патент
№ RU 2564919
МПК A61K31/215

ПРОТИВОВИРУСНОЕ СРЕДСТВО

Авторы:
Парфенова Татьяна Михайловна Изместьева Анастасия Васильевна Веселовский Владимир Всеволодович
Все (14)
Номер заявки
2014122442/15
Дата подачи заявки
03.06.2014
Опубликовано
10.10.2015
Страна
RU
Как управлять
интеллектуальной собственностью
Реферат

Изобретение относится к фармацевтике и представляет собой противовирусное средство. Осуществление изобретения позволяет снизить токсичности и повысить терапевтический эффект противовирусного средства. Противовирусное средство представляет собой полипреноловый эфир 6-бром-1-метил-5-метокси-2-фенилтиометилиндол-3-карбоновой кислоты общей формулы (I):где n=[1-2], m=[4-27]. 8 табл., 4 пр.

Формула изобретения

Противовирусное средство, представляющее собой полипреноловый эфир 6-бром-1-метил-5-метокси-2-фенилтиометилиндол-3-карбоновой кислоты общей формулы:

где n=[1-2], m=[4-27].

Описание

[1]

Изобретение относится к фармацевтике и медицине, в частности к лекарственным средствам для лечения вирусного энцефаломиокардита, герпеса, гепатита С и гриппа.

[2]

Известно противовирусное средство на основе полипренолов (RU 2189231), которое оказывает защитный эффект при гриппозной инфекции в дозах от 0,5-60 мг/кг в зависимости от способа введения и лекарственной формы препарата при индексе эффективности (разнице между процентом гибели животных в опыте и контроле, деленной на контрольный процент гибели животных), равном 0,15-0,5, что позволяет использовать средство только с профилактической целью и на ранних стадиях заболевания, но не для лечения вирусных заболеваний.

[3]

Наиболее близким к заявленному средству по достигаемому результату является противовирусное средство арбидол - этиловый эфир 6-бром-4-диметиламинометил-1-метил-5-окси-2-фенилтиометилиндолинил-3-карбоновой кислоты гидрохлорид моногидрат, который обладает широким спектром действия в отношении вирусов гриппа А и В и других острых респираторных вирусных инфекций (ОРВИ), аденовирусу, респираторно-синцитиальному вирусу, коронавирусу, включая возбудителя атипичной пневмонии, вирус простого герпеса (RU 2394618, RU 2033156).

[4]

Кроме того, арбидол как лечебный препарат эффективен только в ранние сроки заболевания гриппом - не более 2-х суток от начала заболевания [Ленева И.А., Гуськова Т.А., Глушков Р.Г. Лекарственные средства для химиотерапии и химиопрофилактики гриппа: особенности механизма действия, эффективность и безопасность // Хим.-фарм. журнал, 2004, № 11, сс. 8-14].

[5]

При внутрижелудочном применении арбидол относится к малотоксичным препаратам [Гуськова Т.А., Глушков Р.Г. Арбидол - иммуномодулятор, индуктор интерферона, антиоксидант. ЦХЛС-ВНИХФИ, М., 1999, 2001], однако при парентеральном введении на мышах и крысах его LD50 составляет 109 и 140 мг/кг соответственно, что позволяет его отнести к умеренно токсичным препаратам [Березовская И.В. Классификация химических веществ по параметрам острой токсичности при парентеральных способах введения // Хим.-фарм. журнал, 2003. Т. 37, № 3, сс. 32-34]. При оценке на клеточных культурах его IC50 (среднеингибиторная концентрация, снижающая на 50% жизнеспособность клеток) составляет 40-60 мкг/мл [Ленева И.А. Механизм вирусспецифического действия препарата арбидол. Дисс. докт. биол. наук, СПб., 2005]. Индекс эффективности арбидола (при эффективной дозе 10 мкг/мл) в условиях in vitro, рассчитанный как разница между титрами вируса в опыте и контроле, поделенная на титр вируса в контроле, составляет 0,5-0,8 для вируса герпеса и 0,3-0,5 для вируса гриппа, а 50%-ная цитотоксическая доза препарата составляет примерно 50 мкг/мл (RU 2394618).

[6]

При этом фармакологический индекс (отношение между цитотоксической концентрацией и средней вирусингибирующей концентрацией) составляет только 3,75 (как правило, индекс селективности, по меньшей мере, должен быть больше 10) [Хабриев Р.У. (ред.). Руководство по экспериментальному (доклиническому) изучению новых фармакологических веществ. М., 2005].

[7]

Технический результат от использования предлагаемого средства заключается в снижении токсичности и повышении терапевтической эффективности противовирусного средства.

[8]

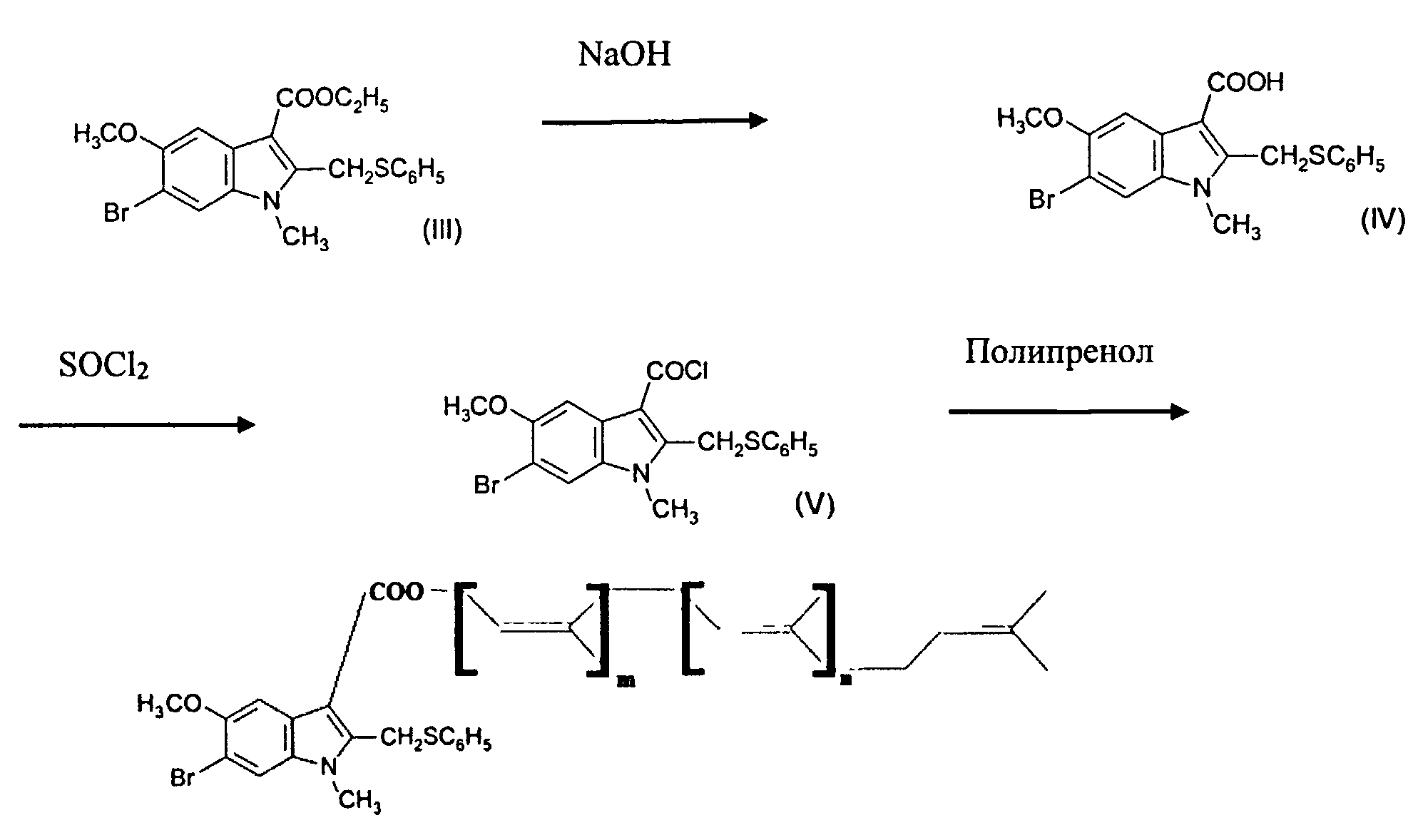
Указанный технический результат достигается тем, что противовирусное средство представляет собой полипреноловый эфир 6-бром-1-метил-5-метокси-2-фенилтиометилиндол-3-карбоновой кислоты общей формулы (I):

[9]

[10]

где n=[1-2], m=[4-27].

[11]

Средство может использоваться в сочетании с любым разрешенным для медицинского применения носителем в виде инъекционных растворов, спреев, клизм, капель для глаз и носа, а также в виде свечей (ректальных, влагалищных, внутриматочных и уретральных), в виде водных растворов, заключено в твердые или мягкие желатиновые капсулы, таблетированные формы или может быть использовано как добавка к пище. Для перорального терапевтического введения активное химическое соединение может быть объединено с одним или несколькими вспомогательными ингредиентами в виде таблеток, пастилок, капсул, эликсиров, суспензий, сиропов и т.д.

[12]

Таблетки, пастилки, пилюли, капсулы и т.д. могут также содержать такие связующие, как камедь, кукурузный крахмал или желатин; наполнители, такие как дифосфат кальция; дезинтегрирующие агенты, такие как кукурузный крахмал, картофельный крахмал. Могут быть добавлены также подслащивающие агенты, такие как сахароза, фруктоза, лактоза или аспартам; смазывающее вещество, такое как стеарат магния.

[13]

Если стандартная лекарственная форма представляет собой капсулу, она может содержать, в дополнение к материалам, указанным выше, жидкий носитель, такой как растительное масло или полиэтиленгликоль. Могут присутствовать другие материалы в виде покрытий или для модификации физической формы твердой стандартной лекарственной формы. Например, таблетки, пилюли или капсулы могут быть покрыты желатином, воском, шеллаком, сахаром и т.д. Сироп или эликсир могут содержать активное соединение, сахарозу или фруктозу в качестве подслащивающего агента, метил- и пропилпарабены в качестве консервантов, краситель и ароматизатор, например вишневый или апельсиновый. Любой материал, используемый для получения любой лекарственной формы, должен быть фармацевтически приемлемым и нетоксичным в используемых количествах.

[14]

Средство получают следующим образом.

[15]

Основой синтеза соединения I является полипренол общей формулы (II):

[16]

[17]

где n=[1-2], m=[4-27].

[18]

Соединение I получают взаимодействием полипренола II с хлорангидридом кислоты IV в среде органического растворителя по следующей схеме:

[19]

[20]

Пример получения 6-Бром-1-метил-2-фенилтиометилиндол-3-карбоновой кислоты. Раствор 3,8 г (0,009 моля) III, 5 г едкого натра, 3 мл воды в 100 мл этилового спирта кипятят 3 часа. После частичного упаривания спирта добавляют воду до растворения соли и подкисляют концентрированной соляной кислотой при охлаждении. Осадок отфильтровывают, промывают водой и сушат. Температура плавления 213°C.

[21]

Пример получения хлорангидрида 6-бром-1-метил-5-метокси-2-фенилтиометилиндол-3-карбоновой кислоты (V).

[22]

К суспензии 2,03 г (0,005 моля) кислоты IV в 2,5 мл диоксана при комнатной температуре добавляют 2,5 мл хлористого тионила и 1 каплю диметилформамида. Греют на водяной бане при 50-60°C 2 часа и оставляют на ночь при комнатной температуре на сутки. Тщательно отгоняют диоксан и избыток хлористого тионила.

[23]

Пример получения полипренового эфира 6-бром-1-метил-5-метокси-2-фенилтиометилиндол-3-карбоновой кислоты (I).

[24]

К раствору хлорангидрида V (0,005М) в 10 мл бензола добавляют смесь 2,8 г (0,0025 моля) 98% полипренола II, 1 мл триэтиламина в 15 мл бензола. Реакционную смесь греют на водяной бане при 50-60°C 2 часа и оставляют при комнатной температуре на сутки.

[25]

После отгонки бензола в вакууме добавляют 20 мл петролейного эфира. Осадок гидрохлорида триэтиламина и избытка исходного хлорангидрида V отфильтровывают, промывают дважды в 10 мл петролейного эфира. После упаривания петролейного эфира оставшееся масло растворяют в небольшом количестве хлороформа и наносят на силикагель 60, 0,015-0,040 мм, элюируют хлороформом.

[26]

Контроль осуществляют с помощью ТСХ в системе CHCl3 на пластинах Silufol UV254. Хроматограммы проявляют насыщенным раствором KMnO4. Сушат в вакууме масляного насоса при 50-60°C.

[27]

Выход 1,43 г, n16-1,5385.

[28]

Структура полученного соединения подтверждена данными спектра ПМР, индивидуальность ТСХ на пластинках Silufol 44254.

[29]

Специфические противовирусные свойства заявленного соединения показаны на следующих примерах.

[30]

Пример 1. Цитотоксические свойства и противовирусная активность в отношении вируса энцефаломиокардита (ВЭМК).

[31]

Изучение специфической противовирусной активности заявленного соединения в отношении ВЭМК мышей (штамм «Колумбия SK-Col-SK») проводят in vitro на культуре перевиваемых клеток костного мозга человека, больного лейкемией Л-41 (клон J-96) и культуре почки клеток африканской зеленой мартышки Vero. Клетки Л-41 в исходной концентрации 2·105 кл/мл высевают по 0,2 мл в 96-луночные плоскодонные культуральные планшеты в среде 199 с добавлением 10% эмбриональной телячьей сыворотки, глутамина (300 мкг/мл) и пенициллина (100 Ед/мл). Клетки Vero высевают в концентрации 1,5·105 кл/мл по 0,2 мл в 96-луночные культуральные планшеты в среде состава: 2/3 среды Игла MEM, 1/3 среды ДМЕМ, 10% эмбриональной телячьей сыворотки с добавлением гентамицина (15 МЕ/мл) (полная питательная среда - ППС). Клетки культивируют 24 часа при 37°C, 5% СО2 и 90% влажности до образования клеточного монослоя. Далее ППС меняют на поддерживающую среду (ПС) (среда того же состава, но с 2% эмбриональной телячьей сыворотки), внося в каждую лунку по 0,1 мл ПС. Затем вносят исследуемое соединение в объеме 0,1 мл в первую лунку планшета в исходной концентрации 4 мг/мл (разведение 1:2). В последующие лунки соединение вносят в различных разведениях начальной концентрации (с шагом разведения 1:2 - от 1/2 до 1/4096). Титрование соединения повторяют 3 раза. Через 24 часа культивирования клеток с тестируемым соединением изучают его цитотоксическое действие при различных концентрациях. Далее в каждую лунку вносят ВЭМК с исходным титром 106 ТЦД50/мл в разведении 10-4 (100 инфекционных доз - ИД). Через 24 часа инкубации клеток с вирусом изучают цитопатогенное действие вируса в присутствие различных концентраций исследуемого соединения. Цитопатогенное действие вирусов и цитотоксическое действие соединения изучают визуально под инвертированным микроскопом Leitz (объектив ×20, окуляр ×10).

[32]

Противовирусную активность оценивают по среднеэффективной вирусингибирующей концентрации (ЭК50) - концентрации соединения, защищающей 50% клеток от цитопатогенного действия вируса в дозе 100·ТЦЦ50/мл. Цитотоксическое действие оценивают по среднетоксической концентрации (ТК50) - концентрации соединения, вызывающей гибель 50% клеток. В качестве критерия специфической противовирусной активности исследуемого соединения используют химиотерапевтический индекс (ХТИ), равный отношению ТК50/ЭК50.

[33]

Результаты экспериментов показывают, что исследованное соединение формулы (I) проявляет противовирусную активность в отношении ВЭМК (Табл. 1).

[34]

Сопоставление противовирусной активности и токсичности по ХТИ=62,5 показывает, что исследованное вещество согласно действующим рекомендациям по изучению потенциальных противовирусных средств (Руководство по проведению доклинических исследований лекарственных средств. Часть первая / М.: Гриф и К., 2012, 944 с.) можно считать перспективными для дальнейших детальных исследований в опытах на животных.

[35]

[36]

[37]

Пример 2. Противогерпесная активность.

[38]

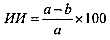
Оценку специфической противовирусной активности заявленного соединения в отношении вируса герпеса 1-го типа (штамм VR3) проводят на перевиваемой культуре клеток почки зелёной мартышки Vero. Клетки высевают в концентрации 1,5·105 кл/мл по 1 мл в 24-луночные культуральные планшеты в среде состава: 2/3 среды Игла MEM, 1/3 среды ДМЕМ, 10% эмбриональной телячьей сыворотки с добавлением гентамицина (15 МЕ/мл). Клетки культивируют 24 часа при 37°C, 5% CO2 и 90% влажности до образования монослоя. Далее в лунки вносят по 1 мл вируса герпеса 1-го типа (VR3) в разведениях 10-3·10-7 (исходный титр 107 ТЦД50/мл). Одновременно в опытные лунки вносят исследуемое соединение в различных концентрациях. В контрольные лунки добавляют в том же объёме раствор плацебо. Через 24 часа инкубации клеток с вирусом и тестируемым соединением подсчитывают число симпластов в контрольных и опытных лунках. Специфическую противогерпесную активность соединения оценивают по подавлению образования симпластов, рассчитывая индекс ингибирования (ИИ)(%):

[39]

[40]

где a и b - число симпластов в контрольных и опытных лунках, соответственно.

[41]

Результаты экспериментов показывают, что соединение I дозазависимо подавляет симпластообразование, индуцированное в клеточной культуре вирусом простого герпеса 1-го типа (Табл. 2). При этом в концентрации 80 мкг/мл индекс эффективности составляет 1,0, а ХТИ>31.

[42]

[43]

[44]

Пример 3. Влияние заявленного средства на репродукцию вируса гриппа A in vitro.

[45]

Исследования in vitro вирулицидного действия препарата I (в концентрациях 80 мкг/мл и 200 мкг/мл) проводят на культуре клеток MDCK (фибробласты почек собаки), полученных из коллекции культур клеток ФГБУ НИИ вирусологии им. Д.И. Ивановского МЗ РФ, в 6 повторах. Клеточную суспензию разводят предварительно подогретой до температуры 37°C средой RPMI-1640 (ООО «БиолоТ», г. Санкт-Петербург), содержащей 5% эмбриональной телячьей сыворотки (ООО «БиолоТ», Санкт-Петербург), до концентрации 1,0-1,5×105 клеток/мл и вносят по 100 мкл/лунку 96-луночного планшета. Затем планшеты с клетками помещают в термостат при температуре 37°C, 5% CO2 и 100% влажности на 2-3 сутки до образования клеточного монослоя.

[46]

Для заражения используют адаптированный к лабораторным мышам штамм вируса гриппа A/Aichi/1/68 (H3N2), полученный из «Коллекции вирусов» ФГБУ НИИ вирусологии им. Д.И. Ивановского МЗ РФ и наработанный на 10-суточных развивающихся куриных эмбрионах, в дозе 100 ТЦД50/мл (50%-ная тканевая цитопатогенная доза).

[47]

Предварительно исследуют влияние различных концентраций заявленного средства на морфологию клеток МДСК при визуальном наблюдении в инвертированный микроскоп. В концентрациях 80 и 200 мкг/мл заявленное средство существенно не изменяет морфологию и жизнеспособность клеток. Процент жизнеспособных клеток представлен в таблице 3.

[48]

[49]

[50]

Для определения противовирусной активности средства используют его эффективные противовирусные концентрации, выявленные при исследовании на других вирусных моделях. Готовят разведения вируссодержащей жидкости от 1 до 8 с десятикратным шагом на среде RPMI-1640, содержащей 2 мкг/мл трипсина. Для определения противовирусной активности заявленного средства в профилактической, лечебно-профилактической и лечебной схеме в монослой культуры клеток MDCK вносят образцы в объеме 50 мкл/лунку в нетоксичных концентрациях 80 и 200 мкг/мл, после чего инкубируют клетки при температуре 37°C в атмосфере 5% CO2 в течение 1 ч. Затем вносят разведения вируссодержащей жидкости в объеме 50 мкл/лунку и вновь инкубируют клетки в течение 2-3 суток при температуре 37°C в атмосфере 5% CO2. Титр вируса определяют в культуральной жидкости через 3 суток по наличию гемагглютининов в реакции гемагглютинации и ИФА (Хабриев Р.У. Руководство по экспериментальному (доклиническому) изучению новых фармакологических веществ, М., 2005).

[51]

Полученные данные представлены в таблице 4. Средство оказывает выраженный противовирусный эффект при внесении за 2 часа до или через 2 часа после инфицирования с индексом эффективности до 0,64.

[52]

[53]

Пример 4. Влияние средства на репродукцию вируса гепатита С.

[54]

Для получения экспериментальной инфекции, вызванной ВГС in vitro, используют штамм вируса гепатита С ГКК, выделенный из сыворотки крови больного гепатоклеточной карциномой. Штамм вызывает цитопатогенный эффект в культурах клеток различного происхождения и накапливается в клетках до 7,5 lg ТЦИД50.

[55]

Для титрования вируса и определения цитотоксического, вирулицидного и противовирусного эффектов препаратов используют перевиваемую линию клеток почки эмбриона свиньи (СПЭВ), которые выращивают до полного монослоя в 96-луночных панелях на среде 199 с добавлением 6% сыворотки эмбриона телят и 100 ЕД/мл антибиотиков.

[56]

Для исследования цитотоксических свойств препарата III разные его концентрации по 25 мкл вносят в лунки 96-луночных панелей на клеточный монослой. Затем доводят до объема 200 мкл питательной средой 199 и инкубируют в течение 72 часов при 37°C. Монослой клеток окрашивают метиленовым синим, подсчитывают процент жизнеспособных клеток, и рассчитывают ЦД50 - минимальную концентрацию препарата, которая вызывает гибель 50% клеток монослоя.

[57]

Вирулицидный эффект серий препарата изучают методом титрования остаточной инфекционной активности проб вируссодержащего материала (в сравнении с контрольным титрованием вируса) после инкубации с препаратом в течение 20 мин в соотношении 50 мкл вирусного материала со 150 мкл разных концентраций серий препаратов.

[58]

Противовирусный эффект препарата определяют с помощью двух методов:

[59]

а) по влиянию на жизнеспособность клеток СПЭВ разных концентраций препарата, внесенного за 24 часа до заражения, в момент заражения клеток или через 24 часа после заражения клеток. Через 4-5 дней инкубации монослой клеток окрашивают метиленовым синим и подсчитывают число жизнеспособных клеток.

[60]

б) по влиянию препарата на способность клеток продуцировать инфекционный вирус гепатита С через 24 часа после обработки препаратом. В этом случае, через 24 часа после заражения, когда еще не выявляются признаки цитопатогенного действия ВГС, отбирают пробы культуральной жидкости по 25 мкл из лунок и в этих пробах определяют инфекционный титр вируса методом титрования в культурах клеток СПЭВ. По разнице титров вируса судят о способности препарата подавлять продукцию вируса зараженными клетками.

[61]

Данные, представленные в табл. 5, свидетельствуют о том, что все три серии препарата Iв концентрациях от 400 до 25 мкг/мл не токсичны для клеток СПЭВ в течение 72 часов (срок наблюдения). Экспозиция материала, содержащего вирус гепатита С в титре 7,0-8,0 lg ТЦИД50/100 мкл, с препаратом приводит к снижению инфекционного титра ВГС на 2,2-3,1 lg. В концентрациях 50 мкг/мл и ниже препарат не вызывает существенного снижения инфекционной активности ВГС (Табл. 6)

[62]

В таблице 7 приведены данные, свидетельствующие о способности препарата серий 4 и 5 защищать клетки СПЭВ от заражения ВГС до 5-го дня после инфекции (профилактический эффект). Показано, в частности, что до 100% клеток приобретают резистентность к заражению ВГС, если их обработать препаратом в концентрациях 400 и 200 мкг/мл за 24 часа до заражения вирусом. При внесении препарата в дозе 200 мкг/мл за 24 часа до заражения клеток клетки теряют способность продуцировать инфекционный вирус (Табл. 8).

[63]

[64]

[65]

[66]

[67]

Как компенсировать расходы
на инновационную разработку
Похожие патенты