Изобретение относится к соединениям, общей формулы (I) или (II), или его стереоизомеру или энантиомеру, фармацевтически приемлемой соли, где X выбирается независимо и представляет собой СН или N; Q выбирается независимо и представляет собой Н, -C-алкил, фенил, галогенированный фенил, нафтил или галогенированный нафтил; R, R, R, Rвыбираются независимо и представляют собой Н, -C-алкил, -ОН, галоген, -O-бензил, фенил, причем фенил или бензил может быть необязательно замещен, по меньшей мере, одним заместителем, выбранным из галогена, -CN, -ОН, -O-C-алкила, -СООН, -COOC-алкил, причем Rи Rсовместно с циклом, к которому они присоединены, могут образовывать бициклический фрагмент нафтил; R, Rвыбираются независимо и представляют собой галоген. Соединения по изобретению предназначены для лечения и/или предотвращения инфекционного заболевания микробной этиологии у субъекта, которое вызвано грибковой инфекцией. 4 н. и 19 з.п. ф-лы, 8 табл., 5 пр.
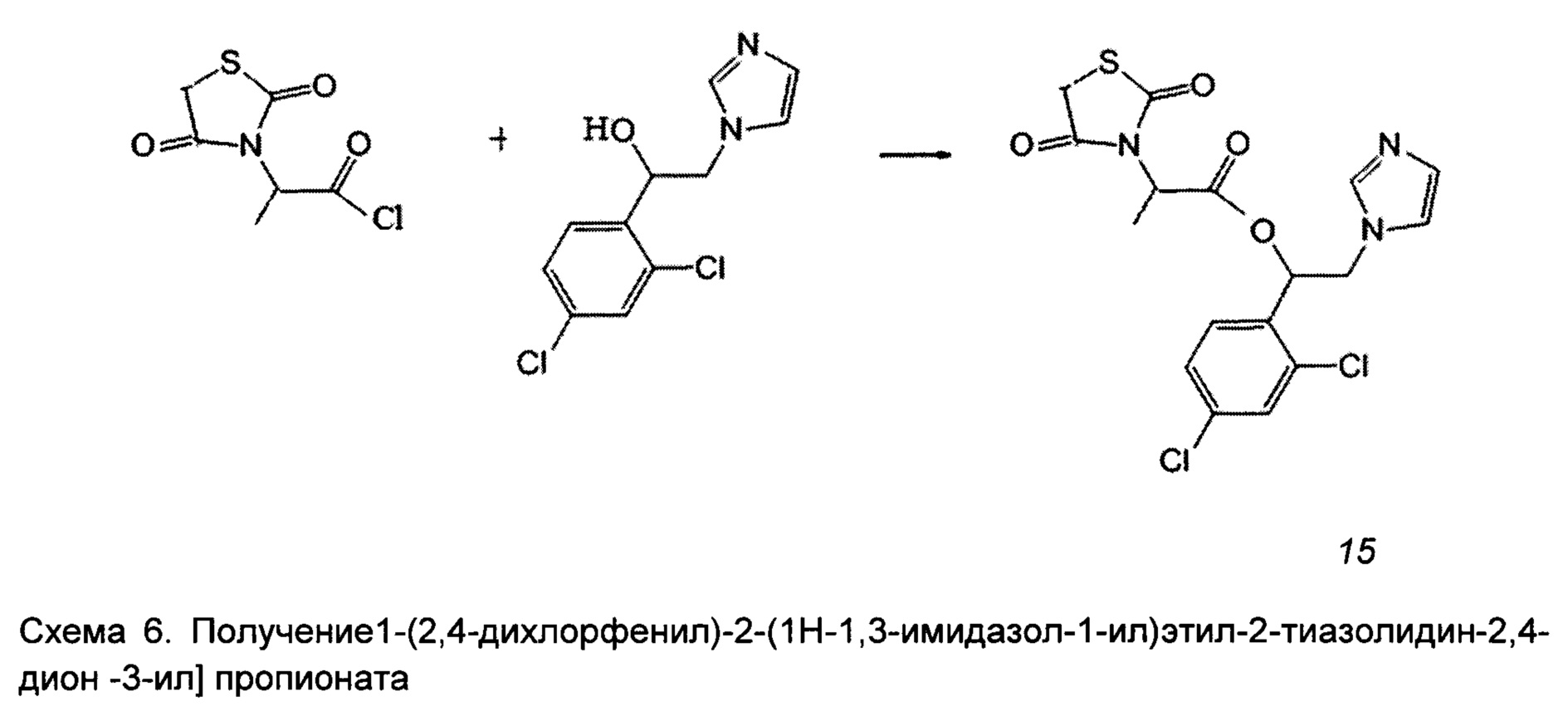
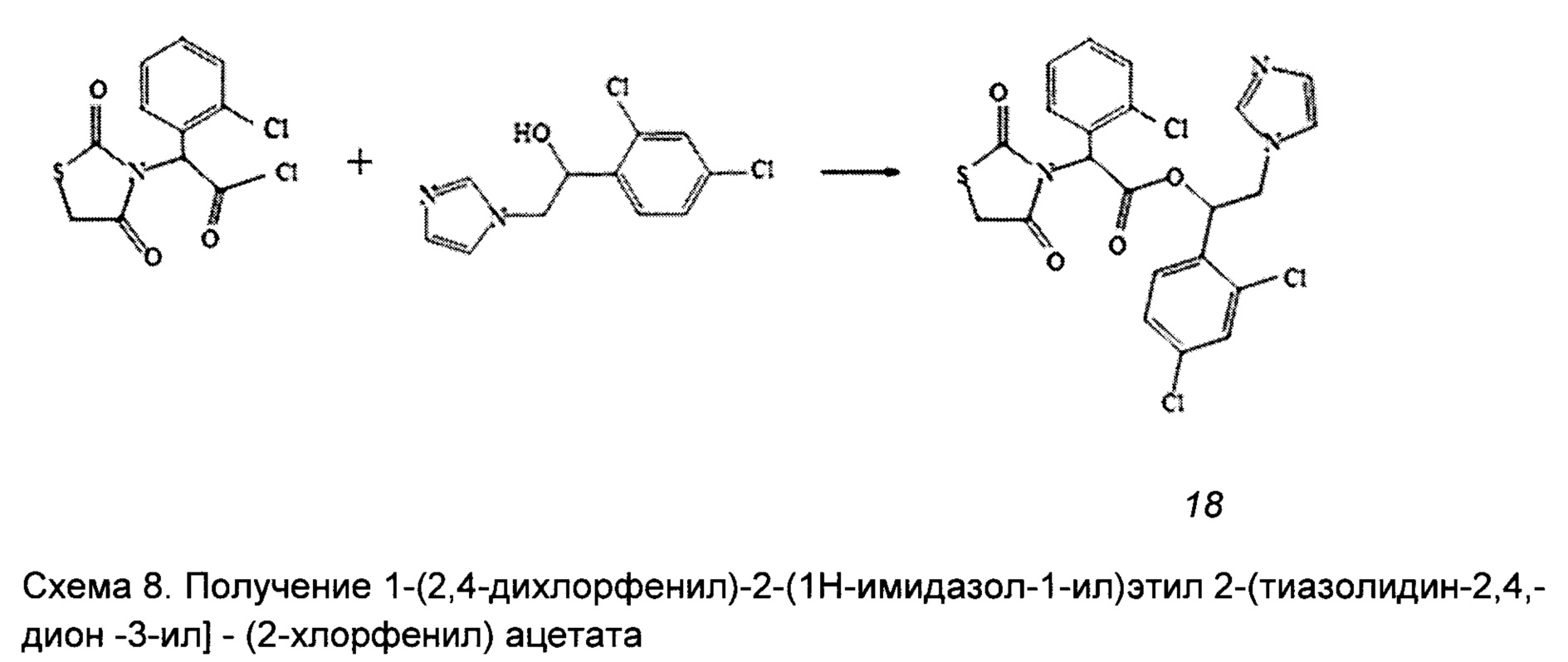
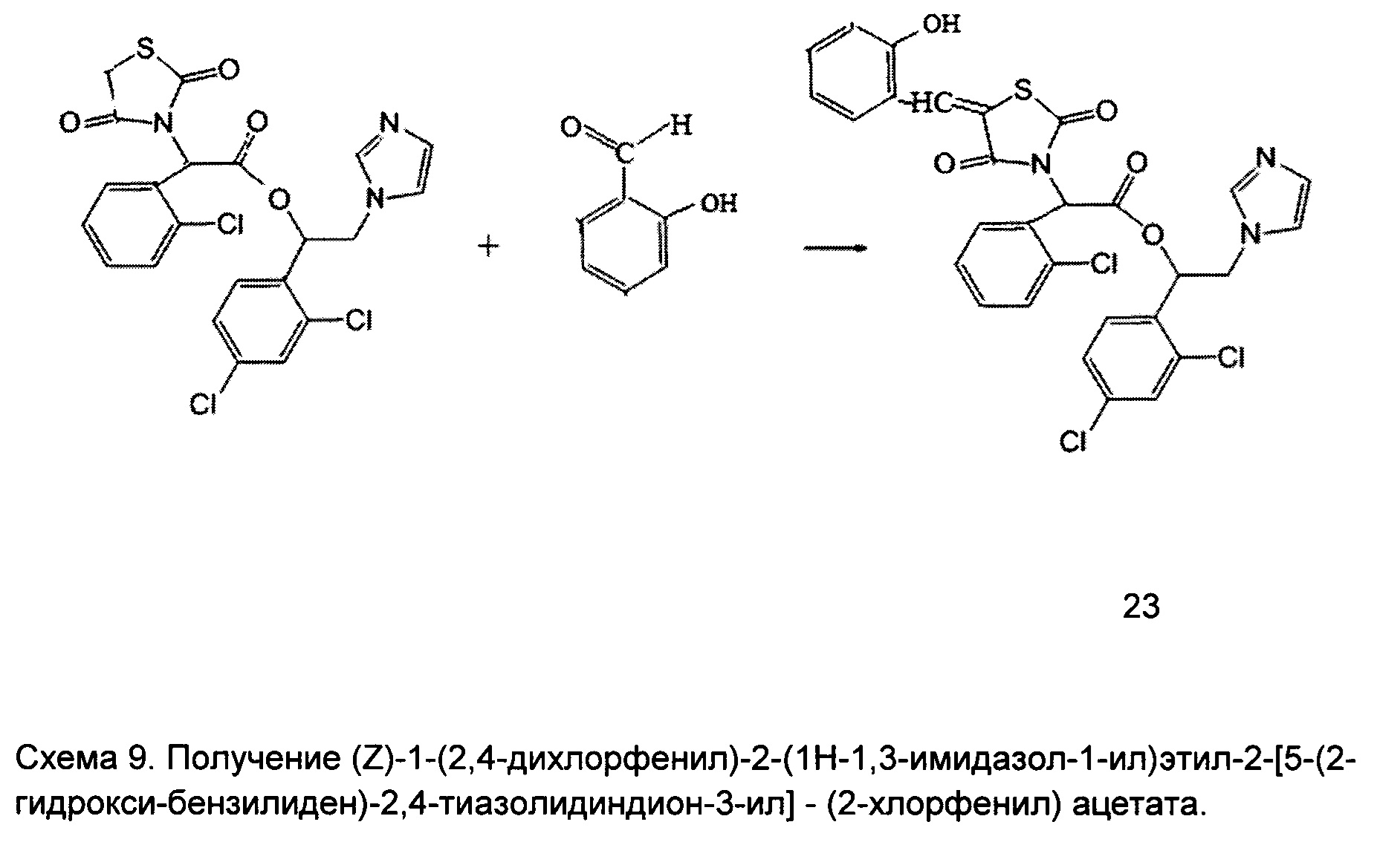
1. Соединение общей формулы (I) или общей формулы (II): или его стереоизомер или энантиомер, фармацевтически приемлемая соль, где: X выбирается независимо и представляет собой СН или N; Q выбирается независимо и представляет собой Н, -C1-6-алкил, фенил, галогенированный фенил, нафтил или галогенированный нафтил; R1, R2, R3, R4 выбираются независимо и представляют собой Н, -C1-6-алкил, -ОН, галоген, -O-бензил, фенил, причем фенил или бензил может быть необязательно замещен, по меньшей мере, одним заместителем, выбранным из галогена, -CN, -ОН, -O-C1-6-алкила, -СООН, -COOC1-6-алкил, причем R1 и R2 совместно с циклом, к которому они присоединены, могут образовывать бициклический фрагмент нафтил; R5, R6 выбираются независимо и представляют собой галоген. 2. Соединение по п. 1, в котором: X представляет собой СН; R5, R6 представляют собой Cl. 3. Соединение по п. 1, в котором: X представляет собой N; R5, R6 представляют собой F. 4. Соединение по п. 1, в котором: Q представляет собой 2-Cl-фенил, 4-Cl-фенил, 4-F-фенил, 2,4-Cl2-фенил. 5. Соединение по п. 1, в котором: R1, R2, R4 представляют собой Н; R3 представляет собой F. 6. Соединение по п. 1, в котором: R1, R2, R4 представляют собой Н; R3 представляет собой Cl. 7. Соединение по п. 1, в котором: R1 представляет собой -ОН; R2, R3, R4 представляют собой Н. 8. Соединение по п. 1, в котором: R1, R4 представляют собой Н; R2, R3 представляют собой -O-бензил. 9. Соединение по п. 1, в котором: R2, R3, R4 представляют собой Н; R1 представляет собой -O-CH2-4-F-C6H4. 10. Соединение по п. 1, в котором: R1 представляет собой -ОН; R2, R3 представляют собой Н; R4 представляет собой Cl. 11. Соединение по п. 1, в котором: R1 представляет собой -O-CH2-p-COOCH3-C6H4; R2, R4 представляют собой Cl; R3 представляет собой Н, галоген или -O-бензил. 12. Соединение по п. 1, в котором: R1 представляет собой -O-CH2-4-COOH-C6H4; R2, R4 представляют собой Cl; R3 представляет собой Н, галоген или -O-бензил. 13. Соединение по п. 1, выбранное из группы: 1-(2,4-дихлорфенил)-2-(1Н-1,3-имидазол-1-ил)этил-2-(тиазолидин-2,4-дион-3-ил) ацетат; (Z)-1-(2,4-дихлорфенил)-2-(1Н-1,3-имидазол-1-ил)этил-2-[5-(2-гидрокси,5-хлорбензилиден)-тиазолидин-2,4-дион-3-ил] ацетат; (Z)-1-(2,4-дихлорфенил)-2-(1Н-1,3-имидазол-1-ил)этил-2-[(5-(2-гидроксибензилиден)-тиазолидин-2,4-дион-3-ил] ацетат; (Z)-1-(2,4-дихлорфенил)-2-(1Н-1,3-имидазол-1-ил)этил-2-[(5-(2-(4-фторбензил)-оксибензилиден)-тиазолидин-2,4-дион-3-ил] ацетат; (Z)-1-(2,4-дихлорфенил)-2-(1Н-1,3-имидазол-1-ил)этил-2-[5-(2-(4-фторбензил)-окси,5-хлорбензилиден)-тиазолидин-2,4-дион-3-ил] ацетат; (Z)-1-(2,4-дихлорфенил)-2-(1Н-1,3-имидазол-1-ил)этил-2-[(5-(4-фторбензилиден)-тиазолидин-2,4-дион-3-ил] ацетат; (Z)-1-(2,4-дихлорфенил)-2-(1Н-1,3-имидазол-1-ил)этил-2-[(5-(4-хлорбензилиден)-тиазолидин-2,4-дион-3-ил] ацетат; (Z)-1-(2,4-дихлорфенил)-2-(1Н-1,3-имидазол-1-ил)этил-2-[(5-(2,4-дихлорбензилиден)-тиазолидин-2,4-дион-3-ил] ацетат (Z)-1-(2,4-дихлорфенил)-2-(1Н-1,3-имидазол-1-ил)этил-2-[(5-(2-гидрокси,3,5-дихлорбензилиден)-тиазолидин-2,4-дион-3-ил] ацетат; (Z)-1-(2,4-дихлорфенил)-2-(1Н-1,3-имидазол-1-ил)этил-2-[(5-(3,4-бис(бензилокси)бензилиден)-тиазолидин-2,4-дион-3-ил] ацетат; (Z)-3-(2-(1-((2,4-дихлорфенил)-2-(1Н-1,3-имидазол-1-ил)этокси)ацетил)-5(нафтилен-1-илметилен) тиазолидин-2,4-дион; 1-(2,4-дифторфенил)-2-(1Н-1,2,4-триазол-1-ил)этил-2-тиазолидин-2,4-дион-3-ил) ацетат; (Z)-1-(2,4-дифторфенил)-2-(1Н-1,2,4-триазол-1-ил)этил-2-[5-(4-хлорбензилиден)]-2,4-тиазолидиндион-3-ил ацетата; (Z)-1-(2,4-дифторфенил)-2-(1Н-1,2,4-триазол-1-ил)этил-2-[5-(2,4-дихлорбензилиден)]-2,4-тиазолидиндион-3-ил ацетат; 1-(1-(2,4-дихлорфенил)-2-(1Н-1,3-имидазол-1-ил)этил-2-(тиазолидин-2,4-дион-3-ил) пропионат; (Z)-1-(2,4-дихлорфенил)-2-(1Н-1,3-имидазол-1-ил)этил-2-[5-(4-хлорбензилиден) тиазолидин-2,4-дион-3-ил] пропионат; (Z)-1-(2,4-дихлорфенил)-2-(1Н-1,3-имидазол-1-ил)этил-2-[5-(4-фторбензилиден) тиазолидин-2,4-дион-3-ил] пропионат; 1-(2,4-дихлорфенил)-2-(1Н-1,3-имидазол-1-ил)этил-2-(тиазолидин-2,4-дион-3-ил)-(2-хлорфенил)ацетат; 1-(2,4-дихлорфенил)-2-(1Н-1,3-имидазол-1-ил)этил-2-(тиазолидин-2,4-дион-3-ил)-(4-хлорфенил) ацетат; 1-(2,4-дихлорфенил)-2-(1Н-1,3-имидазол-1-ил)этил-2-(тиазолидин-2,4-дион-3-ил)-(4-фторфенил) ацетат; 1-(2,4-дихлорфенил)-2-(1Н-1,3-имидазол-1-ил)этил-2-(тиазолидин-2,4-дион-3-ил)-(2,4-дихлорфенил) ацетат; 1-(2,4-дихлорфенил)-2-(1Н-1,3-имидазол-1-ил)этил-2-(тиазолидин-2,4-дион-3-ил)-(нафтил-1) ацетат; (Z)-1-(2,4-дихлорфенил)-2-(1Н-1,3-имидазол-1-ил)этил-2-[5-(2-гидрокси бензилидентиазолидин-2,4-дион-3-ил)-(2-хлорфенил)ацетат; (Z)-1-(2,4-дихлорфенил)-2-(1Н-1,3-имидазол-1-ил)этил-2-[5-(4-хлорбензилиден)-2,4-тиазолидиндион-3-ил]-(4-фторфенил) ацетат; (Z)-1-(2,4-дихлорфенил)-2-(1Н-1,3-имидазол-1-ил)этил-2-[5-(2-гидрокси-,5-хлорбензилиден)тиазолидин-2,4-дион-3-ил)-(4-фторфенил) ацетат; (Z)-1-(2,4-дихлорфенил)-2-(1Н-1,3-имидазол-1-ил)этил-2-[5-(4-хлорбензилиден)тиазолидин-2,4-дион-3-ил)-(2,4-дихлорфенил) ацетат; (Z)-1-(2,4-дихлорфенил)-2-(1Н-1,3-имидазол-1-ил)этил-2-[5-(4-фторбензилиден)тиазолидин-2,4-дион-3-ил)-(2,4-дихлорфенил) ацетат; (Z)-1-(2,4-дихлорфенил)-2-(1Н-1,3-имидазол-1-ил)этил-2-[5-(2-гидрокси-,3,5-дихлорбензилиден)тиазолидин-2,4-дион-3-ил)-(2,4-дихлорфенил) ацетат; (Z)-1-(2,4-дихлорфенил)-2-(1Н-1,3-имидазол-1-ил)этил-2-[5-(4-хлорбензилиден)тиазолидин-2,4-дион-3-ил)-(нафтил-1) ацетат; (Z)-1-(2,4-дихлорфенил)-2-(1Н-1,3-имидазол-1-ил)этил-2-[5-(2-гидрокси-,5-хлорбензилиден)тиазолидин-2,4-дион-3-ил)-(нафтил-1) ацетат. 14. Применение соединения по любому из пп. 1-13 в качестве противогрибкового средства. 15. Применение соединения по любому из пп. 1-13 для получения фармацевтической композиции для лечения и/или предотвращения инфекционного заболевания микробной этиологии у субъекта, которое вызвано грибковой инфекцией. 16. Применение соединения по п. 15, характеризующееся тем, что заболевание микробной этиологии вызвано грибом рода Candida spp, Aspergillus, Microsporum, Trichophyton и/или Epidermophyton. 17. Применение по п. 15, характеризующееся тем, что заболевание микробной этиологии вызвано грибом вида Aspergillus fumigatus, Aspergillus niger, Microsporum canis, Trichophyton rubrum или Epidermophyton floccosum. 18. Применение по n. 15, характеризующееся тем, что заболевание представляет собой заболевание кожи, ногтей и/или внутренних органов. 19. Применение по п. 18, в котором заболевание представляет собой дерматофитию, поверхностный микоз, кандидоз кожи или ногтей, вагинальный кандидоз, кандидозный стоматит или эндокардит. 20. Фармацевтическая композиция для лечения и/или предотвращения инфекционного заболевания микробной этиологии у субъекта, которое вызвано грибковой инфекцией, содержащая эффективное количество соединения по пп. 1-13 и, по меньшей мере, одно фармацевтически приемлемое вспомогательное вещество. 21. Фармацевтическая композиция по п. 20, характеризующаяся тем, что фармацевтически приемлемое вспомогательное вещество представляет собой носитель, наполнитель и/или растворитель. 22. Фармацевтическая композиция по п. 20, характеризующаяся тем, что заболевание представляет собой заболевание кожи, ногтей и/или внутренних органов. 23. Фармацевтическая композиция по п. 22, характеризующаяся тем, что заболевание представляет собой дерматофитию, поверхностный микоз, кандидоз кожи или ногтей, вагинальный кандидоз, кандидозный стоматит или эндокардит.

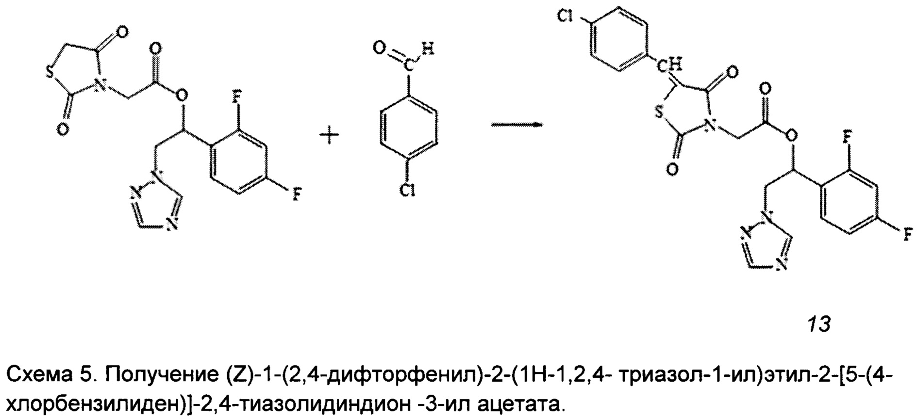
Область техники Изобретение относится к химии органических соединений, фармакологии и медицине и касается новых химических соединений, характеризующихся высокой противогрибковой активностью, которые, в частности, могут использоваться для профилактики и лечения инфекционных заболеваний у субъекта, в частности заболеваний, вызванных кандидозными и филоментозными патогенами. Уровень техники Недостаточная эффективность современной противомикробной терапии обусловлена в значительной степени развитием резистентности у возбудителей к имеющимся лекарственным препаратам. Именно поэтому во всем мире проводится интенсивный поиск и разработка новых эффективных лекарственных соединений. Несмотря на все усилия, современный арсенал медицинских средств недостаточен и не позволяет проводить эффективное лечение многих заболеваний, в том числе грибковых инфекций. Имеющиеся в настоящее время противогрибковые препараты - полиены и азолы, влияющие на главный компонент мембраны грибов - эргостерол, не обеспечивают должной избирательности действия. Они весьма токсичны, более того, многие штаммы возбудителей приобретают резистентность к препаратам группы азолов. Из уровня техники известны соединения, имеющие тиазолидиндионовый фрагмент и характеризующиеся противогрибковой активностью US 7105554, WO 2002022612, Thiazolidine and benzylidene thiazolidinedione inhibitors of mannosyltransferease as antifungal agents // Expert Opinion Ther. pat., Patent evaluation, 2002, 12,8, 1285-7. В данных документах описаны замещенные производные 5-бензилиден-2,4-тиазолидин-3 уксусной кислоты в качестве антимикотических средств, активных в отношении многих патогенных грибов. Из уровня техники известны также производные азола, характеризующиеся противогрибковой активностью WO 2005006860, Помимо этого описаны способы получения и противогрибковая активность ацильных производных азолов - широко известной группы противогрибковых средств, и, в частности, соединений, полученных путем ацилирования азольных гетероциклов по атому кислорода спиртовой части молекулы (Y. Wahbi et al. Aliphatic ethers and esters of 1-(2,4-dichlorophenyl)-2-(IH-imidazolyl)ethanol: study of antifungal activity against yeasts and hydrophobic character// Eur. J. Med. Chem, 1994, 29, 701-6.; D. De Vita et al. Synthesis and antifungal activity of a new series of 2-(1H-imidazol-1-yl)-1-phenylethanol derivatives // Eur. J. Med. Chem., 2012, 49, 334-342). Однако, как уже упоминалось выше, основном недостатком препаратов, на основе производных азолов, является растущая резистентность, что может свести на нет все прилагаемые усилия по лечению. Проблема еще усугубляется тем, что развивается перекрестная устойчивость ко всем используемым препаратам азольной группы (J.E. Parker. Resistance to antifungals that target CYP51 // J. Chem. Biol, 2014.). Поэтому сохраняется высокая необходимость в разработке новых эффективных противогрибковых средств для терапии широкого спектра заболеваний, вызванных грибковыми инфекциями. Раскрытие изобретения Задачей настоящего изобретения является разработка и создание новых эффективных противогрибковых средств, перспективных для применения в клинической практике для терапии и/или профилактики инфекционных заболеваний. Техническим результатом изобретения является разработка и получение новых химических соединений, обладающих высокой противогрибковой активностью, пониженной токсичностью и перспективных для применения в терапии инфекционных заболеваний у субъекта, в частности заболеваний, вызванных кандидозными и филоментозными патогенами, в частности для лечения дерматофитии, поверхностного микоза, кандидоза кожи и ногтей, вагинального кандидоза, кандидозного стоматита, эндокардита и других заболеваний человека и животных. Соединения по изобретению также снижают риск развития серьезных кандидозных инфекций у людей с ослабленным иммунитетом в результате терапии (например, химиотерапии), трансплантации органов или у людей с инфекционными заболеваниями, вызванными другими патогенами (в частности, ВИЧ). Указанный технический результат достигается посредством разработки и создания соединений общей формулы (I) или общей формулы (II): или их стереоизомеров или энантиомеров, фармацевтически приемлемых солей, сольватов или гидратов, где: X выбирается независимо и представляет собой СН или N; Q выбирается независимо и представляет собой Н, -C1-6-алкил, фенил, галогенированный фенил, нафтил или галогенированный нафтил; R1, R2, R3, R4 выбираются независимо и представляют собой Н, -С1-6-алкил, - ОН, галоген, -О-бензил, фенил, причем фенил или бензил может быть необязательно замещен, по меньшей мере, одним заместителем, выбранным из галогена, -CN, -ОН, -О-С1-6-алкила, -СООН, -СООС1-6-алкил, причем R1 и R2 совместно с циклом, к которому они присоединены, могут образовывать бициклический фрагмент нафтил; R5, R6 выбираются независимо и представляют собой галоген. Отдельный подкласс соединений, представляющих интерес, включает соединения формулы (I), в которых: X представляет собой СН; Q выбирается независимо и представляет собой Н, -C1-6-алкил, фенил, галогенированный фенил, нафтил или галогенированный нафтил; R1, R2, R3, R4 выбираются независимо и представляют собой Н, - ОН, галоген, -О-бензил, фенил, причем фенил или бензил может быть необязательно замещен, по меньшей мере, одним заместителем, выбранным из галогена, -CN, -ОН, -O-C1-6-алкила, -СООН, -СООС1-6-алкил; R5, R6 представляют собой Cl. Другой подкласс соединений, представляющих интерес, включает соединения формулы (I), в которых: X представляет собой N; Q выбирается независимо и представляет собой Н, -С1-6-алкил, фенил, галогенированный фенил, нафтил; R1, R2, R3, R4 выбираются независимо и представляют собой Н, - ОН, галоген, -О-бензил, фенил, причем фенил или бензил может быть необязательно замещен, по меньшей мере, одним заместителем, выбранным из галогена, -CN, -ОН, -O-С1-6-алкила, -СООН, -СООС1-6-алкил; R5, R6 представляют собой F. Отдельный подкласс соединений, представляющих интерес, включает соединения формулы (I), в которых: X выбирается независимо и представляет собой СН или N; Q представляет собой -2-Cl-фенил, -4-Cl-фенил, -4-F-фенил, -2,4-Cl2-фенил; R1, R2, R3, R4 выбираются независимо и представляют собой Н, - ОН, галоген, -О-бензил, фенил, причем фенил или бензил может быть необязательно замещен, по меньшей мере, одним заместителем, выбранным из галогена, -CN, -ОН, -О-С1-6-алкила, -СООН, -СООС1-6-алкил; R5, R6 выбираются независимо и представляют собой галоген. Другой подкласс соединений, представляющих интерес, включает соединения формулы (I), в которых: X выбирается независимо и представляет собой СН или N; Q выбирается независимо и представляет собой Н, -С1-6-алкил, фенил, галогенированный фенил, нафтил; R1, R2, R4 представляют собой Н; R3 представляет собой F; R5, R6 выбираются независимо и представляют собой галоген. Отдельный подкласс соединений, представляющих интерес, включает соединения формулы (I), в которых: X выбирается независимо и представляет собой СН или N; Q выбирается независимо и представляет собой Н, -С1-6-алкил, фенил, галогенированный фенил, нафтил; R1, R2, R4 представляют собой Н; R3 представляет собой Cl; R5, R6 выбираются независимо и представляют собой галоген. Другой подкласс соединений, представляющих интерес, включает соединения формулы (I), в которых: X выбирается независимо и представляет собой СН или N; Q выбирается независимо и представляет собой Н, -C1-6-алкил фенил, галогенированный фенил, нафтил; R1 представляет собой -ОН; R2, R3, R4 представляют собой Н; R5, R6 выбираются независимо и представляют собой галоген. Отдельный подкласс соединений, представляющих интерес, включает соединения формулы (I), в которых: X выбирается независимо и представляет собой СН или N; Q выбирается независимо и представляет собой Н, -C1-6-алкил, фенил, галогенированный фенил, нафтил; R1, R4 представляют собой Н; R2, R3 представляют собой -О-бензил; R5, R6 выбираются независимо и представляют собой галоген. Другой подкласс соединений, представляющих интерес, включает соединения формулы (I), в которых: X выбирается независимо и представляет собой СН или N; Q выбирается независимо и представляет собой Н, -C1-6-алкил, фенил, галогенированный фенил, нафтил; R1 представляет собой -O-CH2-4-F-C6H4; R2, R3, R4 представляют собой Н; R5, R6 выбираются независимо и представляют собой галоген. Отдельный подкласс соединений, представляющих интерес, включает соединения формулы (I), в которых: X выбирается независимо и представляет собой СН или N; Q выбирается независимо и представляет собой Н, -C1-6-алкил, фенил, галогенированный фенил, нафтил; R1 представляет собой -ОН; R2, R3 представляют собой Н; R4 представляет собой Cl; R5, R6 выбираются независимо и представляют собой галоген. Другой подкласс соединений, представляющих интерес, включает соединения формулы (I), в которых: X выбирается независимо и представляет собой СН или N; Q выбирается независимо и представляет собой Н, -C1-6-алкил, фенил, галогенированный фенил, нафтил; R1 представляет собой -O-СН2-4-СООСН3-С6Н4; R2, R4 представляют собой Cl; R3 представляет собой Н, галоген, -О-бензил; R5, R6 выбираются независимо и представляют собой галоген. Отдельный подкласс соединений, представляющих интерес, включает соединения формулы (I), в которых: X выбирается независимо и представляет собой СН или N; Q выбирается независимо и представляет собой Н, -C1-6-алкил, фенил, галогенированный фенил, нафтил; R1 представляет собой -O-СН2-р-С(СН3)3-С6Н4; R2, R4 представляют собой Cl; R3 представляет собой Н, галоген, -О-бензил; R5, R6 выбираются независимо и представляют собой галоген. Другой подкласс соединений, представляющих интерес, включает соединения формулы (I), в которых: X выбирается независимо и представляет собой СН или N; Q выбирается независимо и представляет собой Н, -C1-6-алкил, фенил, галогенированный фенил, нафтил R1 представляет собой -O-СН2-4-СООН-С6Н4; R2, R4 представляют собой Cl; R3 представляет собой Н, галоген, -О-бензил; R5, R6 выбираются независимо и представляют собой галоген. В частных вариантах воплощения изобретения соединения, представляющие интерес, могут быть выбраны из следующих соединений общей формулы (I) и общей формулы (II): 1-(2,4-дихлорфенил)-2-(1Н-1,3-имидазол-1-ил)этил-2-(тиазолидин-2,4-дион-3-ил)-ацетат; (Z)-1-(2,4-дихлорфенил)-2-(1Н-1,3-имидазол-1-ил)этил-2-[5-(2-гидрокси,5-хлорбензилиден)-тиазолидин-2,4-дион-3-ил] ацетат; (Z)-1-(2,4-дихлорфенил)-2-(1Н-1,3-имидазол-1-ил)этил-2-[(5-(2-гидроксибензилиден)-тиазолидин-2,4-дион-3-ил] ацетат; (Z)-1-(2,4-дихлорфенил)-2-(1Н-1,3-имидазол-1-ил)этил-2-[(5-(2-(4-фторбензил)-оксибензилиден)-тиазолидин-2,4-дион-3-ил] ацетат; (Z)-1-(2,4-дихлорфенил)-2-(1Н-1,3-имидазол-1-ил)этил-2-[5-(2-(4-фторбензил)-окси, 5-хлорбензилиден)-тиазолидин-2,4-дион-3-ил] ацетат; (Z)-1-(2,4-дихлорфенил)-2-(1Н-1,3-имидазол-1-ил)этил-2-[(5-(4-фторбензилиден)-тиазолидин-2,4-дион-3-ил] ацетат; (Z)-1-(2,4-дихлорфенил)-2-(1Н-1,3-имидазол-1-ил)этил-2-[(5-(4-хлорбензилиден)-тиазолидин-2,4-дион-3-ил] ацетат; (Z)-1-(2,4-дихлорфенил)-2-(1Н-1,3-имидазол-1-ил)этил-2-[(5-(2,4-дихлорбензилиден)-тиазолидин-2,4-дион-3-ил] ацетат (Z)-1-(2,4-дихлорфенил)-2-(1Н-1,3-имидазол-1-ил)этил-2-[(5-(2-гидрокси,3,5-дихлорбензилиден)-тиазолидин-2,4-дион-3-ил] ацетат; (Z)-1-(2,4-дихлорфенил)-2-(1Н-1,3-имидазол-1-ил)этил-2-[(5-(3,4-бис(бензилокси)бензилиден)-тиазолидин-2,4-дион-3-ил] ацетат; (Z)-3-(2-(1-((2,4-дихлорфенил)-2-(1Н-1,3-имидазол-1-ил)этокси)ацетил)-5(нафтилен-1-илметилен) тиазолидин-2,4-дион; 1-(2,4-дифторфенил)-2-(1Н-1,2,4-триазол-1-ил)этил-2-тиазолидин-2,4-дион-3-ил) ацетат; (Z)-1-(2,4-дифторфенил)-2-(1Н-1,2,4-триазол-1-ил)этил-2-[5-(4-хлорбензилиден)]-2,4-тиазолидиндион-3-ил ацетата; (Z)-1-(2,4-дифторфенил)-2-(1Н-1,2,4-триазол-1-ил)этил-2-[5-(2,4-дихлорбензилиден)]-2,4-тиазолидиндион-3-ил ацетат; 1-(1-(2,4-дихлорфенил)-2-(1Н-1,3-имидазол-1-ил)этил 2-(тиазолидин-2,4-дион-3-ил)пропионат; (Z)-1-(2,4-дихлорфенил)-2-(1Н-1,3-имидазол-1-ил)этил-2-[5-(4-хлорбензилиден) тиазолидин-2,4-дион-3-ил] пропионат; (Z)-1-(2,4-дихлорфенил)-2-(1Н-1,3-имидазол-1-ил)этил-2-[5-(4-фторбензилиден) тиазолидин-2,4-дион-3-ил] пропионат; 1-(2,4-дихлорфенил)-2-(1Н-1,3-имидазол-1-ил)этил-2-(тиазолидин-2,4-дион-3-ил)-(2-хлорфенил)ацетат; 1-(2,4-дихлорфенил)-2-(1Н-1,3-имидазол-1-ил)этил-2-(тиазолидин-2,4-дион-3-ил)-(4-хлорфенил) ацетат; 1-(2,4-дихлорфенил)-2-(1Н-1,3-имидазол-1-ил)этил-2-(тиазолидин-2,4-дион-3-ил)-(4-фторфенил) ацетат; 1-(2,4-дихлорфенил)-2-(1Н-1,3-имидазол-1-ил)этил-2-(тиазолидин-2,4-дион-3-ил)-(2,4-дихлорфенил) ацетат; 1-(2,4-дихлорфенил)-2-(1Н-1,3-имидазол-1-ил)этил-2-(тиазолидин-2,4-дион-3-ил)-(нафтил-1) ацетат; (Z)-1-(2,4-дихлорфенил)-2-(1Н-1,3-имидазол-1-ил)этил-2-[5-(2-гидрокси бензилидентиазолидин-2,4-дион-3-ил)-(2-хлорфенил)ацетат; (Z)-1-(2,4-дихлорфенил)-2-(1Н-1,3-имидазол-1-ил)этил-2-[5-(4-хлорбензилиден)-2,4-тиазолидиндион-3-ил]-(4-фторфенил) ацетат; (Z)-1-(2,4-дихлорфенил)-2-(1Н-1,3-имидазол-1-ил)этил-2-[5-(2-гидрокси-,5-хлорбензилиден)тиазолидин-2,4-дион-3-ил)-(4-фторфенил) ацетат; (Z)-1-(2,4-дихлорфенил)-2-(1Н-1,3-имидазол-1-ил)этил-2-[5-(4-хлорбензилиден) тиазолидин-2,4-дион-3-ил)-(2,4-дихлорфенил) ацетат; (Z)-1-(2,4-дихлорфенил)-2-(1Н-1,3-имидазол-1-ил)этил-2-[5-(4-фторбензилидеи) тиазолидин-2,4-дион-3-ил)-(2,4-дихлорфенил) ацетат; (Z)-1-(2,4-дихлорфенил)-2-(1Н-1,3-имидазол-1-ил)этил-2-[5-(2-гидрокси-,3,5-дихлорбензилиден)тиазолидин-2,4-дион-3-ил)-(2,4-дихлорфенил) ацетат; (Z)-1-(2,4-дихлорфенил)-2-(1Н-1,3-имидазол-1-ил)этил-2-[5-(4-хлорбензилиден) тиазолидин-2,4-дион-3-ил)-(нафтил-1) ацетат. (Z)-1-(2,4-дихлорфенил)-2-(1Н-1,3-имидазол-1-ил)этил-2-[5-(2-гидрокси-,5-хлорбензилиден)тиазолидин-2,4-дион-3-ил)-(нафтил-1) ацетат. Настоящее изобретение относится к применению соединений, являющихся предметом изобретения, в качестве противогрибкового лекарственного средства. Данное изобретение также относится к применению соединений, являющихся предметом изобретения, для лечения и/или предотвращения инфекционных заболеваний, в частности вызванных грибковой инфекцией у субъекта. В частных вариантах воплощения изобретения субъект представляет собой человека или животных. Соединения по изобретению проявляют высокую противогрибковую активность, в частности, в отношении грибов рода Candida spp, Aspergillus, Microsporum, Trichophyton и Epidermophyton. Соединения по изобретению проявляют высокую противогрибковую активность, в частности, в отношении грибов видов Aspergillus fumigatus, Aspergillus niger, Microsporum canis, Trichophyton rubrum и/или Epidermophyton floccosum. Изобретение также относится к применению соединений по изобретению для получения фармацевтической композиции для лечения и/или профилактики инфекционных заболеваний микробной этиологии. В частных вариантах воплощения изобретения инфекционное заболевание микробной этиологии вызвано грибковой инфекцией. В частных вариантах воплощения изобретения инфекционное заболевание представляет собой заболевание кожи, ногтей или внутренних органов, в частности таких как дерматофития, поверхностный микоз, кандидоз кожи и ногтей, вагинальный кандидоз, кандидозный стоматит, эндокардит и других заболеваний человека или животных. Кроме того, изобретением предусматриваются фармацевтические композиции для лечения и/или предотвращения инфекционных заболеваний микробной этиологии, включающие терапевтически эффективное количество, по меньшей мере, одного соединения, являющегося предметом изобретения, и, по меньшей мере, одно фармацевтически приемлемое вспомогательное вещество. В некоторых вариантах воплощения изобретения вспомогательное вещество может представлять собой носитель, наполнитель и/или растворитель. В некоторых вариантах воплощения изобретения инфекционное заболевание микробной этиологии вызвано грибковой инфекцией. В частных вариантах воплощения изобретения фармацевтическая композиция предназначена для лечения инфекционных заболеваний, вызванных грибом рода Candida spp, Aspergillus, Microsporum, Trichophyton и/или Epidermophyton. В частных вариантах воплощения изобретения фармацевтическая композиция предназначена для лечения инфекционных заболеваний, вызванных грибом вида Aspergillus fumigatus, Aspergillus niger, Microsporum canis, Trichophyton rubrum или Epidermophyton floccosum. В частных вариантах воплощения изобретения фармацевтическая композиция предназначена для лечения и/или предотвращения заболевания, которое представляет собой заболевание кожи, ногтей или внутренних органов, в частности дерматофития, поверхностный микоз, кандидоз кожи и ногтей, вагинальный кандидоз, кандидозный стоматит, эндокардит и других заболеваний человека или животных. Настоящее изобретение также относится к способу лечения и/или профилактики инфекционных заболеваний, включающему введение (в качестве монотерапии или в комбинации с одним или несколькими агентами) терапевтически эффективного количества соединения, являющегося предметом изобретения, в организм человека или животного, нуждающегося в лечении и/или профилактики таких заболеваний. Термин «введение» в организм соединения настоящего изобретения включает доставку к реципиенту соединения, описанного в настоящем изобретении, пролекарства, или другого фармакологически приемлемого производного такого соединения, используя любые допустимые препараты или пути введения в организм, хорошо известные специалистам. Изобретение также включает получение соединений общей формулы (I) и общей формулы (II). Подробное раскрытие изобретения Определения (термины) Следующие определения применяются в данном документе, если иное не указано явно. Кроме того, если не указано иное, все вхождения функциональных групп выбираются независимо, два вхождения могут быть как одинаковыми, так и разными. Термин «алкил» сам по себе или как часть другого заместителя, относится к насыщенным углеводородным группам с прямой или разветвленной цепью, включая углеводородные группы, имеющие указанное число атомов углерода (то есть, C1-6 подразумевает от одного до шести атомов углерода). Примеры алкилов включают метил, этил, н-пропил, изо-пропил. Термин «галоген» сам по себе или в части другого термина относится к атому фтора, хлора, брома или йода. Термин «бензил», если иное не оговорено, обозначает углеводородный остаток -СН2-С6Н5; Данное изобретение содержит только такие комбинации заместителей и производных, которые образуют стабильное или химически возможное соединение. Стабильным или химически возможным соединением называется такое соединение, стабильности которого достаточно для его синтеза и аналитического детектирования. Предпочтительные соединения данного изобретения являются достаточно стабильными и не разлагаются при температуре до 40°С в отсутствие химически активных условий, в течение, по крайней мере, одной недели. Если не указано иначе, приведенные в материалах заявки структуры соединений также подразумевают и все стереоизомеры, то есть R- и S- изомеры для каждого ассиметричного центра. Кроме того, отдельные стереохимические изомеры, равно как и энантиомеры и диастереомерные смеси настоящих соединений, также являются предметом данного изобретения. Таким образом, данное изобретение охватывает каждый диастереомер или энантиомер, свободный в значительной степени от других изомеров (>90%; более предпочтительно, >95% мольной чистоты), так же как и смесь таких изомеров. Конкретный оптический изомер может быть получен разделением рацемической смеси в соответствии со стандартной процедурой, например путем получения диастереоизомерных солей путем обработки оптически активной кислотой или основанием с последующим разделением смеси диастереомеров кристаллизацией с последующим выделением оптически активных оснований из этих солей. Примерами соответствующих кислот являются винная, диацетилвинная, дибензоилвинная, дитолуолвинная и камфорсульфоновая кислота. Другая методика разделения оптических изомеров заключается в использовании хиральной хроматографической колонки. Кроме того, другой метод разделения включает синтез ковалентных диастереомерных молекул путем реакции соединений изобретения с оптически чистой кислотой в активированной форме или оптически чистым изоцианатом. Полученные диастереомеры можно разделить обычными способами, например, хроматографией, дистилляцией, кристаллизаций или сублимацией, а затем гидролизовать для получения энантиомерно чистого соединения. Оптически активные соединения данного изобретения могут быть получены с использованием оптически активных исходных материалов. Такие изомеры могут находиться в форме свободной кислоты, свободного основания, эфира или соли. Термин «сольват» относится к ассоциации или комплексу из одной или нескольких молекул растворителя и соединения по изобретению. Примеры растворителей, образующих сольваты, включают, но ими не ограничиваются, воду, изопропанол, этанол, метанол, ДМСО, этилацетат, уксусную кислоту и этаноламин. Термин «гидрат» относится к комплексу, где молекулами растворителя является вода. Соединения настоящего изобретения могут существовать в свободной форме или, если требуется, в виде фармацевтически приемлемой соли или другого производного. Используемый здесь термин «фармацевтически приемлемая соль» относится к таким солям, которые, в рамках проведенного медицинского заключения, пригодны для использования в контакте с тканями человека и животных без излишней токсичности, раздражения, аллергической реакции и т.д., и отвечают разумному соотношению пользы и риска. Фармацевтически приемлемые соли аминов, карбоновых кислот, фосфонатов и другие типы соединений хорошо известны в медицине. Соли могут быть получены in situ в процессе выделения или очистки соединений изобретения, а также могут быть получены отдельно, путем взаимодействия свободной кислоты или свободного основания соединения изобретения с подходящим основанием или кислотой, соответственно. Примером фармацевтически приемлемых, нетоксичных солей кислот могут служить соли аминогруппы, образованные неорганическими кислотами, такими как соляная, бромоводородная, фосфорная, серная и хлорная кислоты, или органическими кислотами, такими как уксусная, щавелевая, малеиновая, винная, янтарная или малоновая кислоты, или полученные другими методами, используемыми в данной области, например, с помощью ионного обмена. К другим фармацевтически приемлемым солям относятся адипинат, альгинат, аскорбат, аспартат, бензолсульфонат, бензоат, бисульфат, борат, бутират, камфорат, камфорсульфонат, цитрат, циклопентанпропионат, диглюконат, додецилсульфат, этансульфонат, формиат, фумарат, глюкогептонат, глицерофосфат, глюконат, гемисульфат, гептанат, гексанат, гидройодид, 2-гидрокси-этансульфонат, лактобионат, лактат, лаурат, лаурил сульфат, малат, малеат, малонат, метансульфонат, 2-нафталинсульфонат, никотинат, нитрат, олеат, оксалат, пальмитат, памоат, пектинат, персульфат, 3-фенилпропионат, фосфат, пикрат, пивалат, пропионат, стеарат, сукцинат, сульфат, тартрат, тиоцианат, п-толуолсульфонат, ундеканат, валериат и подобные. Типичные соли щелочных и щелочноземельных металлов содержат натрий, литий, калий, кальций, магний и другие. Кроме того, фармацевтически приемлемые соли могут содержать, если требуется, нетоксичные катионы аммония, четвертичного аммония и амина, полученные с использованием таких противоионов, как галогениды, гидроксиды, карбоксилаты, сульфаты, фосфаты, нитраты, низшие алкил сульфонаты и арил сульфонаты. Настоящее изобретение включает все фармацевтически приемлемые изотопно меченые соединения по настоящему изобретению, в которых один или несколько атомов замещен атомами, имеющими такой же атомный номер, но атомную массу или массовое число, отличные от атомной массы или массового числа, обычно встречающихся в природе. Примеры изотопов, подходящих для включения в соединения по изобретению, включают изотопы водорода, такие как2Н и3Н, углерода, такие как11С,13С и14С, хлора, такие как36Cl, фтора, такие как18F, йода, такие как123I и125I, азота, такие как13N и15N, кислорода, такие как15O,17O и18O, фософора, такие как32Р, и серы, такие как35S. Некоторые изотопно меченые соединения формулы (I) или соединения формулы (II), например, те, которые включают радиоактивный изотоп, используют в исследованиях распределения лекарственного препарата и/или субстрата в тканях. В частности, с этой целью используют радиоактивные изотопы, такие как тритий, то есть3Н, и углерод-14, то есть14С, ввиду легкости их введения и доступности средств их обнаружения. Замещение более тяжелыми изотопами, такими как дейтерий, то есть2Н, может обеспечить определенные терапевтические эффекты, обусловленные метаболической стабильностью, например, увеличением периода полувыведения in vivo или снижением норм дозирования, и, следовательно, может быть предпочтительным в некоторых случаях. Изотопно меченые соединения по изобретению могут быть получены обычными способами, известными специалисту в данной области или способами, аналогичными описанным в прилагаемых примерах способов синтеза, при использовании соответствующих изотопно меченых реагентов вместо немеченого ранее применяемого реагента. Фармацевтически приемлемые сольваты в соответствии с изобретением включают сольваты, где растворитель кристаллизации может быть изотопно замещен, например, D2O, d6-ацетон, d6-ДМСО. Осуществление изобретения Обзор методов получения соединений изобретения Соединения, являющиеся предметом настоящего изобретения, могут быть получены с использованием описанных ниже синтетических методов. Перечисленные методы не являются исчерпывающими и допускают введение разумных модификаций. Указанные реакции должны проводиться с использованием подходящих растворителей и материалов. При реализации данных общих методик для синтеза конкретных веществ необходимо учитывать присутствующие в веществах функциональные группы и их влияние на протекание реакции. Для получения некоторых веществ необходимо изменить порядок стадий либо отдать предпочтение одной из нескольких альтернативных схем синтеза. Следует понимать, что эти и все приведенные в материалах заявки примеры не являются ограничивающими и приведены только для иллюстрации настоящего изобретения. Пример 1. Получение (Z)-1-(2,4-дихлорфенил)-2-(1Н-1,3-имидазол-1-ил)этил 2-[5-(2-гидрокси-5-хлорбензилиден)-тиазолидин-2,4-дион-3-ил] ацетата (2) Получение 1-(2,4-дихлорфенил)-2-(1Н-1,3-имидазол-1-ил)этил 2-(тиазолидин-2,4-дион-3-ил) ацетата (1) Хлорангидрид тиазолидин-2,4-дион 3-уксусной кислоты (1,1 экв.), полученный после кипячения тиазолидин-2,4-дион 3 уксусной кислоты в избытке хлористого тионила в течение 1 часа и удаления избытка хлористого тионила отгонкой на роторном испарителе, добавляют по каплям при охлаждении на ледяной бане к раствору вторичного спирта 1-(2,4-дихлорфенил)-2-(1Н-имидазол-1-ил)этанола (1 экв.), совместно с триэтиламином (ТЭА, 2 экв.) и диметиламинопиридином (ДМАП, 0.1 экв.) в 100 мл безводного (воды<0.01%) хлористом метилене. Контроль по ТСХ на пластинах Силуфол УФ 254 нм (система: 10% метанола в бензоле). Через 12 часов реакционная масса промывалась водой, раствором лимонной кислоты и органический слой отделяют и высушивают над Na2SO4, затем упаривают на роторном испарителе досуха. Остаток растворяют в бензоле и очищают колоночной хроматографией на силикагеле (элюент: 5 % метанола в бензоле). Собранные фракции упаривают с получением сухой пены бежевого или желтоватого цвета. Продукт получают в виде смеси диастереомеров. Выход соединения (Z)-1-(2,4-дихлорфенил)-2-(1Н-1,3-имидазол-1-ил)этил 2-(тиазолидин-2,4-дион-3-ил] ацетата - 65%. 1Н-ЯМР (500 MHz, DMSO-d6) δ 7.84 (s, 1Н), 7.47-7.22 (m, 13Н), 5.23 (s, 2H), 5.21 (s, 2H), 4.18 (bs, 2H), 3.33 (s, 1H). C16H13Cl2N3O4S. LCMS [M+H]+ 414. Получение (Z)-1-(2,4-дихлорфенил)-2-(1Н-1,3-имидазол-1-ил)этил 2-[5-(2-гидрокси-5-хлорбензилиден)-тиазолидин-2,4-дион-3-ил] ацетата (2) К раствору 1-(2,4-дихлорфенил)-2-(1Н-1,3-имидазол-1-ил)этил-2-(тиазолидин-2,4-дион-3-ил) ацетата (1 экв.) в безводном этаноле прибавляют рассчитанное количество 2-гидрокси,-5-хлорбензальдегида (1,1 экв.) и каплю пиперидина (0,01 экв.). Реакционную массу кипятят 8 часов, затем этанол упаривают и остаток очищают хроматографией на колонке с силикагелем в системе 3%-ный раствор метанола в хлористом метилене. Выход соединения (Z)-1-(2,4-дихлорфенил)-2-(1Н-1,3-имидазол-1-ил)этил-2-[5-(2-гидрокси-5-хлорбензилиден)-тиазолидин-2,4-дион-3-ил] ацетата - 10%. 1Н-ЯМР (500 MHz, CDCl3): 8.16 (s, 1H), 7.50-6.57 (m, 10Н), 4.46 (m, 2H), 4.26-4.22 (m, 2H), 1.56 (bs, 1H). C23H16Cl3N3O5S. LCMS [M+H]+ 554. Следующие примеры соединений по изобретению, представленные в таблице 1, получены в соответствии с методикой синтеза, описанной для соединения 2, используя подходящие исходные вещества: 1-(2,4-дихлорфенил)-2-(1Н-1,3-имидазол-1-ил)этил-2-(тиазолидин-2,4-дион-3-ил] ацетат и ароматические альдегиды. Пример 2. Получение (Z)-1-(2,4-дифторфенил)-2-(1Н-1,2,4-триазол-1-ил)этил-2-[5-(4-хлорбензилиден)]-2,4-тиазолидиндион-3-ил ацетата (13) Получение соединения (Z)-1-(2,4-дифторфенил)-2-(1Н-1,2,4-триазол-1-ил)этил-2-тиазолидин-2,4-дион-3-ил ацетата (12) К раствору 1-(1Н-1,2,4-триазол-1-ил)этанола (1 экв.) в безводном хлористом метилене (2 мл) прибавляют рассчитанное количество триэтиламина (3 экв,). Реакционную массу охлаждают до 0°С и прикапывают раствор хлорангидрида тиазолидин-2,4-дион-3-уксусной кислоты (1,2 экв,) в безводном хлористом метилене (10 мл). Реакционную массу перемешивают в течение 8 часов при комнатной температуре. Затем при перемешивании добавляют 2 мл насыщенного раствора лимонной кислоты, отделяют органический слой и еще раз промывают его лимонной кислотой до кислой реакции. Затем метиленовый слой высушивают над сульфатом натрия и упаривают хлористый метилен на роторном испарителе. Полученный остаток очищают хроматографией на колонке с силикагелем (система для элюирования: 4%-ный раствор метанола в хлористом метилене). Выход соединения (Z)-1-(2,4-дифторфенил)-2-[(1Н-1,2,4-триазол-1-ил)этил-2-тиазолидин-2,4-дион-3-ил] ацетата - 23%. 1Н-ЯМР (500 MHz, DMSO-d6): 8.46 (s, 1Н), 7.95 (s, 1Н), 7.41 (t, 1Н, J=8.44 Hz), 7.32 (d, 1H, J=8.44 Hz), 7.14 (m, 1H), 6.24 (m, 1H), 4.80-4.75 (m, 1H), 4.66-4.62 (m, 1H), 4.40-4.32 (m, 4H). C15H12F2N4O4S. LCMS [M+H]+ 383. Получение (Z)-1-(2,4-дифторфенил)-2-(1Н-1,2,4-триазол-1-ил)этил-2-[5-(4-хлорбензилиден)]-2,4-тиазолидиндион-3-ил ацетата (13) К раствору 1-(2,4-дифторфенил)-2-(1Н-1,2,4-триазол-1-ил)этил-2-тиазолидин-2,4-дион-3-ил ацетата (1 экв.) в безводном этаноле (15 мл) добавляют рассчитанное количество 4-хлорбензальдегида (1,1 экв,) и пиперидина (0,01 экв). Реакционную массу кипятят 8 часов в этаноле, затем отгоняют растворитель на роторном испарителе. Остаток растворяют в хлористом метилене и очищают хроматографией на колонке с силикагелем (система для элюирования 1%-ный раствор метанола в хлористом метилене). Выход соединения (Z)-1-(2,4-дифторфенил)-2-(1Н-1,2,4-триазол-1-ил)этил-2-[5-(4-хлорбензилиден)]-2,4-тиазолидиндион-3-ил ацетата - 34%. 1Н-ЯМР (500 MHz, CDCl3): 8.17 (bs, 1Н), 7.96-7.92 (m, 2Н), 7.49 (m, 4Н), 7.19 (m, 1Н), 6.90-6.87 (m, 2Н), 6.41 (m, 1Н), 4.65 (m, 2Н), 4.54 (m, 2Н). C22H15CIF2N4O4S. LCMS [М+Н]+ 506. Следующее соединение по изобретению, представленное в таблице 2, было получено в соответствии с методикой синтеза для соединения 13, при использовании подходящих исходных веществ - 1-(2,4-дифторфенил)-2-[(1Н-1,2,4-триазол-1-ил)этил-2-тиазолидин-2,4-дион-3-ил] ацетата и 2,4-дихлорбензальдегида. Пример 3. Получение (Z)-1-(2,4-дихлорфенил)-2-(1Н-имидазол-1-ил)этил-2-[5-(4-хлорбензилиден)тиазолидин-2,4-дион-3-ил] пропионата (16) Получение 1-(2,4-дихлорфенил)-2-(1Н-имидазол-1-ил)этил-2-(тиазолидин-2,4-дион-3-ил) пропионата (15) Хлорангидрид тиазолидин-2,4-дион-3-пропионовой кислоты (1,1 экв.), полученный после кипячения тиазолидин-2,4-дион-3-пропионовой кислоты в избытке хлористого тионила в течение 1 часа и удаления избытка хлористого тионила отгонкой на роторном испарителе, добавляют по каплям при охлаждении на ледяной бане к раствору вторичного спирта 1-(2,4-дихлорфенил)-2-(1Н-имидазол-1-ил)этанола (1 экв.), совместно с триэтиламином (2 экв.) и диметиламинопиридином (ДМАП, 0.1 экв.) в 100 мл безводного (воды<0.01%) хлористого метилена. Контроль по ТСХ на пластинах Силуфол УФ 254 нм (система для ТСХ: 10% метанола в бензоле). Через 24 часа реакционную масса промывают водой, раствором лимонной кислоты, и органический слой отделяют и высушивают над Na2SO4, затем упаривают на роторном испарителе досуха. Остаток растворяют в бензоле и очищают с помощью колоночной хроматографии на силикагеле (элюент: 5% метанола в бензоле). Собранные фракции упаривают с получением сухой пены желтого цвета. Продукт получен в виде смеси диастереомеров. Выход соединения в виде смеси диастереомеров 1-(2,4-дихлорфенил)-2-(1Н-имидазол-1-ил)этил-2-тиазолидин-2,4-дион-3-ил] пропионата - 11%. 1Н-ЯМР (500 MHz, CDCl3): δ 7.68-7.62 (m, 1Н), 7.40 (m, 1Н), 7.22-7.18 (m, 2Н), 7.07-7.98 (m, 1Н), 6.85-6.72 (m, 1Н), 6.31-6.24 (m, 1Н), 4.97-4.85 (m, 1Н), 4.45-4.32 (m, 2Н), 4.07-3.91 (m, 2Н), 1.57-1.52 (m, 3Н). C17H15Cl2N3O4S. LCMS [М+Н]+ 429. Получение (2)-1-(2,4-дихлорфенил)-2-(1Н-имидазол-1-ил)этил-2-[5-(4-хлорбензилиден)тиазолидин-2,4-дион-3-ил] пропионата (16) К раствору эфира 1-(2,4-дихлорфенил)-2-(1Н-имидазол-1-ил)этил-2-(тиазолидин-2,4-дион-3-ил) уксусной кислоты (1 экв.) в безводном этаноле прибавляют рассчитанное количество 4-хлорбензальдегида (1,1 экв.) и каплю пиперидина (0,01 экв). Реакционную массу кипятят 8 часов, затем этанол упаривают, и остаток очищают хроматографией на колонке с силикагелем в системе 3%-ный раствор метанола в хлористом метилене. Продукт получают в виде двух диастериоизомеров. Выход соединения в виде смеси диастереомеров (Z)-1-(2,4-дихлорфенил)-2-(1Н-имидазол-1-ил)этил-2-[5-(4-хлорбензилиден)-тиазолидин-2,4-дион-3-ил] пропионата - 38%. 1Н-ЯМР (500 MHz, CDCl3): δ ppm 1.70 (br d, J=7.09 Hz, 3Н) 4.23-4.50 (m, 1Н) 4.26-4.41 (m, 1Н) 4.41-4.50 (m, 1Н) 5.06-5.21 (m, 1Н) 5.31 (s, 1Н) 6.26-6.43 (m, 1Н) 6.34 (br s, 1Н) 6.39 (br s, 1Н) 6.68-6.81 (m, 1Н) 6.73 (s, 1Н) 6.78 (s, 1Н) 6.85 (br d, J=8.10 Hz, 1Н) 6.82-7.05 (m, 1Н) 6.91-7.03 (m, 1Н) 7.13-7.26 (m, 1Н) 7.26-7.52 (m, 1Н) 7.29-7.35 (m, 1Н) 7.44 (br s, 1H) 7.49 (s, 3H) 7.57 (br s, 1H) 7.74 (s, 1H) 7.89 (s, 1H). C24H18Cl3N3O4S. LCMS [M+H]+ 551. Следующее соединение по изобретению, представленное в таблице 3, было получено в соответствии с методикой синтеза для соединения 16, с использованием подходящих исходных веществ - 4-фторбензальдегида и 1-(2,4-дихлорфенил)-2-(1Н-имидазол-1-ил)этил-2-тиазолидин-2,4-дион-3-ил]пропионата. Пример 4. Получение 1-(2,4-дихлорфенил)-2-(1Н-имидазол-1-ил)-этил-2-(тиазолидин-2,4-дион-3-ил)-(2-хлорфенил) ацетата (18) Хлорангидрид (1 экв.), полученный после кипячения тиазолидин-2,4-дион-3-(2-хлорфенил)уксусной кислоты в избытке хлористого тионила в течение 1 часа и удаления избытка хлористого тионила отгонкой на роторном испарителе, добавляют по каплям при охлаждении на ледяной бане к раствору вторичного спирта 1-(2,4-дихлорфенил)-2-(1Н-имидазол-1-ил)этанола (1 экв.), совместно с триэтиламином (2 экв.) и диметиламинопиридином (ДМАП, 0.1 экв.) в 100 мл безводного (воды <0.01%) хлористого метилена. Контроль по ТСХ на пластинах Силуфол УФ 254 нм (система для ТСХ: 10% метанол в бензоле). Через 24 часа реакционная масса промывают водой, раствором лимонной кислоты и органический слой отделяют и высушивают над Na2SO4, затем упаривают на роторном испарителе досуха. Остаток растворяют в бензоле и очищают колоночной хроматографией на силикагеле (элюент: 5% метанола в бензоле). Собранные фракции упаривают с получением сухой пены бежевого или желтоватого цвета. Продукт получают в виде смеси диастереомеров. Выход соединения (Z)-1-(2,4-дихлорфенил)-2-(1Н-имидазол-1-ил)этил-2-(тиазолидин-2,4-дион-3-ил]-(2-хлорфенил) ацетата - 69%. 1Н-ЯМР (500 MHz, CDCl3): δ ppm 7.37-7.26 (m, 3Н), 7.24-7.13 (m, 2Н), 7.10-6.76 (m, 3Н), 6.73-6.56 (m, 1Н), 6.50-6.21 (m, 3Н), 4.27-4.09 (m, 2Н), 4.00-3.85 (m, 2Н). C22H16Cl3N3O4S. LCMS [М+Н]+ 526. Следующие примеры соединений по изобретению, представленные в таблице 4, получены по аналогии с методом синтеза для соединения 18, при использовании подходящих исходных веществ: 1-(2,4-дихлорфенил)-2-(1Н-имидазол-1-ил)этанола и хлорангидридов соответствующих тиазолидин-2,4-дион 3-фенилуксусных кислот, а также нафтила уксусной кислоты. Пример 5. Получение (Z)-1-(2,4-дихлорфенил)-2-(1Н-1,3-имидазол-1-ил)этил-2-[5-(2-гидрокси-бензилиден)-2,4-тиазолидиндион-3-ил]-(2-хлорфенил) ацетата (23) Раствор 1-(2,4-дихлорфенил)-2-(1Н-имидазол-1-ил)этил-2-[5-(4-хлорбензилиден)-2,4-тиазолидиндион-3-ил]-(2-хлорфенил) (1 экв.) и салицилового альдегида (1 экв.) перемешивают при 110°С в 3 мл уксусной кислоты с 2 каплями (0,01 зкв.) водного 30% раствора метиламина. Кислоту упаривают, остаток растворяют в бензоле и очищают колоночной хроматографией на силикагеле (элюент: 5% метиловый спирт в бензоле). Продукт получают в виде смеси диастереомеров. Выход соединения (Z)-1-(2,4-дихлорфенил)-2-(1Н-имидазол-1-ил)этил-2-[5-(2-гидрокси-бензилиден)-2,4-тиазолидиндион-3-ил]-(2-хлорфенил) ацетата - 61%. 1Н-ЯМР: (500 MHz, CDCl3) δ=8.39-7.92 (m, 1Н), 7.58-7.30 (m, 7Н), 7.26-6.97 (m, 4Н), 6.95-6.68 (m, 2Н), 6.56-6.29 (m, 2Н), 4.57-4.20 (m, 2Н), 2.18-2.02 (m, 2Н). C29H20Cl3N3O5S. LCMS [M+H]+ 630. Следующие примеры соединений по изобретению, представленные в таблице 5, получены с помощью методов синтеза по аналогии с соединением 23, при использовании подходящих исходных веществ: эфиров 1-(2,4-дихлорфенил)-2-(1Н-имидазол-1-ил)-R-фенил уксусной кислоты и ароматических альдегидов. Применение химических соединений по изобретению Применение соединений по медицинским показаниям Соединения, описанные в данном изобретении, могут применяться для лечения и/или профилактики инфекционных заболеваний. Способ терапевтического применения соединений Предмет данного изобретения также включает введение субъекту, нуждающемуся в соответствующем лечении, терапевтически эффективного количества соединения общей формулы (I) или соединения общей формулы (II). Под терапевтически эффективным количеством подразумевается такое количество соединения, вводимого или доставляемого пациенту, при котором у пациента с наибольшей вероятностью проявится желаемая реакция на лечение (профилактику). Точное требуемое количество может меняться от субъекта к субъекту в зависимости от возраста, массы тела и общего состояния пациента, тяжести заболевания, методики введения препарата, комбинированного лечения с другими препаратами и т.п. Соединение по изобретению или фармацевтическая композиция, содержащая соединение, может быть введено в организм пациента в любом количестве и любым путем введения, эффективным для лечения или профилактики заболевания. После смешения лекарственного препарата с конкретным подходящим фармацевтически допустимым носителем в желаемой дозировке, композиции, составляющие суть изобретения, могут быть введены в организм человека или других животных перорально, парентерально, местно и т.п. В том случае, когда соединение по изобретению используется как часть режима комбинированной терапии, доза каждого из компонентов комбинированной терапии вводится в течение требуемого периода лечения. Соединения, составляющие комбинированную терапию, могут вводиться в организм пациента как единовременно, в виде дозировки, содержащей все компоненты, так и в виде индивидуальных дозировок компонентов. Фармацевтические композиции Изобретение также относится с фармацевтическим композициям, которые содержат соединение общей формулы (I) или общей формулы (II) (или пролекарственную форму, фармацевтически приемлемую соль или другое фармацевтически приемлемое производное) и один или несколько фармацевтически приемлемых носителей, адъювантов, растворителей и/или наполнителей, таких, которые могут быть введены в организм пациента совместно с соединением, составляющем суть данного изобретения, и которые не разрушают фармакологической активности этого соединения, и являются нетоксичными при введении в дозах, достаточных для доставки терапевтического количества соединения. Фармацевтические композиции, заявляемые в данном изобретении, содержат соединения данного изобретения совместно с фармацевтически приемлемыми носителями, которые могут включать в себя любые растворители, разбавители, дисперсии или суспензии, поверхностно-активные вещества, изотонические агенты, загустители и эмульгаторы, консерванты, вяжущие вещества, смазочные материалы и т.д., подходящие для конкретной формы дозирования. Материалы, которые могут служить фармацевтически приемлемыми носителями, включают, но не ограничиваются, моно- и олигосахариды, а также их производные; желатин; тальк; эксципиенты, такие как какао-масло и воск для суппозиториев; масла, такие как арахисовое, хлопковое, сафроловое, кунжутное, оливковое, кукурузное и соевое масло; гликоли, такие как пропиленгликоль; сложные эфиры, такие как этилолеат и этиллаурат; агар; буферные вещества, такие как гидроксид магния и гидроксид алюминия; альгиновая кислота; апирогенная вода; изотонический раствор, раствор Рингера; этиловый спирт и фосфатные буферные растворы. Также в составе композиции могут быть другие нетоксичные совместимые смазочные вещества, такие как лаурилсульфат натрия и стеарат магния, а также красители, разделительные жидкости, пленкообразователи, подсластители, вкусовые добавки и ароматизаторы, консерванты и антиоксиданты. Предметом данного изобретения являются также лекарственные формы - класс фармацевтических композиций, состав которых оптимизирован для определенного пути введения в организм в терапевтически эффективной дозе, например, для введения в организм орально, местно, внутриглазным способом, пульмональным, например, в виде ингаляционного спрея, или внутрисосудистым способом, интраназально, подкожно, внутримышечно, а также инфузионным способом, в рекомендованных дозировках. Лекарственные формы данного изобретения могут содержать составы, полученные методами использования липосом, методами микрокапсулирования, методами приготовления наноформ препарата, или другими методами, известными в фармацевтике. При получении композиции, например в форме таблетки, активное начало смешивают с одним или несколькими фармацевтическими эксципиентами, такими как желатин, крахмал, лактоза, стеарат магния, тальк, кремнезем, аравийская камедь, маннит, микрокристаллическая целлюлоза, гипромеллоза или аналогичные соединения. Таблетки можно покрыть сахарозой, целлюлозным производным или другими веществами, подходящими для нанесения оболочки. Таблетки могут быть получены различными способами, такими как непосредственное сжатие, сухое или влажное гранулирование или горячее сплавление в горячем состоянии. Фармацевтическую композицию в форме желатиновой капсулы можно получить, смешивая активное начало с растворителем и заполняя полученной смесью мягкие или твердые капсулы. Для введения парентеральным путем используются водные суспензии, изотонические солевые растворы или стерильные растворы для инъекций, которые содержат фармакологически совместимые агенты, например пропиленгликоль или бутиленгликоль. Характеристика биологической активности соединений Сравнительное исследование спектра антигрибкового действия соединений по изобретению в опыте in vitro методом двукратных микроразведений в бульоне. Эксперимент проводили с использованием стандартных штаммов и клинических изолятов. Чувствительность к референсным штаммам и стандартным препаратам, используемым в исследовании, нормирована по ГОСТ Р ИСО 16256-2015 и служит критерием точности проведенного эксперимента. Для контроля проводимых исследований и сравнительной активности синтезированных соединений использовали стандартные препараты флуконазол (Fluconazole, Sigma-Aldrich), противогрибковый антибиотик Нистатин и контрольный штамм Candida parapsilosis (АТСС 22019). Анализ осуществляли методом серийных микроразведений в соответствии с ГОСТ Р ИСО 16256-2015 «Клинические лабораторные исследования и диагностические тест-системы in vitro. Референтный метод для тестирования активности in vitro антимикробных препаратов в отношении дрожжевых грибов, вызывающих инфекционные заболевания» и рекомендациями Всемирной некоммерческой организации по разработке стандартов и рекомендаций в сфере медицины (Reference method for broth dilution antifungal susceptibility testing of filamentous fungi; approved standard, 2nd ed. CLSI document M38-A, Antifungal Susceptibility Testing of Yeasts: M27-A2. 2008. Clinical and Laboratory Standards Institute, Wayne, PA.). Все изучаемые образцы соединений растворяли в диметилсульфоксиде (ДМСО), концентрация основных растворов составляла 10000 мкг/мл. Для получения рабочих растворов основные растворы разводили в питательной среде до концентрации 64 мкг/мл. Диапазон значений изучаемых концентраций составлял от 32,0 до 0,015 мкг/мл. Инокулят дрожжевых культур содержал 103 КОЕ/мл, филаментозных грибов - 104 КОЕ/мл. Серию двукратных разведений испытуемых образцов готовили в 96-луночных планшетах для иммунологических исследований в объеме 100 мкл среды RPMI-1640 с L-глютамином (ФГУП ПИПВЭ им. Чумакова, Россия), содержащей 0,2% глюкозы. После посева дрожжевых культур планшеты инкубировали 24-48 часов при 35°С, филаментозные - 48-96 часов. За минимальную ингибирующую концентрацию (МИК) принимали наименьшую концентрацию растворов образцов, при которой наблюдали не менее, чем 80%-ное ингибирование роста. Все эксперименты повторяли трехкратно. Результаты представлены в таблице 6. Сравнительная оценка активности заявляемых соединений по изобретению в условиях in vitro в отношении грибных штаммов дерматофитов и препаратов сравнения (флуконазола и нистатина) показала, что соединения по изобретению не уступают широко используемым коммерческим препаратам. Соединения по изобретению обладают широким спектром противогрибковой активности, что подтверждает их перспективность для использования в клинической практике для лечения инфекционных заболеваний, вызванных грибковыми инфекциями, в частности в дерматологии. Активность большинства заявляемых соединений по изобретению в отношении Candida parapsilosis не уступает или превосходит активность Флуконазола и Кетоконазола. Кроме того, соединения по изобретению, в отличие от флуконазола, подавляют рост филаментозных грибов M. canis В-200 и T. rubrum 2002. Особый интерес представляют гибридные эфиры уксусной кислоты (соединения 6 и 7), которые в отличие от Флуконазола воздействуют и на дрожжевые и на филаментозные грибы. Сравнительное изучение противогрибковой активности соединений по изобретению на клинических изолятах Candida spp. микрометодом двухкратных серийных разведений in vitro Была исследована противогрибковая активность соединений по изобретению и микробиологических стандартов кетоконазола и итраконазола по спектру противогрибкового действия в отношении клинических изолятов Candida spp. микрометодом двукратных серийных разведений в питательном бульоне RPMI 1640 в отношении 10 клинических изолятов и стандартных штаммов Candida spp. Оценку активности проводили в соответствии с рекомендациями Всемирной некоммерческой организации по разработке стандартов и рекомендаций в сфере медицины - Clinical and Laboratory Standards Institute (CLSI). Использовали методы M27-A3 (Clinical and Laboratory Standards Institute. Approved standard third edition M27-A3, Wayne, PA, USA, 2008) и ISO 16256:2012 Clinical laboratory testing and in vitro diagnostic test systems - Reference method for testing the in vitro activity of antimicrobial agents against yeast fungi involved in infectious diseases (IDT) для определения значения минимальной ингибирующей концентрации (МИК), микрометодом серийных разведений в среде RPMI 1640 с добавлением глюкозы до концентрации 0,2%. Для получения посевного материала, штаммы выращивали на агаре ГРМ 2 (ВФС 42-3068-98, Биохолд, Россия) при 35°С в течение 48 часов. Посевную суспензию приготавливали в среде RPMI с 0,2% глюкозой по стандарту мутности 0,5 McFarland (~ 5×106 КОЕ/мл для дрожжевых культур), титр микробных клеток приготовленной суспензии оценивали денситометрически (Densimat, Biomerieux). Полученную суспензию разводили от 1:1000 до ~ 2,5×103 колоний образующих единиц (КОЕ/мл) в среде RPMI с 0,2% глюкозой. Для получения основных растворов образцов с концентрацией 10000 мкг/мл навески растворяли в диметилсульфоксиде (ДМСО). Субстанции соединений в количестве 18 мг растворяли в 1,8 мл ДМСО, кетоконазол в количестве 1,8 мг растворяли в 0,18 мл ДМСО. Для получения рабочих растворов с концентрацией 64 мкг/мл основные растворы в количестве 0,64 мл доводили до 10 мл в питательном бульоне RPMI 1640 с глюкозой 0,2%. В работе использовали 96 луночные планшеты для иммунологических исследований (Медполимер, Санкт-Петербург). В лунки планшет вносили 100 мкл суспензии дрожжевых культур в питательной среде и образцы в диапазоне концентраций 32-0,125 мкг/мл, стандартный образец кетоконазола в диапазоне 64-0,015 мкг/мл. После внесения исследуемых образцов плотность суспензии тест-культур составила ~ 2,5×103 КОЕ/мл. Для контроля роста культуры в питательный бульон засевали тест-микроорганизмы без образцов. Для соблюдения точности проводимой процедуры определения значений МИК исследуемых штаммов, в опыт включен эталонный штамм Candida parapsilosis АТСС 22019, для которого ингибирующая рост концентрация кетоконазола (МИК) не должна выходить за доверительные пределы, предусмотренные документом (Clinical and Laboratory Standards Institute: Reference method for broth dilution antifungal susceptibility testing of yeasts; informational supplement (M27-S3). Wayne, PA: Clinical and Laboratory Standards Institute; 2007; ISO 16256:2012 Clinical laboratory testing and in vitro diagnostic test systems - Reference method for testing the in vitro activity of antimicrobial agents against yeast fungi involved in infectious diseases (IDT): Оценку чувствительности проводили визуально после инкубации при 35°С в течение 24 и 48 часов. Рост культуры в бульоне в присутствии препаратов оценивали в сравнении с интенсивностью роста без препаратов (контролем роста). Сравнительный анализ соединений по изобретению и препаратов сравнения (кетоконазола, итраконазола и флуконазола) выявил преимущества заявляемых соединений в отношении различных штаммов грибов Candida spp., в том числе и резистентных (C. albicans 604М (R), С. albicans 80 (R) или не чувствительных к флуконазолу (С. tropicalis 3019, C. glabrata 61Л, С. krusei 432М). По оценке активности в отношении С. tropicalis 3019 соединения №21 и 17 показали несколько лучшие значения, чем итраконазол. По активности в отношении С. albicans АТСС 24433 соединения были сопоставимы с кетоконазолом, а с учетом того, что кетоконазол обладает значительной токсичностью, заявляемые соединения могут составить серьезную конкуренцию, т.к. соединения по изобретению, характеризуются пониженной токсичностью. С другой стороны, заявляемые соединения составляют серьезную конкуренцию флуконазолу, к которому зафиксирована постоянного растущая резистентность. А так как гибридные эфиры по изобретению состоят из двух фармакофоров: тиазолидинового и азола фрагментов с разными механизмами действия, возможность развития резистентности к ним существенно снижена. Таким образом, заявляемые соединения представляют интерес для медицины и могут найти применение для лечения и профилактики инфекционных заболеваний, вызванных различными грибковыми инфекциями, в частности таких заболеваний как дерматофития, поверхностный микоз, кандидоз кожи и ногтей, вагинальный кандидоз, кандидозный стоматит, эндокардит и других заболеваний человека и животных. Несмотря на то, что изобретение описано со ссылкой на раскрываемые варианты воплощения, для специалистов в данной области должно быть очевидно, что конкретные подробно описанные эксперименты приведены лишь в целях иллюстрирования настоящего изобретения, и их не следует рассматривать как каким-либо образом ограничивающие объем изобретения. Должно быть понятно, что возможно осуществление различных модификаций без отступления от сути настоящего изобретения.




























