патент
№ RU 2663484
МПК C07J5/00

СПОСОБ ПОЛУЧЕНИЯ 6α-МЕТИЛГИДРОКОРТИЗОНА ИЛИ ЕГО ЭФИРОВ ИЗ 21-АЦЕТАТА ГИДРОКОРТИЗОНА

Авторы:
Лукашев Николай Вадимович
Номер заявки
2017117324
Дата подачи заявки
18.05.2017
Опубликовано
06.08.2018
Страна
RU
Как управлять
интеллектуальной собственностью
Реферат

Изобретение относится к способу получения 6α-метилгидрокортизона (11β, 17α, 21-тригидрокси-6α-метилпрегн-4-ен-3,20-диона) или его эфиров общей формулы Iв которой R=COCFили Н; R=СОСНили Н, из 21-ацетата гидрокортизона формулы II, последовательностью превращений, включающей защиту 11β-гидроксильной группы этерификацией производным трифторуксусной кислоты в среде апротонного растворителя в условиях основного катализа с образованием 21-ацетокси-17α-гидрокси-11β-трифторацетилоксипрегн-4-ен-3,20-диона формулы III, енолэтерификацию Δ-3-кетосистемы полученного соединения действием триалкилортоформиата в присутствии кислого катализатора с образованием 3-алкоксиэфира Δ-3-гидроксипроизводного общей формулы IV, конденсацию его с реагентом Манниха в присутствии кислого катализатора с образованием смеси 6α- и 6β-изомеров 6-(N-метил-N-фенил)-аминометилпроизводного общей формулы V, расщепление полученной смеси стероидных оснований Манниха по связи C-N действием минеральной кислоты в присутствии солей галогеноводородной кислоты с образованием 6-метиленпроизводного формулы VI, изомеризацию 6-экзометиленовой связи в 6,7-эндометиленовую с образованием соединения VII; каталитическое гидрирование 6,7-эндометиленовой связи с образованием смеси 6α-метил- и 6β-метил-изомеров и последующей изомеризацией 6β-метил-изомера в 6α-метилпроизводное формулы VIII, удаление защитных группировок 11β- и 21-гидроксильных групп полностью или частично. Технический результат: разработан простой способ получения соединения формулы I из 21-ацетата гидрокортизона с выходом целевых продуктов не менее 80%. 22 з.п. ф-лы, 12 пр.

Формула изобретения

1. Способ получения 6α-метилгидрокортизона (11β, 17α, 21-тригидрокси-6α-метилпрегн-4-ен-3,20-диона) или его эфиров общей формулы I

где R=COCF3 или Н; R1=СОСН3 или Н,

из 21-ацетата гидрокортизона формулы II

последовательностью превращений, включающей защиту 11β-гидроксильной группы этерификацией производным трифторуксусной кислоты в среде апротонного растворителя в условиях основного катализа с образованием 21-ацетокси-17α-гидрокси-11β-трифторацетилоксипрегн-4-ен-3,20-диона формулы III

енолэтерификацию Δ4-3-кетосистемы полученного соединения действием триалкилортоформиата в присутствии кислого катализатора с образованием 3-алкоксиэфира Δ3,5-3-гидроксипроизводного общей формулы IV

где R=CH3 или СН2СН3,

конденсацию его с реагентом Манниха в присутствии кислого катализатора с образованием смеси 6α- и 6β-изомеров 6-(N-метил-N-фенил)-аминометилпроизводного общей формулы V

расщепление полученной смеси стероидных оснований Манниха по связи C-N действием минеральной кислоты в присутствии солей галогеноводородной кислоты с образованием 6-метиленпроизводного формулы VI

изомеризацию 6-экзометиленовой связи в 6,7-эндометиленовую с образованием соединения VII

каталитическое гидрирование 6,7-эндометиленовой связи с образованием смеси 6α-метил- и 6β-метил-изомеров и последующей изомеризацией 6β-метил-изомера в 6α-метилпроизводное формулы VIII

удаление защитных группировок 11β- и 21-гидроксильных групп полностью или частично.

2. Способ по п. 1, характеризующийся тем, что для этерификации 11β-гидроксильной группы соединения II в качестве производного трифторуксусной кислоты используют ангидрид трифторуксусной кислоты.

3. Способ по п. 1, характеризующийся тем, что этерификацию 11β-гидроксильной группы соединения II проводят в среде апротонного растворителя, в качестве которого используют диалкилкетоны, или циклические эфиры, или диметилсульфоксид в условиях основного катализа с использованием катализатора в количестве, необходимом для полного превращения исходного соединения.

4. Способ по п. 3, характеризующийся тем, что диалкилкетон выбирают из группы, включающей ацетон, метилэтилкетон.

5. Способ по п. 3, характеризующийся тем, что циклические эфиры выбирают из группы, включающей тетрагидрофуран, диоксан.

6. Способ по п. 1, характеризующийся тем, что в качестве катализатора этерификации используют диметиламинопиридин.

7. Способ по п. 1, характеризующийся тем, что енолизацию Δ4-3-кетосистемы соединения III для этерификации с образованием 3-алкоксиэфира Δ3,5-3-гидроксипроизводного общей формулы IV проводят действием протонных кислот.

8. Способ по п. 1, характеризующийся тем, что в качестве органических кислот для енолизации Δ4-3-кетосистемы соединения III используют сульфокислоты.

9. Способ по п. 8, характеризующийся тем, что сульфокислоты выбирают из группы, включающей сульфосалициловую кислоту, п-толуолсульфокислоту.

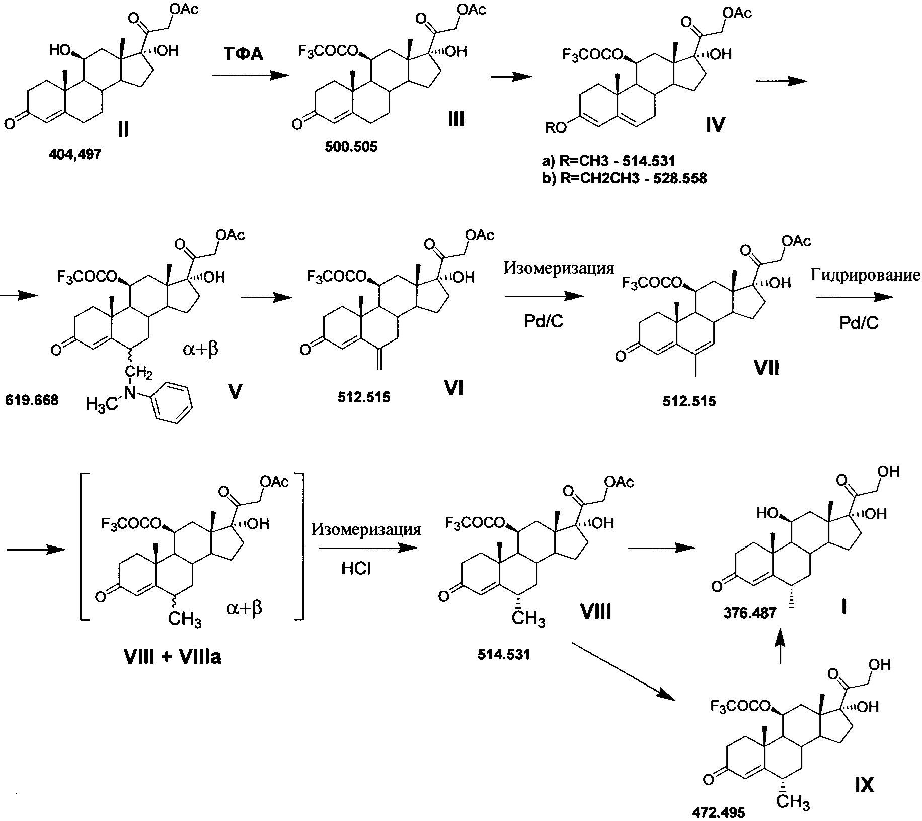
10. Способ по п. 1, характеризующийся тем, что триалкилортоформиат для образования 3-алкоксиэфира Δ3,5-3-гидроксипроизводного общей формулы IV берут в количестве, достаточном для проведения реакции с получением формул IV и V.

11. Способ по п. 1, характеризующийся тем, что образование 3-алкоксиэфира Δ3,5-3-гидроксипроизводного общей формулы IV проводят в среде протонного или апротонного растворителя, в качестве которого используют алифатические спирты, циклические эфиры, ароматические углеводороды ряда бензола или их смеси.

12. Способ по п. 1, характеризующийся тем, что в качестве алифатических спиртов используют метанол или этанол.

13. Способ по п. 1, характеризующийся тем, что в качестве циклических эфиров используют диоксан или тетрагидрофуран.

14. Способ по п. 1, характеризующийся тем, что в качестве ароматических углеводородов используют бензол или толуол.

15. Способ по п. 1, характеризующийся тем, что в качестве триалкилортоформиата используют триметилортоформиат или триэтилортоформиат.

16. Способ по п. 1, характеризующийся тем, что 6-аминометилирование соединения общей формулы IV проводят в среде протонного или апротонного растворителя, в качестве которого используют алифатические спирты, циклические эфиры, ароматические углеводороды ряда бензола или их смеси.

17. Способ по п. 1, характеризующийся тем, что 6-аминометилирование соединения общей формулы IV проводят в среде триалкилортоформиата или в смеси триалкилортоформиата и органического растворителя без выделения соединения общей формулы IV из реакционной массы.

18. Способ по п. 1, характеризующийся тем, что дезаминирование смеси соединений общей формулы V проводят в среде апротонного растворителя или смеси апротонных растворителей действием разбавленной серной кислоты с использованием эффективного ее количества.

19. Способ по п. 1, характеризующийся тем, что в качестве солей галогеноводородной кислоты используют соли щелочных или щелочно-земельных металлов, или аммония, а в качестве галогенводородной кислоты используют хлористоводородную или бромистоводородную кислоты.

20. Способ по п. 1, характеризующийся тем, что изомеризацию 6-экзометиленовой связи соединения формулы VI с образованием 6,7-эндометиленовой связи соединения VII проводят с использованием в качестве катализатора палладия или оксида палладия, адсорбированных на угле.

21. Способ по п. 1, характеризующийся тем, что гидрирование 6,7-эндометиленовой связи соединения VII проводят с использованием в качестве катализатора палладия или оксида палладия, адсорбированных на угле.

22. Способ по п. 1, характеризующийся тем, что удаление защитной группировки 21-гидроксильной группы осуществляют методом кислого сольволиза как с выделением, так и без выделения продукта гидрирования формулы VIII из реакционной массы с образованием 11β-трифторацетата 6α-метилгидрокортизона IX (R=COCF3, R1=Н).

23. Способ по п. 1, характеризующийся тем, что дезаминирование смеси соединений общей формулы V проводят без их выделения из реакционной массы.

Описание

[1]

Область техники

[2]

Настоящее изобретение относится к области органического синтеза, конкретно касается получения стероидных соединений (кортикостероидов), таких как 6α-метилгидрокортизон или его эфиры, и может быть использовано в химической и фармацевтической отраслях промышленности, а также в промышленной биотехнологии для производства стероидных медицинских препаратов.

[3]

Уровень техники

[4]

6α-Метилгидрокортизон (CAS №1625-39-4) является промежуточным соединением в синтезе 6α-метилпреднизолона (СAS №83-43-2) из гидрокортизона (СAS №50-23-7) или 21-ацетата гидрокортизона (CAS №50-03-3).

[5]

Полученный в соответствии с предлагаемым способом 6α-метилгидрокортизон не только служит исходным субстратом для дальнейшего превращения в 6α-метилпреднизолон химическим или биотехнологическим способами, но может быть использован для получения его 21-эфиров, например, 21-гемисукцината 6α-метилгидрокортизона (СAS №119657-85-1) и 21-ацетата 6α-метилгидрокортизона (СAS №1625-11-2).

[6]

Полученные в соответствии с предлагаемым способом 11-трифторацетат 6α-метилгидрокортизона и 11-трифторацетат 21-ацетата 6α-метилгидрокортизона могут быть использованы для получения 17α-моно- или 17α,21-диэтерифицированных производных 6α-метилгидрокортизона, которые представляют интерес как возможные активные ингредиенты в противовоспалительных фармацевтических препаратах [US 4912098, 1990].

[7]

Известные способы введения С6-метильного заместителя в молекулу гидрокортизона или 21-ацетата гидрокортизона в качестве ключевой стадии включают введение метиленовой группы в положение С6 с последующим ее превращением в 6α-метильную группу.

[8]

Введение С6-метиленовой группы осуществляют различными методами, используя формальдегид или его производные как метиленирующие агенты. Однако все способы предусматривают обязательную предварительную енолизацию α,β-ненасыщенного кетона кольца А, необходимую для поляризации системы двойных связей с образованием нуклеофильного атома углерода С6, с последующим замещением атома водорода при С6 на формильную или метиленовую группу и различаются тем, что в одних случаях образованный промежуточный 3,5-диенол выделяют в виде эфира [D.Burn et al., Tetrahedron, 1965, 21(6), 1619-1624] или 3,5-диенамина [F. Schneider et al., Helv. Chim. Acta, 1973, 56(7), 2396-2404], в других же случаях енолизация проводится in situ без выделения промежуточного продукта.

[9]

Наиболее привлекательными являются методы так называемой прямой конденсации с формальдегидом или его производными. Это метод прямого γ-метиленирования, предложенный Анненом и соавт. [US 4322349, 1982; Synthesis, 1982, №1, p. 34-40; ЕР 0100874, 1984; ЕР 0149222, 1985], и метод конденсации с реагентом Манниха [R. Bohlmann et al, DE 4121484, 1993].

[10]

Метод прямого γ-метиленирования заключается во взаимодействии стероида с производными формальдегида (такими как диметилацеталь, диэтилацеталь формальдегида или метоксиметилацетат) в хлорсодержащих растворителях при температуре кипения в присутствии избытка хлорокиси фосфора и ацетата натрия. Однако этот метод непригоден для метиленирования соединений, содержащих незащищенную 11β-гидроксильную группу. Так, при прямом γ-метиленировании 21-ацетата гидрокортизона выход 6-метиленпроизводного составляет всего лишь 18% [Synthesis, 1982, №1, р. 34-40, Таблица 1, соединение 6n].

[11]

Известно также, что енолэтерификация Δ4-3-кетосистемы кольца А стероидов, катализируемая п-толуолсульфокислотой (п-ТСК), в присутствии незащищенной 11β-гидроксильной группы может сопровождаться нежелательной реакцией ее элиминирования с образованием Δ9(11)-связи [Zhao Q. et al. Synth. Commun., 1993, 23(10), 1473-1478]. Поэтому для сохранения 11β-гидроксильной группы необходима ее защита.

[12]

Известно, что для защиты 11β-гидроксигруппы ее обычно этерифицируют, превращая в тригалогенацетат (в частности трифторацетат) или триметилсилиловый эфир. Эти защиты считаются наиболее приемлемыми, так как не только легко образуются, но и легко удаляются. Применение для защиты 11β-гидроксигруппы метода этерификации ангидридами низших кислот возможно, однако ограничено из-за проблем, возникающих при их последующем удалении химическими методами сольволиза.

[13]

Способы применения трифторацетатной защиты 11β-гидроксильной группы молекулы 21-ацетата гидрокортизона (II) известны. Это способ, описанный в патенте [US 4330541, 1982, пример 1], который заключается в том, что реакцию этерификации 5 г 21-ацетата гидрокортизона проводят в среде пиридина действием трифторуксусного ангидрида при температуре минус 15°С. Далее смесь выливают в водный раствор хлорида натрия, отфильтрованный осадок растворяют в дихлорметане, органический раствор промывают водой, осушают сульфатом натрия и упаривают досуха. Получают 5.1 г (82,4%) остатка, содержащего 11-трифторацетат 21-ацетата гидрокортизона (III). Однако это соединение не было охарактеризовано, так как содержащий его остаток без очистки и выделения кристаллического продукта был использован авторами патента на следующей стадии химического синтеза.

[14]

Другие патенты [DE 1112511, 1961 (пример 16) и DE 1125422, 1962 (пример 15)] описывают способ получения 11-трифторацетата 21-ацетата гидрокортизона (III) из 21-ацетата гидрокортизона (II) действием трифторуксусного ангидрида в среде абсолютного диоксана. После 18 ч выдержки при комнатной температуре реакционную смесь выливают на ледяную воду. Далее продукт экстрагируют, экстракт промывают водой, упаривают досуха в вакууме. После кристаллизации остатка в эфире и хроматографирования на окиси алюминия получают 11-трифторацетат 21-ацетата гидрокортизона (III), выход которого не указан. Продукт охарактеризован: т.пл. 206-207°С, [α]D+165,7° (хлф); λmax 238-240 mμ. Спектральная характеристика отсутствует.

[15]

Получение метилового 3,5-диенолэфира 11-трифторацетата 21-ацетата гидрокортизона (IVa) в литературных источниках не описано.

[16]

Получение этилового 3,5-диенолэфира 11-трифторацетата 21-ацетата гидрокортизона (IVb) описано в патентах [DE 1112511, 1961 (пример 16) и DE 1125422, 1962 (пример 15)] и заключается в реакции соединения III с этилортоформиатом в среде диоксана в присутствии п-ТСК при комнатной температуре. После окончания реакции смесь выливают в воду и экстрагируют дихлорметаном. Экстракт промывают водой, осушают сульфатом натрия и упаривают досуха. Маслянистый остаток, содержащий соединение IVb, выход которого не указан, охарактеризован: [α]D±0° (хлф); λmax 240-242 mμ, log ε 4,15. Соединение IVb не было выделено авторами в кристаллическом виде. Спектральная характеристика, отсутствует, температура плавления не определена.

[17]

6-Аминометильные производные общей формулы V являются новыми соединениями, в литературе не описаны.

[18]

6-Метилен-производное 11-трифторацетата 21-ацетата гидрокортизона VI является новым соединением, в литературе не описано.

[19]

6,7-Дегидро-6-метил-производное 11-трифторацетата 21-ацетата гидрокортизона VII является новым соединением, в литературе не описано.

[20]

Соединение VIII - 21-ацетокси-17α-гидрокси-11β-трифторацетилокси-6α-метилпрегн-4-ен-3,20-дион (11-трифторацетат 21-ацетата 6α-метилгидрокортизона) - известно. Однако в литературе описано его получение из других соединений. Так, известен способ получения 11-трифторацетата 21-ацетата 6α-метилгидрокортизона из 21-ацетата 6α-метилгидрокортизона трифторацетилированием его 11β-гидроксильной группы [US 4912098, 1990], согласно которому 5 г 21-ацетата 6α-метилгидрокортизона обрабатывают трифторуксусным ангидридом в растворе пиридина при температуре минус 15°С. Затем реакционную массу выливают на водный раствор хлорида натрия, отфильтрованный осадок растворяют в дихлорметане, органический раствор промывают водой, осушают сульфатом натрия и упаривают досуха. Получают 5,1 г (83%) остатка, содержащего 11-трифторацетат 21-ацетата 6α-метилгидрокортизона (VIII), который без кристаллизации используют на следующей стадии химического синтеза.

[21]

Также известен метод получения соединения VIII, исходя из 21-ацетокси-11β,17α-бис-(трифторацетилокси)-6-метиленгидрокортизона [RU 2297423, 2007], согласно которому соединение VIII получают восстановлением 6-метиленовой группы 21-ацетокси-11β,17α-бис-(трифторацетилокси)-6-метиленгидрокортизона в 6-метильную кипячением в течение 24 ч в среде этанола в присутствии циклогексена и катализатора PdO/C. При этом имеет место одновременное удаление трифторацетильной защиты 17α-гидроксильной группы.

[22]

Известен способ получения 11-трифторацетата 6α-метилгидрокортизона (IX), описанный в патенте [RU 2337918, 2008, пример 17]. Однако соединение IX в варианте 1 примера 17 указанного патента получено другим способом, а именно из 11β-трифторацетилокси-17α,20;20,21-бисметилендиокси-6α-метилпрегн-4-ен-3,20-диона удалением бисметиленовой защиты диоксиацетоновой боковой цепи в среде уксусной кислоты при температуре 0-2°С действием концентрированной соляной кислоты (на 5 г стероида используют 20 мл уксусной кислоты и 75 мл соляной кислоты). В варианте 2 примера 17 этого же патента соединение IX получено из 11-трифторацетата 6-метиленгидрокортизона каталитическим гидрированием (Pd/C 5,4%) в присутствии циклогексена в среде смеси этанола и уксусной кислоты.

[23]

Известен способ получения 21-ацетата 6α-метилгидрокортизона [DE 4121484, 1993, пример 2], который заключается во введении метиленовой группы в положение С6 молекулы 21-ацетата гидрокортизона и последующем каталитическом восстановлении С6-метиленовой группы в 6α-метильную. Согласно описанию этого способа 5 г 21-ацетата гидрокортизона (II) суспендируют в смеси 50 мл тетрагидрофурана, 15 мл триэтилортоформиата и 15 мл этанола, добавляют 500 мг тозилата пиридиния и перемешивают в течение 1 ч при температуре 40°С в бане. Затем добавляют 5,5 мл N-метиланилина и 6,5 мл 40% раствора формальдегида и перемешивают не менее часа при температуре 40°С. После этого реакционную массу обрабатывают ледяной водой, содержащей винную кислоту и хлорид натрия, экстрагируют дихлорметаном, промывают раствором бикарбоната натрия и хлорида натрия, осушают сульфатом натрия и упаривают в вакууме досуха. Полученный остаток (5,8 г) хроматографируют на 600 г кизельгеля смесью гексан-этилацетат и получают 2,1 г (40,8%) 6-метилен-производного 21-ацетата гидрокортизона, который далее помещают в смесь 9 мл циклогексена и 124 мл этанола, добавляют 170 мг катализатора 10% Pd/C и кипятят в течение 8 ч. После охлаждения катализатор отфильтровывают и промывают этанолом, добавляют к фильтрату 2 капли соляной кислоты и концентрируют в вакууме до 1/3 первоначального объема, остаток разбавляют ледяным рассолом, осадок отфильтровывают, промывают водой до нейтральной реакции, сушат в вакууме при 70°С. После перекристаллизации неочищенного продукта из смеси ацетона и гексана получают 1,78 г чистого 21-ацетокси-11β,17α-дигидрокси-6а-метилпрегн-4-ен-3,20-диона с т.пл. 208-209°С и [α]D=+137° (в пиридине). Таким образом, выход 21-ацетата 6α-метилгидрокортизона по способу [DE 4121484, 1993] из 21-ацетата гидрокортизона (II) составляет 34,4%.

[24]

Недостатками описанного в [DE 4121484, 1993] процесса являются:

[25]

- применение для очистки 21-ацетата 6-метилен-гидрокортизона хроматографии, существенно усложняющей технологический процесс.

[26]

- низкий выход продукта 21-ацетата 6-метилен-гидрокортизона (40,8%) на стадии метиленирования, который можно объяснить, во-первых, наличием побочных реакций с участием незащищенной гидроксильной группы при С11, и, во-вторых, низкой регионаправленностью реакции расщепления стероидного основания Манниха. Вероятно, что в описанных условиях реакции дезаминирования (расщепление по связи C-N) сопутствует побочный процесс дезаминометилирования (расщепление по связи С-С) с регенерацией 21-ацетата гидрокортизона. Поэтому хроматографическая очистка продукта становится необходимой.

[27]

Наиболее близким по сущности к предложенному является способ [RU 2297423, 2007, примеры 3 (вариант 2) и 4], который заключается во введении метиленовой группы в положение С6 молекулы 11β,17α,21-триалканоилокси-прегн-4-ен-3,20-диона и последующем каталитическом восстановлении С6-метиленовой группы в 6α-метильную. Согласно описанию этого способа (пример 3, вариант 2) к раствору 10 г 11,17,21-триацетата гидрокортизона в 75 мл тетрагидрофурана добавляют 10 мл этанола, 10 мл триэтилортоформиата, 130 мг п-ТСК и нагревают до 40°С. Реакционную массу выдерживают в течение 1 ч и добавляют дополнительно 130 мг п-ТСК. После перемешивания в течение еще 1 ч при температуре 40°С добавляют 4,3 мл N-метиланилина и 3-6 мл водного 37% раствора формальдегида. Реакционную массу выдерживают в течение 2 ч, затем охлаждают до комнатной температуры, добавляют 25 мл концентрированной соляной кислоты и перемешивают 30 мин. Смесь экстрагируют хлористым метиленом, органический слой промывают водой до нейтральной реакции, растворитель упаривают. После кристаллизации получают 9,4 г 11β,17α,21-триацетокси-6-метиленпрегн-4-ен-3,20-диона с выходом 92%. По примеру 4 этого способа в аналогичных условиях из 1 г 21-ацетокси-11β,17α-бис(трифторацетилокси)-прегн-4-ен-3,20-диона получают 0,93 г 6-метилен-производного с выходом 91%.

[28]

Основным недостатком указанного способа является необходимость обязательной защиты всех гидроксильных групп, имеющихся в структуре молекулы гидрокортизона с последующим удалением защит. Так, при применении для защиты метода исчерпывающего ацетилирования, несмотря на высокие постадийные выходы при получении 11β,17α,21-триацетокси-6α-метилпрегн-4-ен-3,20-диона, эффективное удаление ацетильной группы с регенерацией 11β-гидроксильной группы возможно только с применением биотехнологического метода, а именно микробиологической трансформацией клетками бактерий Arthrobacter mediolanus ВКМ-1388, который осуществляется в 2 этапа (энзиматическое удаление защиты 11β-гидроксильной группы и гидролиз 17α-ацетоксигруппы действием 10% раствора гидроксида натрия) с общей продолжительностью процесса дезацетилирования 72 ч. Это существенно усложняет способ.

[29]

Раскрытие изобретения

[30]

Технической задачей в заявленном изобретении является разработка более простого способа получения 6α-метилгидрокортизона или его эфиров из 21-ацетата гидрокортизона при обеспечении выхода целевых продуктов не менее чем 80%.

[31]

Упрощение способа обеспечивается 1) за счет проведения последовательных реакций функционализации положения С6 молекулы 11-трифторацетата 21-ацетата гидрокортизона (III) с образованием 21-ацетокси-11-трифторацетилокси-6-метилен-гидрокортизона (VI) при температуре окружающей среды (т.е. при комнатной температуре) без применения нагрева реакционных масс; 2) за счет проведения непрерывного технологического процесса функционализации положения С6 молекулы 11-трифторацетата 21-ацетата гидрокортизона (III) без выделения интермедиатов IV и V целевого продукта (VI) на ключевых стадиях синтеза и исключения тем самым не только потерь указанных интермедиатов IV и V в маточных растворах, но и механических потерь, которые обычно имеют место на технологических операциях экстракции, фильтрации, сушки и т.п.; 3) за счет достижения практически полной конверсии исходных продуктов и высокой селективности реакций образования интермедиатов IV и V и целевого продукта VI в процессе функционализации положения С6 молекулы 11-трифторацетата 21-ацетата гидрокортизона (III) и тем самым снижения вероятности протекания побочных реакций; 4) за счет практически полного исключения образования побочных продуктов и осмоления реакционной массы на стадиях удаления защитных группировок. В результате достигается высокий выход конечных продуктов I, VIII и IX (от 80 до 94), считая из 21-ацетата гидрокортизона (II).

[32]

Техническая задача решается способом получения 6α-метилгидрокортизона или его эфиров общей формулы (I)

[33]

[34]

где R=СОСF3 или Н, R1=СОСН3 или Н

[35]

из 21-ацетата гидрокортизона формулы (II),

[36]

[37]

включающим предварительную защиту 11β-гидроксильной группы молекулы 21-ацетата гидрокортизона методом этерификации ангидридом трифторуксусной кислоты в условиях основного катализа с использованием каталитических количеств катализатора, последующее С6-метиленирование образовавшегося 21-ацетокси-17α-гидрокси-11β-трифторацетилокси-прегн-4-ен-3,20-диона, каталитическую изомеризацию 6-экзометиленовой связи полученного 6-метиленпроизводного в эндометиленовую с образованием 21-ацетокси-17α-гидрокси-11β-трифторацетилокси-6-метилпрегна-4,6-диен-3,20-диона, гидрирование 6,7-двойной связи последнего с образованием 21-ацетокси-17α-гидрокси-11β-трифторацетилокси-6α-метилпрегн-4-ен-3,20-диона, одновременное, поэтапное или последовательное удаление защиты 11β- и 21-гидроксильных групп методами химического сольволиза.

[38]

Ниже представлена предлагаемая схема синтеза 6α-метилгидрокортизона (I) или его сложных эфиров (VIII и IX) из 21-ацетата гидрокортизона (II).

[39]

[40]

Схема включает 7 (для VIII) или 8 (для I и IX) химических реакций, которые могут быть проведены в 3 или 4 технологических стадии соответственно. Химическая схема синтеза включает: 1) защиту 11β-гидроксильной группы молекулы 21-ацетата гидрокортизона (II) образованием 11β-трифторацетилокси-производного (III); 2) енолизацию α,β-ненасыщенного кетона кольца А соединения III с образованием 3,5-диенолэфира (IV); 3) реакцию трехкомпонентной конденсации по типу реакции Манниха с образованием смеси С6-аминометильных производных (V); 4) расщепление аминометильных производных (V) по связи C-N с образованием С6-метилен-производного (VI); 5) реакцию каталитической изомеризации 6-экзометиленовой связи в 6,7-эндометиленовую с образованием соединения VII; 6) реакцию каталитического гидрирования 6,7-двойной связи с образованием смеси 6α- и 6β-метил-диастереомеров (VIII и VIIIa соответственно); 7) каталитическую изомеризацию 6β-метильной группы соединения VIIIa до 6α-метильной с образованием соединения VIII; 8) удаление защитных группировок молекулы соединения VIII полностью с образованием 6α-метилгидрокортизона (I) или частично по гидроксильной группе С21 с образованием соединения IX.

[41]

Для этерификации 11β-гидроксильной группы соединения II в качестве производного трифторуксусной кислоты может быть использован ангидрид трифторуксусной кислоты.

[42]

Этерификацию 11β-гидроксильной группы соединения II проводят в среде апротонного растворителя, в качестве которого используют диалкилкетоны, или циклические эфиры, или диметилсульфоксид в условиях основного катализа с использованием катализатора в количестве, необходимом для полного превращения исходного соединения. При этом диалкилкетон выбирают из группы ацетон, метилэтилкетон; иклические эфиры выбирают из группы тетрагидрофуран, диоксан.

[43]

В качестве катализатора этерификации используют диметиламинопиридин.

[44]

Енолизацию Δ4-3-кетосистемы соединения III для этерификации с образованием 3-алкоксиэфира Δ3,5-3-гидроксипроизводного общей формулы IV проводят действием протонных кислот.

[45]

В качестве органических кислот для енолизации Δ4-3-кетосистемы соединения III используют сульфокислоты.

[46]

Сульфокислоты выбирают из группы, включающей сульфосалициловую кислоту, п-толуолсульфокислота.

[47]

Триалкилортоформиат для образования 3-алкоксиэфира Δ3,5-3-гидроксипроизводного общей формулы IV берут в количестве, достаточном для проведения реакции с получением формулы IV и V.

[48]

Образование 3-алкоксиэфира Δ3,5-3-гидроксипроизводного общей формулы IV проводят в среде протонного или апротонного растворителя, в качестве которого используют алифатические спирты, циклические эфиры, ароматические углеводороды ряда бензола или их смеси.

[49]

В качестве алифатических спиртов используют метанол или этанол.

[50]

В качестве циклических эфиров используют диоксан или тетрагидрофуран.

[51]

В качестве ароматических углеводородов используют бензол или толуол.

[52]

В качестве триалкилортоформиата используют триметилортоформиат или триэтилортоформиат.

[53]

6-аминометилирование соединения общей формулы IV проводят в среде протонного или апротонного растворителя, в качестве которого используют алифатические спирты (например, метанол, этанол), циклические эфиры (диоксан, тетрагидрофуран), ароматические углеводороды ряда бензола (бензол, толуол) или их смеси.

[54]

6-аминометилирование соединения общей формулы IV проводят в среде триалкилортоформиата или в смеси триалкилортоформиата и органического растворителя без выделения соединения общей формулы IV из реакционной массы.

[55]

Дезаминирование смеси соединений общей формулы V проводят в среде апротонного растворителя или смеси апротонных растворителей действием разбавленной серной кислоты с использованием эффективного ее количества.

[56]

В качестве солей галогеноводородной кислоты используют соли щелочных или щелочноземельных металлов, или аммония, а в качестве галогенводородной кислоты используют хлористоводородную или бромистоводородную кислоты.

[57]

Изомеризацию 6-экзометиленовой связи соединения формулы VI с образованием 6,7-эндометиленовой связи соединения VII проводят с использованием в качестве катализатора палладия или оксида палладия, адсорбированных на угле.

[58]

Гидрирование 6,7-эндометиленовой связи соединения VII проводят с использованием в качестве катализатора палладия или оксида палладия, адсорбированных на угле.

[59]

Удаление защитной группировки 21-гидроксильной группы осуществляют методом кислого сольволиза как с выделением, так и без выделения продукта гидрирования формулы VIII из реакционной массы с образованием 11β-трифторацетата 6α-метилгидрокортизона IX (R=COCF3, R1=Н).

[60]

Дезаминирование смеси соединений общей формулы V проводят без их выделения из реакционной массы.

[61]

Сущность заявленного изобретения, касающегося получения 6α-метилгидрокортизона или его эфиров, заключается в том, что с целью повышения выхода и упрощения процесса 21-ацетат гидрокортизона сначала подвергают предварительной защите 11β-гидроксильной группы, затем метиленированию положения С6, изомеризации экзометиленовой группы при С6 в 6,7-эндометиленовую, восстановлению 6,7-метиленовой связи 6-метил-Δ6-группы с образованием 6α-метил-производного, удалению защитных группировок.

[62]

Преимущества заявляемого способа состоят в следующем:

[63]

- проведение трифторацетатной защиты 11β-гидроксильной группы 21-ацетата гидрокортизона и селективной деэтерификации побочного продукта реакции этерификации 11,17-бис(трифторацетата) 21-ацетата гидрокортизона с регенерацией 17α-гидроксильной группы осуществляется в одну химическую стадию без выделения целевого продукта;

[64]

- проведение конденсации с реагентом Манниха в присутствии свободного гидроксила при С17 в мягких условиях (при комнатной температуре) исключает появление нежелательных продуктов (дегидратации 17α-гидроксигруппы с образованием Δ16-связи и D-гомоаннелирования с образованием 6-членного кольца D), что подтверждается данными ЯМР-спектроскопии;

[65]

- региоселективность расщепления стероидного основания Манниха минеральной кислотой исключительно по связи C-N обеспечивается присутствием в реакционной среде соли галогенводородной кислоты и щелочного, или щелочноземельного металла, или аммония;

[66]

- отсутствие необходимости использования многократной кристаллизации 6α-метилгидрокортизона или хроматографирования с целью его очистки, так как удаление защитных групп приводит к незначительному появлению побочных соединений; при этом содержание основного вещества в продукте составляет 90-95% (ВЭЖХ), что соответствует требованиям, например, последующего процесса введения 1,2-двойной связи (химическим или биотехнологическим методом);

[67]

- реакции трифторацетилирования, енолэтерификации, конденсации с реагентом Манниха, дезаминирования стероидного основания Манниха проводятся при комнатной температуре;

[68]

- значительное сокращение потерь основного продукта на стадиях, что обеспечивается высокой селективностью химических реакций и возможностью совмещения химических стадий в один технологический процесс без выделения интермедиатов, позволяет существенно увеличить достигаемый общий выход 6α-метилгидрокортизона и его эфиров из 21-ацетата гидрокортизона до 80,1% и 82,9-93,6% соответственно.

[69]

Осуществление изобретения

[70]

Способ получения 6-метилгидрокортизона или его эфиров общей формулы (I) осуществляется по следующей схеме (Рисунок 1).

[71]

21-Ацетат гидрокортизона (21-ацетокси-11β,17α-дигидроксипрегн-4-ен-3,20-дион) формулы (II),

[72]

[73]

подвергают защите 11β-гидроксильной группы методом этерификации действием ангидрида трифторуксусной кислоты в среде апротонного растворителя в условиях основного катализа в присутствии каталитического количества диметиламинопиридина. Для этого на 1 моль 21-ацетата гидрокортизона (21-ацетокси-11β,17α-дигидроксипрегн-4-ен-3,20-диона) используют 1-1.5 моля ангидрида трифторуксусной кислоты и не более 0.1 моля диметиламинопиридина. Полученный с выходом до 99,95% 21-ацетокси-17α-гидрокси-11β-трифторацетилокси-прегн-4-ен-3,20-дион (III) подвергают енолэтерификации Δ4-3-кетосистемы кольца А действием алкилортоформиата в присутствии сульфоароматической кислоты (сульфосалициловой или п-ТСК), в количестве, необходимом для енолизации Δ4-3-кетогруппы. Затем полученный 3,5-диенолэфир (IV) подвергают каталитической конденсации с реагентом Манниха, образованным из формальдегида и N-метиланилина in situ, с образованием 6-(N,N-дизамещенного)-аминометилпроизводного (V) с последующим его дезаминированием и превращением полученного 6-метилен-производного (VI) в 21-ацетокси-17α-гидрокси-11β-трифторацетилокси-6α-метилпрегн-4-ен-3,20-дион (VIII) через образование 6-метил-6,7-дегидро-изомера (VII), причем конденсация с реагентом Манниха может быть проведена как с предварительным выделением, так и без выделения 3,5-диенолэфира (IV), а так же как с выделением, так и без выделения продукта конденсации (V) из реакционной массы, а восстановление 6-метиленовой группы соединения VI до 6α-метильной группы соединения VIII - как с выделением, так и без выделения 6-метил-6,7-дегидро-интермедиата VII. После этого химическим сольволизом 21-ацетокси-17α-гидрокси-11β-трифторацетилокси-6α-метилпрегн-4-ен-3,20-диона (VIII) получают 6α-метилгидрокортизон (I) или его эфир (IX). При этом удаление защитных групп соединения VIII с образованием соединения I может быть реализовано одновременно в условиях основного катализа или поэтапно через образование соединения IX сольволизом в условиях кислого катализа и последующим сольволизом 11-трифторацетоксигруппы соединения IX в условиях основного катализа.

[74]

Общий достигаемый выход 21-ацетокси-17α-гидрокси-11β-трифторацетилокси-6α-метилпрегн-4-ен-3,20-диона (VIII) из 21-ацетата гидрокортизона (II) составляет 93,6%.

[75]

Общий достигаемый выход 11-трифторацетата 6-метилгидрокортизона (IX) из 21-ацетата гидрокортизона (II) составляет 82,9%.

[76]

Общий достигаемый выход 6α-метилгидрокортизона (I) из 21-ацетата гидрокортизона (II) составляет 80,1%.

[77]

Защиту 11β-гидроксильной группы молекулы 21-ацетата гидрокортизона (II) осуществляют образованием эфира трифторуксусной кислоты в среде органического растворителя в условиях основного катализа. Этот вариант защиты наиболее оптимален, так как реакция этерификации протекает в мягких условиях с практически количественным выходом. Кроме этого, трифторацетатная защитная группа, устойчивая в кислой среде, легко удаляется при необходимости гидролизом в условиях основного катализа. Ацилирование проводят с использованием минимально необходимого количества ангидрида трифторуксусной кислоты в безводных условиях в среде органического апротонного растворителя. Специалисту в области органической химии, а также из уровня техники, известно, что вместо ангидрида трифторуксусной кислоты в этом процессе может быть использован хлорангидрид трифторуксусной кислоты, а в качестве апротонного растворителя при осуществлении изобретения - способа получения 6α-метилгидрокортизона или его эфиров - могут быть использованы любые апротонные (неполярные, малополярные и полярные) растворители, пригодные для проведения реакции и инертные по отношению к ацилирующему реагенту и катализатору, такие как диалкилкетоны (например, ацетон, метилэтилкетон), циклические простые эфиры (например, диоксан, тетрагидрофуран) и другие, известные из уровня техники, обеспечивающие полноту проведения реакции. В качестве основного катализатора могут быть использованы гетероарильные соединения (например, пиридин или его производные), или алкиламины (например, триэтиламин), или другие органические основания, или их смеси, обычно используемые для катализа реакций ацилирования гидроксильных групп, известные из уровня техники.

[78]

Реакция трифторацетилирования соединения II протекает регионаправленно, этерифицируя предпочтительно вторичную гидроксильную группу при атоме С11 соединения II. Для обеспечения протекания реакции необходимым минимальным количеством ангидрида трифторуксусной кислоты является 1 моль на 1 моль стероида. Для более полного и быстрого протекания реакции используется небольшой избыток ацилирующего агента (~1,2-1,5 моль ТФА на 1 моль стероида). Однако это условие не является обязательным. Применение избыточного количества реагента приводит к частичному трифторацетилированию третичной гидроксильной группы при С17 продукта реакции III с образованием 10-20% примеси 11β,17α-дитрифторацетилокси-производного (IIIа).

[79]

[80]

Однако в условиях предлагаемого нами способа эфир трифторуксусной кислоты по С17 удаляется легко и селективно с регенерацией 17α-гидроксильной группы и с сохранением трифторацетатной защиты 11β-гидроксильной группы, что достигается обработкой реакционной массы триэтиламином в минимальном необходимом количестве. Выход 21-ацетокси-17α-гидрокси-11β-трифторацетилокси-прегн-4-ен-3,20-диона (III) на стадии составляет от 96 до 99,95%.

[81]

Синтез 21-ацетокси-17α-гидрокси-11β-трифторацетилокси-6-метиленпрегн-4-ен-3,20-диона (VI) из 21-ацетокси-17α-гидрокси-11β-трифторацетилокси-прегн-4-ен-3,20-диона (III) включает три последовательных химических процесса, которые могут быть проведены с выделением любого из интермедиатов общей формулы IV и V или без выделения по следующим вариантам химической схемы синтеза:

[82]

Вариант схемы 1: III-IV-V-VI; или

[83]

Вариант схемы 2: III-IV-[V]-VI; или

[84]

Вариант схемы 3: III-[IV]-V-VI; или

[85]

Вариант схемы 4: III-[IV]-[V]-VI.

[86]

Наиболее оптимальным и предпочтительным является вариант схемы 4.

[87]

[88]

Для повышения нуклеофильности атома С6 и тем самым уменьшения вероятности протекания побочных процессов конденсации по другим реакционным центрам (например, по атому С2) на первом этапе синтеза проводится реакция енолизации Δ4-3-кетосистемы кольца А соединения III с образованием 3,5-диенолэфира общей формулы IV. Реакция енолэтерификации Δ4-3-кетосистемы кольца А как с выделением енолэфира IV (варианты 1 и 2), так и без выделения енолэфира IV (варианты 3 и 4) из реакционной массы, может быть проведена с применением или без применения растворителя. Реакцию енолэтерификации Δ4-3-кетосистемы с применением растворителя проводят действием триалкилортоэфира муравьиной кислоты (например, триметилортоформиата или триэтилортоформиата) с использованием минимального количества триалкилортоформиата, необходимого для обеспечения протекания реакции (не менее 1 моля на 1 моль стероида). Для более полного и быстрого протекания реакции (15-30 мин, но не более 2 ч) используется избыток алкилортоформиата (от 2,5 до 9 моль на 1 моль стероида). Однако это условие не является обязательным. Реакция проводится в безводных условиях в соответствующем протонном растворителе - алифатическом спирте (в метаноле или этаноле) или в апротонном растворителе, выбранном из группы циклических эфиров (например, диоксан или тетрагидрофуран) или ароматических углеводородов группы бензола (например, бензол или толуол). Реакция енолэтерификации Δ4-3-кетосистемы без применения растворителя проводится в среде реагента триалкилортоформиата.

[89]

В качестве катализатора енолизации могут быть использованы любые протонные кислоты, обеспечивающие енолизацию Δ4-3-кетосистемы кольца А соединения III с образованием 3,5-диенола, известные из уровня техники специалисту. Предпочтительно использовать органические кислоты, например сульфоароматические (сульфосалициловую кислоту, п-ТСК или т.п.) как безводные, так и в виде кристаллогидрата. При проведении реакции без выделения енолэфира IV (вариант 3 и 4) из реакционной массы предпочтительно использовать п-ТСК, которая является также катализатором последующей реакции аминометилирования.

[90]

В синтезе соединений общей формулы V введение заместителя в положение С6осуществляют методом трехкомпонентной конденсации по типу реакции Манниха с применением реагента Манниха, образованного in situ взаимодействием формальдегида и N-метиланилина или других вторичных аминов, применимых для целей настоящего изобретения, пригодных для образования 6-(N,N-дизамещенных)-аминометил-соединений и известных из уровня техники, например, N-этиланилин, дифениламин, N-метил- п-толуидин и т.п. [GB 1280570, 1972].

[91]

По настоящему изобретению реакция Манниха с образованием соединений общей формулы V может быть проведена как с выделением продукта IV из реакционной массы (варианты 1 и 3), так и без выделения (варианты 2 и 4). Однако предпочтительно проведение реакции Манниха без выделения енолэфира IV (варианты 3 и 4) в среде триалкилортоформиата без применения растворителей и на стадии получения енолэфира, и на стадии аминометилирования. Оба процесса проводятся при комнатной температуре. По окончании реакции получения енолэфира IV в реакционную массу добавляют N-метиланилин и 30-40% водный раствор формальдегида.

[92]

Реакция аминометилирования нестереоселективна: образуется смесь 6α- и 6β-диастереомерных стероидных оснований Манниха (Va и Vb соответственно). Реакция аминометилирования может быть проведена в среде, содержащей циклический эфир (например, диоксан или тетрагидрофуран) или ароматический углеводород группы бензола (например, бензол или толуол) причем указанные растворители или их смеси могут быть добавлены в реакционную массу, содержащую соединения общей формулы V, после окончания реакции аминометилирования. Раствор соединения общей формулы V в ароматическом углеводороде промывают 1-5% водным раствором аммиака для удаления п-ТСК и далее водой. Этот раствор в ароматическом углеводороде может быть использован на следующей стадии дезаминирования без извлечения смеси изомеров общей формулы V (варианты 2 и 4) или указанная смесь изомерных стероидных оснований Манниха может быть извлечена из раствора (варианты 1 и 3). Однако последнее нецелесообразно, так как оба изомера могут быть подвергнуты последующей реакции дезаминирования с образованием 21-ацетокси-17α-гидрокси-11β-трифторацетилокси-6-метиленпрегн-4-ен-3,20-диона (VI) без выделения и разделения.

[93]

Реакцию регионаправленного расщепления стероидного основания Манниха общей формулы V по связи C-N проводят действием концентрированных или разбавленных минеральных кислот, например, 30-35% соляной кислоты или 50-70% серной кислоты (предпочтительно 55-60% серной кислоты) в среде ароматического углеводорода ряда бензола (толуола или бензола) с добавлением апротонного растворителя, смешивающегося с водой, например, диалкилкетона (ацетона или метилэтилкетона) или циклического эфира (диоксана или тетрагидрофурана). Добавление протонного растворителя, в частности низшего алифатического спирта (метилового, или этилового, или др.) может привести, во-первых, к частичному расщеплению стероидного основания Манниха общей формулы V по связи С-С с регенерацией исходного соединения III, а во-вторых, к снятию (удалению) сложноэфирной группы при атоме С21 как у образующегося побочного продукта III, так и у целевого продукта VI. Реакция регионаправленного расщепления стероидного основания Манниха общей формулы V по связи C-N может быть проведена в присутствии минеральных солей, например, галогенидов щелочных или щелочноземельных металлов, или галогенидов аммония.

[94]

Для проведения реакции дезаминирования без выделения смеси изомеров Va и Vb (варианты 2 и 4) раствор смеси стероидных оснований Манниха (V) в ароматическом углеводороде разбавляют минимально необходимым количеством диалкилкетона (не менее 40% об.), добавляют 55-60% раствор серной кислоты и минеральную соль. Реакцию проводят при комнатной температуре. По окончании реакции реакционный раствор промывают от кислоты. Растворитель упаривают в вакууме или при атмосферном давлении. Остаток ароматического углеводорода может быть удален азеотропной отгонкой с любым удобным растворителем, образующим азеотропную смесь с ароматическим углеводородом и смешивающимся с водой, например, с этиловым или метиловым спиртом. Выделение продукта реакции осуществляют растворением остатка после отгонки в спирте (этиловом или метиловом) и разбавлением полученного раствора водой.

[95]

Достигаемый выход 21-ацетокси-17α-гидрокси-11β-трифторацетилокси-6-метиленпрегн-4-ен-3,20-диона (VI) из 21-ацетата гидрокортизона (II) составляет:

[96]

по варианту 1 (II-III-IV-V-VI) - от 87,7 до 91,8%;

[97]

по варианту 2 (II-III-IV-[V]-VI) - от 88,3 до 92,5%;

[98]

по варианту 3 (II-III-[IV]-V-VI) - до 93,8%;

[99]

по варианту 4 (II-III-[IV]-[V]-VI) - до 97,8%.

[100]

Следует отметить, что проведение реакции дезаминирования в среде апротонных органических растворителей или их смесей, как и протонных растворителей, действием минеральной кислоты (серной или соляной) без добавления неорганической соли протекает нерегиоселективно: наряду с дезаминированием имеет место процесс дезаминометилирования с регенерацией соединения III. Применение неорганической соли в сочетании с минеральной кислотой не является очевидным, не известно из уровня техники, для обеспечения регионаправленности расщепления стероидных оснований Манниха по связи C-N ранее не применялось. Проведение реакции без добавления неорганической соли приводит к снижению выхода продукта. Проведение реакции действием концентрированной соляной кислоты в среде тетрагидрофурана и этанола (литературный вариант расщепления основания Манниха [RU 2297423, 2007]) хотя и приводит к сокращению продолжительности процесса, однако при этом получается продукт VI, не пригодный для проведения последующей реакции гидрирования с образованием соединения VIII без дополнительной очистки, например, кристаллизацией. В результате очистки кристаллизацией выход на стадии синтеза соединения VI составляет всего 60-65%.

[101]

Процесс получения 21-ацетокси-17α-гидрокси-11β-трифторацетилокси-6α-метил-прегн-4-ен-3,20-диона (VIII) из 21-ацетокси-17α-гидрокси-11β-трифторацетилокси-6-метиленпрегн-4-ен-3,20-диона (VI) может быть проведен в три этапа без выделения интермедиатов VII и VIIIa или с выделением соединения VII. В качестве среды для проведения трехэтапного процесса могут быть использованы полярные растворители, такие как низшие карбоновые кислоты (например, уксусная кислота) и алифатические спирты (например, метанол, этанол).

[102]

[103]

Первый этап - каталитическая изомеризация экзометиленовой двойной связи соединения VI в эндометиленовую 6,7-двойную связь соединения VII.

[104]

Второй этап - каталитическое гидрирование эндометиленовой связи 6-метил-Δ6-системы соединения VII методом переноса водорода в присутствии циклогексена. Изомеризацию (первый этап) и гидрирование (второй этап) в заявленном изобретении осуществляют в присутствии традиционно используемых катализаторов, например палладия, адсорбированного на угле (палладиевый катализатор) и других. Реакции проводят при температуре кипения реакционной массы. Процесс контролируется путем определения состава реакционной массы по поглощению в УФ-спектре при длинах волн, соответствующих максимумам поглощения соединения VIII (при 239 нм) и соединения VII (при 286 нм). По окончании процесса восстановления катализатор отфильтровывают из горячей реакционной массы. Реакция гидрирования протекает нестереоселективно: образуется смесь 6α- и 6β-диастереомерных метил-производных VIII и VIIIa соответственно.

[105]

Третий этап - изомеризация побочного 6β-метил-изомера VIIIa в целевой продукт VIII в условиях кислого катализа - осуществляется без выделения смеси продуктов восстановления 21-ацетокси-17α-гидрокси-11β-трифторацетилилокси-6α-метилпрегн-4-ен-3,20-диона (VIII) и 21-ацетокси-17α-гидрокси-11β-трифторацетилилокси-6β-метилпрегн-4-ен-3,20-диона (VIIIa) из фильтрата и их разделения. В качестве катализатора изомеризации используют концентрированную соляную кислоту. Реакцию проводят при комнатной температуре в течение 30 мин. Выделение продукта реакции осуществляют разбавлением остатка после отгонки растворителя водой.

[106]

Выход 21-ацетокси-11-трифторацетилокси-6α-метилгидрокортизона (VIII) на стадии составляет 95-96%.

[107]

Удаление сложноэфирных групп при C11 и С21 может быть проведено одновременно или поэтапно реакциями гидролиза.

[108]

[109]

Полное удаление сложноэфирных групп при С11 и С21 с образованием соединения I осуществляют реакцией гидролиза, катализируемого сильным основанием. Реакцию проводят в среде метанола. В качестве сильного основания используют каталитическое количество гидроксида щелочного металла (натрия или калия) в виде 10% водного раствора.

[110]

Получают 6α-метилгидрокортизон (I) с содержанием основного вещества 90-95%. Продукт может быть использован в химическом или биотехнологическом процессе 1,2-дегидрирования, а также в синтезе 21-эфиров, без дополнительной очистки.

[111]

Удаление сложноэфирной группы при С21 у соединения VIII с сохранением 11β-трифторацетоксигруппы и образованием 11-трифторацетата 6α-метилгидрокортизона (IX) проводят в условиях кислого катализа.

[112]

Следует отметить, что удаление трифторацетильной группы при С11 у соединения VIII с сохранением 21-ацетоксигруппы и образованием 21-ацетата 6α-метилгидрокортизона может быть проведено действием триэтиламина в метаноле в условиях патента [US 4330541, 1982, пример 1].

[113]

Заявленное изобретение иллюстрируется следующими примерами. Продолжительность реакций, выход продуктов, применение неорганических солей приведено только для иллюстрации указаны для иллюстрации достижения указанного технического результата. Вместо указанных солей могут быть использованы любые растворимые в воде соли, образованные галогенводородными кислотами, например, хлориды и бромиды лития, натрия, калия, магния, бария, аммония и другие, без потери эффективности.

[114]

Катализатор берут в количестве, обеспечивающем проведение реакции с учетом различных технологических факторов проведения реакции, прежде всего зависимости температуры/продолжительности реакции (чем больше катализатора, тем быстрее идет реакция, чем выше температура - тоже быстрее, катализатора можно поменьше, но могут образовываться различные побочные продукты).

[115]

21-Ацетат гидрокортизона (II), CAS №50-03-3, С23Н32О6 (качество USP, или ЕР, или BP), является коммерчески доступным, может быть приобретен, например, у компании Steraloids (USA), или у других производителей. 4-Диметиламинопиридин (≥99.0%), ангидрид трифторуксусной кислоты (≥99.0%), триметилортоформиат (≥99.0%), триэтилортоформиат (≥98.0%), 5-сульфосалициловая кислота (≥99.0%), п-толуолсульфокислота (≥98.0%), N-метиланилин (≥98.0%), циклогексен (≥99.0%) являются коммерчески доступными, были приобретены у компании Sigma-Aldrich Со. Другие реагенты, растворители и инертные газы являются коммерчески доступными, были приобретены у российских производителей.

[116]

Для приготовления водных растворов кислот, хлорида натрия, аммиака и гидроксида натрия использовали дистиллированную воду. Для выделения продуктов по окончании реакций выливанием реакционных масс в воду, а также для промывки осадков, экстрактов в органических растворителях, использовали питьевую водопроводную воду, если не оговорено особо.

[117]

Все процедуры, если не оговорено особо, осуществляли при комнатной температуре или температуре окружающей среды, то есть в диапазоне от 20 до 25°С. Для процессов, требующих более низкие температуры, чем комнатная, охлаждение обеспечивали холодной водопроводной водой (в диапазоне от 10 до 20°С), или смесью колотого льда и холодной воды (в диапазоне от 5 до 10°С) или смесью колотого льда и хлорида кальция (при температуре ниже 5°С). Для обогрева при проведении реакций при температуре выше комнатной и для упаривания растворителей при атмосферном давлении использовали электрический колбонагреватель.

[118]

Упаривание растворителей в вакууме осуществляли с использованием ротационного вакуумного испарителя Rotavapor ( Labortechnik AG), при остаточном давлении 0,35±0,05 кгс/см2 (35±5 кПа) и температуре воды в бане в диапазоне от 35-50°С в зависимости от природы упариваемого растворителя.

[119]

Высушивание кристаллов продуктов до постоянного веса осуществляли при температуре 35-45°С при атмосферном давлении или с использованием вакуум-сушильного шкафа при остаточном давлении 0,35±0,05 кгс/см2 (35±5 кПа).

[120]

Для определения рН промывных вод использовали универсальную индикаторную бумагу с диапазоном значений от 0 до 12 (Лахема, Чехия).

[121]

Сухие (безводные) растворители (ацетон, триэтиламин, метанол, этанол) получали общеизвестными методами органической химии.

[122]

Колоночную хроматографию осуществляли на колонке (16×650 мм), используя силикагель марки Silica gel 60 (0.040-0.063 мм) (Merck, Germany).

[123]

Контроль за ходом реакций осуществляли методом тонкослойной хроматографии (ТСХ), используя пластины Silica gel 60 F254 (Merck, Germany). УФ-спектроскопическое определение окончания реакций изомеризации 6-метиленовой связи соединения VI и гидрирования 6,7-двойной связи соединения VII проводили на УФ-спектрофотометре Perkin Elmer Lambda 40, измеряя соотношение оптических плотностей раствора пробы реакционной массы при длинах волн D286, D258 и D239.

[124]

Структуру и чистоту всех выделенных соединений подтверждали, по меньшей мере, одним из следующих методов: ТСХ (пластины для ТСХ Silica gel 60 F254 (Merck, Germany)), масс-спектрометрия, элементный анализ или ядерный магнитный резонанс (ЯМР), высокоэффективная жидкостная хроматография (ВЭЖХ).

[125]

Температуру плавления выделенных соединений определяли на приборе для определения точки плавления М-565 ( Labortechnik AG).

[126]

1Н- и13С- ЯМР спектры были определены на спектрометре Bruker Avance-400 (Bruker BioSpin GmbH) с рабочей частотой 400 МГц и 100.6 МГц соответственно, используя дейтерированный хлороформ (99,8% D, Sigma-Aldrich), или дейтерированный диметилсульфоксид (99,9% D, Sigma-Aldrich) в качестве растворителя относительно тетраметилсилана (TMS NMR grade ≥99,9%, Sigma-Aldrich) в качестве внутреннего стандарта, в миллионных долях (м.д.).

[127]

Элементный анализ был выполнен с использованием анализатора Vario MICRO Cube (Elementar Analysensysteme, GmbH).

[128]

ВЭЖХ-анализ проводили на хроматографе Knauer Smartline (Germany), укомплектованном градиентным HPLC-насосом, ячейкой для термостатированной колонки, инжектором, диодно-матричным детектором Smartline 2600, интегратором-компьютером, при температуре 24°С, скорости потока 1 мл/мин и УФ-детектировании при длине волны 254 нм. В качестве неподвижной фазы использовали Kromasil® 100-5С18, в качестве мобильной фазы - 35% (по объему) раствор Н2О в ацетонитриле.

[129]

Пример 1. Получение 21-ацетокси-17α-гидрокси-11β-трифторацетилокси-прегн-4-ен-3,20-диона (III)

[130]

Вариант 1

[131]

К суспензии 10 г (24,722 ммоль) 21 ацетата гидрокортизона (II) в 80 мл сухого ацетона добавляли 0,3 г (2,455 ммоль) диметиламинопиридина. Затем при температуре не выше 10°С добавляли 4,2 мл (6,28 г, 29,9 ммоль) трифторуксусного ангидрида. Реакционную массу нагревали до комнатной температуры (20-25°С) и перемешивали в течение 1,5 ч. По окончании реакции добавляли 10 мл (7,28 г, 71,94 ммоль) сухого триэтиламина, выдерживали 15 минут. Затем добавляли по каплям 4,7 мл (4,93 г, 82,1 ммоль) уксусной кислоты до рН 6 и реакционную массу выливали медленно в 240 мл воды при температуре 8-10°С. Суспензию выдерживали при интенсивном перемешивании в течение 1 ч при этой же температуре. Осадок отфильтровали, промыли водой до рН ~ 7 промывной воды, высушили до постоянного веса. Получили 11,88 г (23,736 ммоль) соединения III с выходом 96,01%. Т.пл.. 204-206°С (лит. 206-207°С [DE 1125422, 1962]). ЯМР1Н (400 МГц, CDCl3, δ, м.д.): 5.70 (1Н, с, Н-4), 5.67 (1Н, м, Н-11), 5.09 (1H, д, J=17.4 Гц, Н-21), 4.67 (1H, д, J=17.4 Гц, Н-21), 2.14 (3Н, с, СН3С(O)), 1.26 (3Н, с, Н-19), 0.80 (3Н, с, Н-18); ЯМР13С (100.6 МГц, CDCl3, δ, м.д.): 204.9, 198.8, 170.5, 170.1, 122.9, 89.1, 75.4, 67.6, 54.9, 51.4, 47.0, 38.5, 35.5, 35.4, 34.5, 33.5, 32.2, 31.8, 31.7, 23.5, 20.6, 20.5, 16.4.. Найдено: С 60.47%; Н 6.24%, C25H31F3O7. Вычислено: С 59.99%; Н 6.24%.

[132]

Вариант 2

[133]

Реакционную смесь, состоящую из 100 г (247,22 ммоль) 21-ацетата гидрокортизона, 500 мл тетрагидрофурана и 10 г (81,833 ммоль) диметиламинопиридина, охлаждали при перемешивании до температуры 3-5°С. Затем к реакционной смеси в токе сухого азота медленно добавляли 42 мл (62,79 г, 298,96 ммоль) трифторуксусного ангидрида с такой скоростью, чтобы температура реакционной смеси не превышала 7-8°С. После этого баню с охлаждающей смесью убрали. Реакционную массу перемешивали до тех пор, пока температура в массе не поднялась до комнатной (самонагревание). По окончании выдержки реакционную массу нагревали до температуры кипения и отгоняли тетрагидрофуран при атмосферном давлении до тех пор, пока температура в парах не достигла значения 70°С.

[134]

Баню для обогрева поменяли на баню для охлаждения. Кубовую суспензию охладили до температуры 10°С и добавили через капельную воронку 55 мл (40,04 г, 395,69 ммоль) триэтиламина до значения рН реакционной массы 8-9. После этого охлаждающую баню убрали, суспензию перемешивали при комнатной температуре в течение 1 ч.

[135]

По завершении реакции реакционную массу вылили при интенсивном перемешивании в 600 мл воды, охлажденной до температуры 0-2°С. Перемешивали при этой же температуре в течение 10-15 мин и добавили 11 мл (11,54 г, 192,17 ммоль) уксусной кислоты для нейтрализации триэтиламина. Суспензию перемешивали при температуре 20-25°С в течение 20 минут. Осадок отфильтровали и промыли на фильтре водой до рН ~ 7 промывной воды, высушили до постоянного веса.

[136]

Получили 123,67 г (247,09 ммоль) соединения III с выходом 99,95%.

[137]

Вариант 3

[138]

Реакцию этерификации проводили аналогично варианту 1, используя в качестве апротонного растворителя диметилсульфоксид. Из 1 г (2,472 ммоль) 21 ацетата гидрокортизона (II) получили 1,12 г (2,238 ммоль) соединения III с выходом 90,53%.

[139]

А. Схема, вариант 1: III-IV-V-VI

[140]

Пример 2. Получение 3-метокси-21-ацетокси-11β-трифторацетилокси-17α-гидрокси-прегна-3,5-диен-20-она (IVa, R=CH3)

[141]

Вариант 1

[142]

К суспензии 5 г (9,99 ммоль) 21-ацетокси-17α-гидрокси-11β-трифторацетилокси-прегн-4-ен-3,20-диона (III) в смеси 20 мл сухого метанола и 10 мл (9,676 г, 91,18 ммоль) триметилортоформиата добавляли 0,125 г (0,726 ммоль) безводной п-ТСК. Реакционную массу перемешивали в течение 30 минут при комнатной температуре. Избыток п-ТСК нейтрализовали триэтиламином, выливали в 200 мл ледяной воды, суспензию охлаждали до температуры 0-2°С и выдерживали при перемешивании в течение 2 ч. Осадок отфильтровали, промывали на фильтре водой до рН ~ 7 промывной воды и минимальным количеством метанола, высушили до постоянного веса. Получили 5,04 г (9,795 ммоль) соединения IVa в виде белых кристаллов с выходом 98,05%. Т.пл. 177°С (с разл.). ЯМР1Н (400 МГц, CDCl3, δ, м.д.): 5.72 (1H, с, Н-11), 5.15-5.09 (3Н, м, Н-4, Н-6 и Н-21), 4.68 (1H, д, J=17.4 Гц, Н-21), 3.57 (3Н, с, СН3O), 2.16 (3Н, с, СН3С(O)), 1.03 (3Н, с, Н-19), 0.80 (3Н, с, Н-18); ЯМР13С (100.6 МГц, CDCl3, δ, м.д.): 205.0, 170.6, 155.4, 141.1, 121.0, 116.7, 97.5, 89.3, 75.8, 67.6, 54.3, 52.6, 50.6, 47.0, 38.7, 35.5, 34.6, 33.6, 31.4, 28.4, 24.8, 23.5, 21.1, 20.5, 16.3.

[143]

Вариант 2

[144]

К суспензии 1 г (1,998 ммоль) соединения III в смеси 4,7 мл сухого метанола и 0,55 мл (0,532 г, 5,015 ммоль) триметилортоформиата добавляли 0,011 г (0,05 ммоль) безводной сульфосалициловой кислоты (ССК). Реакционную массу перемешивали в течение 2 ч при комнатной температуре. Избыток ССК нейтрализовали триэтиламином. Реакционную массу разбавляли ледяной водой в 3 раза и выдерживали при перемешивании в течение 30 мин при температуре 8-10°С. Осадок отфильтровывали, промывали на фильтре водой до рН ~ 7 промывной воды и минимальным количеством метанола, высушили до постоянного веса. Получили 0,96 г (1,816 ммоль) соединения IVa с выходом 90,89%.

[145]

Пример 3. Получение 3-этокси-21-ацетокси-11β-трифторацетилокси-17α-гидрокси-прегна-3,5-диен-20-она (IVб, R=CH2CH3)

[146]

В условиях получения соединения IVa (вариант 1), использовали 20 мл безводного этанола и 10 мл (8,91 г, 60,121 ммоль) триэтилортоформиата, из 5 г (9,99 ммоль) 21-ацетокси-11β-трифторацетилокси-17α-гидроксипрегн-4-ен-3,20-диона (III) получали 4,94 г (9,346 ммоль) соединения IVб с выходом 93,55%. Т.пл. 160°С (с разл.). ЯМР1Н (400 МГц, CDCl3, δ, м.д.): 5.72 (1Н, с, Н-11), 5.17-5.07 (3Н, м, Н-4, Н-6 и Н-21), 4.68 (1Н, д, J=17.4 Гц, Н-21), 3.76 (2Н, кв, J=7.0 Гц, СН2O), 2.16 (3Н, с, СН3С(O)), 1.28 (3Н, т, J=7.0 Гц, СН3СН2О), 1.03 (3Н, с, Н-19), 0.80 (3Н, с, Н-18); ЯМР13С (100.6 МГц, CDCl3, δ, м.д.): 205.0, 170.6, 154.5, 141.3, 116.4, 98.0, 89.3, 75.8, 67.6, 62.2, 59.5, 52.6, 50.6, 47.0, 35.5, 34.8, 33.6, 31.4, 28.4, 25.0, 23.5, 21.1, 20.5, 16.3, 14.6.

[147]

Пример 4. Получение 21-ацетокси-17α-гидрокси-11β-трифторацетилокси-6ξ-(N-метил-N-фениламинометил)прегн-4-ен-20-она (V)

[148]

К суспензии 10 ммоль 3,5-диенолэфира (IVa или IVб) в 15 мл абсолютного спирта (метанол или этанол соответственно) добавляли 2,15 мл (2,122 г, 19,8 ммоль) N-метиланилина. Затем при перемешивании добавляли по каплям раствор 0,125 г (0,725 ммоль) п-ТСК в 1,25 мл соответствующего спирта и 2 мл (2,18 г, 0,807 г в 100% исчислении, 26,86 ммоль) 37%-ного водного раствора формальдегида. Реакционную массу перемешивали при температуре 20°С в течение 2 ч. По окончании реакции реакционную массу разбавляли 20 мл соответствующего спирта и выливали медленно при интенсивном перемешивании в 110 мл воды. Осадок отфильтровывали, промывали водой до рН ~ 7 промывной воды, высушили до постоянного веса. Получали соединение V (смесь изомеров) с количественным выходом. Без очистки и разделения эпимеров использовали на следующей стадии. Для получения аналитически чистого образца использовали метод колоночной хроматографии на SiO2, предварительно обработанном триэтиламином.

[149]

Т.пл.=112-117°С.

[150]

6α-Изомер (Va), ЯМР1Н (400 МГц, CDCl3, δ, м.д.): 7.28-7.22 (2Н, m, Н-3,5 (NPh)), 6.79-6.69 (3Н, m, Н-2,4,6 (NPh)), 5.87 (1H, с, Н-4), 5.70 (1Н, м, Н-11), 5.08 (1H, д, J=17.4 Гц, Н-21), 4.66 (1H, д, J=17.4 Гц, Н-21), 3.70 (1Н, дд, J=3.1, 14.5 Гц, NCH2), 3.14 (1Н, дд, J=10.4, 14.5 Гц, NCH2), 2.97 (3Н, с, NCH3), 2.16 (3Н, с, СН3С(O)), 1.19 (3Н, с, Н-19), 0.80 (3Н, с, Н-18).

[151]

6β-Изомер (Vб), ЯМР1Н (400 МГц, CDCl3, δ, м.д.): 7.28-7.22 (2Н, m, Н-3,5 (NPh)), 6.79-6.69 (3Н, m, Н-2,4,6 (NPh)), 5.83 (1H, с, Н-4), 5.70 (1Н, м, Н-11), 5.07 (1H, д, J=17.4 Гц, Н-21), 4.69 (1Н, д, J=17.4 Гц, Н-21), 3.76 (1H, дд, J=10.8, 14.5 Гц, NCH2), 3.32 (1Н, дд, J=4.1, 14.5 Гц, NCH2), 3.02 (3Н, с, NCH3), 2.16 (3Н, с, СН3С(O)), 1.36 (3Н, с, Н-19), 0.83 (3Н, с, Н-18); ЯМР13С (100.6 MHz, CDCl3, δ, м.д.): 204.8, 198.7, 170.6, 170.2, 148.5, 129.4, 125.4, 116.8, 112.3, 89.1, 75.1, 67.6, 57.2, 54.7, 51.3, 46.8, 42.3, 39.7, 38.1, 37.8, 35.5, 34.5, 33.6, 33.3, 27.9, 23.3, 22.8, 20.5, 16.4. Найдено: С 64.08%; Н 6.52%, N 2.15%, C33H40F3NO7. Вычислено: С 63.96%; Н 6.51%, N 2.26%.

[152]

Пример 5. Получение 21-ацетокси-17α-гидрокси-11β-трифторацетилокси-6-метилен-прегн-4-ен-3,20-диона (VI)

[153]

Вариант 1

[154]

К суспензии 2,5 г (4,034 ммоль) смеси 6α и 6β изомеров соединения V в смеси 30 мл толуола и 15 мл метилэтилкетона добавляли 1 г (11,515 ммоль) бромида лития и 2 мл (3 г, 1,798 г в 100% исчислении, 18,332 ммоль) 60% серной кислоты.

[155]

Реакционную массу выдерживали при комнатной температуре в течение 1 ч и переносили в делительную воронку. Отделяли кислый слой, экстрагировали его толуолом и экстракт объединяли с органическим слоем. Толуольный раствор промывали 60% серной кислотой, водой до рН 6-7, 5% водным раствором аммиака и водой до нейтральной реакции. Затем раствор осветляли активированным углем и упаривали, удаляя остатки толуола метанолом. Кубовый остаток, выливали в 70 мл воды, суспензию выдерживали при температуре 8-10°С, осадок отфильтровали. Получили 1,94 г (3,785 ммоль) соединения VI с выходом 93,83%. Т.пл. 191-193°С. ЯМР1Н (400 МГц, CDCl3, δ, м.д.): 5.86 (1H, с, Н-4), 5.68 (1H, м, Н-11), 5.09-5.01 (3Н, м, СН2= и Н-21), 4.69 д (1H, д, J=17.4 Гц, Н-21), 2.15 с (3Н, с, СН3С(O)), 1.18 (3Н, с, Н-19), 0.80 (3Н, с, Н-18); ЯМР13С (100.6 MHz, CDCl3, δ, м.д.): 204.9, 199.2, 170.6, 168.2, 144.1, 120.6, 115.4, 89.0, 75.4, 67.6, 53.7, 51.7, 46.9, 39.7, 38.7, 35.4, 34.7, 34.5, 33.3, 31.9, 23.4, 20.5, 19.9, 16.3. Найдено: С 61.31%; Н 6.35%, C26H31F3O7. Вычислено: С 60.93%; Н 6.10%.

[156]

Вариант 2

[157]

К суспензии 0,5 г (0,807 ммоль) смеси 6α и 6β изомеров соединения V в смеси 10 мл толуола и 10 мл метанола добавляли 0,32 мл (0,376 г) 35% соляной кислоты (0,13 г хлористого водорода, 3,556 ммоль) соляной кислоты и 1 мл воды. Реакционную массу перемешивали в течение 1 ч при комнатной температуре и переносили в делительную воронку. Отделяли кислый слой, экстрагировали его толуолом и экстракт объединяли с органическим слоем. Толуольный раствор промывали 35% соляной кислотой, водой до рН 6-7, 5% водным раствором аммиака и водой до нейтральной реакции. Затем раствор осветляли активированным углем и упаривали, удаляя остатки толуола метанолом. Остаток после упаривания (0,323 г) содержал смесь соединений III, VI и 17α,21-дигидрокси-11β-трифторацетилокси-6-метилен-прегн-4-ен-3,20-диона в соотношении 26:57:17% (ВЭЖХ). Для разделения смеси и идентификации соединений использовали метод колоночной хроматографии на SiO2.

[158]

17α,21-Дигидрокси-11β-трифторацетилокси-6-метилен-прегн-4-ен-3,20-дион, т.пл. 120-122°С. ЯМР1Н (400 МГц, CDCl3, δ, м.д.): 5.87 (1Н, с, Н-4), 5.67 (1Н, кв, 11-Н, J=2.8 Гц), 5.10 (1Н, т, 6-С=СН2, J=1.9), 5.01 (1H, т, 6-С=СН2, J=1.9), 4.27 дд, 4.64 дд (АВ, 2Н, 21-СН2, J=4.5, J=19.9), 1.17 (3Н, с, Н-19), 0.80 (3Н, с, Н-18).

[159]

Б. Схема, вариант 2: III-IV-[V]-VI

[160]

Пример 6. Получение 21-ацетокси-17α-гидрокси-11β-трифторацетилокси-6-метилен-прегн-4-ен-20-она (VI)

[161]

Вариант 1

[162]

К реакционной массе, содержащей 21-ацетокси-17α-гидрокси-11β-трифторацетилокси-6ξ-(N-метил-N-фениламинометил)-прегна-4-ен-3.20-дион (V), полученной из 0.5 г (0,972 ммоль) 3-метокси-21-ацетокси-17α-гидрокси-11β-трифторацетилокси-прегна-3,5-диен-20-она (IVa) по варианту 1 схемы синтеза (пример 4), добавляли 0,38 мл (0,446 г) 35% соляной кислоты (0,156 г хлористого водорода, 4,283 ммоль). Реакционную массу перемешивали при комнатной температуре в течение 30 минут, затем разбавляли 10 мл метилового спирта и выливали в 20 мл воды. Осадок отфильтровали, промыли на фильтре водой до рН ~ 7 промывной воды, высушили до постоянного веса. После перекристаллизации из метанола получали 0.31 г (0,605 ммоль) соединения VI с выходом 62,24%, считая из IVa. Т.пл. 187-190°С.

[163]

Вариант 2

[164]

К раствору 0,215 мл (0,212 г, 1,98 ммоль) N-метиланилина в 1,25 мл тетрагидрофурана добавляли 13 мг (0,068 ммоль) п-ТСК моногидрата и 0,2 мл (0,218 г, 0,08 г в 100% исчислении, 2,686 ммоль) 37% раствора формальдегида. Затем при перемешивании и комнатной температуре добавляли раствор 0,504 г (0,98 ммоль) 3-метокси-21-ацетокси-17α-гидрокси-11β-трифторацетилокси-прегна-3,5-диен-20-она (IVa) в 2,5 мл тетрагидрофурана. Реакционную массу перемешивали в течение 1 ч при комнатной температуре, затем добавили 20 мл толуола и 0,38 мл (0,446 г) 35% соляной кислоты (0,156 г хлористого водорода, 4,283 ммоль). Реакционную массу перемешивали при комнатной температуре в течение 30 мин, и переносили в делительную воронку. Кислый слой отделяли, толуольный раствор промывали 5% соляной кислотой, водой до рН 6-7, 1% водным раствором аммиака и водой до нейтральной реакции. Затем раствор осветляли активированным углем и упаривали, удаляя остатки толуола метанолом. К остатку добавили 2 мл метанола и 10 мл воды, суспензию выдерживали 30 мин при температуре 8-10°С, осадок отфильтровали, промыли на фильтре водой, высушили до постоянного веса. Получили 0,326 г (0,636 ммоль) соединения VI с выходом 64,9%, считая из IVa.

[165]

Вариант 3

[166]

К 2 г (3,783 ммоль) 3-этокси-21-ацетокси-17α-гидрокси-11β-трифторацетилокси-прегна-3,5-диен-20-она (IVb) в 2 мл триэтилортоформиата добавляли 0,48 мл (0,474 г, 4,42 ммоль) N-метиланилина. Затем добавляли по каплям раствор 0,075 г (0,435 ммоль) п-ТСК в 0,75 мл этанола и 0,41 мл (0,447 г, 0,165 г в 100% исчислении, 5,506 ммоль) 37% раствора формальдегида. Реакционную массу перемешивали в течение 1,5 часа при комнатной температуре и разбавляли 20 мл толуола. После этого добавляли 10 мл ацетона, 3 г (14,407 ммоль) хлорида бария и 3 мл (4,336 г, 2,385 г в 100% исчислении, 24, 31 ммоль) 55% серной кислоты. Реакционную массу перемешивали при комнатной температуре в течение 1 часа, затем обрабатывали, как указано в примере 5. Получили 1.83 г (3,571 ммоль) соединения VI с выходом 94,4%, считая из IVb.

[167]

В. Схема, вариант 3: III-[IV]-V

[168]

Пример 7. Получение 21-ацетокси-17α-гидрокси-11β-трифторацетилокси-6ξ-(N-метил-N-фениламинометил)прегн-4-ен-20-она (V)

[169]

К суспензии 5 г (9,99 ммоль) соединения III в 7,5 мл триалкилортоформиата добавляли 0,125 г (0,725 ммоль) п-ТСК. Реакционную массу перемешивали при комнатной температуре в течение 15-30 мин. После окончания реакции получения 3,5-диенолэфира (IVa или IVб) к реакционной массе добавили 2,15 мл (2,122 г, 19,8 ммоль) N-метиланилина и 2 мл (2,18 г, 0,807 г в 100% исчислении, 26,86 ммоль) 37% водного раствора формальдегида. Реакционную массу перемешивали при комнатной температуре в течение 2-2,5 ч. По окончании реакции для выделения смеси 6ξ-(N-метил-N-фениламинометил)-эпимеров реакционную массу разбавили 20 мл спирта (метанола или 95% этилового спирта) и медленно выливали в 200 мл воды. Осадок отфильтровали, промыли на фильтре водой до рН ~ 7 промывной воды, высушили до постоянного веса. Получили соединение V (смесь изомеров) с количественным выходом.

[170]

Г. Схема, вариант 4: III-[IV]-[V]-VI

[171]

Пример 8. Получение 21-ацетокси-17α-гидрокси-11β-трифторацетилокси-6-метилен-прегн-4-ен-20-она (VI)

[172]

Вариант 1

[173]

К суспензии 20 г (39,96 ммоль) 21-ацетокси-11-трифторацетилокси-гидрокортизона (III) в 20 мл (17,82 г, 120,24 ммоль) триэтилортоформиата добавили 0,5 г (2,90 ммоль) п-ТСК и перемешивали в токе аргона при комнатной температуре в течение 15 минут. При этом наблюдали растворение осадка соединения III и образование гелеобразной массы темно-зеленого цвета.

[174]

По окончании реакции подачу инертного газа прекращали и добавляли медленно по каплям 4,8 мл (4,74 г, 44,212 ммоль) N-метиланилина и 4,1 мл (4,489 г, 1,654 г в 100% исчислении, 55,063 ммоль) 37% водного раствора формальдегида. После добавления N-метиланилина наблюдали изменение цвета реакционной массы от темно-зеленого до красновато-коричневого. Реакционную массу перемешивали при комнатной температуре в течение 1,5 ч.

[175]

По окончании реакции аминометилирования к реакционной суспензии медленно при интенсивном перемешивании добавляли 200 мл толуола. Реакционную массу перемешивали в течение 30 минут при комнатной температуре. Наблюдали растворение гелеобразного осадка и отделение водного слоя. К реакционному раствору добавили 50 мл 5% водного раствора аммиака и массу перемешивали в течение 10 минут. Наблюдали изменение цвета реакционной массы от красного до оранжево-желтого.

[176]

Водный слой отделяли и экстрагировали толуолом трижды. Органический слой и толуольные экстракты объединили и промыли 5% водным раствором аммиака и водой до нейтральной реакции.

[177]

После этого к раствору соединения V в толуоле (~375 мл) при перемешивании добавили 150 мл метилэтилкетона, 30 мл (43,36 г, 23,847 г в 100% исчислении, 243,15 ммоль) 55% водного раствора серной кислоты и 10 г (90,11 ммоль) хлорида кальция. Реакционную массу выдерживали при комнатной температуре и интенсивном перемешивании в течение 1 ч. По окончании реакции дезаминирования реакционную массу перенесли в делительную воронку. Водный кислый слой, представляющий собой густую жидкость красного цвета, отделяли от органического слоя и экстрагировали толуолом трижды.

[178]

Органический слой и толуольные экстракты объединили, промывали последовательно 5 мл 55% водного раствора серной кислоты, водой до рН ~ 6-7 (порциями по 10 мл); 5 мл 5% водного раствора аммиака и водой до нейтральной реакции.

[179]

Толуольный раствор соединения VI после промывки осушали сульфатом натрия и осветляли активированным углем. Затем растворитель упарили (в вакууме или при атмосферном давлении). Остаток толуола удаляли методом азеотропной отгонки с этанолом.

[180]

После полного удаления толуола к остатку в кубе при температуре 50-60°С добавили 100 мл этанола и массу перемешивали при этой же температуре до полного растворения. Раствор соединения VI в этаноле, охлажденный до температуры 40-45°С, выливали тонкой струей в 500 мл воды при интенсивном перемешивании. Суспензию перемешивали в течение 30 мин при температуре 10-15°С, затем выдерживали без перемешивания в течение 2 ч при этой же температуре. Осадок отфильтровали и промывали водой до рН ~ 7 промывной воды, высушили до постоянного веса.

[181]

Получили 20,04 г (39,101 ммоль) 21-ацетокси-11-трифторацетилокси-6-метилен-гидрокортизона (VI) с выходом 97,85%. Т.пл. 190-192°С.

[182]

Вариант 2

[183]

К раствору 1,3 г (2,597 ммоль) 21-ацетокси-17α-гидрокси-11β-трифторацетилокси-прегн-4-ен-3,20 диона (III) в 2 мл (1,782 г, 12,024 ммоль) триэтилортоформиата добавили 16,9 мг (98,13 ммоль) п-ТСК. Реакционную массу выдерживали в токе сухого азота в течение 30 мин при комнатной температуре и добавили 0,56 мл (0,553 г, 5,16 ммоль) N-метиланилина и 0,52 мл (0,567 г, 0,21 г в 100% исчислении, 6,98 ммоль) водного 37% раствора формальдегида. Реакционную массу выдерживали в течение 1,5 ч. Затем добавили 1 мл (1,174 г) 35% соляной кислоты (0,411 г хлористого водорода, 11,27 ммоль) и перемешивали в течение 30 мин. После этого к реакционной массе добавили 50 мл этилацетата, перемешали интенсивно в течение 1-2 минут, перенесли в делительную воронку. Органический слой отделяли и промывали водой до нейтральной реакции, растворитель упаривали в вакууме. Остаток растворили в 5 мл метанола. Полученный раствор добавляли при перемешивании по каплям к 50 мл воды, охлажденной до температуры 5-10°С. Суспензию перемешивали при этой же температуре в течение 15 мин, осадок отфильтровали, промыли водой до рН ~ 7 промывной воды, высушили до постоянного веса. Получили 1,28 г технического продукта соединения VI, который перекристаллизовали из диэтилового эфира. Получили 1,16 г (2,263 ммоль) соединения VI с выходом 87,15%, т.пл. 189-191°С.

[184]

Вариант 3

[185]

К суспензии 10 г (19,98 ммоль) 21-ацетокси-11-трифторацетилокси-гидрокортизона (III) в 15 мл (14,514 г, 136,77 ммоль) триметилортоформиата добавили 0,26 г (1,51 ммоль) п-ТСК и перемешали в токе аргона при комнатной температуре в течение 15 мин. При этом наблюдали растворение осадка соединения III.

[186]

По окончании реакции подачу инертного газа прекращали и добавили медленно по каплям 4,3 мл (4,244 г, 39,607 ммоль) N-метиланилина, 15 мл толуола и 4,0 мл (4,36 г, 1,613 г в 100% исчислении, 53,72 ммоль) 37% водного раствора формальдегида. Реакционную массу перемешивали при комнатной температуре в течение 2 ч.

[187]

Затем к реакционному раствору добавили 7,7 мл (9,04 г, 3,164 г хлористого водорода, 86,778 ммоль) 35% соляной кислоты и массу интенсивно перемешивали в течение 30 мин.

[188]

По окончании реакции дезаминирования реакционную массу перенесли в делительную воронку. Водный слой отделили и экстрагировали толуолом трижды. Органический слой и толуольные экстракты объединили и промыли водой до рН ~ 6-7 порциями по 10-15 мл, 5 мл 0,5% водного раствора аммиака, а затем водой до нейтральной реакции.

[189]

Толуольный раствор соединения VI после промывки осушили сульфатом натрия и осветлили активированным углем. Затем растворитель упарили в вакууме, удаляя остаток толуола метанолом.

[190]

После полного удаления толуола к остатку в колбе добавили 20 мл метанола и 100 мл воды при интенсивном перемешивании. Суспензию перемешивали в течение 30 мин при температуре 10-15°С, затем выдерживали без перемешивания в течение 2 ч при этой же температуре. Осадок отфильтровали и промыли водой до рН ~ 7 промывной воды, высушили до постоянного веса.

[191]

Получили 8,28 г (16,156 ммоль) 21-ацетокси-11-трифторацетилокси-6-метилен-гидрокортизона (VI) с выходом 80,86%.

[192]

Вариант 4

[193]

К суспензии 1 г (1,998 ммоль) 21-ацетокси-11-трифторацетилокси-гидрокортизона (III) в 1 мл (0,891 г, 6,012 ммоль) триэтилортоформиата добавили 5 мл толуола и 0,026 г (0,151 ммоль) п-ТСК и перемешали в токе аргона при комнатной температуре в течение 15 мин.

[194]

По окончании реакции подачу инертного газа прекращали и добавили медленно по каплям 0,43 мл (0,424 г, 3,961 ммоль) N-метиланилина, и 0,4 мл (0,436 г, 0,161 г в 100% исчислении, 5,372 ммоль) 37% водного раствора формальдегида. Реакционную массу перемешивали при комнатной температуре в течение 2 ч.

[195]

Затем к реакционному раствору добавили 0,77 мл (0,904 г, 0,316 г хлористого водорода, 8,678 ммоль) 35% соляной кислоты и массу интенсивно перемешивали в течение 30 мин.

[196]

По окончании реакции дезаминирования реакционную массу разбавили 5 мл толуола и перенесли в делительную воронку. Водный слой отделили и экстрагировали толуолом трижды. Органический слой и толуольные экстракты объединили и промыли водой до рН ~ 6-7 трижды порциями по 5 мл, 1 мл 0,1% водного раствора аммиака, а затем водой до нейтральной реакции трижды порциями по 5 мл.

[197]

Толуольный раствор соединения VI после промывки осушили сульфатом натрия и осветлили активированным углем. Затем растворитель упарили в вакууме, удаляя остаток толуола метанолом.

[198]

После полного удаления толуола к остатку в колбе добавили 2,5 мл метанола и 25 мл воды при интенсивном перемешивании. Суспензию перемешивали в течение 30 мин при температуре 10-15°С, затем выдерживали без перемешивания в течение 2 ч при этой же температуре. Осадок отфильтровали и промыли водой до рН ~ 7 промывной воды, высушили до постоянного веса.

[199]

Получили 0,84 г (1,639 ммоль) 21-ацетокси-11-трифторацетилокси-6-метилен-гидрокортизона (VI) с выходом 82,03%.

[200]

Вариант 5

[201]

К суспензии 3 г (5,994 ммоль) 21-ацетокси-11-трифторацетилокси-гидрокортизона (III) в 3 мл (2,903 г, 1,804 ммоль) триметилортоформиата добавили 3 мл толуола и 0,075 г (0,436 ммоль) п-ТСК и перемешали в токе аргона при комнатной температуре в течение 15 мин.

[202]

По окончании реакции подачу инертного газа прекращали и добавили медленно по каплям 1,29 мл (1,272 г, 11,883 ммоль) N-метиланилина, 1,2 мл (1,308 г, 0,483 г в 100% исчислении, 16,116 ммоль) 37% водного раствора формальдегида и 15 мл толуола. Реакционную массу интенсивно перемешивали при комнатной температуре в течение 2 ч.

[203]

Затем к реакционному раствору добавили 2,31 мл (2,712 г, 0,948 г хлористого водорода, 26,034 ммоль) 35% соляной кислоты 3 г хлорида лития (70,034 ммоль) и массу интенсивно перемешивали в течение 30 мин.

[204]

По окончании реакции дезаминирования реакционную массу обрабатывали так же, как в варианте 4.

[205]

Получили 2,78 г (5,424 ммоль) 21-ацетокси-11-трифторацетилокси-6-метилен-гидрокортизона (VI) с выходом 90,48%.

[206]

Пример 9. Получение 21-ацетокси-17α-гидрокси-11β-трифторацетилокси-6-метилпрегна-4,6-диен-3,20-диона (VII)

[207]

К раствору 1 г (1.951 ммоль) 21-ацетокси-11-трифторацетилокси-6-метиленгидрокортизона (VI) в 25 мл 96% этанола добавили 0,05 г катализатора (Pd/C или PdO/C) и 0.12 г безводного ацетата натрия. Смесь нагрели до кипения и добавили 0.1 мл циклогексена. Реакционную массу кипятили при перемешивании в течение 0.5 ч. Контроль за протеканием реакции осуществляли при помощи УФ-спектроскопии по соотношению D286/D258, которое должно быть не менее 2.6-3.0, а также по соотношению D286/D239, которое должно быть не менее 3.5-4.0. При таком соотношении оптических плотностей примеси соединений VI и VIII не должны превышать 1 и 2% соответственно.

[208]

По окончании изомеризации горячую суспензию фильтровали, шлам катализатора промывали 5 мл горячего этанола в два приема. Реакционную массу добавляли медленно по каплям к 300 мл воды, охлажденной до температуры 0-2°С. Осадок отфильтровывали, промывали водой до нейтральной реакции, сушили до постоянного веса.

[209]

Получили 0.942 г (1.834 ммоль) 21-ацетокси-11-трифторацетилокси-6-метилпрегна-4,6-диен-3,20-диона (VII) с выходом 94.2%. Т. пл. 219-221°С (с разл.). ЯМР1Н (400 МГц, CDCl3, δ, м.д.): 6.01 (1Н, уш.с, Н-7), 5.85 (1Н, с, Н-4), 5.65 (1H, м, Н-11), 5.07 (1Н, д, J=17.4 Гц, Н-21), 4.70 (1H, д, J=17.4 Гц, Н-21), 2.16 (3Н, с, СН3С(O)), 1.87 (3Н, с, 6-СН3), 1.20 (3Н, с, Н-19), 0.86 (3Н, с, Н-18). ЯМР13С (100.6 MHz, CDCl3, δ, м.д.): 204.9, 199.4, 170.6, 163.9, 137.3, 131.5, 120.6, 115.7, 88.8, 74.9, 67.7, 52.0, 49.0, 47.8, 35.9, 35.2, 34.6, 33.6, 33.5, 33.2, 23.0, 20.5, 19.9, 18.7, 16.1.

[210]

Пример 10. Получение 21-ацетокси-17α-гидрокси-11β-трифторацетилокси-6α-метилпрегн-4-ен-20-она (VIII)

[211]

Вариант 1

[212]

К раствору 15,1 г (29,463 ммоль) 21-ацетокси-11-трифторацетилокси-6-метиленгидрокортизона (VI) в смеси 150 мл 96% этанола и 150 мл уксусной кислоты добавили 3,02 г катализатора (Pd/C или PdO/C). Смесь нагревали до кипения и через капельную воронку добавляли 45 мл циклогексена в течение 5 мин. Реакционную массу кипятили при перемешивании в течение 1,5-2 ч. Контроль за протеканием реакции осуществляли при помощи УФ-спектроскопии по соотношению D239/D286, которое должно быть не менее 10 (спектрофотометр Perkin Elmer Lambda 40). При таком соотношении оптических плотностей примесь соединения VII не должна превышать 1%.

[213]

По окончании реакции горячую суспензию фильтровали, шлам катализатора промывали на фильтре горячим этанолом (40-50°С) в два приема порциями по 5 мл. К фильтрату добавили 0,2 мл (0,235 г, 0,0823 г хлористого водорода, 2,254 ммоль) 35% соляной кислоты для проведения реакции изомеризации 6β-метильной группы соединения VIIIa в 6α-метильную. Реакционную массу перемешивали при комнатной температуре в течение 30 мин. Контроль содержания 6β-изомера осуществляли с помощью метода ВЭЖХ. По окончании изомеризации реакционную массу упаривали в вакууме на ротационном испарителе до остаточного объема ~ 80 мл. Остаток, представляющий собой раствор продукта в уксусной кислоте, добавляли медленно по каплям к 800 мл воды, охлажденной до температуры 0-2°С. Осадок отфильтровали, промыли водой до рН 7, высушили до постоянного веса.

[214]

Получили 14,52 г (28,22 ммоль) 21-ацетокси-11-трифторацетилокси-6α-метилгидрокортизона (VIII) с выходом 95,78% и т.пл. 113-114°C. ЯМР1Н (400 МГц, CDCl3, δ, м.д.): 5.74 (1Н, с, Н-4), 5.67 (1Н, м, Н-11), 5.06 (1H, д, J=17.4 Гц, Н-21), 4.67 (1Н, д, J=17.4 Гц, Н-21), 2.15 (3Н, с, СН3С(O)), 1.24 (3Н, с, Н-19), 1.07 (3Н, д, J=6.3 Гц, 6-СН3), 0.81 (3Н, с, Н-18).

[215]

Вариант 2

[216]

В условиях варианта 1 из 500 мг (0,976 ммоль) 21-ацетокси-11-трифторацетилокси-6-метилпрегна-4,6-диен-3,20-диона (VII) получили 460 мг (0.894 ммоль) с выходом 91.6%. Т.пл. 112-114°С.

[217]

Пример 11. Получение 17α,21-дигидрокси-11β-трифторацетилокси-6α-метилпрегн-4-ен-3,20-диона (11-трифторацетата 6α-метилгидрокортизона, IX).

[218]

Вариант 1

[219]

К раствору 2 г (3,902 ммоль) 21-ацетокси-17α-гидрокси-11β-трифторацетилокси-6-метиленпрегн-4-ен-3,20-диона (VI) в смеси 20 мл этанола и 20 мл уксусной кислоты добавляли при перемешивании 0,4 г PdO/C. Суспензию нагревали до температуры кипения и добавляли по каплям 6 мл циклогексена в течение 20 мин. После добавления циклогексена реакционную массу кипятили в течение 4 ч. По окончании реакции катализатор отфильтровали, промыли на фильтре 4 мл теплого этанола (40-50°С). Растворитель упарили до объема ~ 4 мл. Затем остаток по каплям добавили к 30 мл холодной воды. Осадок отфильтровали, промыли водой до нейтральной реакции. Полученный влажный осадок смеси изомеров (VIII и VIIIa) растворили в 80 мл метанола и добавили 0,8 мл 35% соляной кислоты. Реакционную массу выдерживали при температуре 50-60°С в течение 2 ч. По окончании реакции реакционный раствор разбавили 80 мл воды. Суспензию выдерживали при температуре 10°С в течение 2 ч. Осадок отфильтровали, промыли водой до рН 7, высушили до постоянного веса. После очистки получили 1.564 г (3,31 ммоль) 11-трифторацетилокси-6α-метилгидрокортизона (IX) с выходом 84,8% и т.пл. 130-132°С. ЯМР1H (400 МГц, CDCl3, δ, м.д.): 5.74 (1Н, д, J=1.5 Гц, Н-4), 5.67 (1H, м, Н-11), 4.63 (1Н, дд, J=4.5, 19.9 Гц, Н-21), 4.23 (1H, дд, J=4.5, 19.9 Гц, Н-21), 1.24 (3Н, с, Н-19), 1.07 (3Н, д, J=6.4 Гц, 6-СН3), 0.80 (3Н, с, Н-18).

[220]

Вариант 2

[221]

К раствору 0,1 г (0,194 ммоль) 21-ацетокси-17α-гидрокси-11β-трифторацетилокси-6α-метилпрегн-4-ен-3,20-диона (VIII) в 2 мл метанола добавили 0,5 мл воды и 0,1 мл (0,117 г, 0,041 хлористого водорода, 1,127 ммоль) 35% соляной кислоты. Реакционную смесь перемешивали при комнатной температуре. По окончании реакции добавили 10 мл воды. Суспензию выдерживали при температуре 10°С в течение 2 ч. Осадок отфильтровали, промыли водой до рН 7, высушили до постоянного веса. Получили 0,07 г (0,148 ммоль) соединения IX с выходом 76,3%.

[222]

Пример 12. Получение 6α-Метилгидрокортизона (I)

[223]

Вариант 1

[224]

К раствору 2 г (3,887 ммоль) 21-ацетокси-11-трифторацетилокси-6α-метилгидрокортизона (VIII) в 10 мл метанола в токе азота медленно добавляли 2 мл (2,218 г, 0,222 г NaOH, 5,545 ммоль) 10% водного раствора гидроокиси натрия при комнатной температуре в течение 30-40 мин, периодически контролируя значение рН реакционной массы (рН должен быть не более 8). Реакционную массу выдерживали при комнатной температуре в токе азота в течение 15 мин.

[225]

По окончании реакции реакционную массу нейтрализовали 5% раствором соляной кислоты и добавили 20 мл насыщенного водного раствора хлористого натрия. Реакционную массу перемешивали 5 мин, затем добавили 50 мл этиацетата, перемешали интенсивно в течение 1-2 мин и перенесли в делительную воронку. Органический слой отделили, водный экстрагировали дважды этилацетатом. Объединенные экстракты (~100 мл) промывали дважды по 5 мл насыщенного раствора хлористого натрия и затем водой до нейтральной реакции. Затем раствор обрабатывали активированным углем. Растворитель упарили в вакууме до прекращения погона. К остатку добавили 20 мл диэтилового эфира. Суспензию кипятили в течение 30 мин, охлаждали до комнатной температуры. Осадок отфильтровали, промыли на фильтре 10 мл эфира, высушили до постоянного веса. Получили 1,253 г (3,328 ммоль) 6α-метилгидрокортизона (I) с выходом 85,6%. Т.пл. 204-206°С. ЯМР1Н (400 МГц, DMSO-d6, δ, м.д.): 5.49 (1H, с, Н-4), 5.16 (1Н, с, 17-ОН), 4.64 (1Н, t, J=5.6 Гц, 21-ОН), 4.49 (1Н, дд, J=5.1, 19.3 Гц, Н-21), 4.28 (1Н, уш.с., 11-ОН), 4.24 (1H, м, Н-11), 4.06 (1H, дд, J=5.1, 19.3 Гц, Н-21), 1.33 (3Н, с, Н-19), 0.97 (3Н, д, J=6.4, 6-СН3), 0.74 (3Н, с, Н-18).

[226]

Вариант 2

[227]

В условиях варианта 1 из 1 г (2,116 ммоль) 11-трифторацетилокси-6α-метилгидрокортизона (IX) получили 0,69 г (1,833 ммоль) 6α-метилгидрокортизона (I) с выходом 86,6%. Т.пл. 203-205°С.

Как компенсировать расходы
на инновационную разработку
Похожие патенты