Изобретение относится к авиации, в частности к воздухоплаванию, а именно к устройству вертостата с автожирным несущим винтом. Вертостат содержит оболочку, заполненную несущим газом, автожирный несущий винт, кабину экипажа и пассажиров, хвостовое оперение, силовую установку и шасси. Кабан автожирного винта установлен в носовой части вертостата в зоне наибольшего изменения кривизны образующей поверхности оболочки с таким расчетом, чтобы максимальные отклонения элементарных воздушных струек притекающего к плоскости винта потока приходились на центральную область ометаемой площади винта. При этом автожирный винт включен в систему управления по курсу и тангажу с возможностью создания моментов боковых и продольных сил относительно центра тяжести вертостата. Достигается возможность эффективного путевого и продольного управления на больших и, особенно, на малых скоростях полета, повышение безопасности взлета и посадки вертостата. 1 з.п. ф-лы, 1 ил.
1. Устройство вертостата с автожирным винтом, содержащим оболочку, наполненную несущим газом, автожирный несущий винт, кабину для экипажа с пассажирами, хвостовое оперение, силовую установку и шасси, отличающееся тем, что с целью получения тянущей горизонтальной составляющей полной аэродинамической силы автожирного винта, кабан автожирного винта установлен в носовой части вертостата в зоне наибольшего изменения кривизны образующей поверхности оболочки с таким расчетом, чтобы максимальные отклонения элементарных воздушных струек притекающего к плоскости винта потока приходились на центральную область ометаемой площади винта. 2. Устройство вертостата с автожирным винтом по п. 1, отличающееся тем, что автожирный винт включен в систему управления по курсу и тангажу с возможностью создания моментов боковых и продольных сил относительно центра тяжести вертостата.
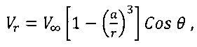
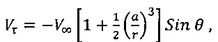
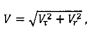
Изобретение относится к авиации, в частности к воздухоплаванию, а именно к устройству вертостата с автожирным несущим винтом. Конструкции вертостатов содержат несущие винты. Они могут быть вертолетными или автожирными. Вертолетные несущие винты вертостата обычно используются в двух режимах. На взлете и посадке они работают в вертолетном режиме, создавая необходимую подъемную силы тяги, а на скоростях крейсерского полета - в режиме авторотации, преобразуя набегающий поток в подъемную силу, помогающую поддерживать вертостат в воздухе. В отличие от вертолетного, у автожирного несущего винта вектор полной аэродинамической силы отклонен от вертикали назад и его проекция на линию пути выражает собой силу аэродинамического сопротивления винта, которая добавляется к аэродинамическому сопротивлению других частей аппарата, увеличивая потребную мощность маршевых двигателей. Применение специализированных профилей лопастей, например NACA8-H-12, позволяет улучшить характеристики автожирного винта - увеличить качество и уменьшить его аэродинамическое сопротивление. По составу других элементов и частей вертостат соответствует классическому дирижаблю. Конструкция включает несущую оболочку, полужесткой или жесткой конструкции, кабину экипажа или гондолу с полезной нагрузкой, шасси, силовую установку, где в качестве движителей, создающих горизонтальную тягу, могут быть использованы различные типы источников мощности (например, поршневые двигатели (ПД), газотурбинные двигатели (ГТД), электродвигатели (ЭД). Управление полетом вертостата осуществляется с помощью изменения положения рулевых поверхностей, изменения величины и направления вектора тяги несущего винта, регулированием режима работы маршевой силовой установки, а также изменением плотности несущего газа или его температуры внутри несущей оболочки аппарата. Несущий винт вертостата должен устанавливаться в такой зоне конструкции, где он способен создавать вектор подъемной силы тяги максимально возможной величины с обеспечением необходимого угла его отклонения от вертикали в двух взаимно перпендикулярных направлениях для осуществления управляющих воздействий. Известно устройство места установки автожирного винта (патент РФ №2553512 от 14.02.2014 г.), предусматривающее его крепление в верхней части образующей оболочки так, чтобы линия действия тяги автожирного винта при полетном угле атаки по отношению к набегающему потоку проходила через центр тяжести вертостата. В этом месте кривизна оболочки и, следовательно, возмущения потока минимальны, поэтому картина обтекания аппарата никак не влияет на угловое положение вектора тяги винта. Воздушные линии тока, обтекающие оболочку, практически не имеют скоса в месте установки винта. При этом боковой наклон диска автожирного винта может создавать в системе управления только моменты крена. Вертостат, описанный в патенте РФ №2553512 от 14.02.2014 г., является наиболее близким по технической сущности и выбран в качестве прототипа. Задачей изобретения является создание конструктивных условий для получения тянущей горизонтальной составляющей автожирного винта, а также улучшение управляемости вертостата по курсу и тангажу прежде всего на малых скоростях полета в присутствии ветра. Задача изобретения решается тем, что предложена установка кабана автожирного винта в носовой части вертостата в зоне наибольшего возмущения элементарных воздушных струек набегающего потока, обтекающего оболочку. Технический результат характеризуется следующими существенными признаками: - кабан автожирного винта установлен в носовой части вертостата в зоне наибольшего изменения кривизны образующей поверхности оболочки с таким расчетом, чтобы максимальные отклонения элементарных воздушных струек притекающего к плоскости винта потока приходились на центральную область ометаемой площади винта. - автожирный винт включен в систему управления по курсу и тангажу с возможностью создания моментов боковых и продольных сил относительно центра тяжести вертостата. На Фиг. 1 показана схема технической реализации устройства на вертостате с автожирным несущим винтом. Устройство вертостата с автожирным винтом по Фиг. 1 включает: несущую оболочку (1), которая содержит хвостовое оперение (2), кабину экипажа с пассажирами (3), силовую установку (4). В носовой части вертостата сверху на кабане (5) в зоне наибольшего изменения кривизны оболочки установлен автожирный несущий винт (6). На Фиг. 1 схематически обозначены: - Направление полета Vпол; - Воздушные линии тока (7), картины обтекания вертостата; - Средний по линиям тока угол атаки αср при обтекании винта воздушным потоком; - Сила тяги Т, создаваемая силовой установкой; - Сила полного аэродинамического сопротивления вертостата X; - Полная аэродинамическая сила, создаваемая автожирным винтом R; - Подъемная сила автожирного винта Y; - Тянущая сила автожирного винта Р; - Положение центра тяжести аппарата ЦТ. Устройство вертостата с автожирным винтом работает следующим образом (Фиг. 1). Рассмотрим установившийся крейсерский полет вертостата со скоростью Vпол под действием силы тяги Τ силовой установки (4). Оболочка (1), хвостовое оперение (2), кабина экипажа с пассажирами (3) и кабан (5) создают общее аэродинамическое сопротивление X. Несущий винт (6) своей подъемной силой Y компенсирует вес экипажа с пассажирами, размещенными в кабине (3) и вес большей части топлива на полет с учетом его расхода в течение времени полета. Остальной вес компенсируется аэростатической подъемной силой несущего газа, залитого в оболочку (1). Как известно, чтобы автожирный винт (6) мог индуцировать мощность вращения и создавать при этом потребную подъемную силу Y, плоскость его вращения должна находится под положительным углом атаки к набегающему потоку. Однако направление установившегося полета с V∞=Vпол и направление элементарных струек тока, притекающих к винту, не будут совпадать между собой, если автожирный винт (6) расположить вблизи крупного тела, возмущающего набегающий поток. Диаметр оболочки (1) вертостата соизмерим с потребным диаметром автожирного винта (6), поэтому возмущение набегающего потока в зоне наибольшего изменения кривизны оболочки (1), т.е. в носовой части, можно использовать для придания плоскости вращения винта такого положения, при котором горизонтальная составляющая Ρ от полной аэродинамической силы R будет направлена не назад, а вперед, создавая тянущий эффект. При этом угол атаки распределенных элементарных воздушных струек возмущенного потока на всей площади ометаемого диска винта окажется разным, т.к. изменяется кривизна оболочки (1) и расстояние r, на которое распространяется влияние местного возмущения потока. Можно говорить лишь о некоторой условной осредненной величине угла атаки αср (Фиг. 1) плоскости вращения винта (6) по отношению к усредненному направлению возмущенного потока, притекающего к винту. Теорией авторотации доказывается, что основной вклад в создание крутящего момента вносят корневые участки профилей лопасти. Следовательно, положение кабана (5) автожирного винта (6) относительно кривизны носовой части оболочки (1) вертостата и его высота должны подбираться так, чтобы к центральной части ометаемой площади винта (6) притекало поле элементарных струек с наибольшим возмущением, т.е. с наибольшим изгибом притекающего возмущенного потока. Больший изгиб притекающего к винту потока, допускает больший наклон автожирного винта (6) вперед при потребном осредненном угле атаки αср, а это в свою очередь будет увеличивать тянущую составляющую Р автожирного винта. Однако, следует учитывать ограничение наклона плоскости вращения вперед, вызываемое снижением эффективности концевых участков профилей лопастей, которые в основном и создают расчетную подъемную силу автожирного винта. Радиальную Vr, тангенциальную Vτ и результирующую V скорости в любой точке элементарной воздушной струйки, притекающей к винту, можно рассчитать по формулам: где V∞=Vпол - скорость невозмущенного потока перед вертостатом; Vr - радиальная скорость расчетной точки в элементарной струйке возмущенного потока; Vτ - тангенциальная скорость расчетной точки в элементарной струйке возмущенного потока; V - результирующая скорость расчетной точки в элементарной струйке возмущенного потока; r - радиус от центра кривизны до расчетной точки элементарной струйки возмущенного потока; θ - угол радиуса r, соединяющего центр кривизны и расчетную точку элементарной струйки (отсчитывается от направления набегающего потока, т.е. для носовой части оболочки углы θ=90°-180°). Переднее расположение автожирного винта (6) на значительном удалении от центра тяжести ЦТ вертостата позволяет включить его в систему управления по курсу и тангажу. В этом случае отклонение оси автожирного винта вправо или влево будет создавать относительно центра тяжести курсовые управляющие моменты, а отклонение оси автожирного винта вперед или назад приведет к изменению его подъемной силы и, следовательно, к изменению управляющих моментов по тангажу. Ценность таких возможностей заключается в повышении управляемости вертостата прежде всего на малых скоростях взлета и посадки в присутствии ветров. Причем чем сильнее ветер в зоне взлета и посадки, тем выше будет эффективность путевого и продольного управления. А как показала практика, из-за высокой парусности несущей оболочки взлет и посадка остаются самыми опасными этапами полета воздухоплавательной техники. Принципиальным аналогом описанного варианта действия управляющих моментов является самолетная схема «утка». Предложенное устройство вертостата с автожирным винтом позволило: - реализовать тянущий эффект от работы автожирного винта, благодаря его размещению в зоне возмущения набегающего потока от носовой части оболочки вертостата; - получить возможность эффективного путевого и продольного управления на больших и, особенно, на малых скоростях полета, используя носовое расположение несущего винта и возможности создания им больших боковых моментов относительно центра тяжести вертостата; - повысить безопасность взлета и посадки вертостата за счет эффекта роста его управляемости с увеличением ветровых нагрузок.

