Полезная модель относится к боеприпасам, а именно, к осколочным снарядам, и может быть использована в военном деле. Осколочный снаряд содержит корпус с привинтной головкой, снаряжение в виде моноблока со стреловидными поражающими элементами, верхнего вышибного заряда, трубки, диафрагмы и нижнего вышибного заряда. Снаряд в окончательное снаряжение приведен дистанционным взрывателем. Для повышения эффективности действия осколочного снаряда со стреловидными поражающими элементами при поражении живой силы в средствах индивидуальной бронезащиты в виде тканевых бронежилетов и общевойсковых защитных шлемов стреловидные поражающие элементы имеют поперечную нагрузку в 1,31 раза большую, чем штатные за счет увеличения их относительной длины и массы, которая составляет 2,10 г. Полезная модель направлена на повышение эффективности действия снаряда при поражении живой силы в средствах индивидуальной бронезащиты. 3 ил.
Осколочный снаряд, содержащий корпус с привинтной головкой, его снаряжение в виде моноблока со стреловидными поражающими элементами, верхнего вышибного заряда, нижнего вышибного заряда и дистанционного взрывателя, обеспечивающего возможность формирования форса огня после выстрела на заданной дистанции и воспламенения верхнего вышибного заряда, трубки для обеспечения срабатывания нижнего вышибного заряда от верхнего вышибного заряда, диафрагмы для передачи давления от нижнего вышибного заряда на моноблок со стреловидными поражающими элементами, отличающийся тем, что стреловидные поражающие элементы имеют массу 2,1 г каждый и длину 50,5 мм.
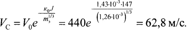
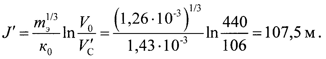
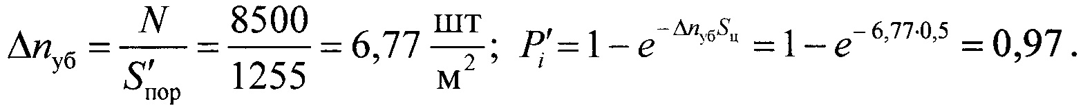
Полезная модель относится к боеприпасам, а именно, к осколочным снарядам, и может быть использована в военном деле. Известен артиллерийский осколочный снаряд 3Ш2 (фиг. 1), содержащий корпус 1 с привинтной головкой 2, снаряжение в виде нижнего вышибного заряда 3, диафрагмы 4, трубки 5, моноблока со стреловидными поражающими элементами (ПЭ) 6 и верхнего вышибного заряда 7. Артиллерийский снаряд укомплектован дистанционным взрывателем 8 (см. с. 239-248 [1]; с. 59 [2]). Данный штатный снаряд 3Ш2 действует следующим образом. После выстрела на заданной дистанции срабатывает дистанционный взрыватель, который формирует на выходе форс огня и воспламеняет верхний вышибной заряд 7 (см. фиг. 1), а от него через трубку 5 нижний вышибной заряд 3. Под действием давления пороховых газов при сгорании верхнего вышибного заряда 7 срезается резьба привинтной головки 2 (2-3 витка) и последняя отбрасывается. При сгорании нижнего вышибного заряда 3 давление его пороховых газов через диафрагму 4 передается на моноблок со стреловидными ПЭ 6 и он выбрасывается из корпуса снаряда 1, как из ствола, с добавочной скоростью около 80 м/с. Под действием центробежных сил моноблок 6 разрушается и стреловидные ПЭ разлетаются в угле до 34°, поражая открыто расположенную живую силу. С развитием и применением средств индивидуальной бронезащиты личного состава армий государств эффективность действия этих боеприпасов существенно снизилась, а в некоторых случаях сведена практически к нулю (для снаряда инд. 3Ш1). Предлагается конструктивными изменениями стреловидных ПЭ осколочного снаряда решить задачу повышения эффективности его действия при поражении защищенной живой силы. Указанная цель достигается тем, что в известном осколочном снаряде со стреловидными ПЭ они имеют рациональные конструктивные характеристики (фиг. 2). Эффективно, если приведенная площадь поражения живой силы в тканевых бронежилетах (БЖ) данными снарядами достигает максимального значения. На фиг. 1 изображен артиллерийский осколочный снаряд инд. 3Ш2; на фиг. 2 - предлагаемый стреловидный ПЭ; на фиг. 3 - расчетная схема. Учитывая, что эти боеприпасы применяются при первых огневых налетах, когда противник еще не успел укрыться, и «обработка» целей начинается с переднего края, то можно оценку эффективности стрельбы осуществлять как для стрельбы на средние дальности и угол встречи снаряда с целью ΘС можно принять равным 60° (фиг. 3). Оценку осуществим для 152 мм снаряда инд. 3Ш2. Математическое ожидание высоты срабатывания дистанционного взрывателя ДТМ-75 для этих типов снарядов составляет 100 м. Вначале найдем размеры зоны поражения, а затем и саму площадь поражения не защищенной живой силы. Скорость снаряда на нисходящей ветви траектории составляет порядка 360 м/с, а скорость выброса стреловидных ПЭ около 80 м/с. Таким образом, начальная скорость стреловидных ПЭ V0 на высоте Н=100 м составит 440 м/с. Найдем углы конуса разлета стреловидных ПЭ при встрече с плоскостью целей: Для снаряда инд. 3Ш2 угол разлета стреловидных ПЭ γ=34° и для принятых условий α=43°, a β=103°. Найдем размеры эллипса при пересечении области разлета стреловидных ПЭ с плоскостью целей. Для этого воспользуемся теоремой синусов Найдем наибольшую дальность полета стреловидного ПЭ до встречи с целью, приняв ее за убойный интервал J=AB (см. фиг. 3) Тогда из зависимости (2) Далее найдем наименьший размер эллипса 2а Окончательно площадь поражения не защищенной живой силы (площадь накрытия целей стреловидными ПЭ) будет равна Sпop=πаb=3,14⋅17,65⋅42,10=2334 м2. Для снаряда инд. 3Ш2 по наибольшей дальности полета стреловидного ПЭ (J=AB) определим эффективность его действия по живой силе в тканевом БЖ инд. 6Б23 (mэ=1,26 г; dэ=2,3 мм; bТП=12 мм). Для этого воспользуемся методикой, представленной в работе [3], предварительно определив скорость встречи стреловидного ПЭ с целью VC и предельную скорость непробития БЖ инд. 6Б23 Скорость встречи стреловидного ПЭ с целью определяется по зависимости [2] Предельную скорость непробития БЖ где SM - площадь миделя стреловидного ПЭ. Для стандартного шарика (mэ=1,01 г) Отсюда Величину удельного единичного импульса Тогда предельная скорость непробития БЖ инд. 6Б23 (bТП=12 мм) стреловидным ПЭ (mэ=1,26 г) составит Так как Будем считать, что надежное поражение не защищенной живой силы будет наступать при кинетической энергии стреловидного ПЭ, равной Для обеспечения надежного поражения живой силы в тканевых БЖ1 инд. 6Б23 можно пойти по двум направлениям: 1. Не изменяя количество стреловидных ПЭ в снаряде инд. 3Ш2 (N=8500 шт.), найти оптимальную высоту срабатывания снаряда. 2. Не изменяя условия стрельбы, можно найти рациональную массу стреловидного ПЭ. Оценка по первому предложению дает следующее. Для штатного стреловидного ПЭ (mэ=1,26 г; dэ=2,3 мм), с целью надежного поражения живой силы в тканевых БЖ инд. 6Б23, скорость встречи стреловидного ПЭ должна составлять VС=106 м/c, при которой скорость выхода стреловидного ПЭ после пробития тканевого пакета БЖ составит 62,8 м/с, т.е. его энергия будет равна критической (Екр=2,48 Дж). Тогда, используя зависимость (3), найдем убойный интервал стреловидного ПЭ Окончательно оптимальная высота срабатывания снаряда инд. 3Ш2 для поражения живой силы в тканевых БЖ инд. 6Б23 будет равна H'=J'⋅sinα=107,5⋅sin43°=73,3 м. При уменьшении высоты срабатывания снаряда размеры площади поражения изменятся и будут равны: Тогда площадь поражения будет равна Применение тканевых БЖ инд. 6Б23 приводит к уменьшению площади поражения живой силы и отношение площадей Оценка по второму предложению, - в какой мере изменится эффективность снаряда инд. 3Ш2 при поражении живой силы в БЖ инд. 6Б23 при переходе на другую массу стреловидного ПЭ, может быть осуществлена через площадь поражения, а лучше всего через приведенную площадь поражения. Варьируя конструктивными характеристиками стреловидного ПЭ и плотностью их при накрытии цели при использовании методики, изложенной в работе [3], были определены рациональные конструктивные характеристики стреловидного ПЭ: mэ=2,10 г; dэ=2,6 мм; lэ=50,5 мм (см. фиг. 2). В первом приближении пробивное действие стреловидного ПЭ можно оценить через его удельную кинетическую энергию, которая определяется по зависимости где Для штатного стреловидного ПЭ (mэ=1,26 г) qэ=238 кг/м2, а для предлагаемого qэ=311 кг/м2, т.е. поперечная нагрузка предлагаемого стреловидного ПЭ в 1,31 раза больше чем штатного. Относительная длина штатного стреловидного ПЭ Убойную скорость стреловидного ПЭ после пробития БЖ инд. 6Б23 определим через его критическую скорость по зависимости Для стреловидного ПЭ массой 2,10 г Тогда для надежного поражения живой силы скорость встречи стреловидного ПЭ массой 2,10 г с тканевым БЖ инд. 6Б23 должна быть равна Используя зависимость (3), найдем убойный интервал стреловидного ПЭ массой 2,10 г Тогда оптимальная высота срабатывания снаряда, снаряженного стреловидными ПЭ массой mэ=2,10 г каждый, будет равна Н''=J''⋅sinα=153,7⋅sin43°=105 м. При данной высоте срабатывания снаряда размеры площади поражения будут равны: Тогда площадь поражения будет равна При этих условиях отношение площадей Однако площадь поражения не является объективной оценкой эффективности действия боеприпасов. Корректное решение данной задачи должно быть осуществлено через приведенную площадь поражения Sпр, для определения которой необходимо знать закон распределения стреловидных ПЭ в угле разлета. Данный закон распределения стреловидных ПЭ в конусе разлета позволяет определять плотность ПЭ в конусе разлета и устанавливается он только опытным путем. В первом приближении для простоты расчета распределение стреловидных ПЭ в конусе разлета примем равномерным. Количество стреловидных ПЭ с массой mэ=2,10 г каждый найдем из условия постоянства массы снаряжения Тогда для стреловидного ПЭ массой mэ=1,26 г и при высоте срабатывания снаряда Н'=73,3 м плотность стреловидных ПЭ, летящих на цель, и вероятность ее поражения будут равны: где Sц - уязвимая площадь цели (живой силы). Поскольку защитные свойства БЖ инд. 6Б23 и общевойскового защитного шлема инд. 6Б6 (6Б7) равнозначны, а остальные части тела биологического объекта более уязвимы, то Sц можно принять равной 0,5 м2. Для стреловидного ПЭ массой mэ=2,10 г и при высоте срабатывания снаряда Н''=105 м плотность стреловидных ПЭ, летящих на цель, и вероятность ее поражения будут равны: Тогда приведенные площади поражения по этим двум вариантам будут равны: Второй вариант решения задачи предпочтительней, т.к. позволяет повысить приведенную площадь поражения. Отношение приведенных площадей поражения При стрельбе на картечь снарядами инд. 3Ш2 открыто расположенная не защищенная живая сила в положении стоя поражается на расстоянии до 500 м от орудия (стрельбы на полном заряде) [1]. При стрельбе на картечь снарядами инд. 3Ш2 по живой силе в БЖ инд. 6Б23 убойный интервал будет составлять 148 м, а при использовании стреловидных ПЭ с массой 2,10 г дальность поражения увеличивается до 201 м, т.е. в 1,36 раза. Такой боеприпас способен надежно поражать не только живую силу в тканевых БЖ, но и небронированную технику противника. Таким образом, окончательно можно заключить, что осколочный снаряд с предлагаемыми стреловидными ПЭ позволяет в 1,33 раза увеличить приведенную площадь поражения живой силы в тканевых бронежилетах и в общевойсковых защитных шлемах, что дает положительный эффект, заключающийся в уменьшении нормы расхода боеприпасов на поражение целей. Источники информации 1. Физические основы устройства ракетно-артиллерийского вооружения. Боеприпасы: учеб. для вузов. В 3 ч. Ч. 1. Общие принципы построения и конструкция артиллерийских боеприпасов / И.И. Грачев, А.А. Котосов, А.А. Плющ; под общ. ред. А.А. Плюща. - Пенза: ПАИИ, 2015. - 507 с. 2. Аблов B.C., Орлов В.Г., Степанов П.П. Конструкция, теория и расчет снарядов и головных частей. - Пенза: ПВАИУ, 1979 г. - 504 с. 3. Дерябин О.П., Дерябин П.Н., Тюмин А.А. Теоретические основания оценки степени поражения личного состава подразделений силовых структур в тканевых бронежилетах. - Пенза: ПАИИ, 2008. - 124 с.





.
определим через удельный импульс
, а для стреловидного ПЭ (mэ=1,26 г, dэ=2,3 мм)
, где 
найдем, используя опытные данные по испытаниям БЖ инд. 6Б11 (для стального шарика массой 1,01 г и диаметром dш=6,3 мм,
, bТП=7 мм).

, то будет непробитие БЖ и параметры поражения живой силы через БЖ инд. 6Б23 составят: объем временной полости в мягких тканях биологического объекта Wк=2,5 см3; степень контузии биологического объекта СК<2, т.е. стреловидный ПЭ массой 1,26 г поражение живой силы не вызывает.






- поперечная нагрузка стреловидного ПЭ.
, а предлагаемого 

Предельная скорость непробития БЖ инд. 6Б23 (bТП=12 мм) стреловидным ПЭ массой mэ=2,10 г составит





, т.е. при переходе на другую массу стреловидного ПЭ площадь поражения возрастает в 2,05 раза.




, т.е. в 1,33 раза больше и позволяет иметь запас по поражению при разработке новых БЖ. Следует отметить, что при снижении высоты срабатывания снаряда вероятность поражения становится избыточной, и в ее повышении до уровня 0,97 нет необходимости.