Изобретение относится к радиоэлектронным системам сопровождения, в частности к следящим системам по направлению (измерителям углов и угловых скоростей линии визирования), в которых используется инерционный привод антенны, и может быть использовано для эффективного управления инерционными следящими системами по направлению в режиме сопровождения различных воздушных объектов, включая интенсивно маневрирующие. Достигаемый технический результат - высокоточное устойчивое сопровождение сверхманевренных целей по направлению при использовании обычных инерционных приводов антенн, без требования изменения конструкции привода антенны. Предлагаемый способ позволяет учесть в законе управления угловую скорость линии визирования, курс носителя и их производные, при этом инерционные свойства привода антенны позволяют обеспечить устойчивое и точное сопровождение интенсивно маневрирующего объекта (ИМО). При этом сигнал управления формируется в системе управления определенным образом. 5 ил.
Способ управления инерционным приводом антенны, обеспечивающий устойчивое сопровождение интенсивно маневрирующих и высокоскоростных летательных аппаратов с повышенной адаптацией к маневру носителя, состоящий в том, что формируют сигналы ошибок сопровождения по пеленгу и угловой скорости цели вычитанием из значения оцененного сигнала пеленга цели
значения оцененного сигнала угла поворота антенны
и вычитанием из значения оцененного сигнала угловой скорости цели
значения оцененного сигнала угловой скорости поворота антенны
, усиливая их постоянными коэффициентами
и
, зависящими от свойств привода антенны, отличающийся тем, что дополнительно учитывают в сигнале оценки угловой скорости линии визирования
, ее первой
и второй производных
, усиленных с различными коэффициентами
,
и
, зависящими от параметров привода антенны угломера, и складывают их с усиленными сигналами ошибок сопровождения
, образуя сигнал управления приводом антенны
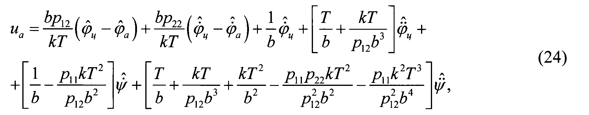
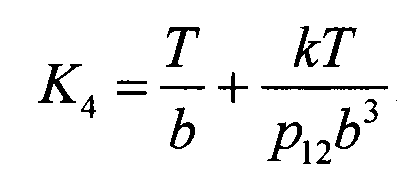
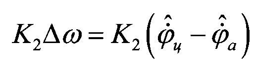
где и
- оценки угла поворота антенны и ее угловой скорости,
и
- оценки пеленга цели и угловой скорости линии визирования,
и
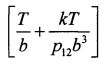
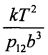
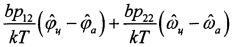
- оценки первой и второй производных угловой скорости линии визирования, Т - постоянная времени привода угломера, b - коэффициент усиления привода угломера, p11, p12 и p22 - весовые коэффициенты оценки текущего состояния следящей системы, k - коэффициент штрафа за величину сигнала управления.
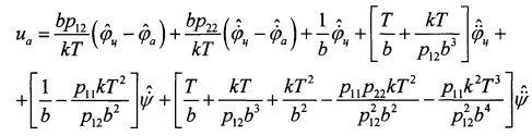
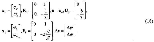
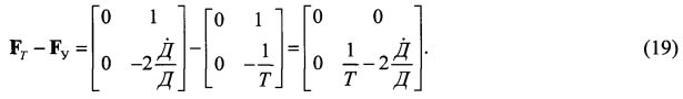
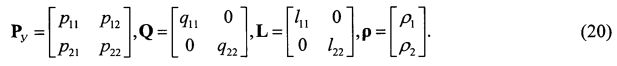
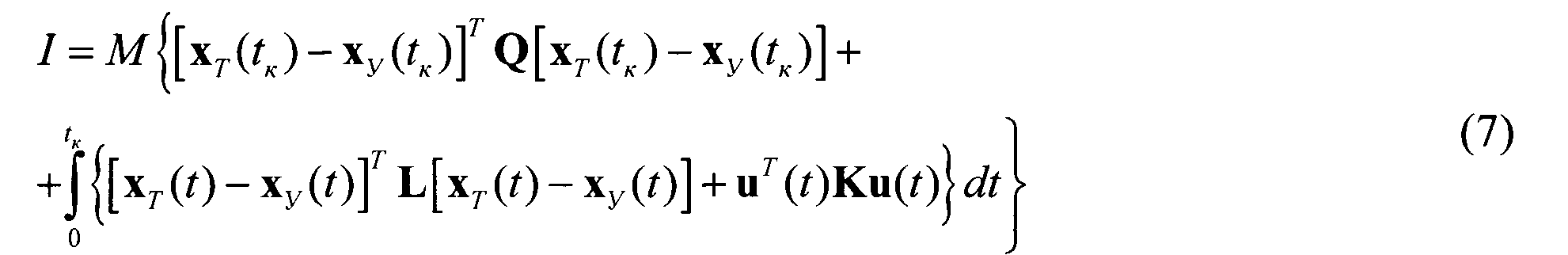
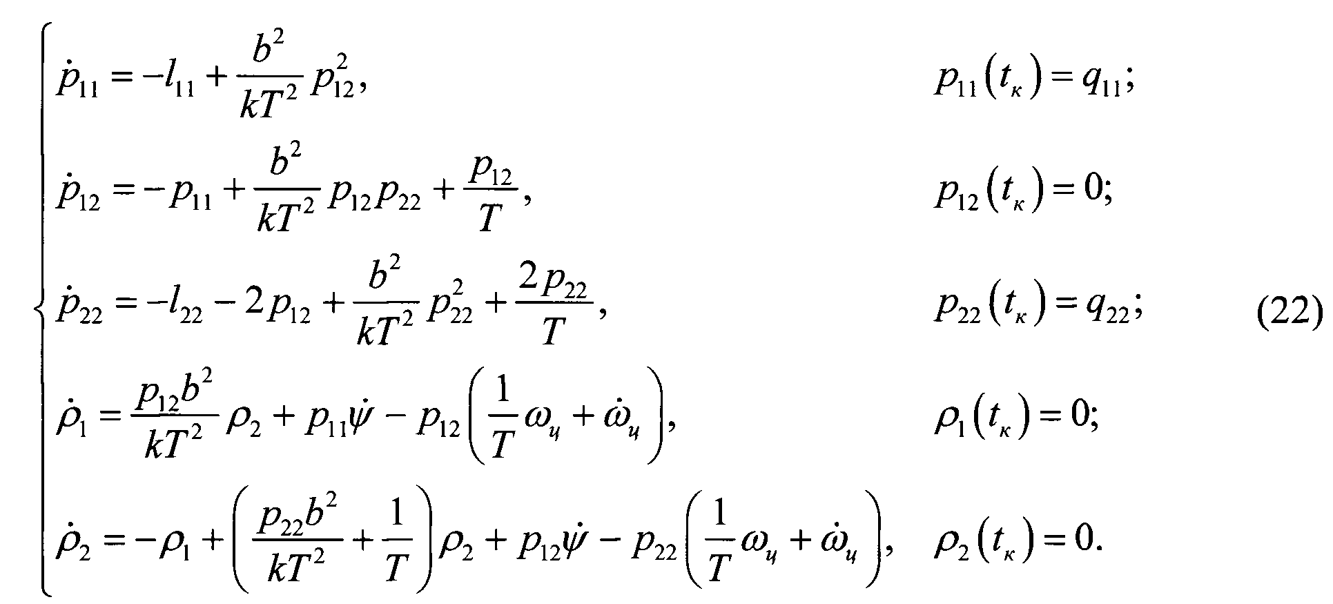
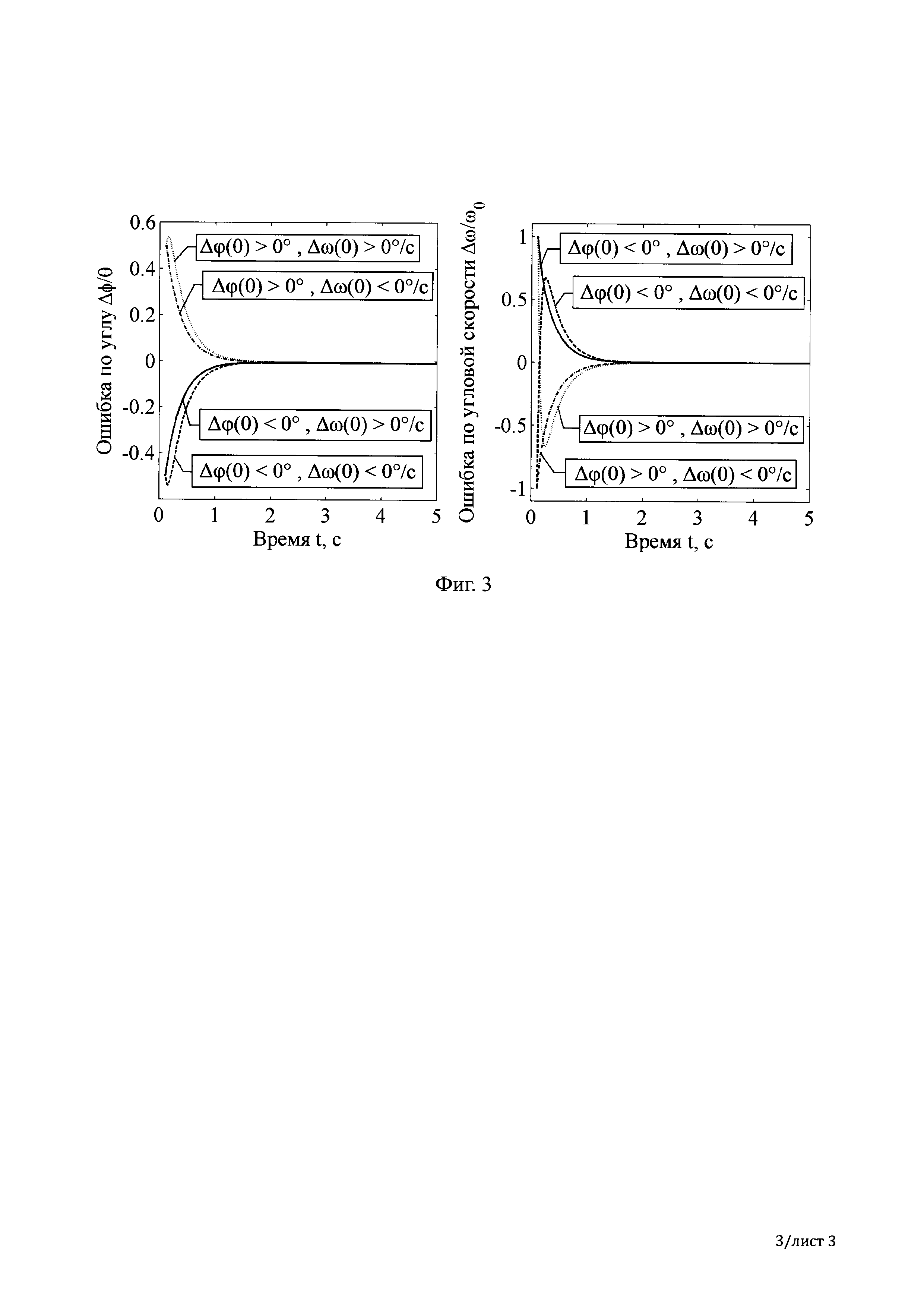
Изобретение относится к радиоэлектронным системам сопровождения, в частности к следящим системам по направлению, и может быть использовано для эффективного управления инерционными приводами антенн следящих угломеров в режиме сопровождения различных летательных объектов, в том числе и интенсивно маневрирующих. Расширение номенклатуры сверхманевренных (СМЛА) и гиперзвуковых (ГЗЛА) летательных аппаратов приводит к усложнению процесса воздушного боя, что проявляется в значительном усложнении законов изменения входных воздействий для БРЛС. В связи с этим, к РЛС самолетов-истребителей, ракет и БЛА предъявляются высокие требования к точности, быстродействию и устойчивости сопровождения целей [1]. Однако, необходимо отметить, что в существующих одноконтурных системах радиолокационного сопровождения, которые базируются на использовании следящих систем с астатизмом второго (редко - третьего) порядка, требования точности противоречат требованиям устойчивости [2]. Следовательно, система сопровождения сверхманевренных целей должна быть многоконтурной, в которой различные контуры смогут обеспечивать раздельно точность и устойчивость сопровождения, реализуя высокие показатели системы сопровождения в целом. Следует отметить, что входные воздействия для угломера в БРЛС определяются не только движением цели, но и движением носителя. В свою очередь, сигналы управления носителем зависят от оценок углов и угловых скоростей, формируемых БРЛС. В связи с этим, следящие системы БРЛС целесообразно рассматривать вместе с системой управления носителем, то есть задачи управления РЛС и наведения должны решаться совместно. Это позволит учесть маневр носителя РЛС на этапе синтеза алгоритма сопровождения, тем самым улучшив показатели сопровождения цели при маневрах ее и носителя. Поскольку наибольший вклад в ошибки наведения вносит угломерный канал БРЛС [2], то, прежде всего, необходимо улучшить устойчивость и точность сопровождения следящих угломеров. Необходимо отметить, что при проектировании систем одноразового применения актуальной задачей является снижение их стоимости, однако безынерционные антенны являются дорогостоящими, поэтому использование ФАР (АФАР) является проблематичным. Кроме того, использование ФАР на конечных участках наведения вследствие дискретного характера формирования луча антенны приводит к усилению угловых шумов, а соответственно, к увеличению дальности окончания управления и промахов. В связи с этим весьма актуальной является разработка угломеров на базе антенн с механическим инерционным приводом, в алгоритмах управления которыми учитываются высокие динамические свойства цели и инерционность привода. Из известных технических решений наиболее близким является способ управления приводом антенны в угломере, приведенный в [2]. В данном алгоритме сигнал управления учитывает ошибки сопровождения по углу и угловой скорости в соответствии с формулой: где ua - сигнал управления приводом антенны; Κφ - постоянный коэффициент усиления, определяющий вес ошибки управления Недостатками прототипа являются: 1) отсутствие учета в способе управления приводом антенны несоответствия динамических свойств цели и угломера; 2) низкая точность и потеря устойчивости сопровождения при появлении в законах изменения угловых координат производных третьего и более высоких порядков, характерных для СМЛА и ГЗЛА. Эти недостатки можно скомпенсировать, если на стадии синтеза угломера учесть инерционность привода [3]. Таким образом, задачей изобретения является разработка способа формирования сигнала управления приводом антенны, обеспечивающего высокоточное, устойчивое сопровождение интенсивно маневрирующих целей по направлению, без изменения конструкции привода. Поставленная задача достигается тем, что сигнал управления, определяемый взвешенной суммой ошибок сопровождения по углу и угловой скорости, дополняется слагаемыми, учитывающими угловые скорости линии визирования, курса и их производные, вес которых зависит от соотношения коэффициентов усиления привода и его постоянной времени. Технический результат, который может быть получен от использования предлагаемого изобретения, заключается в обеспечении высокой точности и устойчивости сопровождения по направлению интенсивно маневрирующих объектов (ИМО). Сущность предлагаемого изобретения заключается в разработке формирователя сигнала управления приводом антенны, обеспечивающего бессрывное высокоточное сопровождение ИМО, отличающегося от прототипа тем, что в нем дополнительно будут учтены производные угловой скорости линии визирования и курса носителя. Для решения поставленной задачи воспользуемся математическим аппаратом СТОУ, который позволяет [1] для системы предназначенной для отработки процесса сформировать сигнал управления оптимальный по минимуму локального функционала качества В (2)-(7): t - текущее время; xT и xУ - n-мерные векторы состояния цели и следящей системы; FТ и FУ - динамические матрицы внутренних связей соответствующих векторов состояния; u - r-мерный (r≤n) вектор сигналов управления; BУ - матрица эффективности r-мерного (r≤n) вектора управления u; ξУ и ξТ - векторы шумов состояния; Q - неотрицательно определенная матрица штрафов за ошибки в момент времени tК окончания управления; L - матрица штрафов за ошибки в текущий момент времени t; К - положительно определенная матрица штрафов за величину сигналов вектора управления u; РУ - матрица весовых коэффициентов текущего состояния хУ; Μ - знак условного математического ожидания. В дальнейшем для упрощения записей зависимость векторов и матриц от времени будет опущена. Необходимо отметить, что использование (4)-(6) не позволяет учесть в законе управления несоответствие динамических свойств цели и угломера. В связи с этим необходимо преобразовать исходные выражения к виду, в котором это несоответствие будет учтено. В общем случае несоответствие динамических свойств РЛС и цели можно выразить вектором ошибок: изменение которого во времени можно найти посредством решения векторного уравнения: Учитывая в (9) выражения (2) и (3), получим: Решение этого неоднородного уравнения состоит из решения однородной части, определяемого первым слагаемым FУΔx, и частного решения неоднородного уравнения, определяемого вторым и третьим слагаемыми - Bуu+(FT-FУ)xT. Отсюда следует, что выбором сигнала управления можно скомпенсировать несоответствие динамических свойств РЛС и цели. Если динамические свойства (2) РЛС соответствуют требуемым значениям (FУ=FT), то ошибка будет убывать вплоть до нуля со скоростью, определяемой динамическими свойствами РЛС (FУ). В такой ситуации убывание можно ускорить за счет сигнала управления. В случае несоответствия динамических свойств (FУ≠FT), в решении (10) появляется вынужденная составляющая, зависящая от характеристик изменения xТ. Найдем управляющий сигнал, который будет минимизировать ошибку сопровождения при FУ≠FТ. При использовании общих соотношений (4)-(6) для (10), полагая, что Δx=y, получим: где ξyu=(FT-FУ)xТ. Тогда сигнал управления: Далее без ограничения общности будем полагать, что наведение осуществляется в горизонтальной плоскости. В качестве модели состояния системы сопровождения воспользуемся типовым уравнением привода антенны [2]: а в качестве модели движения цели используем кинематические уравнения [2]: где uа - сигнал управления приводом, φa и ωa - угол поворота антенны относительно продольной оси носителя и угловая скорость ее перемещения, Τ - постоянная времени привода угломера, b - коэффициент его усиления, φц и ωц - пеленг цели и угловая скорость линии визирования, ψ и V0 - курс и скорость носителя, Д и Сопоставляя (15)-(17) и (2), (3), запишем в явном виде векторы состояния и динамические матрицы связей системы: В свою очередь несоответствие динамических свойств РЛС и цели определяется матрицей: Из (19) следует, что для соответствия динамических свойств цели и следящей системы необходимо выполнение условия где p11, p12, p22 - весовые коэффициенты текущего состояния следящей системы; q11 и q22 - коэффициенты штрафов по углу и угловой скорости за ошибки сопровождения в момент окончания управления; l11 и l22 - коэффициенты штрафов по углу и угловой скорости за ошибки сопровождения в текущий момент; ρ1 и ρ2 - величины учета внешнего воздействия на угол и угловую скорость. Тогда используя (19) и (20) в формулах (12)-(14), получим: где k - коэффициент штрафа за величину сигнала управления. Можно заметить, что система уравнений (22), не решаемая в общем случае в аналитическом виде, должна решаться численно в обратном времени. Следовательно, сигнал управления (21) не может быть получен в режиме реального времени. Графики зависимостей p11, p12 и p22, используемых в (21) и (22) для некоторых соотношений коэффициентов штрафов, показаны на фигуре 2. Из графиков видно, что на большей части временного диапазона работы эти зависимости имеют установившийся характер. Поскольку момент окончания управления неизвестен, то будет достаточно выбрать конечное время работы системы заведомо больше максимально возможного времени работы следящей системы: В таком случае можно считать, что требуемое условие будет выполняться на всем участке работы следящей системы. Тогда может быть найдено стационарное решение системы (22) при условии Анализ переходных процессов, имеющих место при вычислении p11, p12, p22, при различных соотношениях коэффициентов штрафов свидетельствует о том, что время регулирования не превышает двух секунд (фигура 2). Принимая во внимание условие (23), можно утверждать, что в течение всего времени работы tРЛС значения p11, p12, p22 будут постоянными. Это дает возможность при вычислении (21) использовать их установившееся значение. Тогда: где были учтены выводы теоремы статистической эквивалентности о замене координат состояния их оценками [1]. Анализ закона управления (24) позволяет сделать следующие заключения: - полученный закон отличается от прототипа (1) тем, что в нем учтены наравне с угловой скоростью линии визирования еще и производные курса; - варьируя значениями коэффициентов b, p12, p22, k, Τ, можно получить широкий спектр законов управления, обеспечивающих сопровождение ИМО, адаптированных под конкретный тип привода антенны; - для реализации полученного закона сопровождения в угломере требуется оценивать пеленг цели, угол поворота антенны, угловую скорость линии визирования и ее производную, а также первую и вторую производные курса носителя; - предложенный алгоритм управления инерционным приводом угломера не накладывает принципиальных ограничений на возможность его реализации. На основе результатов проведенного анализа следует отметить, что описанный способ управления приводом следящего угломера, в котором дополнительно учитываются угловая скорость и ее производные, является принципиально новым, устраняя недостатки и негативные последствия применения классических методов управления в существующих системах сопровождения по направлению, обеспечивая устойчивое высокоточное сопровождение ИМО. Также следует отметить, что информационное обеспечение алгоритма управления (24) может быть осуществлено в существующих угломерах с учетом реальных ограничений, что свидетельствует о возможности практической реализации метода. Технический результат, который может быть получен от использования предлагаемого изобретения, заключается в обеспечении высокой точности и устойчивости сопровождения по направлению ИМО. При этом сигнал управления является функцией не только ошибок сопровождения, но и угловой скорости линии визирования, ее первой и второй производных, первой и второй производных курса носителя, что собственно и позволяет учесть и скомпенсировать инерционность привода угломера. В этом случае инерционный угломер способен сопровождать цель, двигающуюся по сложному закону. Проверка работоспособности предложенного способа управления приводом антенны осуществлялась в процессе имитационного моделирования маневра цели и движения антенны в соответствии с моделью (15). Для управления приводом антенны использовались предложенный алгоритм (24) и прототип (1). Проведенное моделирование позволяет сделать следующие заключения: 1. Алгоритм способен отрабатывать начальные ошибки сопровождения любого знака и в любом сочетании, что иллюстрируется графиками зависимостей относительных ошибок сопровождения цели по пеленгу и угловой скорости, приведенными на фигуре 3, где различными линиями изображены зависимости для различных знаков ошибок захвата. 2. Сигнал управления способен обеспечить сопровождение цели, двигающейся по сложным законам, включая синусоидальный, характерный для гиперзвуковых летательных аппаратов: что иллюстрируется графиками зависимостей ошибок сопровождения цели по углу и по угловой скорости при использовании прототипа (сплошная линия) и предложенного алгоритма (пунктирная линия), которые приведены на фигуре 4, где пеленг цели изменяется по синусоидальному закону. Таким образом, на основании проведенных исследований можно сделать вывод, что алгоритм способен сопровождать цели, двигающиеся по любым реальным законам. В более общем виде алгоритм (24) можно представить в виде где Пример структурной схемы угломера, в котором использован закон управления (26), приведен на фигуре 5, где 1 - датчик положения антенны 2 - привод угломера 3 - фильтр датчика положения антенны 4 - пеленгатор 5 - датчик курса 6, 7 - вычитающие устройства 8 - фильтр угломера 9 - фильтр курса 10, 11, 12, 13, 14, 15 - усилители 16 - сумматор Примечание: двойная пунктирная линия обозначает механическую связь. Функциональное назначение представленной на фигуре 5 структурной схемы системы управления приводом угломера заключается в формировании сигнала ошибки сопровождения по углу Использование изобретения позволит осуществлять в угломерах высокоточное устойчивое сопровождение сверхманевренных целей по направлению при использовании обычных инерционных приводов антенн, не требуя изменения конструкции привода антенны. Кроме того, заявленный способ формирования сигнала управления инерционным приводом антенны позволяет получить большое количество реализаций, адаптированных под конкретный вид привода антенны и требуемый закон изменения сопровождаемых координат. Причем эти реализации, соответствующие в общем случае соотношению (24), будут отличаться лишь значениями весовых коэффициентов. ЛИТЕРАТУРА 1. Меркулов В.И. [и др.]. Авиационные системы радиоуправления. Т.1. Принципы построения систем радиоуправления. Основы синтеза и анализа / Под ред. А.И. Канащенкова и В.И. Меркулова. - М.: Радиотехника, 2003. - 190 с. 2. Меркулов В.И. [и др.]. Авиационные системы радиоуправления. Т.2. Радиоэлектронные системы самонаведения / Под ред. А.И. Канащенкова и В.И. Меркулова. - М.: Радиотехника, 2003. - 390 с. 3. Меркулов В.И. Динамичность авиационных комплексов и бортовые радиоэлектронные системы. - М.: Радиотехника. - 2010, №1. - С. 88-96. 4. Верба B.C., Меркулов В.И., Соколов Д.А. Сопровождение интенсивно маневрирующих целей инерционным угломером в системах одноразового применения. Информационно-измерительные и управляющие системы. - 2014, №3. - С. 13-18. 5. Меркулов В.И., Соколов Д.А. Исследование эффективности инерционного угломера при сопровождении интенсивно маневрирующих целей. Информационно-измерительные и управляющие системы. - 2014, №2. - С. 44-49. по углу;
- оценка пеленга цели;
- оценка угла поворота антенны; Κω - постоянный коэффициент усиления, определяющий вес сигнала
ошибки сопровождения по угловой скорости;
- оценка угловой скорости цели;
- оценка угловой скорости поворота антенны.
- оценка вектора, учитывающего внешние воздействия хT;
и
- оптимальные оценки векторов xT и xУ;




. Однако при T=const обеспечить это условие невозможно, поскольку Д и
меняются в процессе сопровождения. В связи с этим, целесообразно для решения этой задачи использовать расчет сигнала управления по правилу (12)-(14), при условии, что матрицы Py, Q, L и вектор ρ введены в общем виде:


,
- оценка угла поворота антенны и его производная;
,
,
- оценка пеленга цели и его производные;
и
- оценка первой и второй производных курса;
,
,
,
,
,
- постоянные коэффициенты, зависящие от параметров привода антенны, определяющие вес измеряемых параметров в сигнале управления приводом антенны.
, вычитанием из значения оценки пеленга цели
значения оценки угла поворота антенны
и усиление его постоянным коэффициентом Κ1, зависящим от свойств привода антенны, формировании сигнала ошибки сопровождения по угловой скорости
, вычитанием из значения оценки угловой скорости цели
значения оценки угловой скорости поворота антенны
и усиление его постоянным коэффициентом К2, зависящим от свойств привода антенны, формировании сигналов оценки угловой скорости цели
, его первой
, первой и второй производных курса
и
, усилении их с коэффициентами К3, К4, К5, К6 соответственно. Коэффициенты назначают на стадии разработки угломера и по их значениям определяют коэффициенты усиления соответствующих усилителей.