Изобретение относится к способу получения 2-[2-оксо-1-пирролидинил]ацетамида, замещенного в положении 4 пирролидинового цикла, в котором R1 обозначает Н, R2 выбирают из Н, Ph, 2,4-диClPh, 4-ClPh, 4-CH3OPh, 3-NO2Ph; или R1 и R2 совместно образуют С5Н10. Способ заключается во взаимодействии калиевой соли 3-R1R2-4-аминомасляной кислоты с хлорацетамидом в мольном соотношении 2:1 в спиртовой среде, выделении N-карбамоилметил-3-R1R2-4-аминомасляной кислоты подкислением, с последующей ее циклизацией в среде высококипящего несмешивающегося с водой органического растворителя с температурой кипения от 140 до 200°C и отгонкой воды. Способ безопасен и технологичен, использует доступное сырье и может применяться в крупном промышленном производстве. 1 з.п. ф-лы, 1 табл., 7 пр.
1. Способ получения 2-[2-оксо-1-пирролидинил]ацетамида, замещенного в положении 4 пирролидинового цикла, включающий взаимодействие производного 4-аминомасляной кислоты в среде растворителя с галогензамещенным ацетамидом, с последующей циклизацией и выделением, отличающийся тем, что 2-[2-оксо-1-пирролидинил]ацетамид, замещенный в положении 4 пирролидинового цикла представляет собой соединение формулы где R1 обозначает Н, R2 выбирают из Н, Ph, 2,4-диClPh, 4-ClPh, 4-CH3OPh, 3-NO2Ph; или R1 и R2 совместно образуют С5Н10, в качестве производного 4-аминомасляной кислоты используют калиевую соль 3-R1R2-4-аминомасляной кислоты, которая взаимодействует с хлорацетамидом в мольном соотношении 2:1 в спиртовой среде, затем выделяют N-карбамоилметил-3-R1R2-4-аминомасляную кислоту подкислением, с последующей ее циклизацией в среде высококипящего несмешивающегося с водой органического растворителя с температурой кипения от 140 до 200°C и отгонкой воды. 2. Способ по п. 1, отличающийся тем, что получение 2-[2-оксо-4-фенил-1-пирролидинил]ацетамида проводят взаимодействием калиевой соли 3-фенил-4-аминомасляной кислоты с хлорацетамидом в среде этанола.
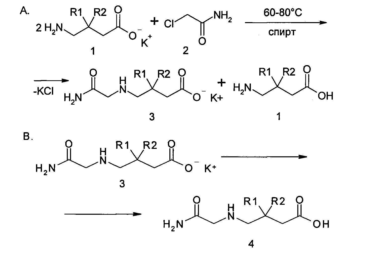
Изобретение относится к способу получения гетероциклического соединения, содержащего пятичленное кольцо, не конденсированное с другими кольцами, только с одним атомом азота в качестве гетероатома, а именно - к способу получения 2-[2-оксо-1-пирролидинил]ацетамида, замещенного в положений 4 пирролидинового Цикла радикалами R1 и R2, общей формулы где R1 обозначает Н, R2 выбирают из Н, Ph, 2,4-диClPh, 4-ClPh, 4-CH3OPh, 3-NO2Ph; или R1 и R2 совместно образуют С5Н10, Соединения этой группы применяются в качестве терапевтических агентов, в частности, в лекарственных средствах, известных под названиями «пирацетам» и «фенотропил». Известен способ получения этих соединений N-алкилированием замещенных и незамещенных 2-оксопирролидинов. Незамещенный или замещенный 2-оксопирролидин, при взаимодействии с сильными основаниями в безводных растворителях может образовывать соли щелочных металлов. Полученные соли используют в реакциях алкилирования алкилгалоидами по следующей схеме: Схема 1 Защищен способ [Авт.св. СССР 797219, МКИ C07D 207/26, A61K 31/40, опубл. 25.07.1995] получения N-карбамоилметил-2-оксо-4-фенилпирролидина алкилированием 2-оксо-4-фенилпирролидина с последующим аминированием жидким аммиаком. Для этого к раствору 4-фенил-2-оксопирролидина в растворе сухого бензола добавляют диспергированный металлический натрий. Смесь кипятят в течение 5 ч. Затем добавляют к ней этил хлорацетат, после чего поднимают температуру до 60°С и через несколько часов удаляют растворитель. Остаток перегоняют в вакууме, к полученному этил 2-[2-оксо-4-фенил-1-пирролидинил]ацетату при энергичном перемешивании приливают охлажденный водный аммиак. Через сутки выпавшие кристаллы N-карбамоилметил-2-оксо4-фенилпирролидина отфильтровывают и сушат, получают продукт с выходом 50%. К недостаткам этого способа относится использование безводных легковоспламеняющихся органических растворителей и металлического натрия, что существенно повышает пожароопасность процесса. Стадия вакуумной перегонки является наиболее энергозатратной, что делает применение этого способа в крупном промышленном масштабе нерентабельным. Описан способ [LV Pat. Appl. 13630; Chem. Abstr., 147, 365386 (2006)], по которому процесс проводят по схеме 2, превращая (4R)-2-оксо-4-фенилпирролидин действием гидрида натрия в натриевое производное, которое затем без выделения алкилировали этил бромацетатом. Полученный эфир подвергали аммонолизу, получая целевой продукт. Схема 2 Главным недостатком этого способа является применение дорогостоящего и пожароопасного гидрида натрия. А также необходимость очистки промежуточных соединений. Описан [патент США 4228179, МКИ C07D 209/00, опубл. 14.10.1980] способ получения 3-оксо-2-азаспиро-2-(N-метил)-ацетамидов, где в качестве алкилирующего агента применяются непосредственно N-замещенные галоалкиламиды. Известен способ [патент США 7235579, МКИ A61K 31/40; C07D 409/00, опубл. 26.06.2007] с использованием в качестве основания гидрида натрия или литийдиизопропиламина с добавлением МФК (15-краун-5-эфира), причем процесс алкилирования замещенного 2-оксопирролидина проводят в безводных растворителях, таких, как ДМФА, ТГФ, ДМСО. Полученный эфир 2-оксо-1-пирролидинил уксусной кислоты гидролизуют до кислоты, обрабатывают хлористым тионилом или оксалилхлоридом для получения хлорангидрида. Взаимодействием хлорангидридов 2-оксо-1-пирролидинил уксусных кислот с замещенными алифатическими и ароматическими аминами получают конечный целевой продукт (Схема 3). Схема 3 К недостаткам этих способов можно отнести применение катализаторов МФК и сильных дорогостоящих оснований. Очистка получаемых полупродуктов с помощью препаративной ВЭЖХ исключает использование данного способа в промышленном синтезе. Известен способ [Авт. св. СССР №1265191, МКИ C07D 207/27, опубл. 23.10.1986], где в качестве альтернативы гидриду натрия используют металлорганические соединения, в частности, триметилгалогенсилан, для получения амида 2-оксо-4-фенил-1-пирролидинил уксусной кислоты из 2-оксо-4-фенилпирролидина. Способ включает взаимодействие 2-оксо-4-фенилпирролидина с избытком триметилбромсилана в присутствии триэтиламина в среде толуола при 60-80°С или с избытком гексаметилдисилазана в присутствии каталитических количеств соляной кислоты при температуре 30-150°С, образующееся производное 1-триметилсилил-2-оксо-4-фенил-пирролидина подвергают взаимодействию с метил бромацетатом при 130-175°C с одновременной отгонкой из смеси триметилбромсилана и последующим аммонолизом метил 2-оксо-4-фенил-1-пирролидинил ацетата водным аммиаком (Схема 4). Схема 4 Данный способ, несмотря на хорошие выходы, имеет ряд недостатков, главный из которых - применение металлорганических соединений устойчивых только в отсутствии влаги. Триметилгалогенсилан легколетуч и пожаропасен. Кроме того, его применение предполагает использование коррозионостойких материалов. К другим способам получения относится способ восстановления N-замещенных сукцинимидов [патент СССР 893131, МКИ C07D 297/26, опубл. 23.12.1981], в котором сукцинимид натрия, взаимодействием с 2-галоидзамещенными алкиламидами в этаноле, диметилформамиде, толуоле или другом подходящем растворителе при 80-150°С, превращают в N-алкиламиды-2,5-оксопирролидина. Эти соединения в дальнейшем подвергают электролитическому восстановлению в ячейке для электролиза с металлическим катодом (например, свинцовым) с применением диафрагмы в кислой среде. В качестве анода могут служить такие металлы, как платина или свинец (Схема 5). Обработка электролита щелочью, фильтрация и выпаривание фильтрата досуха в вакууме дает кристаллический сырой продукт, из которого с помощью подходящего растворителя можно экстрагировать желаемый продукт. Из полученного раствора после выпаривания можно получить чистый продукт перекристаллизацией. Схема 5 Применение электролитической ячейки существенно повышает себестоимость получаемого продукта. Низкая производительность, трудности, связанные с эксплуатацией электролитической установки, а также многостадийность процесса делают применение этого способа нецелесообразным. Описан [патент РФ 2009126, МКИ C07D 207/26, опубл. 15.03.1994] усовершенствованный способ получения 5-пропил-N-карбамидометил-2-оксопирролидина, заключающийся в том, что этил 4-оксогептаноат подвергают гидроаминированию эквимолярным количеством амида глицина в среде метанола, содержащего 1% аммиака и 10% борида никеля от массы субстрата, при 80-100°С и начальном давлении водорода 8-10 МПа. Выходы целевого продукта достигают 70% (Схема 6). Схема 6 К преимуществам данного способа можно отнести одностадийность процесса и хороший выход. Среди недостатков следует отметить необходимость применения специализированного оборудования (автоклава), высоких давлений и газообразного водорода. Еще один широко известный способ получения 4-замещенных 2-[2-оксо-1-пирролидинил]ацетамидов заключается в процессе внутримолекулярного ацилирования производных N-замещенных 4-аминомасляных кислот, в ходе которого происходит отщепление молекулы спирта или галогенводорода. Данный способ рассматривается [патент СССР 1428195, МКИ C07D 207/26, A61K 31/4015, опубл. 30.09.1988] на примере получении этил 2-[2-оксо-1-пирролидин]ацетамида. Авторы патента описывают способ получения N-замещенных 4-аминомасляных кислот через реакцию N-алкилирования 2-аминобутанамидов функциональными производными 4-галогенбутановой кислоты. Процесс ведут в органических растворителях (толуол, ацетонитрил) в присутствии основных катализаторов, таких как, например, триэтиламин или поташ. Процесс циклизации полученных N-замещенных 4-аминомасляных кислот проводят также в среде органического растворителя в присутствии катализатора (ТБАБ, 2-оксипиридин). Авторы патента отмечают возможность циклизации полученных соединений при низких температурах, в том случае, если речь идет об использовании хлорангидридов 4-галогенбутановых кислот, так как в этом случае для отщепления молекулы хлороводорода достаточно добавить щелочной агент (Схема 7). Схема 7 К недостаткам этого способа можно отнести необходимость отделения от раствора основного вещества примеси двойного продукта алкилирования 2-аминобутанамида, необходимость выделения технического продукта путем удаления растворителя при пониженном давлении и повторной кристаллизации. Очищение полупродуктов с использованием колоночной хроматографии и удаление воды с помощью молекулярного сита, а также использование измельченного или порошкообразного гидроксида калия делают этот способ крайне неудобным в условиях крупного производства. Защищен способ получения 2-[4-гидрокси-2-оксо-1-пирролидинил]ацетамида (патент Испании 8601127. МКИ C07D 207/27, опубл. 16.02.1986), заключающийся во взаимодействии метилового эфира 3-гидрокси-4-аминомасляной кислоты с небольшим избытком амида моногалогенуксусной кислоты в ацетоне в присутствии поташа. Образующийся в ходе реакции метил 4-карбамоилметиламино-3-гидроксибутират без предварительной очистки циклизуют в среде органического растворителя с температурой кипения от 100 до 200°С (Схема 8). Схема 8 Учитывая способность N-алкилированных эфиров 4-аминомасляных кислот циклизоваться в N-алкил-2-оксопирролидины, был осуществлен [Химия гетероциклических соединений. 2012, №5. С. 775-778. М. Ворона, Г. Вейнберг и др.], синтез н-бутилового эфира 4-карбамоилметиламино-3-фенилмасляной кислоты и его циклизация в целевой продукт 2-[2-оксо-4-фенил-1-пирролидинил] ацетамид (Схема 9). Схема 9 Авторы статьи алкилируют н-бутиловый эфир 4-аминомасляной кислоты галогензамещенными ацетамидами в присутствии фосфата калия моногидрата в полярном растворителе (ДМФА) при температуре от 20 до 60°C. Полученный таким образом н-бутил 4-карбамоилметиламино-3-фенилбутират циклизуют в конечный продукт 2-[2-оксо-4-фенил-1-пирролидинил] ацетамид с количественным выходом в среде толуола при температуре кипения в присутствии смеси фосфата калия моногидрата и тетрабутиламмония бромида. Чистое вещество получают, используя метод колоночной хроматографии или перекристаллизацией из воды, с выходом 63% и 48%, соответственно. В этой же статье описано использование хлорацетонитрила в качестве алкилирующего агента. Последующая за этим циклизация н-бутил 4-цианометиламино-3-фенилбутирата в среде 95%-ого этанола и гидролиз цианогруппы приводит к образованию 2-[2-оксо-4-фенил-1-пирролидинил] ацетамида с выходом 44%. Это описание является наиболее близким по технической сущности к разработанному новому способу получения 4-замещенного 2-[2-оксо-1-пирролидинил]ацетамида. Задача изобретения - создание нового, безопасного и технологичного способа получения 4-замещенного 2-[2-оксо-1-пирролидинил]ацетамида с использованием доступного сырья, применимого не только в лабораторном синтезе, но и в крупном промышленном производстве. Сущность изобретения состоит в том, что разработан способ получения 2-[2-оксо-1-пирролидинил]ацетамида, замещенного в положении 4 пирролидинового цикла, включающий взаимодействие производного 4-аминомасляной кислоты в среде растворителя с галогензамещенным ацетамидом, с последующей циклизацией и выделением, отличающийся тем, что 2-[2-оксо-1-пирролидинил]ацетамид, замещенный в положении 4 пирролидинового цикла представляет собой соединение формулы где R1 обозначает Н, R2 выбирают из Н, Ph, 2,4-диClPh, 4-ClPh, 4-CH3OPh, 3-NO2Ph; или R1 и R2 совместно образуют С5Н10, в качестве производного 4-аминомасляной кислоты используют калиевую соль 3-R1R2-4-аминомасляной кислоты, которая взаимодействует с хлорацетамидом в мольном соотношении 2:1 в спиртовой среде, затем выделяют N-карбамоилметил-3-R1R2-4-аминомасляную кислоту подкислением, с последующей ее циклизацией в среде высококипящего несмешивающегося с водой органического растворителя с температурой кипения от 140 до 200°C и отгонкой воды. Описываемый процесс представлен на схеме: Схема 10 Таким образом, способ включает следующие стадии: I. N-алкилирование 2 моль калиевой соли 3-R1R2-4-аминомасляной кислоты (1) 1 моль хлорацетамида (2) в спиртовой среде при температуре от 60 до 80°. (А) II. Выделение фильтрацией от выпавшей в ходе нейтрализации 3-R1R2-4-аминомасляной кислоты (1) и/или образовавшегося в ходе реакции хлорида калия. (А) III. Выделение из фильтрата промежуточного соединения N-карбамоилметил-3-R1R2-4-аминомасляной кислоты (4) из соответствующей калиевой соли (3) подкислением. (В) IV. Циклизация полученной N-карбамоилметил-3-R1R2-4-аминомасляной кислоты (4) в среде высококипящего несмешивающегося с водой органического растворителя с температурой кипения от 140°C до 200°C, с отгонкой образующейся в ходе реакции воды. (С) 3-R1R2-4-аминомасляная кислота находится в растворе в виде цвиттер-иона или внутренней соли: В таком виде нуклеофильность аминогруппы подавлена, вследствие чего, вещество не склонно вступать в реакцию N-алкилирования. Для подавления образования внутренней соли 3-R1R2-4-аминомасляную кислоту можно перевести в эфир, как это было описано ранее, однако, нами был использован иной подход, а именно - использование калиевой соли 3-R1R2-4-аминомасляной кислоты в качестве исходного вещества. Таким образом, аминогруппа становится свободной и легко вступает в реакцию с хлорацетамидом. При этом отсутствует опасность замыкания 4-аминомасляной кислоты в 2-оксипирролидин (как это часто случается при использовании эфиров 4-аминомасляных кислот), поскольку карбоксильная группа полностью инактивирована и не может взаимодействовать с аминогруппой. К новизне разработанного нами метода относится и то, что в реакции N-алкилирования участвуют 2 моля 3-R1R2-4-аминомасляной кислоты в виде калиевой соли, рассчитан расход 1 моль непосредственно на реакцию алкилирования хлорацетамидом, еще 1 моль служит основанием для нейтрализации выделяющегося в ходе реакции алкилирования хлороводорода. В итоге в ходе нейтрализации выделяется осадок хлорида калия и/или осадок 3-R1R2-4-аминомасляной кислоты, последнюю можно использовать повторно. Поскольку процесс идет в растворе, выбор калиевой щелочи определяется растворимостью получаемой соли 3-R1R2-4-аминомасляной кислоты в спиртах. В качестве растворителя может выступать этанол, изопропанол или смесь этих спиртов. Объем спирта берут из соотношения 4-9 мл спирта на 1 грамм 3-R1R2-4-аминомасляной кислоты. Время процесса составляет 2-4 часа при температуре 60-80°C. Еще одним преимуществом (нигде ранее не описанном) использования в качестве исходного сырья 3-R1R2-4-аминомасляной кислоты в виде калиевой соли состоит в том, что образующиеся полупродукты - калиевые соли N-карбамоилметил-3-R1R2-4-аминомасляной кислоты и N,N-бис(карбамоилметил)-3-R1R2-4-аминомасляной кислоты растворяются в спиртах. В то же время соответствующие им кислоты имеют существенное различие в растворимости. Таким образом, после подкисления раствора выделяется только N-карбамоилметил-3-R1R2-4-аминомасляной кислота (4), в то время как N,N-бис(карбамоилметил)-3-R1R2-4-аминомасляная кислота остается в растворе (5). Выделившийся продукт можно отфильтровать, промыть и высушить. Таким образом, решается проблема выделения и очистки полупродуктов без применения вакуумной перегонки и колоночной хроматографии. Выделенную N-карбамоилметил-3-R1R2-4-аминомасляную кислоту суспендируют в любом несмешивающемся с водой органическом растворителе с температурой кипения от 140 до 200°C для проведения процесса циклизации (например, о-ксилол, анизол, мезителен, фенетол, о-дихлорбензол). Преимуществом нашего способа является то, что выделяющаяся в процессе циклизации вода легко удаляется из реакционной массы путем азеотропной отгонки. При этом в отличие от описанных ранее способов, регенерация растворителя не представляет трудностей, так как удалить воду из органического растворителя значительно проще и не требуется применения ректификации. Все используемые растворители легкодоступны, так как являются крупнотоннажным сырьем. Образующийся продукт кристаллизуют при комнатной температуре. Выделенный продукт представляет собой 2-[2-оксо-4-R1R2-1-пирролидинил] ацетамид. Таким образом, выделение конечного продукта не требует специальных приемов и многоступенчатых перекристаллизаций. Выделенный по данному способу 2-[2-оксо-4-R1R2-1-пирролидинил] ацетамид может быть использован для дальнейших целей без предварительной очистки. Учитывая вышесказанное, можно сделать вывод о том, что авторами патента была достигнута цель по разработке нового, безопасного и технологичного способа получения 4-замещенного 2-[2-оксо-1-пирролидинил]ацетамида с использованием доступного сырья, применимого не только в лабораторном синтезе, но и в крупном промышленном производстве. ПРИМЕРЫ ПРОВЕДЕНИЯ СПОСОБА Все используемые растворители и реагенты, кроме исходных 3-R1R2-4-аминомасляных кислот, коммерчески доступны и имеют марку ч. или х.ч., 3-R1R2-4-аминомасляные кислоты могут быть получены отдельно любым из известных способов. Результаты проведения способа приведены в примерах и сведены в Таблицу 1. Пример 1 1. Получение N-карбамоилметил-3-фенил-4-аминомасляной кислоты В трехгорлую колбу, снабженную мешалкой, термометром и обратным холодильником загружают 400 мл этанола и 17,04 г (0,273 моль) гидроксида калия (основное вещество 90%). Перемешивают до полного растворения. К полученному раствору загружают 50,00 г (0,279 моль) 3-фенил-4-аминомасляной кислоты, нагревают до 65°C и перемешивают до полного растворения. Затем загружают 12,72 г (0,136 моль) хлорацетамида. Смесь перемешивают при 65-70°C в течение 3 часов. По окончании выдержки суспензию охлаждают до комнатной температуры. Осадок 3-фенил-4-аминомасляной кислоты с примесью хлорида калия отфильтровывают, промывают этанолом. Смесь твердых продуктов промывают водой от хлористого калия, выделенную 3-фенил-4-аминомасляной кислоту промывают этанолом и используют повторно. Фильтрат, содержащий калиевую соль N-карбамоилметил-3-фенил-4-аминомасляной кислоты, подкисляют 8,20 г (0,136 моль) уксусной кислоты. При комнатной температуре перемешивают 10-12 часов, осадок N-карбамоилметил-3-фенил-4-аминомасляной кислоты фильтруют (1) промывают на фильтре этанолом. Выход (1) 20,0 -20,6 г, 62-64% от теории. 2. Получение 2-[2-оксо-4-фенил-1-пирролидинил] ацетамида В колбу, загружают 40-45 мл анизола. Загружают N-карбамоилметил-3-фенил-4-аминомасляную кислоту (1), полученную ранее, включают нагрев и перемешивание. Суспензию греют до полного растворения твердого продукта. Процесс сопровождается отделением воды, которая удаляется из реакционной массы вместе с анизолом в виде азеотропа. Как только прекратилось отделение воды, отключают нагрев и оставляют массу на самоохлаждении. 2-[2-оксо-4-фенил-1-пирролидинил] ацетамид (2) выделяется из раствора в анизоле в течение нескольких часов при комнатной температуре, продукт отфильтровывают, промывают и сушат при температуре 70-80°C. Выход (2) 17,6-18,2 г, 95-97%, tпл=130-131°C. Пример 2 1. Получение {1-[(карбамоилметиламино)метил]-циклогексил} уксусной кислоты В трехгорлую колбу, снабженную мешалкой, термометром и обратным холодильником загружают 250 мл изопропанола и 18,00 г (0,289 моль) гидроксида калия (основное вещество 90%). Перемешивают до полного растворения при небольшом нагревании. К полученному раствору загружают 50,00 г (0,292 моль) (1-аминометил-циклогексил) уксусной кислоты, нагревают до 60°C и перемешивают до полного растворения. Затем загружают 13,50 г (0,144 моль) хлорацетамида. Смесь перемешивают при 75-80°C в течение 4 часов. По окончании выдержки суспензию охлаждают до комнатной температуры, фильтруют от хлорида калия. Фильтрат, содержащий калиевую соль {1-[(карбамоилметиламино)метил]-циклогексил} уксусной кислоты, разбавляют 500 мл ацетона, подкисляют 8,65 г (0,144 моль) уксусной кислоты, охлаждают до -5°C и оставляют при этой температуре на сутки. Через 24 часа выпадает осадок (1-аминометил-циклогексил) уксусной кислоты. Осадок отфильтровывают, промывают ацетоном и сушат. Высушенный осадок (1-аминометил-циклогексил) уксусной кислоты можно использовать повторно. Фильтрат, содержащий {1-[(карбамоилметиламино)метил]-циклогексил} уксусную кислотыу (3), концентрируют под вакуумом до 25% от объема первоначального раствора. Кубовый остаток охлаждают до -5°C в течение 24 часов. Выпавший осадок 1-[(карбамоилметил-амино)-метил]циклогексил уксусной кислоты (3) отфильтровывают, промывают ацетоном. Выход (3) 28,7 г, 80% от теории. 2. Получение 2-(3-оксо-2-аза-спиро[4.5]дец-2-ил)ацетамида Процесс циклизации проводили аналогично получению соединения (2) в Примере 1, но вместо анизола использовали о-ксилол. Выход (4) 21 г, 83%, tпл=141,5-142,5°C. Пример 3 1. Получение N-карбамоилметил-4-аминомасляной кислоты В трехгорлую колбу, снабженную мешалкой, термометром и обратным холодильником загружают 50 мл изопропанола и 100 мл этанола. К смеси спиртов загружают 12,00 г (0,192 моль) гидроксида калия (содержание основного вещества 90%). Перемешивают до полного растворения при небольшом нагревании. К полученному раствору загружают 20,00 г (0,194 моль) 4-аминомасляной кислоты (ГАМК), нагревают до 65°C и перемешивают до полного растворения. Затем загружают 9,00 г (0,096 моль) хлорацетамида. Смесь перемешивают при 65-70°C в течение 4 часов. По окончании выдержки суспензию охлаждают до 18°C и фильтруют осадок ГАМК с примесью хлорида калия. Фильтрат, содержащий калиевую соль N-карбамоилметил-4-аминомасляной кислоты, подкисляют 11,53 г (0,192 моль) уксусной кислоты. Выпадает осадок N-карбамоилметил-4-аминомасляной кислоты (5) в виде уксуснокислой соли. Суспензию оставляют при комнатной температуре на 10-12 часов, затем фильтруют, осадок ацетата N-карбамоилметил-4-аминомасляной кислоты промывают на фильтре изопропанолом и сушат при температуре 65-70°С. Выход (5) 16,0 г, 62-64% от теории. 2. Получение 2-[2-оксо-1-пирролидинил] ацетамида Данные приведены в Таблице 1. Пример 4 1. Получение N-карбамоилметил-3-(4-хлорфенил)-4-аминомасляной кислоты В трехгорлую колбу, снабженную мешалкой, термометром и обратным холодильником загружают 400 мл этанола и 14,40 г (0,233 моль) гидроксида калия (содержание основного вещества 90,7%). Перемешивают до полного растворения при небольшом нагревании. К полученному раствору загружают 50,00 г (0,234 моль) 3-(4-хлорфенил)-4-аминомасляной кислоты, нагревают до 65°C и перемешивают до полного растворения. Затем загружают 10,89 г (0,116 моль) хлорацетамида. Смесь перемешивают при 65-70°C в течение 3 часов. По окончании выдержки суспензию охлаждают до комнатной температуры. Осадок 3-(4-хлорфенил)-4-аминомасляной кислоты с примесью хлорида калия отфильтровывают, промывают спиртом. Смесь твердых продуктов промывают водой от хлористого калия, выделенную 3-(4-хлорфенил)-4-аминомасляную кислоту промывают этанолом и используют повторно. Фильтрат, содержащий калиевую соль N-карбамоилметил-3-(4-хлорфенил)-4-аминомасляной кислоты, подкисляют 7,00 г (0,116 моль) уксусной кислоты. Выпадает осадок N-карбамоилметил-3-(4-хлорфенил)-4-аминомасляной кислоты (7). Суспензию оставляют при комнатной температуре на 10-12 часов, затем фильтруют, осадок N-карбамоилметил-3-фенил-4-аминомасляной кислоты (7) промывают на фильтре этанолом и сушат при температуре 65-70°C. Выход (7) 16,5-17,0 г, 52-53% от теории. 2. Получение 2-[2-оксо-4-(4-хлорфенил)-1-пирролидинил] ацетамида Данный приведены в Таблице 1. Пример 5 1. Получение N-карбамоилметил-4-(4-метоксифенил)-4-аминомасляной кислоты В трехгорлую колбу, снабженную мешалкой, термометром и обратным холодильником загружают 270 мл этанола, 135 мл изопропанола и 14,72 г (0,238 моль) гидроксида калия (содержание основного вещества 90,7%). Перемешивают до полного растворения при небольшом нагревании. К полученному раствору загружают 50,00 г (0,239 моль) 3-(4-метоксифенил)-4-аминомасляной кислоты, нагревают до 65°C и перемешивают до полного растворения. Затем загружают 11,13 г (0,119 моль) хлорацетамида. Смесь перемешивают при 65-70°C в течение 3 часов. По окончании выдержки суспензию охлаждают до комнатной температуры. Осадок 3-(4-метоксифенил)-4-аминомасляной кислоты с примесью хлорида калия отфильтровывают, промывают изопропанолом. Смесь твердых продуктов промывают водой от хлористого калия, выделенную 3-(4-метоксифенил)-4-аминомасляную кислоту промывают этанолом и используют повторно. Фильтрат, содержащий калиевую соль N-карбамоилметил-3-(4-метоксифенил)-4-аминомасляной кислоты, подкисляют 7,14 г (0,119 моль) уксусной кислоты. Выпадает осадок N-карбамоилметил-3-(4-метоксифенил)-4-аминомасляной кислоты (9). Суспензию оставляют при комнатной температуре на 12-15 часов, затем фильтруют, осадок N-карбамоилметил-3-(4-метоксифенил)-4-аминомасляной кислоты (9) промывают на фильтре изопропанолом и сушат при температуре 65-70°C. Выход (9) 25,5-26,0 г, 68-70% от теории. 2. Получение 2-[2-оксо-4-(4-метоксифенил)-1-пирролидинил] ацетамида Данные приведены в Таблице 1. Пример 6 1. Получение N-карбамоилметил-3-(2,4-дихлорфенил)-4-аминомасляной кислоты В трехгорлую колбу, снабженную мешалкой, термометром и обратным холодильником загружают 270 мл этанола, 135 мл изопропанола и 12,40 г (0,200 моль) гидроксида калия (содержание основного вещества 90,7%). Перемешивают до полного растворения при небольшом нагревании. К полученному раствору загружают 50,00 г (0,201 моль) 3-(2,4-дихлорфенил)-4-аминомасляной кислоты, нагревают до 65°C и перемешивают до полного растворения. Затем загружают 9,35 г (0,100 моль) хлорацетамида. Смесь перемешивают при 65-70°С в течение 3 часов. По окончании выдержки суспензию охлаждают до комнатной температуры. Осадок 3-(2,4-дихлорфенил)-4-аминомасляной кислоты с примесью хлорида калия отфильтровывают,промывают изопропанолом. Смесь твердых продуктов промывают водой от хлористого калия, выделенную 3-(2,4-дихлорфенил)-4-аминомасляную кислоту промывают этанолом и используют повторно. Фильтрат, содержащий калиевую соль N-карбамоилметил-3-(2,4-дихлорфенил)-4-аминомасляной кислоты, подкисляют 6,00 г (0,100 моль) уксусной кислоты. Выпадает осадок N-карбамоилметил-3-(2,4-дихлорфенил)-4-аминомасляной кислоты (11). Суспензию оставляют при комнатной температуре на 10-12 часов, затем фильтруют, осадок N-карбамоилметил-3-(2,4-дихлорфенил)-4-аминомасляной кислоты промывают на фильтре этанолом и сушат при температуре 65-70°C. Выход (11) 15,0-16,0 г, 50-51% от теории. 2. Получение 2-[2-оксо-4-(2,4-дихлорфенил)-1-пирролидинил] ацетамида Данные приведены в Таблице 1. Пример 7 1. Получение N-карбамоилметил-3-(3-нитрофенил)-4-аминомасляной кислоты В трехгорлую колбу, снабженную мешалкой, термометром и обратным холодильником загружают 300 мл этанола и 150 мл изопропанола и 13,65 г (0,221 моль) гидроксида калия (содержание основного вещества 90,7%). Перемешивают до полного растворения при небольшом нагревании. К полученному раствору загружают 50,00 г (0,223 моль) 3-(3-нитрофенил)-4-аминомасляной кислоты, нагревают до 65°C и перемешивают до полного растворения. Затем загружают 10,33 г (0,110 моль) хлорацетамида. Смесь перемешивают при 75-80°C в течение 3 часов. По окончании выдержки суспензию охлаждают до комнатной температуры. Осадок 3-(3-нитрофенил)-4-аминомасляной кислоты с примесью хлорида калия отфильтровывают, промывают спиртом. Смесь твердых продуктов промывают водой от хлористого калия, выделенную 3-(3-нитрофенил)-4-аминомасляную кислоту промывают этанолом и используют повторно. Фильтрат, содержащий калиевую соль N-карбамоилметил-3-(3-нитрофенил)-4-аминомасляной кислоты, подкисляют 6,60 г (0,110 моль) уксусной кислоты. Выпадает осадок N-карбамоилметил-3-(3-нитрофенил)-4-аминомасляной кислоты (13). Суспензию оставляют при комнатной температуре на 10-12 часов, затем фильтруют, осадок N-карбамоилметил-3-(3-нитрофенил)-4-аминомасляной кислоты промывают на фильтре этанолом и сушат при температуре 65-70°C. Выход (13) 20,0-21,0 г, 69-71% от теории. 2. Получение 2-[2-оксо-4-(3-нитрофенил)-1-пирролидинил] ацетамида Данные приведены в Таблице 1.




























