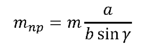
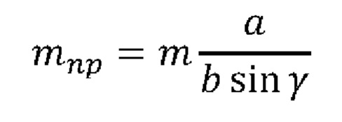
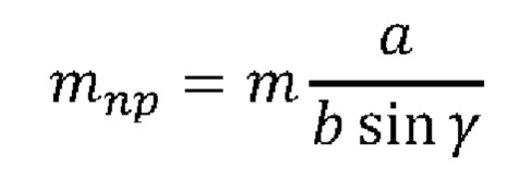
Полезная модель относится к области сельского хозяйства, в частности к машинам для посадки рассады. Рассадопосадочная машина состоит из рамы, на которой закреплены направляющая, рассадопосадочные секции, распределительно-высаживающий транспортер, сиденье сажальщика, привод, навесное устройство. Распределительно-высаживающий транспортер включает звенья посадочных стаканов, шарнирно связанных с цепями и жестко с механизмами фиксации вертикального положения. Стакан состоит из цилиндрического корпуса и створки, связанных между собой шарнирно. Створка выполнена в виде плоской пластины, представляющей собой двуплечий рычаг, соединенный с корпусом цилиндрической части посадочного стакана в верхней его точке шарнирно таким образом, что одно плечо плотно закрывает нижний торец корпуса посадочного стакана и охватывает его по контуру, а другое плечо расположено с наружной стороны корпуса посадочного стакана и служит противовесом, масса которого определяется формулой где m – масса торфо-почвенного комочка с рассадой, кг; а – длина плеча с противовесом, м; b – длина плеча, закрывающего нижний торец посадочного стакана, м; γ – угол наклона створки в закрытом положении, град. Такое конструктивное исполнение позволит подобрать основные размерно-массовые характеристики створки посадочного стакана и обеспечит надежное удержание рассады в посадочном стакане с момента загрузки оператором до момента взаимодействия с сошником, а также обеспечит своевременное закрытие створки, исключающее травмирование рассады, что повысит эффективность функционирования рассадопосадочной машины. При этом плечи створки расположены под определенным углом относительно друг друга для обеспечения полного открытия стакана и беспрепятственного перемещения ТПК с рассадой из стакана на дно борозды. Полезная модель может быть использована в сельском хозяйстве для посадки рассады. 1 з.п. ф-лы, 3 ил.

1. Рассадопосадочная машина, включающая раму, направляющую, распределительно-высаживающий транспортер, включающий посадочные стаканы со створками, объединенные в звенья и шарнирно связанные с цепями транспортера, механизмы фиксации вертикального положения, направляющая жестко связана с рамой в нижней горизонтальной плоскости перемещения звеньев цепного транспортера и взаимодействует со звеньями посадочных стаканов посредством механизма фиксации вертикального положения, причем звено посадочного стакана связано с механизмом фиксации вертикального положения жестко, отличающаяся тем, что створка выполнена в виде плоской пластины, представляющей собой двуплечий рычаг, соединенный с корпусом цилиндрической части посадочного стакана в верхней его точке шарнирно таким образом, что одно плечо плотно закрывает нижний торец корпуса посадочного стакана и охватывает его по контуру, а другое плечо расположено с наружной стороны корпуса посадочного стакана и служит противовесом, масса которого определяется формулой где m - масса торфо-почвенного комочка с рассадой, кг; а - длина плеча с противовесом, м; b - длина плеча, закрывающего нижний торец посадочного стакана, м; γ - угол наклона створки в закрытом положении, град. 2. Рассадопосадочная машина по п. 1, отличающаяся тем, что плечи створки расположены под углом относительно друг друга.
Полезная модель относится к области сельского хозяйства, в частности к машинам для посадки рассады. Известен способ посадки клубней и рассады овощных культур в горшках [1], согласно которому соседние звенья стаканов с посадочным материалом в транспортёре посадочной машины устанавливают на расстоянии, равном ширине междурядья, сошники посадочной машины располагают относительно друг друга со смещением в направлении движения машины, при этом величину смещения соседних сошников выбирают равной расстоянию между стаканами с посадочным материалом в звене транспортера. Недостаток существующего способа состоит в том, что нет машины обеспечивающей соответствующие параметры. Известна рассадопосадочная машина [2], содержащая раму, рассадопосадочные секции, сиденье сажальщика, привод, посадочные стаканы, цепной транспортер, в которой посадка рассады выполняется из посадочных стаканов, перемещающихся горизонтально. При этом в звене транспортёра установлено два и более стаканов с рассадой. Недостатком известного устройства является отсутствие основных геометрических размеров, необходимых для изготовления и функционирования рассадопосадочной машины. Известна рассадопосадочная машина [3], включающая раму, рассадопосадочные секции, сиденье сажальщика с механизмом регулировки по высоте, привод, цепной транспортёр. Соседние звенья посадочных стаканов машины установлены на расстоянии меньшем и кратном расстоянию между соседними сошниками, а минимальное расстояние между соседними звеньями равно высоте посадочного стакана. К недостаткам представленного устройства следует отнести отсутствие обоснованных геометрический параметров рассадопосадочной машины и посадочных стаканов. Такое положение снижает эффективность применения рассадопосадочной машины. Наиболее близким аналогом предлагаемого устройства, взятого за прототип, является рассадопосадочная машина [4], включающая раму, направляющую, распределительно-высаживающий механизм, посадочные стаканы, объединенные в звенья, фиксаторы вертикального положения. При этом направляющая жестко связана с рамой в нижней горизонтальной плоскости перемещения звеньев цепного транспортера, и взаимодействует со звеньями посадочных стаканов посредством дополнительного фиксатора вертикального положения, причем звено посадочного стакана связано с фиксатором вертикального положения жестко. Существенным недостатком предложенного устройства следует отнести то, что не обоснованы параметры створки посадочного стакана и неясно, каким образом будет обеспечиваться выгрузка рассады из посадочного стакана на дно борозды при взаимодействии створки с сошником. Целью настоящей полезной модели является повышение эффективности рассадопосадочной машины. Для достижения заявленной цели предложено техническое решение устройства рассадопосадочной машины, в которой посадочный стакан снабжен створкой, выполненной в виде плоской пластины, представляющей собой двуплечий рычаг, соединенный с корпусом цилиндрической части посадочного стакана в верхней его точке шарнирно, таким образом, что одно плечо плотно закрывает нижний торец корпуса посадочного стакана и охватывает его по контуру, а другое плечо расположено с наружной стороны корпуса посадочного стакана и служит противовесом, масса которого определяется формулой где m – масса торфо-почвенного комочка с рассадой, кг; а – длина плеча с противовесом, м; b – длина плеча, закрывающего нижний торец посадочного стакана, м; γ – угол наклона створки в закрытом положении, град. Новым отличительным признаком, необходимым для достижения цели, является то, что створка посадочного стакана выполнена в виде плоской пластины, представляющей собой двуплечий рычаг, соединенный с корпусом цилиндрической части посадочного стакана в верхней его точке шарнирно, таким образом, что одно плечо плотно закрывает нижний торец корпуса посадочного стакана и охватывает его по контуру, а другое плечо расположено с наружной стороны корпуса посадочного стакана и служит противовесом, масса которого определяется формулой где m – масса торфо-почвенного комочка с рассадой, кг; а – длина плеча с противовесом, м; b – длина плеча, закрывающего нижний торец посадочного стакана, м; γ – угол наклона створки в закрытом положении, град. Такое конструктивное исполнение позволит подобрать основные размерно-массовые характеристики створки посадочного стакана и обеспечит надежное удержание рассады в посадочном стакане с момента загрузки оператором до момента взаимодействия с сошником, а также обеспечит своевременное закрытие створки, исключающее травмирование рассады, что повысит эффективность функционирования рассадопосадочной машины. Новым отличительным признаком является и то, что плечи створки расположены под определенным углом относительно друг друга для обеспечения полного открытия посадочного стакана и беспрепятственного перемещения ТПК с рассадой из стакана на дно борозды. Вышеописанные признаки являются необходимыми, новыми и служат для достижения заявляемой цели предлагаемой полезной модели, что позволяет сделать вывод о том, что предлагаемое техническое решение обладает новизной и существенными отличиями. Предлагаемая конструкция рассадопосадочной машины и посадочного стакана представлена на фигурах: фиг. 1 - вид спереди; фиг. 2 - вид слева; фиг. 3 - расчетная схема посадочного стакана. Рассадопосадочная машина состоит из рамы 1, на которой закреплены рассадопосадочные секции 2, распределительно-высаживающий транспортер 6, звено посадочных стаканов 11, сиденье сажальщика 7, привод 8, навесное устройство 9, направляющая 14 жестко связанная с рамой в нижней горизонтальной плоскости перемещения звеньев цепного транспортера. Распределительно-высаживающий транспортер 6 включает звенья посадочных стаканов 11 шарнирно связанных с цепями 10 и жестко – с механизмом фиксации вертикального положения 15. Каждое звено имеет один механизм фиксации вертикального положения 15, размещенный на той стороне, где установлена направляющая 14, жестко связанная с рамой. Стаканы 12 в звене связаны жестко. Рассадопосадочная секция 2 (фиг. 1 и фиг. 2) включает сошник 3, обжимающие колеса 4, поводок 5. Сиденье сажальщика 7 закреплено на раме 1 и имеет механизм регулировки по высоте 13. Посадочный стакан 12 состоит из корпуса 16 и створки 17. Створка 17 (фиг. 3) выполнена в виде плоской пластины, представляющей собой двуплечий рычаг, соединенный с корпусом 16 цилиндрической части посадочного стакана в верхней его точке шарнирно, таким образом, что одно плечо 18 плотно закрывает нижний торец корпуса 16 посадочного стакана 12 и охватывает его по контуру, а другое плечо 19 расположено с наружной стороны корпуса посадочного стакана и служит противовесом, масса которого определяется формулой где m – масса торфо-почвенного комочка с рассадой, кг; а – длина плеча с противовесом, м; b – длина плеча, закрывающее нижний торец корпуса посадочного стакана, м; γ – угол наклона створки в закрытом положении, град. Плечи 18 и 19 створки 17 расположены под определенным углом α относительно друг друга для обеспечения полного открытия посадочного стакана 12 и беспрепятственного перемещения ТПК с рассадой 20 из посадочного стакана 12 на дно борозды. При движении распределительно-высаживающего транспортера 6 посадочный стакан 12 в составе звена 11 посадочных стаканов в некоторый момент времени оказывается над сошником 3. За счет взаимодействия посадочного стакана 12 с сошником 3 створка 17 открывается, и торфо-почвенный кубик (ТПК) с рассадой 20 под действием силы тяжести опускается на дно борозды. Принимаем, что посадочный стакан 12 находится в вертикальном положении, т.е. его геометрическая ось расположена вертикально. Ориентацию посадочного стакана в вертикальном положении обеспечивает фиксатор вертикального положения при взаимодействии с направляющей, установленной в нижней горизонтальной плоскости рамы рассадопосадочной машины. В этом случае на створку 17 посадочного стакана действует наибольшая вертикальная проекция силы тяжести от торфяно-почвенного кубика (ТПК) 20, которая совпадает с величиной силы тяжести ТПК [5]. Размер ТПК в диаметральном выражении принимаем меньше, чем диаметр свободного прохода трубчатого сечения корпуса 1 в два раза. Имеется две точки опирания ТПК: точка К – контакт ТПК рассады со створкой 2; точка М – опирание ТПК рассады на боковую поверхности цилиндрического корпуса 1. Это положение наблюдается при угле установки створки по отношению к оси посадочного стакана в диапазоне 30…60˚. Такой угол принят исходя из конструктивных соображений и основывается на принципе открывания створки 17 посадочного стакана 12 за счет зацепления за упор сошника. На фиг. 3 показаны силы, действующие на ТПК с рассадой 20: сила тяжести Уравнения статики для этой системы сил в проекции на оси координат, показанной на фиг 3: где γ - угол расположения створки в закрытом положении Из системы уравнений (1) определены величины реакции: Определим необходимую величину массы противовеса при известной длине рычага 19 (рис. 1). Запишем условие предельного равновесия в виде уравнения моментов всех сил относительно точки А. где а, b – плечи сил относительно т. А, м; mпр – масса противовеса, кг. В формуле (3) учтено, что реакция N1 со стороны ТПК 20 на створку 17 направлена противоположно направлению, указанному на фиг. 3. Выразим искомую массу противовеса: Таким образом, выражение (4) позволяет оценить минимальную величину массы противовеса для удержания створки в закрытом положении. Рассадопосадочная машина работает следующим образом. В стаканы 12 звена 11, двигающегося к рабочему месту сажальщика по верхнему горизонтальному участку, устанавливают горшочки с рассадой. Далее стаканы 12 с рассадой перемещаются по вертикальному участку вниз до нижнего горизонтального участка. При этом под действием силы тяжести звено 11, состоящее из стаканов 12 и механизма фиксации вертикального положения 15, за счет шарнирной связи с цепями транспортера устанавливается на вертикальных и верхнем горизонтальном участках перемещения в вертикальное положение, а на нижнем горизонтальном участке за счет взаимодействия механизма фиксации вертикального положения и направляющей. Далее стаканы 12 с рассадой перемещаются по нижнему горизонтальному участку. Механизм фиксации вертикального положения при взаимодействии с направляющей в нижней горизонтальной плоскости обеспечивает устойчивое вертикальное положение всего звена стаканов в процессе взаимодействия днищ посадочных стаканов с сошниками. Когда звено 11 оказывается над сошником, створка 16 соответствующего стакана 12 открывается, и рассада под действием силы тяжести опускается на дно борозды. При этом в процессе взаимодействия створок посадочных стаканов с сошником, благодаря конструкции створки 17, выполненной в виде плоской пластины, представляющей собой двуплечий рычаг, соединенный с корпусом цилиндрической части посадочного стакана в верхней его точке шарнирно, таким образом, что одно плечо 18 плотно закрывает нижний торец корпуса посадочного стакана и охватывает его по контуру, а другое плечо 19 расположено с наружной стороны корпуса посадочного стакана и служит противовесом, масса которого определяется формулой обеспечивается надежное удержание рассады в посадочном стакане с момента загрузки оператором до момента взаимодействия с сошником, а также своевременное закрытие створки, исключающее травмирование рассады, что повысит эффективность функционирования рассадопосадочной машины. Одновременно, плечи створки расположены под определенным углом относительно друг друга, что обеспечивает более полное открытие посадочного стакана и беспрепятственное перемещение ТПК с рассадой из стакана на дно борозды. Свободные от рассады звенья стаканов поднимаются вверх до верхнего горизонтального участка перемещения. Далее цикл повторяется. Литература 1. Патент на изобретение №2647857 РФ, МПК 01/02. Способ посадки клубней и рассады овощных культур / Н.Г. Касимов, О.Н. Крылов; заявитель и патентообладатель Касимов Н.Г. - №2017112237/13; заявл. 10.04.2017; опубл. 21.03.2018. Бюл.№9. 2. Патент на изобретение №2606792 РФ, МПК 01/02. Рассадопосадочная машина / Н.Г. Касимов, В.И. Константинов, А.В. Ботин, О.Н. Крылов, А.Г. Иванов, В.Ф. Первушин; заявитель и патентообладатель ФГБОУ ВО Ижевская ГСХА. - №2014149532/13; заявл. 08.12.2014; опубл. 10.01.2017. Бюл.№1. 3. Патент на полезную модель №191572 РФ, МПК А01С 11/02. Рассадопосадочная машина / В.И. Константинов, Н.Г. Касимов; заявитель и патентообладатель Константинов В.И. - №2019100375; заявл. 09.01.2019; опубл. 13.08.2019. Бюл.№23. 4. Патент на полезную модель №218536 РФ, МПК А01С 11/02. Рассадопосадочная машина / Н.Г. Касимов, В.Л. Фадеев, В.Ф. Первушин, М.З. Салимзянов, М.В. Платунова; заявитель и патентообладатель ФГБОУ ВО Удмуртский ГАУ - №2023106398 заявл. 17.03.2023; опубл. 30.05.2023. Бюл.№16. 5. Тарг С. М. Краткий курс теоретической механики: учеб. для вузов.–12-е изд., стер. / С. М. Тарг. – М.: Высшая школа, 2002. – 416 с.


(m – масса ТПК, кг; g – ускорение свободного падения, м/с2), приложенная в центре масс С и направленная вертикально вниз; нормальная реакция N1 в точке К направлена перпендикулярно створке 17; нормальная реакция N2 в точке М направлена перпендикулярно боковой стенке корпуса. Получим плоскую, сходящуюся систему трех сил, т.е. они все проходят через один центр S, показанный на фиг. 3.



