СnH2n-3О2)- и (Cn+1H2n-2O4)2-, где n представляет собой целые числа от 1 до 20. Предпочтительными являются карбоксилаты, в которых анион соответствует формуле (CnH2n-1O2)- и (Cn+1H2n-2O4)2-, где n равно от 1 до 20. Особенно предпочтительные соли включают, в качестве анионов, монокарбоксилаты общей формулы (CnH2n-1O2)-, где n представляет собой числа от 1 до 20. В частности, необходимо упомянуть формиат, ацетат, пропионат, гексаноат, неодеканоат и 2-этилгексаноат. Среди катализаторов на основе цинка предпочтительными являются карбоксилаты цинка, особенно предпочтительными являются карбоксилаты, имеющие по меньшей мере шесть атомов углерода, наиболее предпочтительно по меньшей мере восемь атомов углерода, в частности диацетат цинка (II) или диоктоат цинка (II) или неодеканоат цинка (II). Коммерчески доступными катализаторами являются, например, Borchi® Kat 22 от OMG Borchers GmbH, Langenfeld, Germany. Среди катализаторов на основе висмута предпочтительными являются карбоксилаты висмута, особенно предпочтительными являются карбоксилаты, имеющие по меньшей мере шесть атомов углерода, особенно октоаты висмута, этилгексаноаты, неодеканоаты или пивалаты; например K-KAT 348, ХС-В221; ХС-С227, ХС 8203 и XK-601 от King Industries, TIB KАТ 716, 716LA, 716XLA, 718, 720, 789 от TIB Chemicals и катализаторы от Shepherd Lausanne, а также, например, Borchi® Kat 24; 315; 320 от OMG Borchers GmbH, Langenfeld, Germany. Можно включать смеси различных металлов, как например, в Borchi® Kat 0245 от OMG Borchers GmbH, Langenfeld, Germany. Среди соединений титана, предпочтительными являются тетраалкоксиды титана Ti(OR)4, для которых особенно предпочтительными являются спирты ROH, имеющие от 1 до 8 атомов углерода, например метанол, этанол, изо-пропанол, н-пропанол, н-бутанол, изо-бутанол, втор-бутанол, трет-бутанол, н-гексанол, н-гептанол, н-октанол, предпочтительно метанол, этанол, изо-пропанол, н-пропанол, н-бутанол, трет-бутанол, более предпочтительно изо-пропанол и н-бутанол. Эти катализаторы являются подходящими для основанных на растворителе, основанных а воде и/или блочных системах. Катализаторы на основе молибдена, катализатры на основе вольфрама и катализаторы на основе ванадия описываются в частности для превращения блочных полиизоцианатов в WO 2004/076519 и WO 2004/076520. Предпочтительные подкисленные кислотами Льюиса органические соединения металлов представляют собой диметилолова диацетат, дибутилолова дибутират, дибутилолова бис(2-этилгексаноат), дибутилолова дилаурат, диоктилолова дилаурат, диоктоат цинка (II), ацетилацетонат циркония, циркония 2,2,6,6-тетраметил-3,5-гептандионат и висмута 2-этилгексаноат. Особенно предпочтительным является, однако, дибутилолова дилаурат, неодеканоат висмута и 2-этилгексаноат висмута, особенно предпочтительными являются неодеканоат висмута и 2-этилгексаноат висмута. Возможно дополнительно увеличить активность катализаторов с помощью присутствия кислот, например, кислот, имеющих pKa<2.5, как описано в ЕР 2316867 А1, или имеющих pKa от 2.8 до 4.5, как описано в WO 04/029121 А1. Предпочтительным является применение кислот, имеющих pKa не более 4.8, более предпочтительно не более 2.5. Согласно настоящему изобретению предпочтительно проводить реакцию без катализатора, но реакционная смесь в этом случае должна подвергаться более высоким температурам и/или более длительным продолжительностям реакции. Чтобы избежать нежелательной полимеризации (мет)акрилатных групп в ходе реакции, могут быть добавлены ингибиторы полимеризации. Ингибиторы этого вида описываются, например, в WO 03/035596, стр. 5 строка 35 - стр. 10 строка 4, которая включена посредством ссылки в настоящую заявку. Предпочтительный вариант выполнения настоящего изобретения может включать применение объединяемых ингибиторов полимеризации, т.е. имеющих группу - ОН или -NH2, т.е. реакционноспособную в отношении изоцианата группу. Их предпочтительным примером является 4-гидрокси-2,2,6,6-тетраметилпиперидин N-оксил. Реакция может оцениваться как оканчивающаяся, когда значение NCO достигло теоретического значения превращения до степени по меньшей мере 95%, предпочтительно до степени по меньшей мере 97% и более предпочтительно до степени по меньшей мере 98%. Если непревращенные изоцианатные группы все еще должны присутствовать, реакция может быть завершена при вышеописанных условиях реакции путем реакции с агентом обрыва (f). После получения реакционная смесь диспергируется или разбавляется в воде. По окончании реакции ди- или полиизоцианата (а) с компонентами, имеющими реакционноспособные в отношении изоцианата группы, возможно удалить любой применяемый органический растворитель, например, путем дистилляции. Это, как правило, устанавливает содержание твердых веществ от 35 до 45%, но оно также может достигать до 60%. Средний размер частиц в дисперсии составляет в общем от 10 до 150 нм, предпочтительно от 15 до 120 нм, более предпочтительно от 20 до 100 нм, наиболее предпочтительно от 20 до 90 нм. В случае пигментированной дисперсии, получение полиуретана (А) сопровождается добавлением одного или более пигментов и необязательно воды. Предпочтительным является установление содержания твердых веществ в интервале от 10 до 80%, предпочтительно до 65%, более предпочтительно от 40 до 60%. Массовое отношение полиуретана (А) к пигменту может варьироваться в широких диапазонах. В одном варианте выполнения настоящего изобретения, массовое отношение полиуретана (А) к пигменту находится в интервале от 5:1 до 1:10, предпочтительно от 3:1 до 1:8, более предпочтительно от 1:1 до 1:6. Затем полиуретан (А) и пигмент диспергируются. Диспергирование может быть проведено в любом устройстве, подходящем для диспергирования. Примеры включают встряхивающие столики, например, от Skandex. Предпочтительно, полиуретан (А) и пигмент диспергируются, например, в ультразвуковых устройствах, гомогенизаторах высокого давления, 2-, 3-, 4- или 5-валковых вальцах, минидробилках, смесителях Хенкеля, встряхивающихся мельницах, Ang мельницах, зубчатых мельницах, шаровых мельницах, мельницах мокрого размола, песочных мельницах, мельницах тонкого помола, коллоидных мельницах, ультразвуковых гомогенизаторах, с мешалками Ultra-Turrax, и в частности путем измельчения, например, в 2-, 3-, 4- или 5-валковых вальцах, минидробилках, встряхивающихся мельницах, Ang мельницах, зубчатых мельницах, шаровых мельницах, мельницах мокрого размола, песочных мельницах, грануляторах, особенно перемешиваемых грануляторах. Подходящая продолжительность диспергирования, как было обнаружено, составляет, например, от 10 минут до 48 часов, хотя более длительный период также возможен. Предпочтительная продолжительность диспергирования составляет от 15 минут до 24 часов. Условия давления и температуры в ходе операции диспергирования в общем являются некритичными; например, как было обнаружено, стандартное давление является подходящим. Подходящими температурами, как было обнаружено, являются, например, температуры в интервале от 10°С до 100°С, предпочтительно од 80°С. Дисперсия пигмента обеспечивает пигментированные водные дисперсии. В одном варианте выполнения настоящего изобретения, водные дисперсии согласно настоящему изобретению имеют содержание твердых веществ в интервале от 10 до 80%, предпочтительно до 65%, более предпочтительно от 40 до 60%. В ходе осуществления операции диспергирования возможно добавлять стандартные диспергирующие средства. Для получения радиационно-отверждаемых покрывающих композиций или печатных красок, возможно и предпочтительно смешивать уретан(мет)акрилат (А) с по меньшей мере одним другим, предпочтительно низкомолекулярным (мет)акрилатом (В), который отличен от (А). Этот (мет)акрилат (В) предпочтительно содержит (мет)акрилаты, которые являются растворимыми или диспергируемыми в водной дисперсии уретан (мет)акрилата (А). (Мет)акрилаты низкой молекулярной массы (В) предпочтительно имеют по меньшей мере две, предпочтительно по меньшей мере три, более предпочтительно от трех до четырех, (мет)акрилатных функций, и среднюю молекулярную массу до 1000 г/моль, предпочтительно до 750 г/моль. В предпочтительном варианте выполнения настоящего изобретения, (мет)акрилаты (В) с низкой молекулярной массой могут быть продуктами реакции (цикло)алифатических, более предпочтительно алифатических, глицидиловых простых эфиров с (мет)акриловой кислотой. Полезными примерами являются простые глицидиловые эфиры алифатических полиолов. Большое число продуктов реакции этого вида является коммерчески доступным. Особенно предпочтительными являются полиглицидильные соединения полностью гидрогенированного бисфенола типа A, F или В, и наиболее предпочтительно глицидиловые простые эфиры многоатомных спиртов, например бутан-1,4-диола, циклогексан-1,4-диметанола, неопентилгликоля, гексан-1,6-диола, глицерина, триметилолпропана и пентаэритрита. Особенно предпочтительным является продукт реакции акриловой кислоты с бутан-1,4-диолдиглицидиловым простым эфиром. В другом предпочтительном варианте выполнения настоящего изобретения, соединения (В) представляют собой мультифункцональные (мет)акрилаты, предпочтительно акрилаты алкоксилированных, предпочтительно пропоксилированных и/или этоксилированных, более предпочтительно этоксилированных мультифункциональных спиртов. Примерами являются (мет)акрилаты, предпочтительно акрилаты соединений формул (VIII) - (VIIId) в которых R1 и R2 каждый независимо представляет собой водород или C1-C18-алкил, предпочтительно С1-С4-алкил, необязательно замещенный арилом, алкилом, арилокси, алкилокси, гетероатомами и/или гетероциклами, k, l, m, q каждый независимо представляет собой целое число от 1 до 10, предпочтительно от 1 до 5 и более предпочтительно от 1 до 3, и каждый X, для i=1-k, 1-l, 1-m и 1-q может независимо быть выбран из -СН2-СН2-O-, -СН2-СН(СН3)-O-, -СН(СН3)-СН2-O-, -СН2-С(СН3)2-O-, -С(СН3)2-СН2-O-, -CH2-CHVin-O-, -CHVin-CH2-O-, -CH2-CHPh-O- и -CHPh-CH2-O-, предпочтительно из группы -СН2-СН2-O-, -СН2-СН(СН3)-O- и -СН(СН3)-СН2-O-, и более предпочтительно -СН2-СН2-O-, где Ph представляет собой фенил, и Vin представляет собой винил. где C1-C18-алкил, незамещенный или замещенный арилом, алкилом, арилокси, алкилокси, гетероатомами и/или гетероциклами, представляет собой, например, метил, этил, пропил, изопропил, н-бутил, втор-бутил, трет-бутил, пентил, гексил, гептил, октил, 2-этилгексил, 2,4,4-триметилпентил, децил, додецил, тетрадецил, гексадецил, октадецил, 1,1-диметилпропил, 1,1-диметилбутил, 1,1,3,3-тетраметилбутил, предпочтительно метил, этил или н-пропил, наиболее предпочтительно метил или этил. Предпочтительными являются (мет)акрилаты однократно-двадцатикратно и более предпочтительно трехкратно - десятикратно этоксилированных, пропоксилированных или смешанно этоксилированных и пропоксилированных, и в частности исключительно этоксилированных неопентилгликоля, глицерина, триметилолпропана, триметилолэтана или пентаэритрита. (Мет)акрилат с низкой молекулярной массой (В) присутствует в до трехкратном количестве (массе) от уретан(мет)акрилата (А), предпочтительно в 0.1 - 2-х кратном количестве, более предпочтительно в 0.1-0.5 кратном количестве. Предпочтительно такой состав (А) и (В) имеет по меньшей мере 1.0 моль, предпочтительно по меньшей мере 1.5 моль и более предпочтительно по меньшей мере 2.0 моль (мет)акрилатных функций на кг твердых веществ (общая сумма (А) и (В)). Покрывающие композиции могут содержать дополнительные составляющие: Если отверждение покрывающих композиций осуществляется не с помощью электронных пучков, а с помощью УФ облучения, предпочтительно присутствует по меньшей мере один фотоинициатор, который может инициировать полимеризацию этиленненасыщенных двойных связей. Фотоинициаторами могут быть, например, фотоинициаторы, известные специалистам в данной области техники, примеры которых приводятся в "Advances in Polymer Science", Volume 14, Springer Berlin 1974 или в K.K. Dietliker, Chemistry and Technology of UV and EB Formulation for Coatings, Inks and Paints, Volume 3; Photoinitiators for Free Radical and Cationic Polymerization, P.K.T. Oldring (Eds.), SITA Technology Ltd, London. Возможные варианты включают, например, моно- или бисацилфосфиноксиды, как описано, например, в ЕР-А 7508, ЕР-А 57474, DE-A 19618720, ЕР-А 495751 или ЕР-А 615980, причем примерами являются 2,4,6-триметилбензоилдифенилфосфиноксид (Lucirin® ТРО от BASF SE), этил 2,4,6-триметилбензоилфенилфосфинат (Lucirin® ТРО L от BASF SE), бис(2,4,6-триметилбензоил)фенилфосфиноксид (Irgacure® 819 от BASF SE), бензофеноны, гидроксиацетофенодины, фенилглиоксиловая кислота и ее производные, или смеси этих фото инициаторов. Примеры включают бензофенон, ацетофенон, ацетонафтохинон, метилэтилкетон, валерофенон, гексанофенон, α-фенилбутирофенон, п-морфолинопропиофенон, дибензосуберон, 4-морфолинобензофенон, 4-морфолинодеоксибензоин, п-диацетилбензол, 4-аминобензофенон, 4'-метоксиацетофенон, β-метилантрахинон, трет-бутилантрахинон, сложные эфиры антрахинонкарбоновой кислоты, бензальдегид, α-тетралон, 9-ацетилфенантрен, 2-ацетилфенантрен, 10 тиоксантенон, 3-ацетилфенантрен, 3-ацетилиндол, 9-флуоренон, 1-инданон, 1,3,4-триацетилбензол, тиоксантен-9-он, ксантен-9-он, 2,4-диметилтиоксантон, 2,4-диэтилтиоксантон, 2,4-ди-изо-пропилтиоксантон, 2,4-дихлортиоксантон, бензоин, бензоина изо-бутиловый простой эфир, хлорксантенон, бензоина тетрагидропираниловый простой эфир, бензоина метиловый простой эфир, бензоина этиловый простой эфир, бензоина бутиловый простой эфир, бензоина изо-пропиловый простой эфир, 7Н-бензоина метиловый простой эфир, бенз[де]антраценон-7-он, 1-нафтальдегид, 4,4'-бис(диметиламино)бензофенон, 4-фенилбензофенон, 4-хлорбензофенон, кетон Михлера, 1-ацетонафтон, 2-ацетонафтон, 1 -бензоилцикло гексан-1-ол, 2-гидрокси-2,2-диметилацетофенон, 2,2-диметокси-2-фенилацетофенон, 2,2-диэтокси-2-фенилацетофенон, 1,1-дихлорацетофенон, 1-гидроксиацетофенон, ацетофенондиметилкеталь, о-метоксибензофенон, трифенилфосфин, три-о-толилфосфин, бенз[а]антрацен-7,12-дион, 2,2 диэтоксиацетофенон, бензилкетали, такие как бензилдиметилкеталь, 2-метил-1-[4-(метилтио)фенил]-2-морфолинопропан-1-он, антрахиноны, такие как 2-метилантрахинон, 2-этилантрахинон, 2-трет-бутилантрахинон, 1-хлорантрахинон, 2-амилантрахинон и бутан-2,3-диодин. Также подходящими являются нежелтеющие или маложелтеющие фотоинициаторы типа фенилглиоксалевого сложного эфира, как описано в DE-A 19826712, DE-A 19913353 или WO 98/33761. Подобным образом, возможными в качестве фотоинициаторов являются полимерные фотоинициаторы, например, сложные диэфиры карбоксиметоксибензофенон и политетраметиленгликолей различной молярной массы, предпочтительно от 200 до 250 г/моль (CAS 515136-48-8), а также CAS 1246194-73-9, CAS 813452-37-8, CAS 71512-90-8, CAS 886463-10-1, или другие полимерные производные бензофенона, коммерчески доступные, например, под торговым наименованием Omnipol® BP от Rahn AG, Switzerland. В предпочтительном варианте выполнения настоящего изобретения, применяемыми фотоинициаторами являются силсесквиоксановые соединения, имеющие по меньшей мере одну группу с инициирующей активностью, как описано в WO 2010/063612 A1, особенно на стр. 2 строка 21 - стр. 43 строка 9, включенной посредством ссылки как часть настоящей заявки, предпочтительно на стр. 2 строка 21 - стр. 30 строка 5, а также соединения, описанные в примерах в WO 2010/063612 А1. Типичные смеси содержат, например, 2-гидрокси-2-метил-1-фенилпропан-2-он и 1-гидроксициклогексилфенилкетон, бис(2,6-диметоксибензоил)-2,4,4-триметил пентилфосфиноксид и 2-гидрокси-2-метил-1-фенилпропан-1-он, бензофенон и 1-гидроксициклогексилфенилкетон, бис(2,6-диметоксибензоил)-2,4,4-триметилпентилфосфиноксид и 1-гидроксициклогексилфенилкетон, 2,4,6 триметилбензоилдифенилфосфиноксид и 2-гидрокси-2-метил-1 фенилпропан-1-он, 2,4,6-триметилбензофенон и 4-метилбензофенон или 2,4,6-триметилбензофенон, и 4-метилбензофенон и 2,4,6 триметилбензоилдифенилфосфиноксид. Предпочтительными среди этих фотоинициаторов являются 2,4,6-триметилбензоилдифенилфосфиноксид, этил 2,4,6-триметилбензоилфенилфосфинат, бис(2,4,6-тритилбензоил)фенилфосфиноксид, бензофенон, 1-бензоилциклогексан-1-ол, 2-гидрокси-2,2-диметилацетофенон, и 2,2-диметокси-2-фенилацетофенон. Покрывающие композиции содержат фотоинициаторы предпочтительно в количестве от 0.05 до 10 мас. %, более предпочтительно от 0.1 до 8 мас. %, особенно от 0.2 до 5 мас. %, на основе общего количества уретан(мет)акрилата (А). Покрывающие композиции могут содержать дополнительные стандартные покрывающие добавки, такие как средства контроля потока, противопенообразователи, УФ-поглотители, красители, пигменты и/или наполнители. Подходящие наполнители включают силикаты, например силикаты, получаемые гидролизом тетрахлорида кремния, как например Aerosil® от Degussa, кремнистая земля, тальк, силикаты алюминия, силикаты магния, и карбонаты кальция, и т.д. Подходящие стабилизаторы содержат типичные УФ-поглотители, такие как оксанилиды, триазины и бензотриазол (последний получают в виде продукта Tinuvin® от Ciba-Spezialitatenchemie), и бензофеноны. Они могут применяться сами по себе или вместе с подходящими поглотителями свободных радикалов, причем примерами являются стерические затрудненные амины, такие как 2,2,6,6-тетраметилпиперидин, 2,6-ди-трет-бутилпиперидин или их производные, например бис(2,2,6,6-тетраметил-4-пиперидил)себакат. Стабилизаторы, как правило, применяются в количествах от 0.1 до 5.0 мас. %, на основе "твердых" компонентов, присутствующих в препарате. Пигменты являются фактически нерастворимыми в воде, мелкодисперсными органическими или неорганическими красителями, как описано в DIN 55944. Методика получения водных дисперсий согласно настоящему изобретению предпочтительно основана на органических пигментах, включая сажу. Кроме того, белые пигменты являются в равной степени предпочтительными, особенно диоксид титана. Примеры пигментов с особенно хорошей стабильностью приведены далее. Органические пигменты: С.I. Пигмент желтый 101 (альдазин желтый); С.I. Пигмент коричневый 22; Неорганические пигменты: Предпочтительные пигменты в этом контексте включают моноазопигменты (особенно лаковые BONS пигменты, нафтол AS пигменты), диазопигменты (особенно диариловые желтые пигменты, бисацетоацетанилидные пигменты, диазопиразолоновые пигменты), хинакридоновые пигменты, хинофталоновые пигменты, периноновые пигменты, фталоцианиновые пигменты, триарилкарбониевые пигменты (щелочные синие пигменты, лаковые родамины, соли красителей со сложными анионами), изоиндолиновые пигменты, белые пигменты и сажа. Специфическими примерами особенно предпочтительных примеров являются: сажа, диоксид титана, С.I. Пигмент желтый 138, С.I. Пигмент красный 122 и 146, С.I. Пигмент фиолетовый 19, С.I. Пигмент синий 15:3 и 15:4, С.I. Пигмент черный 7, С.I. Пигмент оранжевый 5, 38 и 43 и С.I. Пигмент зеленый 7. Дисперсии согласно настоящему изобретению особенно подходят в качестве водной покрывающей композиции или в водных покрывающих композициях, более предпочтительно для покрытия подложек, таких как древесина, бумага, текстиль, кожа, ворс, пластиковые поверхности, стекло, керамика, минеральные строительные материалы, такие как цементные блоки и цементно-волоконные плиты, и особенно металлы и покрытые металлы. Подложки необязательно могут быть предварительно обработаны и/или предварительно покрыты; например, пластиковые пленки могут быть обработаны коронным электрическим разрядом перед применением, или предварительно покрытый праймером. Среди пластиков особенно предпочтительными являются поликарбонат, полиэтилен, например, РЕ, HDPE, LDPE, полипропилен, например, РР, ориентированный РР (ОРР), бисаксиально ориентированный РР (ВОРР), полиамид, например, Nylon®, и полиэтилентерефталат (PET). Предпочтительными подложками являются бумага, особенно газетная бумага, картон, плотная бумага, пленки, содержащие сложный полиэфир, пленки, содержащие полиэтилен, и пленки, содержащие полипропилен, а также стекло. Пластиковые пленки также могут быть необязательно металлизированы. Особенно предпочтительно, дисперсии согласно настоящему изобретению могут применяться для покрытия древесины или материалов на основе древесины, подложек, содержащих древесины, как например истовая фибра. Также возможно покрытие подложек, содержащих целлюлозные волокна, например бумаги, картона или плотной бумаги. Наиболее предпочтительно, дисперсии подходят для покрытия дубовой древесины, ели, сосновой древесины, буковой древесины, древесины клена, древесины орехового дерева, макора, каштанового дерева, панели, белой акации, ясеня, древесины березы, швейцарской сосны и древесины вяза, а также пробкового слоя. Дисперсии согласно настоящему изобретению могут применяться сами по себе или в виде смеси, и они затем увеличивают пигментируемость состава. Подложки покрываются стандартными способами, известными специалистам в данной области техники, путем нанесения по меньшей мере одной покрывающей композиции на подложку, подлежащую покрытию, с желаемой толщиной, и удаления летучих составляющих из покрывающих композиций. Эта операция может повторяться один раз или более одного раза, если желательно. Нанесение на подложку может быть осуществлено известным образом, например путем распыления, затирки, покрытия ножом, брашинга, прокатывания, нанесения покрытия валиком или налива. Толщина покрытия в общем находится в диапазоне от около 3 до 400 г/м2, предпочтительно от 10 до 200 г/м2 и более предпочтительно от 10 до 80 г/м2. Необязательно, когда множество слоев покрывающей композиции наносятся один на другой, каждая операция покрытия может сопровождаться радиационным отверждением и промежуточной операцией шлифовки. Радиационное отверждение осуществляется путем воздействия высокоэнергетического излучения, т.е. УФ излучения или дневного света, предпочтительно света с длиной волны от 250 до 600 нм, или путем облучения высокоэнергетическими электронами (электронные пучки; от 150 до 300 кэВ). Примеры применяемых источников излучения включают ртутные лампы высокого давления, лазеры, импульсные лампы (мигающий свет), галогенные лампы или эксимерные лампы. Доза излучения, как правило достаточная для сшивания в случае УФ отверждения, находится в интервале от 80 до 3000 мДж/см2. Предпочтительными являются ртутные лампы низкого давления, лампы среднего давления и лампы высокого давления. Облучение необязательно также осуществляется в отсутствии кислорода, например в атмосфере инертного газа. Подходящими инертными газами являются предпочтительно азот, благородные газы, диоксид углерода или газы сгорания. Кроме того, облучение может осуществляться путем покрытия покрывающей композиции прозрачной средой. Прозрачной средой являются, например, полимерные пленки, стекло или жидкости, например, вода. Особенно предпочтительным является облучение способом, как описано в DE-A1 19957900. В предпочтительном способе, отверждение осуществляется непрерывно, путем пропускания подложки, обработанной покрывающей композицией, при постоянной скорости через источник облучения. Для этого необходимо, чтобы скорость отверждения покрывающей композиции была достаточно высокой. Этот изменяемый со временем ход отверждения может применяться, особенно когда покрытие изделия сопровождается другой стадией обработки, на которой поверхность пленки вступает в прямой контакт с другим изделием или обрабатывается механически. Настоящее изобретение также обеспечивает печатную краску, содержащую по меньшей мере один уретан(мет)акрилат (А) согласно настоящему изобретению и предпочтительно по меньшей мере один пигмент. Другим объектом настоящего изобретения является способ получения печатных красок согласно настоящему изобретению для способов печати. В способе согласно настоящему изобретению для получения печатных красок для способов печати, по меньшей мере одна водная дисперсия согласно настоящему изобретению, вода, необязательно по меньшей мере один пигмент и необязательно по меньшей мере одна добавка смешиваются друг с другом, например за одну или более стадий. Печатные краски согласно настоящему изобретению для способов печати могут содержать дополнительные добавки, стандартно применяемые в водных печатных красках и в печатной и покрывающей промышленности. Примеры включают консерванты, например, 1,2-бензизотиазолин-3-он (коммерчески доступный как Proxel brands от Avecia Lim.) и его соли с щелочными металлами, глютаральдегид и/или тетраметилолацетилендимочевина, Protectols®, антиоксиданты, дегазаторы/противопенообразователи, например ацетилендиолы и этоксилированные ацетилендиолы, которые, как правило, содержат от 20 до 40 молей этиленоксида на моль ацетилендиола и могут также иметь дисперсионный эффект, регуляторы вязкости, средства контроля потока, смачиватели (например смачивающие поверхностно-активные вещества на основе этоксилированных или пропоксилированных жирных спиртов или оксо-спиртов, пропиленоксид-этиленоксид блочных сополимеров, этоксилатов олеиновой кислоты или алкилфенолов, сульфатов простого эфира алкилфенола, алкилполигликозидов, алкилфосфонатов, алкилфенилфосфонатов, алкилфосфатов, алкилфенилфосфатов или предпочтительно сополимеров на основе простых полиэфирсилоксанов, особенно алкоксилированных 2-(3-гидроксипропил)гептаметилтрисилоксанов, которые в общем содержат блок из от 7 до 20 и предпочтительно от 7 до 12 этиленоксидных единиц и блок из от 2 до 20 и предпочтительно от 2 до 10 пропиленоксидны единиц и могут присутствовать в препаратах красителя в количествах от 0.05% до 1 мас. %), противоосаждающие вещества, улучшители блеска, глиданты, улучшители адгезии, реагент, препятствующий образованию поверхностной пленки, матирующие средства, эмульгаторы, стабилизаторы, гидрофобизаторы, свето-стабилизирующие добавки, средства, облегчающие обработку, антистатики, основания, например триэтаноламин, или кислоты, в частности карбоновые кислоты, например молочная кислота или лимонная кислота, чтобы регулировать pH. Если эти агенты являются частью печатных красок согласно настоящему изобретению для способов печати, их общее количество в общем составляет 2 мас. %, особенно 1 мас. %, на основе массы окрашивающих препаратов согласно настоящему изобретению и особенно печатных красок согласно настоящему изобретению для способов печати. Печатные краски согласно настоящему изобретению для способов печати могут дополнительно содержать дополнительный фотоинициатор. В одном варианте выполнения настоящего изобретения, печатные краски согласно настоящему изобретению для способов печати имеют динамическую вязкость в интервале от 10 до 2000 мПа⋅с, предпочтительно от 10 до 1500 мПа⋅с, более предпочтительно от 10 до 1250 мПа⋅с, и наиболее предпочтительно от 10 до 1000 мПа⋅с, как измерено при 23°С согласно DIN 53018. Для регулировки вязкости может быть необходимо добавлять тиксотропную добавку в краску для печати для установления вязкости. В одном варианте выполнения настоящего изобретения, поверхностное натяжение печатных красок согласно настоящему изобретению для способов печати составляет от 25 до 70 мН/м, особенно от 30 до 60 мН/м, как измерено при 25°С согласно DIN 53993. В одном варианте выполнения настоящего изобретения, pH печатных красок согласно настоящему изобретению для способов печати составляет от 5 до 10, предпочтительно от 7 до 10. Печатные краски согласно настоящему изобретению для способов печати показывают в совокупности предпочтительные свойства нанесения и хорошие характеристики сушки, и обеспечивают печатные изображения высокого качества, т.е. с высоким блеском и глубокими тенями, и высокой стойкостью к истиранию, свету, воде и влажному истиранию. Они особенно подходят для печати на покрытой и непокрытой бумаге, а также на плотной бумаге и РЕ/РР/РЕТ пленках. Особое преимущество печатных красок согласно настоящему изобретению состоит в том, что они проявляют улучшенное повторное растворение остатков печатных красок, прикрепившихся к печатным роликам или печатным панелям, причем этих остатки образуются в результате предшествующей операции печати или еще частично высыхают после остановки операции печати. Такое улучшенное повторное растворение является предпочтительным, особенно, но не только, в случае печати методом рельефной печати. Другим объектом настоящего изобретения является способ плоской или трехмерной печати, предпочтительно плоской, на подложках путем способов печати, отличных от струйной печати, с применением по меньшей мере одной печатной краски согласно настоящему изобретению. В предпочтительном варианте способа печати согласно настоящему изобретению, по меньшей мере одна печатная краска согласно настоящему изобретению отпечатывается на подлодке и затем обрабатывается актиничным излучением. Способы печати, в которых печатные краски согласно настоящему изобретению могут применяться, представляют собой предпочтительно офсетную печать, рельефную печать, флексографическую печать, глубокую печать, металлографию, более предпочтительно флексографическую печать и глубокую печать. В так называемых механических способах печати, таких как офсетная печать, рельефная печать, флексорафическая печати или глубокая печать, печатая краска переносится на область печати путем контакта печатного валика или печатной формы, которая была окрашена печатной краской, с отпечатком. Печатные краски для этих применений, как правило, содержат растворитель, краситель, связующее вещество и необязательно различные добавки. Связующие вещества служат для образования пленки краски и закрепления составляющих, например пигментов или наполнителей, в пленке краски. В зависимости от консистенции печатные краски для этих применений, как правило, содержат от 10 до 50 мас. % связующего вещества. Лаки для печати наносятся либо в виде праймера на область печати или в виде покрытия на отпечатанную область печати после операции печати. Лаки для печати применяются, например, для защиты отпечатанного изображения, для улучшения адгезии печатной краски к области печати, или в эстетических целях. Нанесение, как правило, осуществляется на одной линии, посредством узла нанесения лака в печатной машине. Лаки для печати не содержат какие-либо красители, но, независимо от этого, в общем подобны составу печатных красок. Печатные краски для механических способов печати включают то, что называется пастообразные печатные краски, имеющие высокую вязкость, для офсетной и рельефной печати, и то, что называется жидкие печатные краски, имеющие сравнительно низкую вязкость для флексографической и глубокой печати. В предпочтительном варианте выполнения настоящего изобретения операция флексографической печати может осуществляться, например, путем печати на необязательно предварительно обработанной подложке, подлежащей покрытию, последовательно на отдельных узлах печати различно пигментированными печатными красками согласно настоящему изобретению. Между отдельными узлами печати предпочтительно осуществляется по меньшей мере частичная сушка, более предпочтительно полная сушка. Предпочтительно, отдельные узлы печати, наряду с узлами сушки, располагаются вокруг центрального ролика, но также возможно перемещать субстрат посредством одного ролика в каждый отдельный узел печати с помощью отклоняющих устройств. После прохождения всех узлов печати завершенное отпечатанное изображение высушивают и полностью отверждают с помощью электронных пучков. Печатные краски согласно настоящему изобретению и лаки для печати могут необязательно содержать дополнительные добавки и вспомогательные вещества. Примерами добавок и вспомогательных веществ являются наполнители, такие как карбонат кальция, гидрат оксида алюминия или силикат алюминия или силикат магния. Воски увеличивают сопротивление истиранию и служат для увеличения смазки. Примерами являются в частности полиэтиленовые воски, окисленные полиэтиленовые воски, нефтяные воски или церезиновые воски. Амиды жирных кислот могут применяться для увеличения гладкости поверхности. Пластификаторы служат для увеличения эластичности высушенной пленки. Примерами являются фталиевые сложные эфиры, такие как дибутилфталат, диизобутилфталат, диоктилфталат, сложные эфиры лимонной кислоты или сложные эфиры адипиновой кислоты. Чтобы диспергировать пигменты, возможно применять диспергирующие вспомогательные вещества. В жидких печатных красках согласно настоящему изобретению или печатных лаках, предпочтительно исключать промоторы адгезии, хотя не было намерения исключить применение промоторов адгезии. Общее количество всех добавок и вспомогательных веществ, как правило, не превышает 20 мас. % от общей суммы всех составляющих, и предпочтительно составляет 0-10 мас. %. Толщина слоя, с которой печатные краски согласно настоящему изобретению наносится на подложку, различается в соответствии со способом печати и может, например, составлять до 10 мкм, предпочтительно от 0.1 до 8 мкм, более предпочтительно от 0.2 до 7 мкм, даже более предпочтительно от 1 до 5 мкм и особенно от 1 до 4 мкм. Для рельефной печати/флексографической печати, как правило, толщины слоя печатной краски составляют 2-4 мкм, для офсетной печати 1-2 мкм, для металлографии 2-8 мкм, и для трафаретной печати 20-30 мкм. Печатные краски согласно настоящему изобретению для способов печати могут быть отверждены посредством актиничного излучения; например, актиничного излучения, имеющего диапазон длин волн от 200 нм до 450 нм, является подходящим. Например, актиничное излучение, имеющее энергию в диапазоне от 70 мДж/см2 до 2000 мДж/см2, является подходящим. Актиническое излучение может соответственно вводиться, например, непрерывно или в форме вспышек. Предпочтительный вариант выполнения настоящего изобретения включает проведение отверждения печатных красок посредством электронных пучков в подходящих электронных световых приборах, например с энергией в диапазоне от 70 до 300 кэВ, предпочтительно от 150 до 200 кэВ. Преимущество осуществления отверждения посредством электронных пучков состоит в том, что печатные краски, отвержденные таким образом, в общем имеют более хорошую прочность при истирании, чем печатные краски, отвержденные с помощью УФ света. В случае когда отверждение осуществляется посредством электронных пучков, печатная краска согласно настоящему изобретению предпочтительно не содержит какой-либо фотоинициатор (Е). Это обеспечивает преимущество, состоящее в том, что отсутствуют перемещаемые составляющие фотоинициаторов, которые возникают благодаря радиации, оставшейся в покрытии. Это особенно предпочтительно, когда покрытия предназначены для контакта с пищей и напитками. Расстояние от электронных световых приборов до поверхности печати составляет от 1 до 100 см, предпочтительно от 5 до 50 см. Конечно, также возможно применять множество источников излучения для операции отверждения, чтобы достичь дозы излучения, необходимой для оптимального отверждения. В одном варианте выполнения настоящего изобретения, операция печати может сопровождаться промежуточной сушкой, и она может предшествовать обработке актиничным излучением, где сушка осуществляется, например, термически или с помощью IR излучения. Подходящими условиями являются, например, температура в диапазоне от 30 до 120°С за период времени в интервале от 10 секунд до 24 часов, предпочтительно до 30 минут, более предпочтительно до 5 минут. Подходящим IR излучением является, например, IR излучение в диапазоне длин волн выше 800 нм. Подходящими устройствами для промежуточной сушки являются, например, сушильные камеры или вакуумные сушильные камеры для термической промежуточной сушки, и дополнительно IR лампы. Температура, повышенная в ходе воздействия актиничного излучения, может также оказывать промежуточный сушильный эффект. Печатные краски согласно настоящему изобретению и отпечатки, которые получают с применением печатных красок согласно настоящему изобретению, могут, однако, также быть отверждены термически, с помощью или без воздействия актиничного излучения. Например, возможно посредством сушки при температурах в интервале от 25 до 150°С, предпочтительно от 100 до 150°С, более предпочтительно от 120 до 150°С, фиксировать отпечатки, полученные с применением печатных красок согласно настоящему изобретению. В предпочтительном варианте выполнения настоящего изобретения, облучение также может осуществляться с исключением кислорода или в кислород-обедненной атмосфере, например при парциальном давлении кислорода менее 18 кПа, предпочтительно 0.5-18 кПа, более предпочтительно 1-15 кПа, даже более предпочтительно от 1 до 10 кПа и особенно 1-5 кПа, или в атмосфере инертного газа. Подходящими инертными газами предпочтительно являются азот, благородные газы, диоксид углерода, водяной пар или газы сгорания. Парциальное давление кислорода может также быть уменьшено путем понижения окружающего давления. Преимущество водных покрывающих композиций состоит в том, что диспергированные уретан(мет)акрилаты имеют высокую стабильность и проявляют хорошие свойства пигментации в комбинации с пигментами. Настоящее изобретение далее проиллюстрировано неограничивающими примерами. Пример 1 В смесительном баке 69 частей диметилолпропионовой кислоты, 19 частей неопентилгликоля, 144 частей Lupraphen® VP 9327 (BASF SE; сложный полиэфирдиол на основе адипиновой кислоты, изофталевой кислоты и циклогександиметанола, имеющий среднее число ОН, равное 140 мгKOH/г), 29 частей 2-гидроксиэтилакрилата, 62 частей Pluriol® A1020E (BASF SE; полученный из метанола полиэтиленгликоль, имеющий среднее число ОН, равное 50 мгKOH/г) и 1 часть Kerobit® ТВK (BASF SE; 2,6-ди-т-бутилкрезол) гомогенизировали в 350 частях ацетона, с последующим параллельным отмеренным добавлением, в течение 20 минут, 463 частей Laromer® LR 9000 (BASF SE; ненасыщенный полиизоцианат на основе 2-гидроксиэтилакрилата и гексаметилендиизоцианат, имеющий массу изоцианатного эквивалента около 290 г/моль) и 35 частей гексаметилендиизоцианата. Реакционную смесь нагрели до 65°С и оставили реагировать до остаточного содержания изоцианата 0.9 мас. % NCO. После разбавления полученного преполимера с помощью 300 частей ацетона, остаточное содержание изоцианаат превратили путем реакции с 25 частями диэтаноламина. После нейтрализации реакционной смеси с помощью 203 частей 10% раствора гидроксида натрия в воде и диспергирования путем добавления 1200 частей воды, ацетон отогнали с получением дисперсии, имеющей 39 мас. % твердых веществ, значение рН, равное 7.5, вязкость, равную 300 мПа с, и средневесовую молекулярную массу, равную 12000 г/моль. Сравнительный пример 1 (нейтрализация триэтиламином) В смесительном баке 41 часть диметилолпропионовой кислоты, 11 частей неопентилгликоля, 86 частей Lupraphen® VP 9327 (BASF SE; сложный полиэфирдиол на основе адипиновой кислоты, изофталевой кислоты и циклогександиметанола, имеющий среднее число ОН, равное 140 мг KOH/г), 17 частей 2-гидроксиэтилакрилата, 37 частей Pluriol® A1020E (BASF SE; полученный из метанола полиэтиленгликоль, имеющий среднее число ОН, равное 50 мг KOH/г) и 0.5 частей Kerobit® ТВK (BASF SE; 2,6-ди-т-бутилкрезол) гомогенизировали в 210 частях ацетона, с последующим параллельным отмеренным добавлением, в течение 20 минут, 278 частей Laromer® LR 9000 (BASF SE; ненасыщенный полиизоцианат на основе 2-гидроксиэтилакрилата и гексаметилендиизоцианат, имеющий массу изоцианатного эквивалента около 290 г/моль) и 21 часть гексаметилендиизоцианата. Реакционную смесь нагрели до 65°С и оставили реагировать до остаточного содержания изоцианата 0.9 мас. % NCO. После разбавления полученного преполимера с помощью 200 частей ацетона, остаточное содержание изоцианата превратили путем реакции с 14 частями диэтаноламина. После нейтрализации реакционной смеси с помощью 32 частей триэтиламина в воде и диспергирования путем добавления 810 частей воды, ацетон отогнали с получением дисперсии, имеющей 39 мас. % твердых веществ, значение рН, равное 7.4, вязкость, равную 1100 мПа⋅с, и средневесовую молекулярную массу, равную 23000 г/моль. Сравнительный пример 2 (нет Pluriol А1020Е и нейтрализация триэтиламином) В смесительном баке 44 части диметилолпропионовой кислоты, 12 частей неопентилгликоля, 92 части Lupraphen® VP 9327 (BASF SE; сложный полиэфирдиол на основе адипиновой кислоты, изофталевой кислоты и циклогександиметанола, имеющий среднее число ОН, равное 140 мг KOH/г), 23 части 2-гидроксиэтилакрилата и 0.5 частей Kerobit® ТВK (BASF SE; 2,6-ди-т-бутилкрезол) гомогенизировали в 210 частях ацетона, с последующим параллельным отмеренным добавлением, в течение 20 минут, 296 частей Laromer® LR 9000 (BASF SE; ненасыщенный полиизоцианат на основе 2-гидроксиэтилакрилата и гексаметилендиизоцианат, имеющий массу изоцианатного эквивалента около 290 г/моль) и 22 части гексаметилендиизоцианата. Реакционную смесь нагрели до 65°С и оставили реагировать до остаточного содержания изоцианата 0.9 мас. % NCO. После разбавления полученного преполимера с помощью 200 частей ацетона, остаточное содержание изоцианата превратили путем реакции с 17 частями диэтаноламина. После нейтрализации реакционной смеси с помощью 33 частей триэтиламина и диспергирования путем добавления 810 частей воды, ацетон отогнали с получением дисперсии, имеющей 39 мас. % твердых веществ, значение pH, равное 7.6, вязкость, равную 3300 мПа⋅с, и средневесовую молекулярную массу, равную 38000 г/моль. Свойства: Можно увидеть, что дисперсия согласно настоящему изобретению, даже после хранения в течение длительного периода, остается стабильной, тогда как дисперсии согласно сравнительным примерам теряют их свойства.
и
, и более предпочтительно представляет собой 1,6-гексилен.
- Моноазопигменты: С.I. Пигмент коричневый 25; С.I. Пигмент оранжевый 5, 13, 36 и 67; С.I. Пигмент красный 1, 2, 3, 5, 8, 9, 12, 17, 22, 23, 31, 48:1, 48:2, 48:3, 48:4, 49, 49:1, 52:1, 52:2, 53, 53:1, 53:3, 57:1, 63, 112, 146, 170, 184, 210, 245 и 251; С.I. Пигмент желтый 1,3, 73, 74, 65, 97, 151 и 183; - Диазопигменты: С.I. Пигмент оранжевый 16, 34 и 44; С.I. Пигмент красный 144, 166, 214 и 242; С.I. Пигмент желтый 12, 13, 14, 16, 17, 81, 83, 106, 113, 126, 127, 155, 174, 176 и 188; - Антантроновые пигменты: С.I. Пигмент красный 168 (С.I. Vat Orange 3); - Антрахиноновые пигменты: С.I. Пигмент желтый 147 и 177; С.I. Пигмент фиолетовый 31; - Антрахиноновые пигменты: С.I. Пигмент желтый 147 и 177; С.I. Пигмент фиолетовый 31; - Антрапиримидиновые пигменты: С.I. Пигмент желтый 108 (С.I. Vat Yellow 20); - Хинакридоновые пигменты: С.I. Пигмент красный 122, 202 и 206; С.I. Пигмент фиолетовый 19; - Хинофталоновые пигменты: С.I. Пигмент желтый 138; - Диоксазиновые пигменты: С.I. Пигмент фиолетовый 23 и 37; - Флавантроновые пигменты: С.I. Пигмент желтый 24 (СЛ. Vat Yellow 1); - Индантроновые пигменты: С.I. Пигмент синий 60 (С.I. Vat Blue 4) и 64 (С.I. Vat Blue 6); - Изоиндолиновые пигменты: С.I. Пигмент оранжевый 69; С.I. Пигмент красный 260; С.I. Пигмент желтый 139 и 185; - Изоиндолиноновые пигменты: С.I. Пигмент оранжевый 61; С.I. Пигмент красный 257 и 260; С.I. Пигмент желтый 109, 110, 173 и 185; - Изовиолантроновые пигменты: С.I. Пигмент фиолетовый 31 (С.I. Vat Violet 1); - Пигменты на основе комплексов металлов: С.I. Пигмент желтый 117, 150 и 153; С.I. Пигмент зеленый 8; - Периноновые пигменты: С.I. Пигмент оранжевый 43 (С.I. Vat Orange 7); С.I. Пигмент красный 194 (С.I. Vat Red 15); - Периленовые пигменты: С.I. Пигмент черный 31 и 32; С.I. Пигмент красный 123, 149, 178, 179 (С.I. Vat Red 23), 190 (С.I. Vat Red 29) и 224; С.I. Пигмент фиолетовый 29; - Фталоцианиновые пигменты: С.I. Пигмент синий 15, 15:1, 15:2, 15:3, 15:4, 15:6 и 16; С.I. Пигмент зеленый 7 и 36; - Пирантроновые пигменты: С.I. Пигмент оранжевый 51; С.I. Пигмент красный 216 (С.I. Vat Orange 4); - Тиоиндиго пигменты: С.I. Пигмент красный 88 и 181 (С.I. Vat Red 1); С.I. Пигмент фиолетовый 38 (С.I. Vat Violet 3); - Триарилкарбониевые пигмены: С.I. Пигмент синий 1, 61 и 62; С.I. Пигмент зеленый 1; С.I. Пигмент красный 81, 81:1 и 169; С.I. Пигмент фиолетовый 1, 2, 3 и 27; С.I. Пигмент черный 1 (Анилин черный); - Белые пигменты: диоксид титана (С.I. Пигмент белый 6), цинковый белый, пигмент оксид цинка первого слоя, сульфат бария, сульфид цинка; свинцовые белила; карбонат кальция; - Черные пигменты: оксид железа черный (С.I. Пигмент черный 11), железо-марганец черный, шпинель черный (С.I. Пигмент черный 27); сажа (С.I. Пигмент черный 7); - Хроматические пигменты: оксид хрома, зеленый гидрат оксида хрома; хром зеленый (С.I. Пигмент зеленый 48); кобальтовая зелень (С.I. Пигмент зеленый 50); зеленый ультрамарин; кобальтовая синь (С.I. Пигмент синий 28 и 36); синий ультрамарин; берлинская лазурь (С.I. Пигмент синий 27); марганцовая голубая; фиолетовый ультрамарин; кобальтовый фиолетовый и марганцовый фиолетовый; железа оксид красный (С.I. Пигмент красный 101); сульфоселенид кадмия (С.I. Пигмент красный 108); молибдат красный (С.I. Пигмент красный 104); красный ультрамарин; железа оксид коричневый, смешанный коричневый, фазы шпинели и корунда (С.I. Пигмент коричневый 24, 29 и 31), хром оранжевый; железа оксид желтый (С.I. Пигмент желтый 42); никель-титановый желтый (С.I. Пигмент желтый 53; С.I. Пигмент желтый 157 и 164); хром-титановый желтый; сульфид кадмия и кадмия-цинка сульфид (С.I. Пигмент желтый 37 и 35); хром желтый (С.I. Пигмент желтый 34), цинк желтый, хроматы щелочноземельных металлов; неаполитанская желтая; ванадат висмута (С.I. Пигмент желтый 184); - Интерферированные пигменты: пигменты с металлическим эффектом на основе покрытых металлических пластин; пигменты с перламутровым эффектом на основе пластин слюды, покрытых оксидом металла; жидкокристаллические пигменты. 