Изобретение относится к медицине, а именно к кардиологии, и касается выбора наиболее эффективного антиаритмического препарата для больных с экстрасистолией. Это достигается тем, что больному с экстрасистолией однократно поочередно вводят тестируемые антиаритмические препараты. Каждый последующий препарат вводят через 3-5 периодов полувыведения предыдущего. До и после начала действия исследуемого антиаритмического препарата, определяемого как полупериод его полувыведения, проводят ЭКГ исследование. При этом определяют линейное отклонение корригированного предэктопического интервала отдельно для лево- и правожелудочковой экстрасистолии, наджелудочковой экстрасистолии не менее чем в 20 экстрасистолах. Затем рассчитывают индекс экстрасистолии по формуле и при наибольшем увеличении индекса экстрасистолии, по сравнению с исходными величинами, определяют исследуемый антиаритмический препарат как наиболее эффективный. Способ обеспечивает значительное сокращение времени выбора препарата в каждом конкретном случае лечения экстрасистолии. 4 пр., 12 табл.
Способ выбора наиболее эффективного антиаритмического препарата для больных с экстрасистолией, заключающийся в тестировании антиаритмических препаратов, выполнении электрокардиографического исследования, отличающийся тем, что определяют линейное отклонение (ЛО) корригированного предэктопического интервала (ПДИкор.) отдельно для лево- и правожелудочковой экстрасистолии (ЛЖЭ и ПЖЭ), наджелудочковой экстрасистолии (НЭ), причем вышеуказанное ЛО ПДИкор. определяют не менее чем в 20 экстрасистолах, затем тестируемые антиаритмические препараты вводят поочередно однократно, причем каждый последующий препарат вводят через 3-5 периодов полувыведения предыдущего, до введения каждого из тестируемых антиаритмических препаратов и после начала его действия, определяемого как полупериод его полувыведения, дополнительно рассчитывают индекс экстрасистолии по формуле отдельно для ЛЖЭ, ПЖЭ и НЭ: где ИЭ - индекс экстрасистолии, A - ЛО ПДИкор. не менее чем в 20 ЛЖЭ, ПЖЭ, НЭ, B - число экстрасистол, используемых для исследования, выраженное в количестве экстрасистол в час, и при наибольшем увеличении ИЭ, по сравнению с исходными величинами, определяют тестируемый антиаритмический препарат как наиболее эффективный для больных с экстрасистолией.
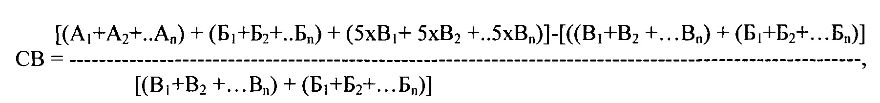
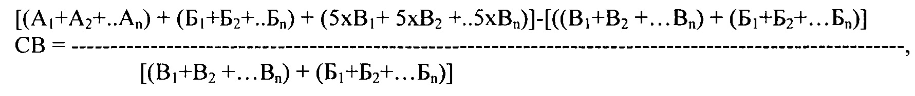
Изобретение относится к области медицины, а именно к кардиологии, в частности к способам выбора наиболее эффективного антиаритмического препарата для больных с экстрасистолией. В широко распространенном способе выбора эффективного антиаритмического препарата для больных с экстрасистолией учитывается основное заболевание, на фоне которого развилась аритмия, характер экстрасистолии (желудочковая или наджелудочковая), ее прогностическая оценка, например, в отношении развития жизнеугрожающих аритмий или внезапной смерти, наличия противопоказаний и возможное развитие побочных эффектов [Мазур Н.А. Пароксизмальные тахикардии. - М.: ИД Медпрактика-М, 2005. - 252 с., Кардиология: национальное руководство / под ред. Е.В. Шляхто. - 2 издание дополненное и переработанное. М.: ГЭОТАРМедиа, 2015. - 800 с.]. Известен также способ выбора дифференцированной антиаритмической терапии (ААТ) желудочковых нарушений сердечного ритма в зависимости от механизма их развития, заключающегося в том, что при выявлении триггерного механизма желудочковой экстрасистолии наиболее эффективными для ее купирования являются препараты II(IV) классов, а при определении re-entry - препараты III(I) классов [А.И. Олесин, А.В. Шабров, А.В. Козий, К.А. Полянская, Е.В. Семенова Возможность выбора дифференцированной терапии желудочковых нарушений сердечного ритма в зависимости от механизма их развития // Вестник СПбГМА им. И.И. Мечникова. - 2005. - №4. - С. 66-69]. Недостатком аналогов является отсутствие независимых предикторов для выбора наиболее эффективного антиаритмического препарата для больных с экстрасистолией. В качестве прототипа по наиболее близкой технической сущности нами выбран способ выбора наиболее эффективного антиаритмического препарата для больных с экстрасистолией, заключающийся в тестировании антиаритмических препаратов. Проводят суточное мониторирование электрокардиограммы (ЭКГ) до приема больным противоаритмического препарата и через 5-7 дня после его приема. Препаратом выбора является тот, после приема которого наблюдается уменьшение числа экстрасистол на 75% и более в сравнении с их исходной частотой, а также устранение парных, групповых экстрасистол, причем при отсутствие эффекта одного препарата, каждый последующий препарат тестируется, как минимум, через 5 периодов полувыведения предыдущего [Кушаковский М.С. Аритмии сердца: руководство для врачей / М.С. Кушаковский. - 3-е изд, испр. и доп. - СПб.: Фолиант, 2004. - 672 с.]. Недостатком способа, выбранного нами в качестве прототипа, является длительность выбора наиболее эффективного антиаритмического препарата для больных с экстрасистолией, составляющая для тестирования одного препарата 5-7 дней. Техническим результатом изобретения является сокращение времени выбора наиболее эффективного антиаритмического препарата для больных с экстрасистолией. Технический результат изобретения достигается тем, что больному с экстрасистолией однократно поочередно вводят тестируемые антиаритмические препараты, причем каждый последующий препарат вводят через 3-5 периодов полувыведения предыдущего. До и после начала действия исследуемого антиаритмического препарата, определяемого как полупериод его полувыведения, проводят ЭКГ исследование и определяют ЛО ПДИкор. отдельно для лево- и правожелудочковой экстрасистолии (ЛЖЭ и ПЖЭ), наджелудочковой экстрасистолии (НЭ) не менее чем в 20 экстрасистолах. Затем рассчитывают индекс экстрасистолии по формуле: где ИЭ - индекс экстрасистолии, А - ЛО ПДИкор. не менее чем в 20 ЛЖЭ, ПЖЭ, НЭ, В - число экстрасистол, используемых для исследования, выраженное в количестве экстрасистол в час. При наибольшем увеличении ИЭ, по сравнению с исходными величинами, определяют исследуемый антиаритмический препарат как наиболее эффективный для больных с экстрасистолией. Способ осуществляется следующим образом: До и после начала действия исследуемого антиаритмического препарата, определяемого как полупериод его полувыведения, больному проводят ЭКГ исследование. Затем определяют ЛО ПДИкор. отдельно для ЛЖЭ, ПЖЭ и НЭ не менее чем в 20 экстрасистолах. Затем рассчитывают ИЭ отдельно для ЛЖЭ, ПЖЭ и НЭ по формуле: где ИЭ - индекс экстрасистолии, А - ЛО ПДИкор. не менее чем в 20 ЛЖЭ, ПЖЭ, НЭ, В - число экстрасистол, используемых для исследования, выраженное в количестве экстрасистол в час, и при наибольшем увеличении ИЭ по сравнению с исходными величинами определяют исследуемый антиаритмический препарат как наиболее эффективный для больных с экстрасистолией. Каждый последующий антиаритмический препарат вводят через 3-5 периодов полувыведения предыдущего. Существенные отличительные признаки заявляемого способа и причинно-следственная связь между ними и достигаемым результатом: - у больного с экстрасистолией определяют ЛО ПДИкор. отдельно для ЛЖЭ, ПЖЭ и НЭ не менее чем в 20 экстрасистолах; - ИЭ рассчитывают отдельно для ЛЖЭ, ПЖЭ и НЭ до и после начала действия исследуемого антиаритмического препарата, определяемого как полупериод его полувыведения, по формуле: где ИЭ - индекс экстрасистолии, А - ЛО ПДИкор. не менее чем в 20 ЛЖЭ, ПЖЭ, НЭ, В - число экстрасистол, используемых для исследования, выраженное в количестве экстрасистол в час; - каждый последующий препарат тестируют через 3-5 периодов полувыведения предыдущего; - при наибольшем увеличении ИЭ по сравнению с исходными величинами выбирают тестируемый антиаритмический препарат как наиболее эффективный для больных с экстрасистолией. В настоящее время известно, что любые заболевания кардиоваскулярной системы могут вызвать прогрессирующее «структурное и/или электрическое ремоделирование» миокарда предсердий и/или желудочков, способствующее появлению желудочковой и/или НЭ [Бокерия Л.А. Лекции по кардиологии / Л.А. Бокерия, Е.З. Голухова. - М., 2002. - 296 с, Braunwald's Heart Disease: a textbook of cardiovascular medicine/ Ed. by P.Libby et al. - Phyladelfhia, W.B. Saunders Company, 2007. - 2183 p.]. Развитие желудочковой и/или наджелудочковой экстрасистолии может быть обусловлено различными клеточными механизмами: наличием триггерной активности (ранней или задержанной постдеполяризации), re-entry и т.д. [Braunwald's Heart Disease: a textbook of cardiovascular medicine / Ed. by P. Libby et al. - Phyladelfhia, W.B. Saunders Company, 2007. - 2183 p., Antzelevitch C, Burashnikov A. Overview of Basic Mechanisms of Cardiac Arrhythmia. Card. Electrophysiol. Clin. 2011; 3(1):23-45]. Например, эктопия, обусловленная задержанной постдеполяризацией, обычно связана с гиперполяризацией клеточных мембран кардиомиоцитов в пределах 60-70 mV, что косвенно отражает обратимый характер нарушения функции кардиомиоцитов, причем ее индукция может являться результатом стресса, вегетативного или электролитного дисбаланса, ишемии миокарда и т.д., а после устранения причины ее частота, как правило, уменьшается или она купируется [Braunwald's Heart Disease: a textbook of cardiovascular medicine / Ed. by P. Libby et al. - Phyladelfhia, W.B. Saunders Company, 2007. - 2183 p., Antzelevitch C, Burashnikov A. Overview of Basic Mechanisms of Cardiac Arrhythmia. Card. Electrophysiol. Clin. 2011; 3(1):23-45]. Между тем, при прогрессирующей гиперполяризации мембран кардиомиоцитов, например от -50 до -60 mV, отмечается локальное замедление распространения возбуждения с формированием в этой области однонаправленного блока проведения, приводящего к развитию re-entry. Возникновение этого механизма аритмии в большинстве случаев связано с более глубокими метаболическими нарушениями и/или в результате органического поражения кардиомиоцитов, которые, в конечном итоге, могут сформировать анатомический субстрат в предсердиях или желудочков, предрасполагающий появлению экстрасистолии [Braunwald's Heart Disease: a textbook of cardiovascular medicine / Ed. by P. Libby et al. - Phyladelfhia, W.B. Saunders Company, 2007. - 2183 p., Antzelevitch C, Burashnikov A. Overview of Basic Mechanisms of Cardiac Arrhythmia. Card. Electrophysiol. Clin. 2011; 3(1):23-45]. Кроме того, источником ПЭ может быть эктопический очаг в миокарде предсердий или легочных венах [Бокерия Л.А. Лекции по кардиологии / Л.А. Бокерия, Е.З. Голухова. - М., 2002. - 296 с.]. Уменьшение соотношения ЛО ПДИкор. не менее чем в 20 НЭ, отнесенное к числу НЭ, используемых для исследования, выраженное в количестве экстрасистол в час, свидетельствует о наличии фиксированного эктопического очага в предсердиях и (или) развития циркуляции возбуждения (re-entry) в миокарде предсердий, причем использование определения ПДИкор. в не менее чем 20 экстрасистолах обусловлено тем, что это количество интервалов ПДИкор., взятых для исследования, исключает наличие ложноположительных данных в оценке ЛО ПДИкор. НЭ [Гланц С. Медико-биологическая статистика. Пер. с англ. - М., Практика, 1998. - 459 с.]. Ранее проведенные клинико-экспериментальные исследования показали, что выявленные показатели ЛО ПДИкор. экстрасистолии, например ≤10 мс, косвенно подтверждают механизмы re-entry и/или формирование патологического эктопического очага, а большая вариабельность этого показателя - наличие триггерных механизмов [Олесин А.И., Коновалова О.А., Козий А.В. и соавт. Желудочковая экстрасистолия у больных острым коронарным синдромом без подъема сегмента ST: оценка риска развития жизнеугрожающих желудочковых аритмий (клинико-экспериментальное исследование. Российский кардиологический журнал. 2009; 1:24-31]. После формирования фронта волны возбуждения, например, при развитии экстрасистолии по механизму «re-entry», после использования противоаритмических средств она фракционируется, разделяется на дочерние волны, каждая из которых становится независимой, что приводит к появлению на ЭКГ различных ПДИкор. экстрасистолии и затем, когда, в конечном итоге, вместо одностороннего блока, развивается полный блок проведения, аритмия купируется или наблюдается урежение экстрасистолии, в то время как применение антиаритмической терапии (ААТ) на эктопический очаг обычно неэффективно [Braunwald's Heart Disease: a textbook of cardiovascular medicine / Ed. by P. Libby et al. - Phyladelfhia, W.B. Saunders Company, 2007. - 2183 р., Antzelevitch С. Burashnikov A. Overview of Basic Mechanisms of Cardiac Arrhythmia. Card. Electrophysiol. Clin. 2011; 3(1):23-45]. В широко распространенном методе выбора эффективного антиаритмического препарата для больных с экстрасистолией учитывается основное заболевание, на фоне которого развилась аритмия, характер экстрасистолии (желудочковая или наджелудочковая), ее прогностическая оценка, например, в отношении развития жизнеугрожающих аритмий или внезапной смерти, наличия противопоказаний и возможное развитие побочных эффектов [Мазур Н.А. Пароксизмальные тахикардии. - М.: ИД Медпрактика-М, 2005. - 252 с., Кардиология: национальное руководство / под ред. Е.В. Шляхто. - 2 издание дополненное и переработанное. М.: ГЭОТАР-Медиа, 2015. - 800 с.]. Следует отметить, что у больных с однородной аритмией и сходной основной патологией индивидуальная чувствительность к антиаритмическим препаратам различная [Кардиология: национальное руководство / под ред. Е.В. Шляхто. - 2 издание дополненное и переработанное. М.: ГЭОТАР-Медиа, 2015. - 800 с.] Начало действия фармакологических антиаритмических препаратов определяют как полупериод их полувыведения, так как положительный клинический антиаритмический эффект начинает проявляться в течение полупериода полувыведения после применения противоаритмических средств [Braunwald's Heart Disease: a textbook of cardiovascular medicine / Ed. by P.Libby et al. - Phyladelfhia, W.B. Saunders Company, 2007. - Р. 799-830]. Каждый последующий тестируемый антиаритмический препарат вводят через 3-5 периодов полувыведения предыдущего, так как через 3-5 периодов полувыведения лекарственного препарата выводится как основной тестируемый препарат, так и его метаболиты [Braunwald's Heart Disease: а textbook of cardiovascular medicine / Ed. by P. Libby et al. - Phyladelfhia, W.B. Saunders Company, 2007. - Р. 799-830]. Совокупность отличительных существенных признаков является новой и позволяет сократить время выбора наиболее эффективного антиаритмического препарата для больных с экстрасистолией. Для иллюстрации заявляемого способа приводим примеры из клинической практики: Пример 1. Больной А., 47 лет, поступил в дневной стационар 22.09.2016 г. по направлению участкового врача по поводу частой желудочковой экстрасистолии. Из анамнеза известно, что больной страдает гипертонической болезнью в течение последних 4-5 лет. Постоянно принимает индапамид 2,5 мг в день. В последние 3-4 недели стал отмечать появление перебоев в работе сердца. При суточном мониторировании ЭКГ, выполненном амбулаторно 10.09.2016 г., было выявлено 1270 одиночных мономорфных ПЖЭ в среднем с частотой до 51 экстрасистол в час. Амбулаторно больному последовательно был назначен метопролол в дозе 75 мг в сутки, затем соталол - 160 мг в сутки. Каждый препарат пациент принимал 5-6 дней с последующим проведением суточного мониторирования ЭКГ, однако положительного эффекта выявлено не было: после приема метопролола и соталола в вышеуказанных дозах отмечалось уменьшение количества экстрасистол на 15% и 23% в сравнении с исходными данными. При суточном мониторировании ЭКГ, выполненном амбулаторно 21.09.2016 г., было выявлено 1286 одиночных мономорфных ПЖЭ в среднем с частотой до 52 экстрасистол в час. На второй день пребывания больного в стационаре в 10 ч была проведена регистрация ЭКГ одновременно в 12 стандартных отведениях с помощью компьютерного комплекса «Полиспектр-ритм» (фирма «Нейрософт», г. Иваново). При регистрации ЭКГ в течение 30 минут было выявлено 32 ПЖЭ. Затем было рассчитано ЛО ПДИкор., составившее 12 мс и ИЭ по формуле: где ИЭ - индекс экстрасистолии, А - ЛО ПДИкор. не менее чем в 20 ПЖЭ, В - число экстрасистол, используемых для исследования, выраженное в количестве экстрасистол в час. где ИЭ - индекс экстрасистолии, в числителе - ЛО ПДИкор., составившее 12 мс в 32 ПЖЭ, в знаменателе - число экстрасистол, используемых для исследования, выраженное в количестве экстрасистол в час и составившее 64 в час. Больному был внутривенно введен пропафенон в дозе 140 мг с последующей регистрацией ЭКГ одновременно в 12 стандартных отведениях с помощью компьютерного комплекса «Полиспектр-ритм» (фирма «Нейрософт», г. Иваново) через 15 минут после введения препарата. При регистрации ЭКГ после введения пропафенона в течение 60 минут было выявлено 22 ПЖЭ. Затем было рассчитано ЛО ПДИкор., составившее 34 мс, и ИЭ по формуле: где ИЭ - индекс экстрасистолии, А - ЛО ПДИкор. не менее чем в 20 ПЖЭ, В - число экстрасистол, используемых для исследования, выраженное в количестве экстрасистол в час. где ИЭ - индекс экстрасистолии, в числителе - ЛО ПДИкор., составившее 32 мс в 22 ПЖЭ, в знаменателе - число экстрасистол, используемых для исследования, выраженное в количестве экстрасистол в час и составившее 22 в час. После применения пропафенона отмечалось увеличение ИЭ в 7,22 раза в сравнении с исходными данными. Затем больному А., 47 лет последовательно, ежедневно было проведено тестирование противоаритмических препаратов - пропранолол в дозе 40 мг, метопролол в дозе 50 мг, карведиол в дозе 50 мг, аллапинин в дозе 25 мг, дизопирамид в дозе 200 мг в сутки, соталол в дозе 80 мг, внутривенно - амиодарон в дозе 300 мг. Следует отметить, что каждый последующий препарат тестировался, как минимум, через три периода полу выведения предыдущего. Результаты тестирования антиаритмических препаратов у больного А., 47 лет представлены в таблице №1. Примечание: * - исследования проводились через полупериод полувыведения препарата, ΔМ% - изменения ИЭ после введения препарата в сравнении с исходными данными (в %). Как видно из представленных данных, наибольшее увеличение ИЭ отмечалось при тестировании пропафенона. Длительность выбора наиболее эффективного антиаритмического препарата у больного А., 47 лет составляет 7,1 дней. В последующем было проведено тестирование противоаритмических препаратов, согласно прототипу: пропранолол в дозе 120 мг в сутки, метопролол дозе 100 в сутки соответственно, карведиол в дозе 50 мг в сутки, аллапинин в дозе 75 мг в сутки, соталол в дозе 160 мг в сутки, пропафенон в дозе 450 мг в сутки и в последнюю очередь - амиодарона в дозе 800 мг в сутки. Длительность тестирования антиаритмических препаратов составила 5 дней, а амиодарона - 10 дней. Наилучший эффект был выявлен при тестировании пропафенона в дозе 450 мг в сутки - при проведении суточного мониторирования ЭКГ, было выявлено 47 ПЖЭ или около 2 экстрасистол в час, что соответствует уменьшению количества экстрасистол на 96% (табл. №2). Примечание: ΔМ% - изменения количества экстрасистол после тестирования препарата в сравнении с исходными данными (в %). Сокращение времени выбора наиболее эффективного антиаритмического препарата, согласно предлагаемому способу, в сравнении с прототипом, определялось по формуле: где СВ - сокращение времени выбора наиболее эффективного антиаритмического препарата (в %), n - количество исследуемых препаратов, А - длительность тестирования каждого препарата, согласно прототипу (в сутках), В - продолжительность полувыведения каждого препарата, согласно заявляемому способу (в сутках), Б - продолжительность проведения мониторирования ЭКГ (в сутках). Таким образом, использование заявляемого способа, в сравнении с прототипом, позволяет в 12,10 раза (или на 1210%) сократить время определения наиболее эффективного противоаритмического препарата для устранения ПЖЭ. Пример 2. Больной А., 27 лет, поступил в дневной стационар 19.01.2017 г. по направлению участкового врача по поводу частой желудочковой экстрасистолии. Из анамнеза известно, что ощущение сердцебиения, появление перебоев в работе сердца больной стал отмечать в течение последних 2-3 недель. При суточном мониторировании ЭКГ, выполненном амбулаторно 19.12.2016 г., было выявлено 12350 одиночных мономорфных ПЖЭ в среднем с частотой до 515 экстрасистол в час. Амбулаторно больному последовательно был назначен метопролол в дозе 75 мг в сутки, затем дополнительно к проводимой терапии - амиодарон 800 мг в сутки. Каждый препарат пациент принимал 3-7 дней с последующим проведением суточного мониторирования ЭКГ, однако положительного эффекта выявлено не было. На второй день пребывания больного в стационаре была проведена регистрация ЭКГ одновременно в 12 стандартных отведениях с помощью компьютерного комплекса «Полиспектр-ритм» (фирма «Нейрософт», г. Иваново). При регистрации ЭКГ в течение 10 минут было выявлено 54 ПЖЭ. Затем было рассчитано ЛО ПДИкор., составившее 12 мс и ИЭ по формуле: где ИЭ - индекс экстрасистолии, А - ЛО ПДИкор. не менее чем в 20 ПЖЭ, В - число экстрасистол, используемых для исследования, выраженное в количестве экстрасистол в час. где ИЭ - индекс экстрасистолии, в числителе - ЛО ПДИкор., составившее 10 мс в 54 ПЖЭ, в знаменателе - число экстрасистол, используемых для исследования, выраженное в количестве экстрасистол в час и составившее 324 в час. Больному был внутривенно введен пропафенон в дозе 140 мг с последующей регистрацией ЭКГ одновременно в 12 стандартных отведениях с помощью компьютерного комплекса «Полиспектр-ритм» (фирма «Нейрософт», г. Иваново) через 15 минут после введения препарата. При регистрации ЭКГ после введения пропафенона в течение 10 минут было выявлено 47 ПЖЭ. Затем было рассчитано ЛО ПДИкор., составившее 8 мс и ИЭ по формуле: где ИЭ - индекс экстрасистолии, А - ЛО ПДИкор. не менее чем в 20 ПЖЭ, В - число экстрасистол, используемых для исследования, выраженное в количестве экстрасистол в час. где ИЭ - индекс экстрасистолии, в числителе - ЛО ПДИкор., составившее 8 мс в 47 ПЖЭ, в знаменателе - число экстрасистол, используемых для исследования, выраженное в количестве экстрасистол в час и составившее 282 в час. После применения пропафенона отмечалось уменьшение ИЭ на 9,68% в сравнении с исходными данными. Препарат был неэффективен. Затем больному А., 27 лет последовательно, ежедневно было проведено тестирование противоаритмических препаратов - пропранолол в дозе 40 мг, метопролол в дозе 50 мг, карведиол в дозе 50 мг, аллапинин в дозе 25 мг, дизопирамид в дозе 200 мг в сутки, соталол в дозе 80 мг, амиодарон в дозе 300 мг. Следует отметить, что каждый последующий препарат тестировался, как минимум, через три периода полувыведения предыдущего. Результаты тестирования антиаритмических препаратов у больного А., 27 лет представлены в таблице №3. Примечание: * - исследования проводились через полупериод полувыведения препарата, ΔМ% - изменения ИЭ после введения препарата в сравнении с исходными данными (в %). Как видно из представленных данных, при тестировании антиаритмических средств не наблюдалось увеличения ИЭ, причем продолжительность тестирования, согласно предлагаемому способу составила 8,1 дней. В последующем было проведено тестирование противоаритмических средств, согласно прототипу: использовался пропранолол в дозе 120 мг в сутки, метопролол дозе 100 мг в сутки соответственно, карведиол в дозе 50 мг в сутки, аллапинин в дозе 75 мг в сутки, дизопирамид в дозе 400 мг в сутки, пропафенон в дозе 600 мг в сутки, соталол в дозе 160 мг в сутки, и в последнюю очередь - амиодарон в дозе 800 мг в сутки, а также комбинация препаратов - метопролол в дозе 100 мг в сутки + амиодарон в дозе 800 мг в сутки, пропафенон в дозе 450 мг в сутки + амиодарон в дозе 800 мг в сутки. Длительность тестирования антиаритмических средств и их комбинаций составила 5 дней, а амиодарона - 10 дней. Примечание: ΔМ% - изменения количества экстрасистол после тестирования препарата в сравнении с исходными данными (в %). При подборе как монопрепарата, так и комбинации противоаритмическх средств, согласно прототипу, положительный эффект не наблюдался (см. табл. №4). Сокращение времени выбора наиболее эффективного антиаритмического препарата, согласно предлагаемому способу, в сравнении с прототипом, определялось по формуле: где СВ - сокращение времени выбора наиболее эффективного антиаритмического препарата (в %), n - количество исследуемых препаратов, А - длительность тестирования каждого препарата, согласно прототипу (в сутках), В - продолжительность полувыведения каждого препарата, согласно предлагаемому способу (в сутках), Б продолжительность проведения мониторирования ЭКГ (в сутках). Таким образом, в 18 раз сократилось время выбора наиболее эффективного антиаритмического препарата по заявляемому способу, по сравнению с прототипом, у больного А., 27 лет. В последующем больному была проведена радиочастотная абляция и ПЖЭ была устранена. Пример 3. Больной Б., 58 лет, поступил в дневной стационар 21.10.2016 г. по направлению участкового врача по поводу частой желудочковой экстрасистолии. Из анамнеза известно, что больной страдает гипертонической болезнью в течение последних 14-16 лет. Постоянно принимает индапамид 2,5 мг в сутки, эналаприл 10 мг в сутки. В последние 1-2 недель стал отмечать появление перебоев в работе сердца. При суточном мониторировании ЭКГ, выполненном амбулаторно 19.09.2016 г., было выявлено 1550 одиночных полиморфных ЛЖЭ в среднем с частотой до 64 экстрасистол в час. Утром в 9 ч на второй день пребывания больного в стационаре была проведена регистрация ЭКГ одновременно в 12 стандартных отведениях с помощью компьютерного комплекса «Полиспектр-ритм» (фирма «Нейрософт», г. Иваново). При регистрации ЭКГ в течение 30 минут было выявлено 34 ЛЖЭ. Затем было рассчитано ЛО ПДИкор., составившее 54 мс и ИЭ по формуле: где ИЭ - индекс экстрасистолии, А - ЛО ПДИкор. не менее чем в 20 ПЖЭ, В - число экстрасистол, используемых для исследования, выраженное в количестве экстрасистол в час. где ИЭ - индекс экстрасистолии, в числителе - ЛО ПДИкор., составившее 54 мс в 32 ПЖЭ, в знаменателе - число экстрасистол, используемых для исследования, выраженное в количестве экстрасистол в час и составившее 68 в час. Больному был назначен соталол сублингвально в дозе 80 мг. Через час после приема препарата была проведена регистрация ЭКГ одновременно в 12 стандартных отведениях с помощью компьютерного комплекса «Полиспектр-ритм» (фирма «Нейрософт», г. Иваново). При регистрации ЭКГ после приема соталола в течение 60 минут было выявлено 25 ЛЖЭ. Затем было рассчитано ЛО ПДИкор., составившее 62 мс и ИЭ по формуле: где ИЭ - индекс экстрасистолии, А - ЛО ПДИкор. не менее чем в 20 ПЖЭ, В - число экстрасистол, используемых для исследования, выраженное в количестве экстрасистол в час. где ИЭ - индекс экстрасистолии, в числителе - ЛО ПДИкор., составившее 62 мс в 22 ПЖЭ, в знаменателе - число экстрасистол, используемых для исследования, выраженное в количестве экстрасистол в час и составившее 25 в час. После применения соталола отмечалось увеличение ИЭ в 2,12 раза в сравнении с исходными данными. Затем больному Б., 58 лет последовательно, ежедневно было проведено тестирование противоаритмических препаратов - пропранолол в дозе 40 мг, метопролол в дозе 50 мг, карведиол в дозе 50 мг, аллапинин в дозе 25 мг, дизопирамид в дозе 200 мг в сутки, этмозин в дозе 50 мг, внутривенно - пропафенон в дозе 140 мг, амиодарон в дозе 300 мг. Следует отметить, что каждый последующий препарат тестировался, как минимум, через три периода полувыведения предыдущего. Результаты тестирования антиаритмических препаратов у больного Б., 58 лет представлены в таблице №5. Примечание: * - исследования проводились через полупериод полувыведения препарата, ΔМ% - изменения ИЭ после введения препарата в сравнении с исходными данными (в %). Как видно из представленных данных, наибольшее увеличение ИЭ отмечалось при использовании соталола. В последующем было проведено тестирование противоаритмических средств, согласно прототипу: пропранолол в дозе 120 мг в сутки, метопролол в дозе 100 в сутки соответственно, карведиол в дозе 50 мг в сутки, аллапинин в дозе 75 мг в сутки, этмозин в дозе 150 мг в сутки, дизопирамид в дозе 400 мг в сутки, пропафенон в дозе 450 мг в сутки, соталол в дозе 160 мг в сутки и в последнюю очередь - амиодарона в дозе 800 мг в сутки. Длительность применения антиаритмических средств составила 5 дней, а амиодарона - 10 дней. Наилучший эффект был выявлен при использовании соталола в дозе 160 мг в сутки - при проведении суточного мониторирования ЭКГ, после применения этого препарата, было выявлено 37 ЛЖЭ или около 2 экстрасистол в час, что соответствует уменьшению количества экстрасистол на 97,61% (см. табл. №6). Примечание: ΔМ% - изменения количества экстрасистол после использования препарата в сравнении с исходными данными (в %). Сокращение времени выбора антиаритмического препарата, согласно предлагаемому способу, в сравнении с прототипом, определялось по формуле: где СВ - сокращение выбора антиаритмического препарата (в %), n - количество исследуемых препаратов, А - длительность применения каждого препарата, согласно прототипу (в сутках), В - продолжительность полувыведения каждого препарата, согласно предлагаемому способу (в сутках), Б - продолжительность проведения мониторирования ЭКГ (в сутках). Таким образом, использование предлагаемого способа в сравнении с прототипом позволяет в 11,84 раза (или на 1184%) сократить время определения наиболее эффективного противоаритмического препарата для устранения ПЖЭ. Пример 4. Больной А., 47 лет, поступил в дневной стационар 01.09.2016 г. по направлению участкового врача по поводу частой предсердной экстрасистолии (ПЭ). Из анамнеза известно, что больной страдает гипертонической болезнью в течение последних 10 лет. Постоянно принимает энап (эналаприл) 10 мг в день. В последние 3-4 недель стал отмечать появление перебоев в работе сердца. При суточном мониторировании ЭКГ, выполненном амбулаторно 26.08.2016 г., было выявлено 1650 одиночных ПЭ или в среднем с частотой до 67 экстрасистол в час. На второй день пребывания больного в стационаре в 10 ч утра была проведена регистрация ЭКГ одновременно в 12 стандартных отведениях с помощью компьютерного комплекса «Полиспектр-ритм» (фирма «Нейрософт», г. Иваново). При регистрации ЭКГ в течение 30 минут было выявлено 35 ПЭ. Затем было рассчитано ЛО ПДИкор., составившее 18 мс и ИЭ по формуле: где ИЭ - индекс экстрасистолии, А - ЛО ПДИкор. не менее чем в 20 ПЖЭ, В - число экстрасистол, используемых для исследования, выраженное в количестве экстрасистол в час. где ИЭ - индекс экстрасистолии, в числителе - ЛО ПДИкор., составившее 18 мс в 35 ПЭ, в знаменателе - число экстрасистол, используемых для исследования, выраженное в количестве экстрасистол в час и составившее 70 в час. Больному был внутривенно введен пропафенон в дозе 140 мг с последующей регистрацией ЭКГ одновременно в 12 стандартных отведениях с помощью компьютерного комплекса «Полиспектр-ритм» (фирма «Нейрософт», г. Иваново) через 20 минут после введения препарата. При регистрации ЭКГ после введения пропафенона в течение 60 минут было выявлено 25 ПЭ. Затем было рассчитано ЛО ПДИкор., составившее 43 мс и ИЭ по формуле: где ИЭ - индекс экстрасистолии, А - ЛО ПДИкор. не менее чем в 20 ПЭ, В -число экстрасистол, используемых для исследования, выраженное в количестве экстрасистол в час. где ИЭ - индекс экстрасистолии, в числителе - ЛО ПДИкор., составившее 43 мс в 25 ПЭ, в знаменателе - число экстрасистол, используемых для исследования, выраженное в количестве экстрасистол в час и составившее 25 в час. После применения пропафенона отмечалось увеличение ИЭ в 5,69 раза в сравнении с исходными данными. Затем больному А., 47 лет последовательно, ежедневно было проведено тестирование противоаритмических препаратов - пропранолол в дозе 40 мг, метопролол в дозе 50 мг, карведиол в дозе 50 мг, аллапинин в дозе 25 мг, дизопирамид в дозе 200 мг в сутки, этмозин в дозе 50 мг, дилтиазем в дозе 90 мг, внутривенно - пропафенон в дозе 140 мг, верапамил в дозе 10 мг, амиодарон в дозе 300 мг, соталол 80 мг. Следует отметить, что каждый последующий препарат тестировался, как минимум, через три периодаполувыведения предыдущего. Результаты тестирования антиаритмических препаратов у больного А., 47 лет представлены в таблице №7. Примечание: * - исследования проводились через полупериод полувыведения препарата, ΔМ% - изменения ИЭ после введения препарата в сравнении с исходными данными (в %). Как видно из представленных данных, наибольшее увеличение ИЭ отмечалось при использовании пропафенона, а продолжительность тестирования, согласно предлагаемому способу, составила 10,1 дней. В последующем было проведено тестирование противоаритмических средств, согласно прототипу: пропранолол в дозе 120 мг в сутки, метопролол дозе 100 в сутки соответственно, карведиол в дозе 50 мг в сутки, аллапинин в дозе 75 мг в сутки, этамозин в дозе 150 мг в сутки, дизопирамид в дозе 400 мг в сутки, пропафенон в дозе 450 мг в сутки, соталол в дозе 160 мг в сутки, дилтиазем в дозе 180 мг в сутки, верапамил в дозе 160 мг в сутки и в последнюю очередь - амиодарона в дозе 800 мг в сутки. Длительность применения антиаритмических средств составила 5 дней, а амиодарона - 10 дней. Наилучший эффект был выявлен при использовании пропафенона в дозе 450 мг в сутки - при проведении суточного мониторирования ЭКГ, после применения этого препарата, было выявлено 112 ЛЖЭ или около 4 экстрасистол в час, что соответствует уменьшению количества экстрасистол на 93,16% (см. табл. №8). Примечание: ΔМ% - изменения количества экстрасистол после использования препарата в сравнении с исходными данными (в %). В последующем для долгосрочного приема был назначен пропафенон в дозе 300 мг в сутки и через месяц было проведено суточное мониторирование ЭКГ, где было выявлено 32 ПЭ или около 1 экстрасистолы в час, что является свидетельством того, что выбранный препарат, согласно прототипу, выбран правильно. Сокращение времени выбора антиаритмического препарата, заявляемому способу, в сравнении с прототипом, определялось по формуле: где СВ - сокращение времени выбора наиболее эффективного антиаритмического препарата (в %), n - количество исследуемых препаратов, А - длительность применения каждого препарата, согласно прототипу (в сутках), В - продолжительность полувыведения каждого препарата, согласно предлагаемому способу (в сутках), Б продолжительность проведения мониторирования ЭКГ (в сутках). Таким образом, использование заявляемого способа, в сравнении с прототипом, позволяет в 11,48 раза (или на 1148%) сократить время определения наиболее эффективного антиаритмического препарата для Наблюдалось 156 больных: в их число вошло 23 (14,74%) пациентов ишемической болезнью сердца (ИБС), 49(31,41%)) - гипертонической болезнью, 45(28,85%)) - с сочетанием ИБС и гипертонической болезнью, у остальных - был выявлен постмиокардитический кардиосклероз. Всем больным ИБС и гипертонической болезнью проводилась терапия антиагрегантами, ингибиторами ангиотензинпревращающего фермента (ренитек, эналоприл, энап). У 65(41,67%) больных была выявлена ПЖЭ, у 53(33,97%) - ЛЖЭ, у остальных - ПЭ. Антиаритмические препараты до включения в исследование не назначались. Всем больным ИБС и гипертонической болезнью вначале использовались препараты II класса, а при их неэффективности - применялись средства I класса (Ia и Ic) или III класса. Выбор антиаритмического препарата для устранения аритмии зависел от характера основного заболевания и формы экстрасистолии (Кушаковский М.С. Аритмии сердца: руководство для врачей / М.С. Кушаковский. - 3-е изд., испр. и доп.- СПб.: Фолиант, 2004. - 672 с.), Мазур Н.А. Пароксизмальные тахикардии. - М.: ИД Медпрактика-М, 2005. - 252 с.). У всех больных определение эффективности ААТ экстрасистолии проводилось по заявляемому способу и прототипу. При проведении терапии, по заявляемому способу, антиаритмические препараты использовались в однократной пероральной дозе или внутривенно, например, перорально - пропранолол в дозе 20-40 мг, метопролол в дозе 25-50 мг, карведиол в дозе 50 мг, аллапинин в дозе 25 мг, соталол в дозе 40-80 мг, дизопирамид в дозе 200-400 мг, этмозин в дозе 25-50 мг, дилтиазем в дозе 90 мг, внутривенно - пропафенон в дозе 140 мг, верапамил в дозе 10-15 мг, амиодарон в дозе 150-300 мг. Следует отметить, что каждый последующий препарат тестировался через 3-5 периода полувыведения предыдущего. При выявлении наиболее эффективного антиаритмического препарата, по заявляемому способу, в дальнейшем он использовался в качестве поддерживающей противорецидивной терапии. Тестирование антиаритмических препаратов, согласно прототипу: пропранолол в дозе 120 мг в сутки, метопролол дозе 100 в сутки, карведиол в дозе 50 мг в сутки, аллапинин в дозе 75 мг в сутки, этмозин в дозе 150 мг в сутки, дизопирамид в дозе 400 мг в сутки, пропафенон в дозе 450 мг в сутки, соталол в дозе 160 мг в сутки, дилтиазем в дозе 180 мг в сутки, верапамил в дозе 160 мг в сутки и в последнюю очередь - амиодарона в дозе 800 мг в сутки. Длительность тестирования антиаритмических средств составила 5 дней, а амиодарона - 10 дней. Затем до и после тестирования препаратов проводилось суточное мониторирование ЭКГ, причем критерием положительного эффекта является уменьшение числа экстрасистол на 75% и более в сравнении с их исходной частотой, а также устранение парных, групповых экстрасистол, причем при отсутствие эффекта одного препарата, каждый последующий препарат тестируется, как минимум, через 5 периодов полувыведения предыдущего (Кушаковский М.С. Аритмии сердца: руководство для врачей / М.С. Кушаковский. - 3-е изд., испр. и доп.- СПб.: Фолиант, 2004. - 672 с). Сокращение времени выбора антиаритмического препарата, согласно предлагаемому способу, в сравнении с прототипом, определялось по формуле: где СВ - сокращение времени выбора антиаритмического препарата (в %), n - количество исследуемых препаратов, А - длительность применения каждого препарата, согласно прототипу (в сутках), В - продолжительность полувыведения каждого препарата, согласно предлагаемому способу (в сутках), Б - продолжительность проведения мониторирования ЭКГ (в сутках). Статистический анализ полученных результатов проведен, используя стандартные компьютерные пакеты программ SPSS, версия 11,0. Наиболее эффективная (истинно эффективная) ААТ ПЖЭ, ЛЖЭ и НЭ, определенная с помощью заявляемого способа, представлены в таблицах 9, 10. Как видно из представленных данных, выбор наиболее эффективного препарата, определенного с помощью заявляемого способа и прототипа, совпадает. Ложноположительный и истинно отрицательный выбор ААТ ПЖЭ, ЛЖЭ и НЭ, определенной согласно прототипу, представлены в таблицах №11, 12. Примечание: прочерк - препараты не использовались. Примечание: прочерк - препараты не использовались. Примечание: прочерк - препараты не использовались. Примечание: прочерк - препараты не использовались. Время выбора наиболее эффективного препарата, определенного с помощью заявляемого способа и прототипа, с учетом ложно положительных и истинно отрицательных результатов прототипа, для ПЖЭ составила 7,89±0,14 суток и 117±3 суток, для ЛЖЭ - 6,59±0,18 суток и 121±4 суток и для НЭ - 12,59±0,22 суток и 147±6 суток. Сокращение времени выбора наиболее эффективного антиаритмического препарата с помощью предлагаемого способа в сравнении с прототипом составило: СВ - сокращение выбора наиболее эффективного антиаритмического препарата с помощью предлагаемого способа в сравнении с прототипом отдельно для ПЖЭ, ЛЖЭ и НЭ. Таким образом, выбор наиболее эффективного антиаритмического препарата по заявляемому способу, в сравнении с прототипом, сокращается отдельно для ПЖЭ в среднем 14 раза, для ЛЖЭ - в 17 раз для НЭ - в 11 раз.















































