Якорь повышенной держащей силы сбалансированный относится к области судостроения и судоходства, в частности к судовым якорям. Якорь содержит коробку из трех смежных отсеков и две лапы, которые в совокупности образуют поворотный блок, при этом каждая лапа жестко закреплена на верхней стенке крайнего отсека, толщина наклонных стенок которого увеличена в их нижней части. При этом технический результат достигается за счет того, что угол между осью веретена и ребром лапы якоря выполнен в диапазоне 20°…23°, крайний отсек коробки в поперечном сечении имеет треугольную форму, при этом угол между наклонной стенкой крайнего отсека коробки и горизонтальной плоскостью выполнен в диапазоне 49°…51°, средний отсек коробки в поперечном сечении имеет трапециевидную форму, при этом угол между наклонной стенкой среднего отсека коробки и горизонтальной плоскостью выполнен в диапазоне 62°…65°.
Якорь повышенной держащей силы сбалансированный, содержащий коробку из трех смежных отсеков и две лапы, которые в совокупности образуют поворотный блок, при этом каждая лапа жестко закреплена на верхней стенке крайнего отсека, толщина наклонных стенок которого увеличена в их нижней части, а в объеме промежуточного отсека шарнирно закреплена оконечность веретена, отличающийся тем, что угол между осью веретена и ближайшим к нему ребром лапы якоря выполнен в диапазоне 20°…23°, крайний отсек коробки в поперечном сечении имеет треугольную форму, при этом угол между наклонной стенкой крайнего отсека коробки и горизонтальной плоскостью выполнен в диапазоне 49°…51°, средний отсек коробки в поперечном сечении имеет трапециевидную форму, при этом угол между наклонной стенкой среднего отсека коробки и горизонтальной плоскостью выполнен в диапазоне 62°…65°.
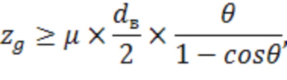
Полезная модель относится к области судостроения и судоходства, в частности к судовым якорям. В судостроении известны якоря типа А.С.14 (Шмаков М.Г., Климов А.С.Якорные и швартовные устройства (проектирование и расчет); Л.: Судостроение, 1964, - 416 с.; см. рис.18), которые относят к якорям повышенной держащей силы. Лапы якоря типа А.С.14 относительно уширены и жестко закреплены на общем основании, которое представляет собой коробку без нижней стенки. Оконечность веретена якоря шарнирно закреплена в объеме коробки, в ее средней части по ширине. Конструкция данных якорей отличается тем, что «лапы развиты в ширину, а их носки конструктивно облегчены и выполнены полыми», что дает возможность значительно понизить центр тяжести поворотной части и приближает его к уровню горизонтальной оси его поворота относительно веретена. Такое смещение уровня центра массы блока уменьшает вероятность отклонения лап от вертикального положения в процессе подъема якоря и, как следствие, повреждения носком лап корпуса судна. Недостатком известного устройства является сложность конструкции лап и ненадежность их в работе (высока вероятность нарушения прочности лап); кроме того, он не обладает свойством сбалансированного якоря. Наиболее близким к предлагаемому техническому решению, выбранным в качестве прототипа, является якорь сбалансированный (см. патент РФ №185142). Известный якорь содержит коробку из трех смежных отсеков и две лапы, которые в совокупности образуют поворотный блок, приэтом каждая лапа жестко закреплена на верхней стенке крайнего отсека. При этом якорь отличается тем, что центр массы блока находится ниже уровня оси его поворота относительно веретена, за счет дополнительного объема промежуточного отсека в его верхней части, а также за счет облегчения носка лапы и утяжеления в нижней части наклонных стенок коробки. При изготовлении якоря, согласно данному техническому решению, его параметры, независящие от отличительных признаков, соответствуют ГОСТ 25496 (ГОСТ 25496-82. Якоря повышенной держащей силы. Технические условия (С изменениями №1, 2, 3). - М.: ИПК Издательство стандартов, 2004. Дата введения 1984-01-01). При проведении натурных испытаний якоря коробка лап не восстановилась до конца в вертикальное положение при выбирании якоря из грунта. Известная конструкция прототипа выполняет функцию якоря повышенной держащей силы сбалансированного. Однако описываемые свойства якоря выполняются с недостаточной точностью и при его эксплуатации остается существенная вероятность повреждения корпуса судна при выбирании якоря из грунта. Задачей, решаемой заявленной полезной моделью, является уточнение и развитие признаков известной конструкции якоря-прототипа. Техническим результатом, достигаемым заявленной полезной моделью, является обеспечение необходимого расстояния между осью вращения коробки лап якоря на веретене и центром масс якоря для восстановления вертикального положения лап якоря при выбирании его из грунта. Технический результат достигается за счет того, что якорь повышенной держащей силы сбалансированный содержит коробку из трех смежных отсеков и две лапы, которые в совокупности образуют поворотный блок, при этом каждая лапа жестко закреплена на верхней стенке крайнего отсека, толщина наклонных стенок которого увеличена в их нижней части, а в объеме промежуточного отсека шарнирно закреплена оконечность веретена, в котором, согласно полезной модели, угол между осью веретена и ребром лапы якоря выполнен в диапазоне 20°…23°, крайний отсек коробки в поперечном сечении имеет треугольную форму, при этом угол между наклонной стенкой крайнего отсека коробки и горизонтальной плоскостью выполнен в диапазоне 49°…51°, средний отсек коробки в поперечном сечении имеет трапециевидную форму, при этом угол между наклонной стенкой среднего отсека коробки и горизонтальной плоскостью выполнен в диапазоне 62°…65°. Полезная модель поясняется чертежами. На фиг. 1 представлен вид якоря в плане (главный вид). На фиг. 2 представлен разрез по А-А фиг. 1. На фиг. 3 представлен вид по С фиг. 1 без учета вырыва. На фиг. 4 представлен разрез по Б-Б фиг. 1 без учета вырыва. Якорь повышенной держащей силы сбалансированный состоит из двух лап 1, каждая из которых жестко связана с верхней стенкой крайнего отсека 2 коробки, которая также включает промежуточный отсек 3. Лапы 1 и коробка вместе образуют поворотный блок якоря. Коробка якоря не имеет нижней стенки, а ее отсеки 2 и 3 разделены вертикальными стенками. Стенки крайних отсеков коробки выполнены с утолщением к низу (на фиг. 2 заштрихованы), что увеличивает массу коробки в ее нижней части. За счет этого обеспечивается смещение вниз центра массы поворотного блока. Наклон внутренней стенки крайнего отсека 2 выполнен под углом, выбираемым конструктивно из условия соблюдении баланса масс якоря В объеме промежуточного отсека 3 поворотного блока размещена и шарнирно закреплена относительно коробки оконечность веретена 4. Горизонтальная ось шарнирного соединения поворотного блока и веретена 4 отмечена на фиг. 1 («О-О»). При этом вправо от оси симметрии якоря (осевой линии веретена) в нижней его части выполнен вырыв на глубину до плоскости симметрии якоря. Верхние стенки отсеков 2 и 3 находятся на разных уровнях: у отсека 3 - выше оси «О-О», у отсека 2 ниже оси поворота «О-О» блока якоря; такое относительное смещение стенки отсека 3 позволяет поднять уровень оси шарнирного соединения поворотного блока и веретена 4. Для удержания верхней и наружных боковых стенок отсека 2 смежная вертикальная стенка отсека 3 выполнена с учетом конфигурации стенок отсека 2 (фиг. 4). В верхней стенке отсека 3 выполнено отверстие для прохода веретена 4 с учетом изменения в эксплуатационных условиях углового положения веретена 4 относительно блока якоря (наклонные стенки отсека 3 на фиг. 4 заштрихованы). Для обеспечения шарнирного соединения блока и веретена 4 последнее выполнено, например, с цапфой 5 (сечение цапфы на фиг. 4 заштриховано). Положение цапфы 5 относительно поворотного блока фиксируется стопорной планкой 6 (фиг. 1, 3, на фиг. 4 не показана), которая жестко соединяется со стенками отсека 3. На фиг. 4 поворотный блок якоря показан с отклонением от вертикали на максимальный угол 35°, а веретено с обрывом показано штрихпунктирной линией. Отличительными признаками заявленного якоря по сравнению с прототипом являются: угол α внутреннего наклона непосредственно лап 1 к оси веретена 4 для обеспечения баланса масс выполнен в диапазоне 20°…23°; наружная поверхность стенок отсеков 2 коробки, которые в поперечном сечении имеют треугольную форму, наклонена к горизонтальной плоскости на угол β составляющий 49°…51°; средний отсек, предназначенный для закрепления оси веретена 5, который в поперечном сечении имеет трапециевидную форму, выполнен с углом наклона стенок к горизонтальной поверхности δ, равным 62°…65°. Ширина оснований поперечных сечений отсеков коробки якоря выполняется согласно ГОСТ 25496 при заданной массе якоря. Требуемые углы были вычислены при разработке формы коробки лап с использованием цифрового прототипа и твердотельного моделирования. В процессе моделирования было определено условие достижения качественной самобалансировки якоря, которое выражается в определении минимального расстояния между осью вращения коробки лап на веретене и центром масс якоря. Это расстояние зависит от диаметра оси веретена, коэффициента силы трения и угла поворота якоря при выбирании его из грунта. где При проведении натурных испытаний было определено, что необходимое для самобалансировки лап якоря значение расстояния между осью вращения коробки лап на веретене и центром масс якоря возможно при принятых значения углов α, β и δ, а также при дополнительном выполнении внутренней стенки крайнего отсека 2 под углом, отличным от β, выбираемым конструктивно из условия соблюдении баланса масс якоря. В целом, за счет отличительных признаков якорь при меньшей массе обладает повышенной держащей силой на любых грунтах и при выбирании якоря из грунта за счет его балансировки лапы находятся в одной плоскости с веретеном, что исключает повреждение корпуса судна. Принятое техническое решение более технологично, в отличии от прототипа. Якорь функционирует следующим образом: Заглубление якоря в грунт происходит при относительном угловом положении веретена 4 и поворотного блока, представленном на фиг.4, как у якоря-прототипа. Форма коробки якоря сохраняет особенности, присущие прототипу. Принятые значения углов β и δ обеспечивают уверенное заглубление лапы 1 якоря в грунт на необходимую глубину для обеспечения повышенной держащей силы и оптимальное возвышение оси вращения над центром тяжести лап, что позволяет им в процессе подъема якоря самобалансироваться в вертикальное положение с допустимой точностью отклонения от вертикали. Угол α в принятом диапазоне позволяет обеспечивать баланс масс при заданных габаритных размерах якоря и его соответствие нормативной документации. При подъеме якоря из воды, при наличии на лапах 1 прилипшего грунта, согласно хорошей судовой практике, он смывается струей воды. Такая операция, а также сбалансированность якоря обеспечат при его подъеме из воды вертикальное положение лап 1, и, как следствие, будет исключено повреждение лапами 1 корпуса судна. Практические испытания опытных образцов заявленной конструкции якоря подтверждают возможность достижения технического результата при указанных отличительных признаках.
- расстояние между осью вращения коробки лап на веретене и центром масс якоря;
- коэффициент сопротивления трения в точке соприкосновения коробки лап якоря с осью веретена;
- диаметр оси веретена;
- угол поворота коробки лап вокруг своей оси при выбирании из грунта, регламентированный стандартом и Правилами классификационных обществ;