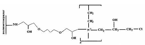
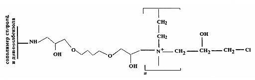
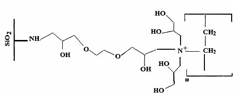
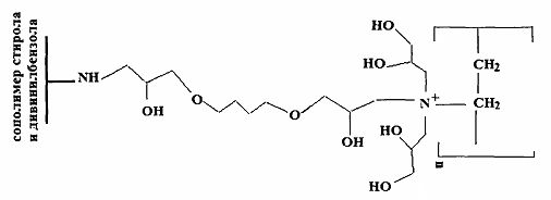
Изобретение относится к анионообменным сорбентам для ионохроматографического определения органических и неорганических анионов. Сорбент общей формулы (1) содержит химически привитую с помощью спейсера четвертичную аммониевую функциональную группу, содержащую по крайней мере один 2-гидроксипропильный радикал.При этом R- (СН)n, где n=2-8, Rвыбран из ряда: Н, ОН, Hal (галоген), Alkyl (алкильный радикал).В качестве исходного материала при получении берут аминированную матрицу, выбранную из ряда аминированных: полимера на основе дивинилбензола, в котором дивинилбензол является сшивающим агентом, полиметакрилата, диоксида кремния, диоксида титана, диоксида циркония или оксида алюминия. К матрице прививают спейсер на основе соединения из класса диглицидиловых эфиров. Затем модифицируют полученные соединения водорастворимым полимером, содержащим в цепи первичные либо вторичные аминогруппы, и алкилируют оксираном. Изобретение обеспечивает получение сорбента для селективного разделения смеси более десяти анионов. Сорбент обладает высокой эффективностью, стабильностью и селективностью. 2 н. и 12 з.п. ф-лы, 1 табл., 10 пр.
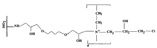
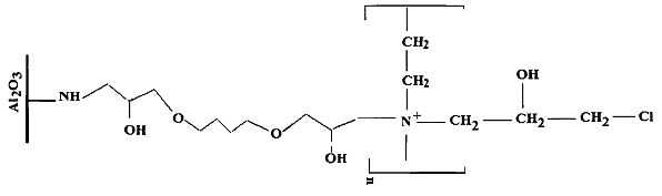
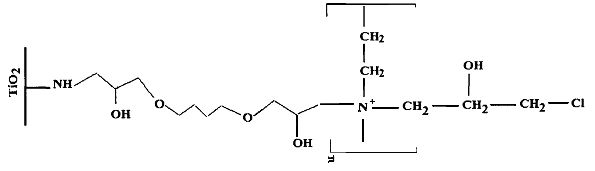
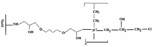
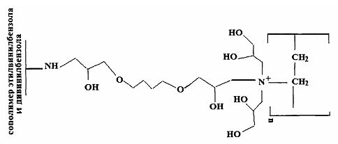
1. Анионообменный сорбент для ионохроматографического определения органических и неорганических анионов на основе аминированной матрицы, причем матрица выбрана из ряда: полимер на основе дивинилбензола, выступающего в качестве сшивающего агента в данном полимере, полиметакрилат, диоксид кремния, диоксид титана, диоксид циркония или оксид алюминия, с химически привитой к ней с помощью спейсера четвертичной аммониевой функциональной группой, входящей в основную или боковую цепь водорастворимого полимера, при этом четвертичная аммониевая функциональная группа содержит по крайней мере один 2-гидроксипропильный радикал, и общая формула сорбента соответствует формуле (1): 2. Анионообменный сорбент по п.1, отличающийся тем, что в качестве полимера на основе дивинилбензола, выступающего в качестве сшивающего агента, используют сополимер стирола и дивинилбензола. 3. Анионообменный сорбент по п.1, отличающийся тем, что в качестве полимера на основе дивинилбензола, выступающего в качестве сшивающего агента, используют сополимер этилвинилбензола и дивинилбензола. 4. Анионообменный сорбент по п.1, отличающийся тем, что при использовании в качестве матрицы полимера на основе дивинилбензола, выступающего в качестве сшивающего агента, размер частиц полимера составляет 3-10 мкм, а степень сшивки не менее 25%. 5. Анионообменный сорбент по п.1, отличающийся тем, что при использовании в качестве матрицы полиметакрилата размер частиц матрицы составляет 3-10 мкм. 6. Анионообменный сорбент по п.1, отличающийся тем, что при использовании в качестве матрицы оксидов, выбранных из ряда: диоксид кремния, диоксид титана, оксид алюминия или диоксид циркония, размер частиц матрицы составляет 1-10 мкм. 7. Способ получения анионообменного сорбента, соответствующего п.1, для ионохроматографического определения органических и неорганических анионов, включающий следующую последовательность операций: 8. Способ по п.7, отличающийся тем, что в качестве полимера на основе дивинилбензола, выступающего в качестве сшивающего агента, используют сополимер стирола и дивинилбензола. 9. Способ по п.7, отличающийся тем, что в качестве полимера на основе дивинилбензола, выступающего в качестве сшивающего агента, используют сополимер этилвинилбензола и дивинилбензола. 10. Способ по п.7, отличающийся тем, что при использовании в качестве матрицы полимера на основе дивинилбензола, выступающего в качестве сшивающего агента, размер его частиц составляет 3-10 мкм, а степень сшивки не менее 25%. 11. Способ по п.7, отличающийся тем, что при использовании в качестве матрицы полиметакрилата размер его частиц составляет 3-10 мкм. 12. Способ по п.7, отличающийся тем, что при использовании в качестве матрицы диоксида кремния, диоксида титана, диоксида циркония или оксида алюминия размеры частиц оксидов составляют 1-10 мкм. 13. Способ по п.7, отличающийся тем, что в качестве оксирана для алкилирования аминогрупп используют эпихлоргидрин. 14. Способ по п.7, отличающийся тем, что в качестве оксирана для алкилирования аминогрупп используют глицидол.
где R1-(СН2)n, n=2-8,
R2 выбран из ряда: Н, ОН, Hal (галоген), Alkyl (алкильный радикал), - четвертичная аммониевая группа, входящая в основную или боковую цепь водорастворимого полимера и содержащая по крайней мере один 2-гидроксипропильный радикал.
- в качестве исходного соединения берут аминированную матрицу, выбранную из ряда аминированных: полимера на основе дивинилбензола, в котором дивинилбензол является сшивающим агентом, полиметакрилата, диоксида кремния, диоксида титана, диоксида циркония или оксида алюминия;
- химически прививают к ней спейсер на основе соединения из класса диглицидиловых эфиров;
- модифицируют полученные соединения водорастворимым полимером, содержащим в цепи первичные либо вторичные аминогруппы;
- алкилируют полученное соединение оксираном.
Изобретение относится к новому анионообменному материалу на основе полимеров либо неорганических оксидов, который может быть использован в ионной хроматографии в качестве сорбента для одновременного определения органических и неорганических анионов с повышенной эффективностью, позволяющий произвести селективное разделение смеси свыше десяти анионов, в частности, для анализа воды, почвы и других объектов на содержание анионов. Для анионообменных сорбентов удерживание функциональных ионогенных групп на матрице может осуществляться посредством различных механизмов: электростатического или гидрофобного взаимодействия, с использованием адгезионного прикрепления («приклеивания»). В известных из литературы способах модифицирования матриц водорастворимыми полимерами для получения так называемых полиэлектролитных сорбентов обычно реализуется вариант электростатического закрепления. Известны полиэлектролитные анионообменные сорбенты на основе матриц, представляющих собой силикагель, модифицированных водорастворимым полимером, содержащим в цепи положительно заряженные четвертичные аммониевые группы (O.V. Krokhin, A.D. Smolenkov, N.V. Svintsova, O.N. Obrezkov, O.A. Shpigun, Modified silica as a stationary phase for ion chromatography. // J. Chromatogr. A. 1995. V.706. P.93-98). Для их приготовления матрицу - оксид кремния марки Silasorb C8 - смешивали с додецилбензилсульфоновой кислотой (для создания отрицательного заряда на поверхности матрицы). Затем проводили модифицирование водорастворимым полимером, содержащим положительно заряженные четвертичные аммониевые группы в цепи - например, раствором поли(N-этил-4-винилпиридиния бромида) или поли(диметилдиаллиламмония хлорида). Удерживание водорастворимого полимера осуществляется за счет электростатических взаимодействий между отрицательно заряженной поверхностью матрицы и положительно заряженными четвертичными аммониевыми группами в цепи полимера. Одним из достоинств полиэлектролитных сорбентов является их высокая эффективность, обусловленная тем, что при таком подходе к синтезу отсутствует диффузия анионов вглубь частицы матрицы, что приводит к отсутствию размывания хроматографических пиков. Другим важным преимуществом является их хорошая селективность, которая зависит от структуры используемого водорастворимого полимера и может легко варьироваться при выборе подходящего ионена, то есть полимера, содержащего четвертичные атомы азота в цепи. Однако существенным недостатком полиэлектролитных сорбентов является их невысокая стабильность, которая приводит к постепенному снижению ионообменной емкости в результате изменения конформации электростатически закрепленного водорастворимого полимера, а также его постепенного смывания с поверхности матрицы. Известны полиэлектролитные анионообменные сорбенты на основе полимерных матриц, представляющих собой сополимер стирола и дивинилбензола, модифицированный водорастворимым полимером, содержащим в цепи положительно заряженные четвертичные аммониевые группы (Касьянова Т.Н., Смоленков А.Д., Пирогов А.В., Шпигун О.А. Полиэлектролитные сорбенты для ионной хроматографии на основе полистирол-дивинилбензольной матрицы. // Сорбционные и хроматографические процессы. 2007. Т.7. Вып.1. С.52-59). Способ их получения включает получение отрицательно заряженной поверхности матрицы сульфированием ее поверхности концентрированной серной или хлорсульфоновой кислотой либо сульфоацилированием. Затем к полученной матрице с отрицательно заряженной поверхностью добавляют суспензию водорастворимого полимера, содержащего положительно заряженные четвертичные аммониевые группы в цепи, в водном растворе сульфита натрия. Удерживание водорастворимого полимера на поверхности происходит из-за сильных электростатических взаимодействий положительно заряженных атомов азота в молекуле полимера и отрицательно заряженных сульфогрупп на поверхности матрицы (образование полиэлектролитного комплекса). Избыточные положительные заряды и обеспечивают анионообменные свойства сорбента, позволяющие проводить разделение 6-8 анионов. Получаемые анионообменные сорбенты на основе сополимера стирола и дивинилбензола обладают всеми как положительными, так и отрицательными свойствами полиэлектролитных сорбентов на основе силикагеля, проявляя невысокую стабильность, которая приводит к постепенному снижению ионообменной емкости в результате изменения конформации электростатически закрепленного водорастворимого полимера, а также его постепенного смывания с поверхности матрицы. Однако современный уровень техники требует все более эффективного определения неорганических и органических анионов. Предлагаемое изобретение решает задачу создания анионообменных сорбентов, технология синтеза которых позволяет варьировать в широких пределах их селективность, и обладающих улучшенными эксплуатационными и хроматографическими характеристиками, такими как высокая стабильность, селективность и повышенная эффективность. Поставленная задача решается анионообменным сорбентом для ионохроматографического определения органических и неорганических анионов на основе аминированной матрицы, причем матрица выбрана из ряда: полимер на основе дивинилбензола, выступающего в качестве сшивающего агента в данном полимере, полиметакрилат, диоксид кремния, диоксид титана, диоксид циркония или оксид алюминия, с химически привитой к ней с помощью спейсера четвертичной аммониевой функциональной группой, входящей в основную или боковую цепь водорастворимого полимера, при этом четвертичная аммониевая функциональная группа содержит по-крайней мере один 2-гидроксипропильный радикал, и общая формула сорбента соответствует формуле (1): где R1 - (CH2)n, при этом n=2-8, R2 выбран из ряда: H, OH, Hal (галоген), Alkyl (алкильный радикал). В качестве полимера на основе дивинилбензола, выступающего в качестве сшивающего агента, наиболее оптимальные результаты дает использование сополимера стирола и дивинилбензола или сополимера этилвинилбензола и дивинилбензола. При этом лучшие результаты получают, когда размер частиц полимера составляет 3-10 мкм, а степень сшивки не менее 25%. При использовании в качестве матрицы полиметакрилата наиболее оптимальные результаты получают при размере частиц матрицы, составляющем 3-10 мкм. А при использовании в качестве матрицы оксидов, выбранных из ряда: диоксид кремния, диоксид титана, оксид алюминия или диоксид циркония, оптимальные результаты получают при размере частиц матрицы, составляющем 1-10 мкм. Еще одним аспектом изобретения является способ получения анионообменного сорбента, соответствующего п. 1, включающий следующую последовательность операций: - в качестве исходного соединения берут аминированную матрицу, выбранную из ряда аминированных: полимера на основе дивинилбензола, в котором дивинилбензол является сшивающим агентом, полиметакрилата, диоксида кремния, диоксида титана, диоксида циркония или оксида алюминия; - химически прививают к ней спейсер на основе соединения из класса диглицидиловых эфиров; - модифицируют полученные соединения водорастворимым полимером, содержащим в цепи первичные либо вторичные аминогруппы; - алкилируют полученное соединение оксираном. В качестве полимера на основе дивинилбензола, выступающего в качестве сшивающего агента, оптимально использовать сополимер стирола и дивинилбензола или сополимер этилвинилбензола и дивинилбензола. При использовании в качестве матрицы полимера на основе дивинилбензола, выступающего в качестве сшивающего агента, оптимальный размер его частиц составляет 3-10 мкм, а степень сшивки не менее 25%. А при использовании в качестве матрицы полиметакрилата оптимальный размер его частиц составляет 3-10 мкм. В то время как при использовании в качестве матрицы диоксида кремния, диоксида титана, диоксида циркония или оксида алюминия оптимальные размеры частиц оксидов составляют 1-10 мкм. В качестве оксиранов для алкилирования аминогрупп оптимально использовать глицидол и эпихлоргидрин. Техническим результатом предлагаемых изобретений является создание высокоселективного анионообменного сорбента, обладающего высокими стабильностью, селективностью и эффективностью, способ получения которого дает возможность варьирования селективности в широких пределах, является простым, быстрым и хорошо воспроизводимым, позволяя достигнуть селективного разделения смеси свыше десяти анионов с эффективностью порядка 30000-50000 тт/м, а также сохранять ионообменную емкость сорбента в течение длительного времени. Стадия химической прививки полимера к матрице через диглицидиловый эфир является новой, неизвестной из уровня техники и тем самым сообщает всему изобретению соответствие критериям как «новизны», так и «изобретательского уровня». В таблице 1 приведены хроматографические характеристики полученных анионообменных сорбентов. Приведенные ниже примеры подтверждают, но не ограничивают заявляемую совокупность признаков. Пример 1. Получение сорбента с химически привитым линейным полиэтиленимином на основе аминированного диоксида кремния с диаметром частиц 10 мкм. 1) В качестве исходной матрицы берут аминированный диоксид кремния с диаметром частиц 10 мкм. 2) Химическая прививка спейсера: в колбу на 100 мл помещают 1 г аминированного диоксида кремния, добавляют 15 мл воды и 1 мл (1,4-бутандиол)диглицидилового эфира. Реакционную смесь перемешивают в течение 30 минут при температуре 60°С, затем отфильтровывают и промывают водой. 3) Модификация полученного соединения водорастворимым полимером со вторичными аминогруппами: 1 г разветвленного полиэтиленимина растворяют в 15 мл дистиллированной воды, затем раствор добавляют к 1 г продукта, полученного на 2-й стадии. Реакционную смесь перемешивают в течение 45 минут при температуре 60°С, затем отфильтровывают и промывают водой. 4) Алкилирование: к 1 г продукта, полученного на 3-й стадии, добавляют 15 мл воды и 5 мл эпихлоргидрина. Реакционную смесь перемешивают в течение 60 минут при температуре 60°С, затем отфильтровывают и промывают водой. Пример 2. Получение сорбента с химически привитым линейным полиэтиленимином на основе аминированного оксида алюминия с диаметром частиц 5 мкм. 1) В качестве исходной матрицы берут аминированный оксид алюминия с диаметром частиц 5 мкм. 2)) Химическая прививка спейсера: в колбу на 100 мл помещают 1 г аминированного оксида алюминия, добавляют 15 мл воды и 1 мл (1,4-бутандиол)диглицидилового эфира. Реакционную смесь перемешивают в течение 30 минут при температуре 60°С, затем отфильтровывают и промывают водой. 3) Модификация полученного соединения водорастворимым полимером со вторичными аминогруппами: аналогично примеру 1. 4) Алкилирование: аналогично примеру 1. Пример 3. Получение сорбента с химически привитым линейным полиэтиленимином на основе аминированного диоксида титана с диаметром частиц 2 мкм. 1) В качестве исходной матрицы берут аминированный диоксид титана с диаметром частиц 2 мкм. 2) Химическая прививка спейсера: в колбу на 100 мл помещают 1 г аминированного диоксида титана, добавляют 15 мл воды и 1 мл (1,4-бутандиол)диглицидилового эфира. Реакционную смесь перемешивают в течение 30 минут при температуре 60°С, затем отфильтровывают и промывают водой. 3) Модификация полученного соединения водорастворимым полимером со вторичными аминогруппами: аналогично примеру 1. 4) Алкилирование: аналогично примеру 1. Пример 4. Получение сорбента с химически привитым линейным полиэтиленимином на основе аминированного диоксида циркония с диаметром частиц 7 мкм. 1) В качестве исходной матрицы берут аминированный диоксид циркония с диаметром частиц 7 мкм. 2)) Химическая прививка спейсера: В колбу на 100 мл помещают 1 г аминированного диоксида циркония, добавляют 15 мл воды и 1 мл (1,4-бутандиол)диглицидилового эфира. Реакционную смесь перемешивают в течение 30 минут при температуре 60°С, затем отфильтровывают и промывают водой. 3) Модификация полученного соединения водорастворимым полимером со вторичными аминогруппами:аналогично примеру 1. 4) Алкилирование: аналогично примеру 1. Пример 5. Получение сорбента с химически привитым линейным полиэтиленимином на основе аминированного полиметакрилата с диаметром частиц 6 мкм. 1) В качестве исходной матрицы берут аминированный полиметакрилат с диаметром частиц 6 мкм. 2) Химическая прививка спейсера: в колбу на 100 мл помещают 1 г аминированного полиметакрилата, добавляют 10 мл воды, 10 мл этанола и 1 мл (1,4-бутандиол)диглицидилового эфира. Реакционную смесь перемешивают в течение 60 минут при температуре 60°С, затем отфильтровывают и промывают водой. 3) Модификация полученного соединения водорастворимым полимером со вторичными аминогруппами: 1 г разветвленного полиэтиленимина растворяют в 10 мл дистиллированной воды, затем раствор добавляют к 1 г продукта, полученного на 2-й стадии, суспензированного в 10 мл этанола. Реакционную смесь перемешивают в течение 60 минут при температуре 60°С, затем отфильтровывают и промывают водой. 4) Алкилирование: к 1 г продукта, полученного на 3-й стадии, добавляют 15 мл этанола и 5 мл эпихлоргидрина. Реакционную смесь перемешивают в течение 2 часов при температуре 60°С, затем отфильтровывают и промывают водой. Пример 6. Получение сорбента с химически привитым разветвленным полиэтиленимином на основе аминированного сополимера стирола и дивинилбензола со степенью сшивки 50% и диаметром частиц 3 мкм. 1) В качестве исходной матрицы берут аминированный сополимер стирола и дивинилбензола со степенью сшивки 50% и диаметром частиц 3 мкм. 2) Химическая прививка спейсера: в колбу на 100 мл помещают 1 г аминированного сополимера стирола и дивинилбензола, добавляют 10 мл воды, 10 мл этанола и 1 мл (1,4-бутандиол)диглицидилового эфира. Реакционную смесь перемешивают в течение 60 минут при температуре 60°С, затем отфильтровывают и промывают водой. 3) Модификация полученного соединения водорастворимым полимером со вторичными аминогруппами: аналогично примеру 5. 4) Алкилирование: аналогично примеру 5. Пример 7. Получение сорбента с химически привитым поливиниламином на основе аминированного диоксида кремния с диаметром частиц 6 мкм. 1) В качестве исходной матрицы берут аминированный диоксид кремния с диаметром частиц 6 мкм. 2) Химическая прививка спейсера: в колбу на 100 мл помещают 1 г аминированного диоксида кремния, добавляют 15 мл воды и 1 мл (этандиол)диглицидилового эфира. Реакционную смесь перемешивают в течение 60 минут при температуре 60°С, затем отфильтровывают и промывают водой. 3) Модификация полученного соединения водорастворимым полимером с первичными аминогруппами: 1 г поливиниламина растворяют в 15 мл дистиллированной воды, затем раствор добавляют к 1 г продукта, полученного на 1-й стадии. Реакционную смесь перемешивают в течение 60 минут при температуре 60°С, затем отфильтровывают и промывают водой. 4) Алкилирование: к 1 г продукта, полученного на 3-й стадии, добавляют 15 мл воды и 5 мл глицидола. Реакционную смесь перемешивают в течение 60 минут при температуре 60°С, затем отфильтровывают и промывают водой. Пример 8. Получение сорбента с химически привитым поливиниламином на основе аминированного сополимера стирола и дивинилбензола со степенью сшивки 25% и диаметром частиц 7 мкм. 1) В качестве исходной матрицы берут аминированный сополимер стирола и дивинилбензола со степенью сшивки 25% и диаметром частиц 7 мкм. 2) Стадия прививки спейсера, как в примере 6. 3) Модификация полученного соединения водорастворимым полимером с первичными аминогруппами: 1 г поливиниламина растворяют в 10 мл дистиллированной воды, затем раствор добавляют к 1 г продукта, полученного на 2-й стадии, суспензированного в 10 мл этанола. Реакционную смесь перемешивают в течение 60 минут при температуре 60°С, затем отфильтровывают и промывают водой. 4) Алкилирование: к 1 г продукта, полученного на 2-й стадии, добавляют 10 мл этанола, 10 мл воды и 5 мл глицидола. Реакционную смесь перемешивают в течение 2 часов при температуре 60°С, затем отфильтровывают и промывают водой. Пример 9. Получение сорбента с химически привитым поливиниламином на основе аминированного сополимера этилвинилбензола и дивинилбензола со степенью сшивки 55% и диаметром частиц 5 мкм. 1) В качестве исходной матрицы берут аминированный сополимер этилвинилбензола и дивинилбензола со степенью сшивки 55% и диаметром частиц 5 мкм. 2) Стадия прививки спейсера, как в примере 6. 3) Модификация полученного соединения водорастворимым полимером с первичными аминогруппами, как в примере 8. 4) Алкилирование, как в примере 8. Пример 10. Ионохроматографическое определение органических и неорганических анионов с помощью анионообменных сорбентов, полученных в примерах 1-6 и 9. Полученные в примерах 1-6 анионообменные сорбенты набивают в хроматографические колонки размером 4×50 мм под давлением 200 бар и проводят ионохроматографическое разделение смеси органических и неорганических анионов в варианте одноколоночной ионной хроматографии с УФ-детектированием для анионообменников, полученных в примерах 1-4 и в варианте двухколоночной хроматографии с кондуктометрическим детектированием для анионообменников, полученных в примерах 5 и 6. В качестве подвижных фаз при работе в одноколоночном режиме используют растворы гидрофталата калия с pH 4 и 6, а в двухколоночном варианте - растворы карбоната, гидрокарбоната и гидроксида натрия. Хроматографические характеристики полученных анионообменных сорбентов представлены в таблице 1. Как видно из таблицы 1, полученные сорбенты обладают повышенной эффективностью (40000-55000 тт/м), селективностью (позволяют проводить одновременное определение 8-13 анионов) и стабильностью (минимальный срок эксплуатации без изменения ионообменной емкости составляет 4 месяца). Кроме того, предложенный способ получения дает возможность варьирования селективности анионообменников путем выбора водорастворимого полимера, например, при переходе от линейного полиэтиленимина к поливиниламину количество разделяемых анионов возрастает от 10 до 13 в случае использования в качестве матрицы диоксида кремния. Таким образом, предлагаемый способ получения сорбентов прост в исполнении и не требует использования высокотоксичных реагентов. Предложенные нами анионообменные сорбенты сочетают в себе как достоинства полиэлектролитных сорбентов, такие как высокая эффективность и селективность, так и высокую стабильность, обусловленную химическим закреплением (химической прививкой) водорастворимого полимера, что исключает возможность изменения его конформации и смывания слоя с поверхности матрицы. Кроме того, предложенный способ синтеза позволяет расширить круг используемых водорастворимых полимеров (до содержащих в цепи первичные, вторичные или третичные атомы азота), что позволяет существенно улучшить селективность и варьировать ее в более широких пределах, увеличивая возможное число определяемых анионов более чем в 1,5 раза по сравнению с прототипом. Предлагаемый подход к модифицированию прост в реализации, а благодаря высокой реакционной способности эпоксидных колец спейсера и алкилирующих агентов их реакции с аминогруппами, принадлежащими как матрице, так и водорастворимому полимеру, протекают легко, быстро и количественно при довольно мягких условиях (30-60 минут на одну стадию при температуре 50-60°С). Таким образом, дополнительным преимуществом данного подхода будет являться хорошая воспроизводимость синтеза с точки зрения получения необходимой ионообменной емкости.
- четвертичная аммониевая группа, входящая в основную или боковую цепь водорастворимого полимера и содержащая, по крайней мере, один 2-гидроксипропильный радикал.







