патент
№ RU 2566069
МПК A61K38/00

СИСТЕМА ДОСТАВКИ ВЕЩЕСТВА БЕЛКОВОЙ ПРИРОДЫ В ВИДЕ НАНОЧАСТИЦ И СПОСОБ ЕЕ ПОЛУЧЕНИЯ

Авторы:
Хазанова Елена Сергеевна
Номер заявки
2013125333/15
Дата подачи заявки
31.05.2013
Опубликовано
20.10.2015
Страна
RU
Как управлять
интеллектуальной собственностью
Реферат

Группа изобретений относится к медицине и касается системы пероральной доставки действующего вещества белковой природы в виде наночастиц со средним размером не более 500 нм на основе ПМГК при соотношении молочной кислоты к гликолевой кислоте 50:50 в полимере и молекулярной массе ПМГК 24-69 кДа в виде порошка, полученного лиофилизацией в присутствии бычьего сывороточного альбумина в эффективном количестве. Группа изобретений также касается способа получения указанной системы пероральной доставки действующего вещества. Группа изобретений обеспечивает значение проницаемости Рарр в модели Сасо-2 не менее чем в 1,5 раза большим значения Рарр для свободного действующего вещества. 2 н. и 7 з.п. ф-лы, 4 табл., 14 ил., 5 пр.

Формула изобретения

1. Система пероральной доставки действующего вещества белковой природы в виде наночастиц со средним размером не более 500 нм на основе ПМГК при соотношении молочной кислоты к гликолевой кислоте 50:50 в полимере и молекулярной массе ПМГК 24-69 кДа, в виде порошка, полученного лиофилизацией в присутствии бычьего сывороточного альбумина в эффективном количестве, обеспечивающая значение проницаемости Рарр в модели Сасо-2 не менее чем в 1,5 раза большим значения Рарр для свободного действующего вещества.

2. Система по п. 1, в которой молекулярная масса ПМГК 24-38 кДа.

3. Система по п. 1, в которой молекулярная масса ПМГК 38-54 кДа.

4. Система по п. 1, в которой молекулярная масса ПМГК 54-69 кДа.

5. Система по п. 1 отличающаяся тем, что содержит вещество белковой природы, меченное индоцианином.

6. Способ получения системы по п. 1 пероральной доставки действующего вещества белковой природы, включающий:
а) совмещение действующего вещества белковой природы с раствором ПМГК при соотношении молочной кислоты к гликолевой кислоте 50:50 в полимере и молекулярной массе ПМГК 24-69 кДа в органическом растворителе;
б) формирование НЧ, имеющих средний размер не более 500 нм, путем эмульгирования во внешнюю водную фазу, содержащую поливиниловый спирт;
с) лиофилизацию полученного порошка в присутствии бычьего сывороточного альбумина в эффективном количестве.

7. Способ по п. 6, отличающийся тем, что на этапе А совмещают спиртовой раствор действующего вещества.

8. Способ по п. 6, отличающийся тем, что на этапе А совмещают водный раствор действующего вещества.

9. Способ по п. 6, отличающийся тем, что на этапе А совмещают органический раствор действующего вещества.

Описание

[2]

Изобретение относится к биотехнологии, в частности, к средствам доставки лекарственных веществ в виде наночастиц.

[3]

В наши дни в результате развития сферы биотехнологий на коммерческом уровне производится огромное количество пептидных и белковых препаратов. В последнее десятилетие возрос интерес к созданию и выпуску биологических препаратов, предназначенных для лечения ряда заболеваний со значительной нереализованной потребностью медицины. Клиническая разработка препаратов таких типов невозможна без специального технического оснащения, в отличие от традиционно используемых препаратов на основе малых молекул. Пероральный прием препаратов является самым распространенным способом приема, но он, как правило, невозможен в случае пептидных и белковых препаратов. Основной причиной низкой биодоступности биопрепаратов при пероральном приеме является досистемное ферментативное расщепление и затрудненное проникновение в кишечную мембрану. В последние десятилетия был досконально изучен механизм всасывания макромолекулярных препаратов из желудочно-кишечного тракта (ЖКТ), а также барьеры, препятствующие всасыванию в ЖКТ. Были испытаны различные методы преодоления этих барьеров и стратегии разработки безопасных и эффективных систем для перорального приема белков. Пероральный прием пептидов и белков все еще вызывает значительные трудности и является объектом многих фармакологических исследований.

[4]

Перенос препаратов на основе белков затрудняется следующим:

[5]

- Большинство терапевтических пептидов и белков гидрофильно и имеет значение LogP<0. Таким образом, они не могут подвергнуться трансцеллюлярной абсорбции путем пассивной диффузии.

[6]

- Размеры параклеточного пространства находятся в пределах 10 и 30-50А°, и параклеточный путь невозможен для всасывания макромолекул, так как он ограничен сравнительно малыми гидрофильными молекулами, которые могут пройти сквозь такое пространство.

[7]

В то время как некоторые белки активно переносятся по эпителиальной выстилке тонкого кишечника в мембраносвязанных везикулах после связывания с рецепторами клеточной поверхности или с участками связывания, лишь незначительная их часть выходит на базолатеральной мембране и выделяется в кишечное пространство в неизмененной форме. Несмотря на это, все чаще появляются данные о том, что значительное количество пептидов и белков (достаточное для проявления фармакологического эффекта) может всасываться при условии, что они защищены от воздействия протеолитических ферментов в ЖКТ.

[8]

Для увеличения биодоступности биологических препаратов при пероральном приеме может быть эффективна стратегия, включающая в себя повышение уровня проникновения или использование ингибиторов протеазы в качестве добавок (см. Innovations in the Delivery of Peptides. Business Insights, (2012), 1-242., A. Sood, et. al. Chem. Rev. 101, (2001), 3275-3303.,. Leone-Bay, M. Sato, et. al., Pharmaceut. Res. 18 (2001) 964-970., A. LeoneBay, K.H. Ho, et. al., J. Med. Chem. 39, (1996), 2571-2578., S. Lee, et. al., Diabetologia 48, (2005), 405-411., M. Kidron, et. al., Diabet. Med. 21, (2004), 354-357., S.J. Wu, J.R. Robinson, J. Control. Release 62, (1999), 171-177.)

[9]

Эта стратегия также может повысить воспроизводимую биодоступность. Несмотря на то, что эти методы могут успешно применяться в лаборатории, они все еще не признаются большинством практикующих врачей и регулирующих органов. Использование ингибиторов ферментов в ходе долгосрочной терапии остается спорным вопросом из-за возможного всасывания нежелательных белков, нарушения усвоения питательных белков и стимуляции секреции протеазы в результате ответной регуляции.

[10]

Была изучена стратегия модулирования проницаемости плотных контактов для стимулирования параклеточного переноса молекул препарата. Токсин ZOT (Zonula Occludens toxin), хитозан, тиолированные полимеры и Pz-пептид демонстрируют выраженную способность к повышению всасывания макромолекулярных препаратов. Однако вероятно, данная стратегия также может вызвать вопросы, связанные с безопасностью. После открытия плотного контакта стимулируется перенос не только препаратов, но также потенциально токсичных или нежелательных молекул, присутствующих в ЖКТ.

[11]

Поэтому в данном случае подходящим вариантом может быть использование систем-носителей для доставки частиц, таких как гидрогели, наночастицы, микросферы, и систем доставки лекарственных средств на основе липидов (например, наноэмульсий, липосом и твердых липидных наночастиц), которые направлены на защиту пептидов и белков от ферментативного распада и которые способны модулировать перенос препарата.

[12]

В частности, при работе с биоразлагаемыми веществами СДЛВ в наномасштабе (<1 мкМ) обладает следующими преимуществами:

[13]

- пригодна для использования в липофильной и водной среде в рамках одной системы, а следовательно, подходит для доставки лекарственных средств с гидрофобными, амфипатическими и гидрофильными свойствами;

[14]

- хорошо биосовместима благодаря свойствам биоразлагаемости и низкой токсичности;

[15]

- может служить в качестве средства контролируемого высвобождения лекарственного вещества в жидкости организма;

[16]

- может вводиться различными путями, включая пероральный.

[17]

Используемые сокращения.

[18]

СДЛВ - система доставки лекарственных веществ

[19]

НЧ - наночастицы

[20]

ПМГК - сополимер поли(молочной-ко-гликолевой кислоты)

[21]

ПМК - поли(молочная кислота)

[22]

БСА - бычий сывороточный альбумин

[23]

ФИТС - флуоресцеинизотиоцианат

[24]

ИЦЗ - Индоцианин зеленый

[25]

СЭМ - сканирующий электронный микроскоп

[26]

MTS - 3-(4,5-dimethylthiazol-2-yl)-5-(3-carboxymethoxyphenyl)-2-(4-sulfbphenyl)-2H-tetrazolium 3-(4,5-диметилтиазол-2-ил)-5-(3-карбоксиметоксифенил)-2-(4-сульфофенил)-2Н-тетразолий

[27]

Рарр - коэффициент видимой проницаемости.

[28]

ДПФХ - 1,2-дипальмитоил-sn-глицеро-3-фосфохолин

[29]

ДМФХ - 1,2-димиристоил-sn-глицеро-3-фосфохолин

[30]

ДОФЭ - 1,2-диолеоил-sn-глицеро-3-фосфоэтаноламин

[31]

ДМФА - Fluorenylmethyloxycarbonyl (9-флуоренилметилоксикарбонил)

[32]

ДМФ - диметилформамид

[33]

ДХМ - дихлорметан

[34]

ТФК - трифторуксусная кислота

[35]

ПВС - поливиниловый спирт

[36]

ДДВ - бидистиллят воды

[37]

ДСК - дифференциальная сканирующая калориметрия

[38]

ДСН - додецилсульфат натрия

[39]

ЭИ эффективность инкапсулирования

[40]

КЗ - коэффициент загрузки

[41]

СП - содержание препарата

[42]

ИПД - индекс полидисперсности

[43]

ИКС - искусственная кишечная среда

[44]

ВП - высвобождение препарата

[45]

PMS - феназинметасульфат

[46]

КЛСМ - Конфокальная лазерная сканирующая микроскопия

[47]

ФЛ - фосфолипиды

[48]

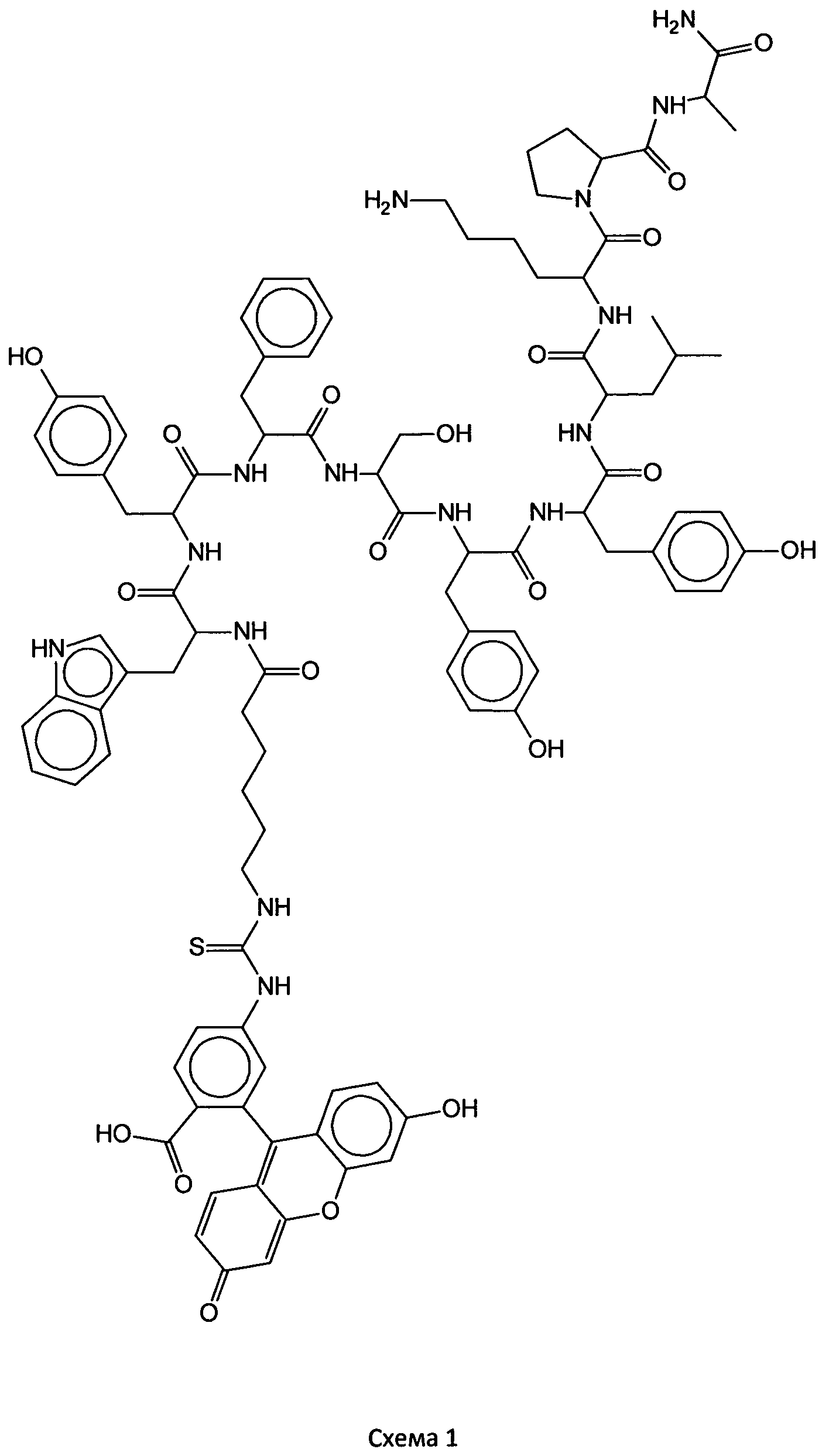
На схеме 1 приведен меченый пептид.

[49]

Рис.1 ВЭЖХ хроматограмма неочищенного пептида-ФИТЦ 10-мера, сделанная хроматографом Alliance Waters с использованием многоволнового детектора флуоресценции 2475 на длине волны: 485/528 нм и анализ МС время-пролетной ионизацией лазерной десорбции с использованием матрицы.

[50]

Рис.2 ВЭЖХ хроматограмма очищенного продукта. Чистота пептидов и Mw были определена прибором Voyager DE-Pro MALDI-TOF (ABI) (В) с использованием α-циано 4-гидроксикоричной кислоты в 0,1% ТХК: АЦН (1:1) в качестве матрицы в линейно-положительном режиме.

[51]

Рис.3 Результаты ДСК для содержащих препарат НЧ ПМГК (синий) и чистого полимера ПМГК 503 (черный)

[52]

Рис.4 СЭМ изображения суспензии наночастиц, содержащей БСА-ФИТЦ, приготовленной из полимера ПМГК-RG 503 с использованием MeCl2 в качестве растворителя. Частицы были созданы методом двойной эмульсии с использованием 0,5% сахарозы в качестве крио- и лиопротектора. А и В демонстрируют НЧ №9 (таблица 1А), а C и D демонстрируют НЧ №31-F, помеченные ИЦЗ (таблица 1A).

[53]

Рис.5 СЭМ изображения суспензии наночастиц, содержащей ФИТЦ пептид, приготовленной из полимера ПМГК-RG 503 с использованием MeCl2 в качестве растворителя. Частицы были созданы методом двойной эмульсии с использованием 5% сахарозы в качестве крио- и лиопротектора. A и B демонстрируют НЧ №28 (таблица 1B), а C и D демонстрируют НЧ №47, помеченные ИЦЗ (таблица 1B).

[54]

Рис.6 СЭМ изображения лиофилизированного порошка наночастиц №48, содержащих ФИТЦ пептид (таблица 1B)

[55]

Рис.7 СЭМ изображения суспензии наночастиц, содержащей ФИТЦ пептид, приготовленной из полимера ПМГК-RG 503 с использованием MeCl2 в качестве растворителя. Частицы были созданы методом сорастворения эмульсии м/в с использованием 5% сахарозы в качестве крио- и лиопротектора. A и B демонстрируют НЧ №46 (таблица 1C), а C и D демонстрируют НЧ №55, помеченные ИЦЗ (таблица 1C).

[56]

Рис.8 СЭМ изображения суспензии наночастиц №59 (таблица 1C), содержащей ФИТЦ пептид, приготовленной из полимера ПМГК-RG 503 с использованием MeCl2 в качестве растворителя. Частицы были созданы методом сорастворения эмульсии м/в с использованием 5% сахарозы в качестве крио- и лиопротектора с помощью обработки ультразвуком.

[57]

Рис.9 СЭМ изображения суспензии наночастиц №56, 57, 58, меченых ИЦЗ (таблица 1В), содержащей ФИТЦ пептид, приготовленной из полимера ПМГК-RG 503 (A), Lactel A 9 (В) или Lactel A11 (С) с использованием MeCl2в качестве растворителя. Частицы были созданы методом двойной эмульсии в/м/в с использованием 5% сахарозы в качестве крио- и лиопротектора.

[58]

Рис.10 СЭМ изображения суспензии наночастиц №54, 60, 61, меченых ИЦЗ (таблица 1C), содержащей ФИТЦ пептид, приготовленной из полимера ПМГК-RG 503 (A), Lactel A 9 (В) или Lactel A11 (С) с использованием EtAc в качестве растворителя. Частицы были созданы методом сорастворения м/в с использованием 5% сахарозы в качестве крио- и лиопротектора.

[59]

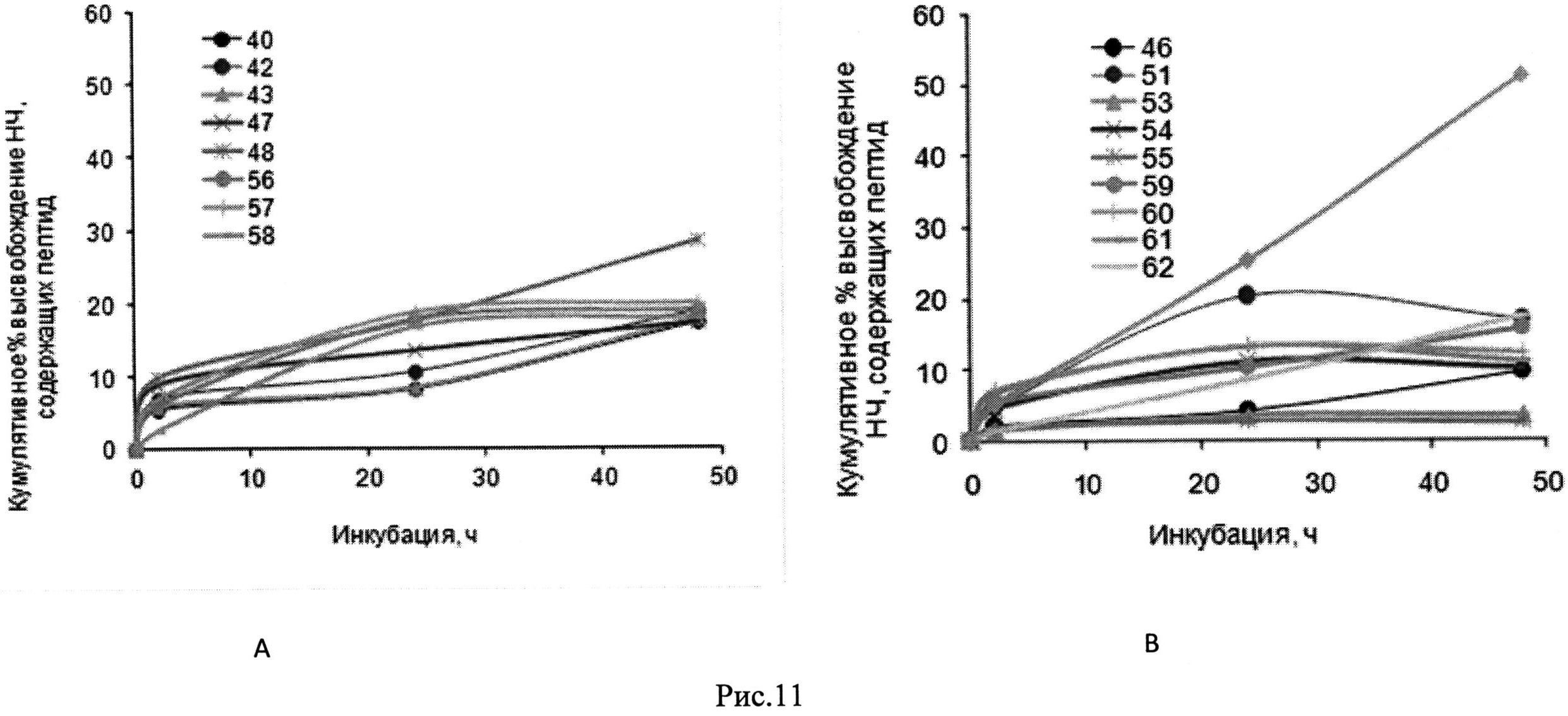
Рис.11 Кинетика кумулятивного высвобождения ФИТЦ пептида из составов на основе НЧ, приготовленных методом двойной эмульсии (А) и методом сорастворения м/в (B) в ИКС.

[60]

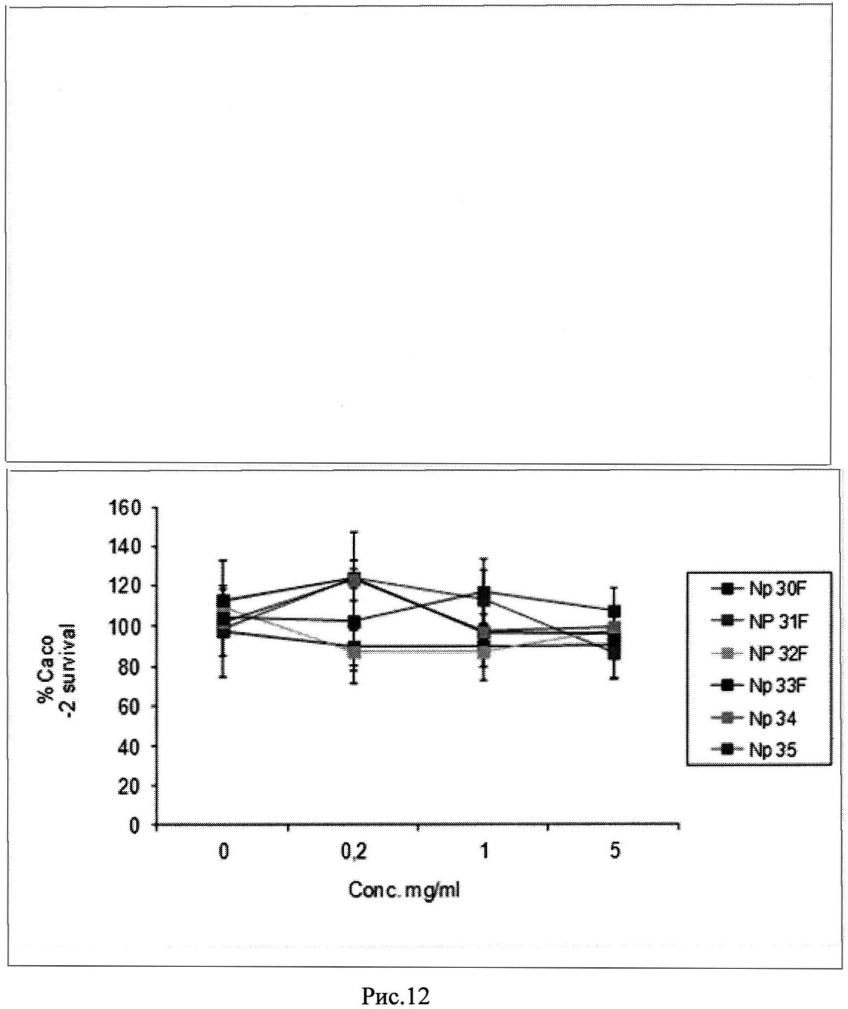
Рис.12 Влияние составов на основе НЧ, содержащих БСА-ФИТЦ на жизнеспособность клеток Caco-2, оцененное методом MTS.

[61]

Рис.13 Распределение в клетках Caco-2 ФИТЦ пептида (зеленый) после 4 ч инкубации с различными составами. Обработанные Caco-2 клетки были изучены с помощью конфокального лазерного сканирующего микроскопа Fluoview 300 (КЛСМ, «Олимпус», Пенсильвания, США).

[62]

Рис.14 Сравнение показателя Papp модели препарата, измеренного в системе монослоя клеток Caco-2, и количества, абсорбируемого у человека (взято у Bock, U. и соавт. Валидация системы монослоя сасо-2 для проходимости препаратов в соответствии с системой классификации (СКБ - Biopharmaceuticals Classification System (BCS)), Across barriers, 2003).

[63]

Основной целью настоящего изобретения явилось разработка технологии приготовления систем доставки лекарственных средств (СДЛС) в виде капсулирования белковых молекул для доставки в кровоток через ЖКТ. Для выполнения этой задачи было разработана СДЛВ на основе биоразлагаемых наночастиц (НЧ).

[64]

Для контролируемого высвобождения различных лекарственных веществ был синтезирован целый ряд биоразлагаемых полимеров. Выбор и дизайн подходящего биоразлагаемого полимера - первый трудный шаг в разработке системы доставки лекарственного средства для перорального применения. Для решения этой задачи предлагалось несколько классов синтетических полимеров, включая полиэфиры, полиангидриды, поликарбонаты, полиаминокислоты, полиамиды, полиуретаны и полиортоэфиры. Например, поли(ε-карпролактон), будучи примером алифатических поли(эфир)ов, может быть удачным кандидатом, но он был исключен из нашего исследования в связи с низкой скоростью распада. Другой кандидат, одобренный FDA для применения in vivo, поли[бис(р-карбоксифенокси) пропан-ко-себациновая кислота, член семейства полиангидридов, обычно формирует системы частиц в микродиапазоне, следовательно, данный кандидат также был отвергнут.

[65]

Самым хорошо изученным классом полимеров с точки зрения токсикологических и клинических данных являются алифатические поли(эфир)ы, состоящие из молочной и гликолевой кислоты. Их соответствующие полимеры, поли(молочная кислота), поли(гликолевая кислота) и сополимер поли(молочной-ко-гликолевой кислоты) нашли широкое коммерческое применение в качестве систем доставки лекарственных средств в нанодиапазоне. Поли(лактид-ко-гликолид) (PLGA) представляет собой «золотой стандарт» биоразлагаемых полимеров. Свойство этих сополимеров могут быть модифицированы за счет изменения соотношения PLA и PLG, что отражается в увеличении сроков биоразложения от нескольких дней до нескольких недель при повышении содержания PLA в СДЛС.

[66]

Изобретение направлено на более глубокое понимание составов, предназначенных для пероральной доставки белковых препаратов, которые основаны на двойных наноэмульсиях. Говоря в целом, наноразмеры стимулируют перенос частиц через эпителий слизистых оболочек. Было показано, что 100 нм частицы поли(молочной-ко-гликолевой кислоты) (ПМГК) рассеивались по всему подслизистому слою, в то время как 10 мм частицы были преимущественно локализованы на эпителиальном слое тканей. В своей совокупности, наноразмерные носители, состоящие из биосовместимых полимеров, считаются перспективными для разработки системы пероральной доставки макромолекул.

[67]

ПМГК и ПМК высоко биосовместимы и биоразлагаемы. Они использовались с восьмидесятых годов в различных целях in vivo (для биоразлагаемых имплантатов, контролируемого высвобождения препаратов). Так как поглощение частиц кишечными клетками зависит от размера, размер частиц является одним из важнейших условий успешной пероральной доставки наночастиц. В нашем исследовании ПМГК была выбрана в качестве наиболее подходящего носителя препаратов, при этом в создании наночастиц были использованы различные виды ПМГК, а так же сама полимолочная кислота, как крайний вид сополимера

[68]

В результате проведенных исследований были разработаны СДЛВ в виде НЧ с действующим веществом белковой природы.

[69]

Достаточным условием для выбора вещества белковой природы для использования в данной технологии является растворимость в воде или в спирте. Возможно, белок в процессе получения НЧ будет деградировать, но т.к. процесс довольно быстрый и щадящий - незначительно. Часто достаточно наличия небольшого количества действующего вещества для целесообразности существования такой лекарственной формы. Еще одним лимитирующим фактором можно назвать размер молекулы белка не более 10% от размера частицы. Однако это суждение теоретическое, возможно получится и с более крупной молекулой. Еще одним, ограничивающим выбор белка или пептида, фактором будет необратимая деградация, т.е. нецелесообразно использование белков, которые в течение технического процесса проходят денатурацию полностью и потом (в клетке/плазме/крови) не ренатурируют, причем в денатурированном виде не выполняют нужную функцию.

[70]

В том случае, если требуется лиофилизация СДЛВ, то в состав НЧ вводят лиопротекторы.

[71]

Термин лиопротективный агент или «лиопротектор» относится к соединению, которое, будучи включено в лиофилизуемую композицию, будет защищать химические соединения от отрицательных воздействий замораживания и вакуумирования, таких воздействий, обычно сопровождающих лиофилизацию, например повреждение, адсорбция и потери от вакуума, применяемого в лиофилизации. Кроме того, после стадии лиофилизации указанный лиопротективный агент предпочтительно дает в результате порошок содержащий полученные частицы.

[72]

Настоящее изобретение не ограничено применением конкретного лиопротектора; примеры подходящих лиопротекторов включают, без ограничений, углеводороды, такие как сахариды, моно-, ди- или полисахариды, например глюкозу, галактозу, фруктозу, сахарозу, трегалозу, мальтозу, лактозу, амилозу, амилопектин, циклодекстрины, декстран, инулин, растворимый крахмал, гидроксиэтилкрахмал, сахарные спирты, например маннитол, сорбит, полигликоли, белки, например бычий сывороточный альбумин. Основательный список веществ с лиопротективным действием приведен в публикации Acta Pharm. Technol. 34 (3), pp.129-139 (1988). Указанные лиопротективные агенты могут применяться по отдельности или как смеси одного или более соединений.

[73]

Предпочтительные лиопротекторы выбирают из группы сахароза, маннитол или бычий сывороточный альбумин.

[74]

Также настоящее изобретение не ограничено каким-либо конкретным количеством используемого лиопротектора. Однако оптимальная массовая концентрация лиопротективных агентов в суспензии до лиофилизации составляет от примерно 1 до примерно 30%, предпочтительно 5%.

[75]

Термин «эмульгатор» относится к соединения обладающих поверхностноактивными свойствами и включает анионогенные, катионогенные, амфотерные и неионогенные поверхностноактивные вещества. Указанные вещества используются в технологическом процессе для ускорения образования и стабилизации образовавшихся диспресионных сред (эмульсий).

[76]

Настоящее изобретение не ограничено применением конкретного эмульгатора; примеры подходящих эмульгаторов включают без ограничений ПВС и плюроники.

[77]

Также настоящее изобретение не ограничено каким-либо конкретным количеством используемого эмульгатора. Однако оптимальная массовая концентрация эмульгатора в среде для диспергирования от 0,5% до 5,5%.

[78]

1. Примерный количественный состав СДЛВ приведен в табл 2.

[79]

Таблица 2
КомпонентСодержание, %
1Полимер0,08-99,9
2Действующее вещество0,01-70
3Эмульгатор0,01-10
4лиопротектор0-99,9%

[80]

Пояснения к составу:

[81]

1) Полимер - основная составляющая наночастиц, эмульгатор может быть практически удален в техническом процессе, лиопротектор может быть не использован, а пиптид эффективен в микродозировках, то может получиться, что основная масса придется на полимер.

[82]

2) Для наночастиц на основе полимеров возможна загрузка до примерно 60%.

[83]

3) Эмульгатор может быть как практически удален в тех процессе, так и выступать не только в роли эмульгатора, но и лиопротектора.

[84]

4) Изобретение может быть реализовано в виде суспензии наночастиц (лиопротектора - 0%), так и в виде твердой лекарственной формы, полученной с помощью лиофилизации, тогда лиопротектор (например, манитол) может быть использован в качестве наполнителя.

[85]

Эффективными для доставки действующего вещества являются наночастицы, имеющие средний размер не более 500 нм. Из известных исследований ««Transport of nanoparticles across an in vitro model of the human intestinal follicle associated epithelium» Anne des Rieux a, b, c, *, Eva G.E. Ragnarsson a, Elisabet Gullberg a, V'eronique Pr'eat b, Yves-Jacques Schneider c, Per Artursson» (во вложении) и «G.J. Russell-Jones, H. Veitch, L. Arthur, Lectin-mediated transport of nanoparticles across Caco-2 and OK cells. Int. J. Pharm. 190 (1999) 165-174.», в которых изучен транспорт наночастиц с максимальным размером 500 нм, субъективно следует, что, эффективность транспорта этих частиц близка к минимально целесообразной. Кроме того из суммы знаний в этой области предполагается, что именно такова верхняя граница частиц со значимым проникновением (RU 2145498).

[86]

Таким образом, сущность получаемого продукта может быть охарактеризована следующей совокупностью существенных признаков:

[87]

Система пероральной доставки действующего вещества белковой природы в виде наночастиц со средним размером не более 500 нм на основе ПМК или ПМГК, обеспечивающая значение проницаемости Papp в модели Caco-2 выше значения Papp для свободного действующего вещества.

[88]

Можно достоверно говорить об увеличение проницаемости белка в НЧ в модели Caco-2 при различии значений Papp в 1,5 раза. Однако для разной степени загрузки это значение будет разным. Такие значения Papp для белка в НЧ продиктованы субъективной погрешностью метода.

[89]

Так же среди признаков, по которым можно судить о наиболее предпочтительном составе НЧ, для успешного применения - это значение зета-потенциала - меньше ноля.

[90]

Остальные показатели (см. табл.1A, B, C, D, E) используют только как относительные, только для выбора оптимального продукта из отвечающих выше приведенным требованиям.

[91]

ЭИ - достаточно, чтобы было больше 0, т.к. неинкапсулированный пептид можно использовать повторно.

[92]

СП - может быть очень маленьким в случае высокоактивного действующего вещества или большого количества лиопротектора.

[93]

В другом аспекте изобретение относится к способу получения СДЛВ.

[94]

В литературе описано несколько различных методов подготовки наносфер, но пригодность конкретного метода определяется, в основном, растворимостью полимера и лекарственного средства, которая, как правило, является фиксированной. Выбор осложняется, когда пептиды и белки должны быть заключены в капсулу. Должно быть принято во внимание потенциально вредное воздействие некоторых параметров состава и процесса, таких как тип органического растворителя, сила трения и температура. Наиболее подходящими методами для создания наносфер из гидрофобных полимеров являются отделение органической фазы и методы удаления растворителя. В зависимости от способа удаления растворителя, последние можно разделить на испарение растворителя, экстракцию растворителя, сушку распылением и метод сверхкритической флюидной экстракции. В классическом методе испарения растворителя препарат, содержащий органический раствор полимера, эмульгируется в водной фазе, содержащей соответствующий стабилизатор. В зависимости от свойств растворимости белка или пептида, он может быть растворен, диспергирован или эмульгирован в виде водного раствора в органическом растворе полимера. Физическое состояние лекарственного вещества в растворе полимера должно иметь большое влияние на эффективность при заключении в капсулы и другие свойства наносферы (например, структуру, высвобождение лекарства). Остаточные органические растворители лекарственных препаратов для применения у человека остаются еще одной важной темой в фармацевтической области. Таким образом, желательно было бы заменить метиленхлорид, который указан в руководстве Международной конференции по гармонизации как «растворитель класса 2» («Растворители, применение которых следует ограничивать») менее токсичными растворителями, такими как этилацетат (растворитель класса 3, «Низкая токсичность»).

[95]

Используются четыре модификации метода испарения растворителя, различающихся главным образом по типу органического растворителя и физического состояния препарата в период микрокапсулирования. В дисперсионном методе «масло-вода» препарат рассеивается в виде твердого вещества в органическом растворе полимера. В методе сорастворения воды и масла пептид растворяют в подходящем спирте (метанол или этанол) и добавляют в раствор полимера, получая в результате стабильный прозрачный раствор. В методе множественного эмульгирования «вода-масло-вода», препарат растворяется в водном растворе, и этот водный раствор эмульгируется в растворе полимера. Полученная суспензия, раствор или водно-масляная эмульсия затем обычно эмульгируется во внешнюю водную фазу, содержащую эмульгатор для формирования наносферы. В неводном методе приготовления наночастиц «масло-масло» препарат диспергируют в органическом растворителе и затем диспергируют в растворе полимера. Полученную дисперсию диспергируют во внешнюю неводную фазу. Наиболее предпочтительными для приготовления наночастиц выбраны метод множественного эмульгирования «вода-масло-вода» и метод сорастворения воды и масла.

[96]

Таким образом, СДЛВ может быть получена способом, включающим:

[97]

А) совмещение действующего вещества белковой природы с раствором ПМГК или ПМК в органическом растворителе;

[98]

Б) формирование НЧ, имеющих средний размер не более 500 нм путем эмульгирования во внешнюю водную фазу.

[99]

При этом в зависимости от свойств вещество белковой природы могут совмещать с раствором полимера в виде спиртового или водного растворов или жировой эмульсии, с/без добавлением эмульгатора

[100]

Способ при необходимости может дополнительно включать

[101]

- удаление эмульгатора;

[102]

- удаление органического растворителя любым подходящим методом;

[103]

- лиофилизацию в присутствии лиопротектора/криопротектора, в эффективном количестве, обеспечивающем сохранение свойств действующего вещества.

[104]

Другой важной задачей была разработка систем наночастиц, которые позволяют эффективно отслеживать (in vitro и in vivo) как носитель, так и действуещее вещество. Методы флуоресцентной микроскопии становятся важными инструментами в доклинических исследованиях. В отличие от низкомолекулярных органических красителей, использование флуоресцентных нанозондов может улучшить сигнал чувствительности (лучшие оптические свойства in vivo) и флуоресцентное биораспределение. Одной из основных причин разработки новых флуоресцентных зондов для использования в клинических условиях является необходимость трассеров ближнего ИК-диапазона, обеспечивающих высокое отношение сигнала к фону. Спектральные свойства этих жидкостей, таким образом, определяют узкое «оптическое окно», между 650 и 900 нм, где свет может проникать глубже, как правило, на глубину в несколько сантиметров. Кроме того, авто-флуоресценция тканей также уменьшается в ближней инфракрасной области в сравнении с видимым диапазоном. Индоцианин зеленый (ИЦЗ, эмиссия ≈800 нм), единственный флуоресцентный краситель ближней инфракрасной области с поглощающей/излучающей длиной волн >700 нм в настоящее время, который был одобрен Управлением по контролю за качеством пищевых продуктов и медикаментов для применения у человека. По этой причине мы нашли высокоцелесообразной разработку наночастиц, помеченных ИЦЗ.

[105]

Нами был выбран видимый спектральный зонд - флуоресцеинизотиоцианат-меченый БСА (БСА-ФИТЦ) и ФИТЦ декапептид в качестве модели лекарственного вещества белковой природы для последующей характеризации полученных наночастиц по параметрам включающим морфологию, размер, содержание препарата (СП), эффективность препарата в капсулах, кинетику высвобождения препарата в моделированной кишечной жидкости, внутриклеточное распределение и транспорт в кишечнике.

[106]

Возможность осуществления изобретения подтверждается, но не ограничивается примерами.

[107]

Пример 1. Получение меченных модельных белков

[108]

Материалы

[109]

БСА-ФИТЦ, молибдат аммония, 4-амино-2-нафтил-4-сульфореагент, индоцианин зеленый, ПМГК - поли(молочная-ко-гликолевая кислота) (50:50) RG 503, поливиниловый спирт, плюроник® F-127 были приобретены у компании «Сигма-Элдрич» (Сент-Луис, Миссури, США).

[110]

1,2-дипальмитоил-sn-глицеро-3-фосфохолин (ДПФХ), 1,2-димиристоил-sn-глицеро-3-фосфохолин (ДМФХ), 1,2-диолеоил-sn-глицеро-3-фосфоэтаноламин-N-(лиссамин родамин В сульфонил) (аммониевая соль), 1,2-диолеоил-sn-глицеро-3-фосфоэтаноламин (ДОФЭ) и холестерин были приобретены у компании «Аванти Полар Липидс» («Алабастер», Алабама, США).

[111]

Свойства пептидов:

[112]

Модельный декапептида, был синтезирована твердофазным синтезом пептидов (ТФСП) компанией «Сигма-Элдрич» (WYPA10, Реховот, Израиль).

[113]

Последовательность пептидов

[114]

FMOC-Trp-Tyr-Phe-Ser-Tyr-Tyr-Leu-Lys-Prol-Ala-MBHA-смола

[115]

где боковые цепи Trp, Tyr, Ser и Lys защищены.

[116]

Мечение пептидов:

[117]

Для этого связанный со смолой пептид был вначале увеличен в ДМФА в течение 60 мин, и 9-флуоренилметоксикарбонил был удален путем инкубации в 20% пиперидине в ДМФ в течение 20 минут и после этого еще 10 минут с последующей промывкой в ДМФ (×4) и ДХМ (×4). После этого, 4 экв связующего вещества Fmoc-6-Ahx-COOH (HSX-Fmoc), было соединено с пептидом (30 мин инкубации) после предварительной активации 1Н-7-азабензотриазол-1-ил)-1,1,3,3-тетраметил урониевым гексафторфосфатом (4 экв, HATU 2), гидроксибензотриазолом (4 экв, НОВТ) и N,N-диизопропилэтиламином (4 экв, диизопропилэтиламин) в течение 2 мин. Затем 9-флуоренилметоксикарбонил связывающего вещества был удален, как описано ранее.

[118]

Затем 4 экв флуоресцеинизотиоцианата (ФИТЦ) были связаны с пептидом с использованием связывающего вещества в присутствии диизопропилэтиламина путем его инкубации в течение 24 часов с последующим промыванием ДМФ (×4) и ДХМ (×4).

[119]

Пептид и его боковые защитные группы были удалены из смолы путем инкубации в течение 2 часов с использованием трифторуксусной кислоты/дистиллированной деионизированной воды/фенола/триэтилсилана (88/5/5/2 об/об). Меченый пептид (схема 1) был осажден холодным диэтиловым эфиром и его избыток был удален аргоном. Процедуру повторили (Рис.1).

[120]

Структурная формула представлена на схеме 1

[121]

C97H111N15O20S

[122]

Точный вес: 1837.79

[123]

Молекулярная масса: 1839.07

[124]

Мг/экв: 1838.79 (100.0%), 1837.79 (93.5%), 1839.79 (63.1%), 1840.80 (18.5%), 1840.79 (7.7%), 1841.80

[125]

(7.0%), 1838.78 (5.9%), 1840.78 (4.9%), 1839.78 (4.4%), 1841.79 (4.1%), 1842.80 (2.1%), 1842.79

[126]

(1.2%)

[127]

С, 63.35; Н, 6.08; N, 11.42; O, 17.40; S, 1.74

[128]

Очистка пептида ВЭЖХ (рис.2):

[129]

- Колонка: Agilent Luna С18-2 250×4,6

[130]

- Температура колонки: 40°C

[131]

- Объем введения: 100 мкл

[132]

- Раствор А: 0,1% трифторуксусная кислота (ТФК); Раствор В: ацетонитрил

[133]

- Градиент (табл.3)

[134]

Табл.3
ВремяПотокА %В %С %D %Кривая
11,0065,035,00,00,0
230,001,0015,085,00,00,06
331,001,0065,035,00,00,06
435,001,0065,035,00,00,06

[135]

Пример 2. Подготовка наночастиц (НЧ) на основе ПМГК с моделью белка

[136]

ПМГК RG 503 (50:50) и ПМГК Lactel были использованы в качестве материала для наночастиц, метиленхлорид (MeCl2) или этилацетат (EtAc) были использованы в качестве органических растворителей, поливиниловый спирт (ПВС) или плюроник F-127 (PF-127) были использованы в качестве стабилизаторов эмульсии, и ФИТЦ-БСА или ФИТЦ пептид 10-мер были модельными белками, используемыми для инкапсуляции НЧ. Индоцианин зеленый (ИЦЗ) был использован в качестве маркера НЧ.

[137]

Процедура наноинкапсуляции была основана на методах двойной эмульсии (в/м/в) и сорастворения м/в. В методе двойной эмульсии ПМГК растворяют в органическом растворителе, а затем БСА-ФИТЦ растворяется в ДДВ, содержащей 2% ПВС, а ФИТЦ пептид растворяют в метаноле; ДДВ (1:4 в/в), содержащую 1% БСА и 2% ПВС добавляют к раствору ПМГК при различных соотношениях ПМГК/препарата и гомогенизируют при 11000 или 15000 оборотах в минуту в течение 2 мин, или ультразвуком в ледяной ванне в течение 1 мин. Эту в/м эмульсию затем выливают в эмульгирующий раствор в ДДВ при различных соотношениях фазы и снова гомогенизируют при 11000 или 15000 оборотах в минуту в течение 2 мин или ультразвуком в ледяной ванне в течение 1 мин.

[138]

При использовании метода сорастворения м/в ПМГК растворяют в органическом растворителе, а затем ФИТЦ пептид, растворенный в метаноле, добавляют в раствор ПМГК при разных соотношениях ПМГК/препарата белка и гомогенизируют при 15000 оборотов в минуту в течение 2 мин или ультразвуком в ледяной ванне в течение 1 мин. Эту в/м эмульсию затем выливают в эмульгирующий раствор в ДДВ при различных соотношениях фазы и снова гомогенизируют при 11000 или 15000 оборотах в минуту в течение 2 мин или ультразвуком в ледяной ванне в течение 1 мин.

[139]

В обоих случаях эмульсию перемешивали в течение 1-2 часов, чтобы удалить органический растворитель, а затем остаточный растворитель выпаривали на вакуумном испарителе («Лабконко», Миссури, США). Готовые суспензии затем промывали 3 раза с пониженным содержанием дейтерия на центрифуге при 14000 оборотов в минуту в течение 25 мин для устранения неинкапсулированного препарата. Твердые вещества были собраны и погружены в жидкий азот, а затем лиофилизированы («Лабконко», Миссури, США) в течение ночи, с использованием 5% сахарозы в качестве лиопротектора. Количество произведенных НЧ колебалось между 37-81% (таблицы 1А и В).

[140]

Пример 3. Оценка физико-химических характеристик НЧ

[141]

Подготовка образцов для анализа растровым электронным микроскопом:

[142]

Для этого наночастицы на основе ПМГК были рассеяны в ДДВ для получения 0,25-1% суспензии и обработаны ультразвуком в течение 60 сек. Одну каплю суспензии поместили на кремниевую подложку, высушили и покрыли золотом. В другом варианте подготовки высушенные НЧ были обездвижены, помещены на кремниевую подложку и также покрыты золотом. После этого, в обоих случаях наночастицы на основе ПМГК были рассмотрены под сканирующим электронным микроскопом сверхвысокого разрешения MagellanTM 400L («ФЭИ», Орегон, США).

[143]

Определение размера и зета-потенциала:

[144]

Распределение размера и зета-потенциал содержащих белок наночастиц на основе ПМГК измеряли при 25°C с использованием прибора Zetasizer Nano-Z, «Малверн Инструменте Лтд», Малверн, Великобритания. Для этого 1 мг нагруженных белком наночастиц на основе ПМГК развели в 1 мл фильтрованной ДДВ и исследовали.

[145]

Термический анализ:

[146]

Тепловые свойства полимеров и содержащего НЧ ФИТЦ пептида были измерены методом дифференциальной сканирующей калориметрии (ДСК). Измерения проводились с использованием прибора Mettler Toledo DSC. Азот используется в качестве продувочного газа. Проколотые сверху алюминиевые сосуды использовались на протяжении всего исследования, вес образцов колебался от 5 до 10 мг. Образцы были охарактеризованы ДСК в диапазоне 0-170°C при скорости нагрева 5°C в минуту.

[147]

Оценка эффективности инкапсуляции препарата в НЧ на основе ПМГК:

[148]

Для этого 2 мг НЧ растворили в 1 мл 0,1 М NaOH/0,5% ДСН путем встряхивания. 250 мкл дисперсий было сразу проверено на предмет флуоресценции на сканере Odyssey («ЛИ-КОР Биосайнсес», Линкольн, Небраска, США) при чувствительности 2 и эмиссии 800 на 96-луночном планшете, а затем инкубировано при температуре 37°C в течение 2 часов. После этого образцы центрифугировали в течение 5 мин при 14000 об/мин, чтобы получить прозрачный супернатант. 250 мкл супернатанта собрали и анализировали на предмет флуоресценции с помощью многорежимного планшета-ридера («БиоТек», Вермонт, США) при ех485/em525 с чувствительностью 50.

[149]

Эффективность инкапсуляции препарата (ЭИ) была оценена с помощью стандартной кривой препарата в 1% 0,1М NaOH/0,5% ДСН после 2 часов инкубации при температуре 37°C в соответствии с следующим уравнением:

[150]

ЭИ (%)=100×Х/У,

[151]

Где:

[152]

Х - количество модельного пептида в полученном образце, мг;

[153]

У - количество модельного пептида внесенного в тех. процесс, г;

[154]

Дополнительно гравиметрически было измерено содержание препарата в НЧ в соответствии с соотношением препарат/НЧ в/в × 100.

[155]

Результаты

[156]

Сравнительная характеристика НЧ на основе ПМГК, содержащих БСА-ФИТЦ или ФИТЦ пептид, подготовленных методом эмульсии в/м/в.

[157]

Прежде всего, составы, помеченные ИЦЗ с БСА-ФИТЦ (НЧ №18-21, таблица 1Е) были подготовлены методом эмульсии в/м/в и в сравнении с точки зрения КЗ, ЭИ, СП, размера и морфологии с лучшими составами (НЧ №9, таблица 1А), выбранными в процессе селекции опытных образцов. Включение ИЦЗ сильно повлияло на эффективность НЧ: КЗ, ЭИ и СП резко упали (таблица 1А), в то время как их размер резко увеличился (таблица 1А, сравните С и D с А и В на рисунке 4). Замена раствора МеС1 на EtAc повысила эффективность НЧ с точки зрения КЗ, ЭИ, СП, размера и морфологии (ср. НЧ №22-24 с НЧ №18-21 в таблице 1Е).

[158]

В случае с составами, содержащими ФИТЦ пептид, как и в случае с составами с БСА-ФИТЦ, маркировка препаратов с увеличенным количеством ИЦЗ снижает КЗ, ЭИ, СП и увеличивает объем составов (сравните НЧ №28, 43 с НЧ №40 (соотношение препарат/ПМГК - 1/30) и 47 (соотношение препарат/ПМГК - 1/10), соответственно, в таблице 1В). Обратите внимание, что увеличение объемов не было обнаружено ДРС, но было обнаружено с помощью СЭМ (рисунок 5С, D), а ДРС не определяет большие (микронные) частицы. Замена раствора ПМГК на EtAc улучшило ЭИ НЧ (сравните НЧ №40, 47 с НЧ №56 в таблице 1В) и морфологию, анализированную с помощью СЭМ (данные не представлены). Лучшим составом по всем параметрам был исследованный состав №48 (соотношение препарат/ПМГК 1/10, таблица 1В и рисунок 5). Лиофилизированный состав №48 (сухая форма), изображенный на рисунке 6, продемонстрировал, что образованные НЧ были сферическими частицами нано-диапазона (100-200 нм). Дополнительным параметром выбора, который наблюдался исключительным для НЧ №48, являлась производительность процесса; было достигнуто массивное образование частиц, и оно показано на рисунке бив таблице 1В (полученные НЧ). Использование полимеров ПМГК Lactel уступает ПМГК Bhoeringer 503, так как в одном случае были сформированы большие НЧ (НЧ №57, таблица 1В) неправильной формы, а в другом (НЧ №58, таблица 1В) ЭИ была довольно низкой. Сравнение НЧ на рисунке 9 с помощью СЭМ, полученного из ПМГК RG-503 (НЧ №56, масштаб А - 100 мкмоль), Lactel 9 (НЧ №57, масштаб В - 20 мкмоль) или Lactel A11 (НЧ №58, масштаб С - 100 мкмоль), показывает, что использование ПМГК Lactel приводило к образованию больших НЧ.

[159]

Использование низкого количества ИЦЗ (0,5 мкг) было во всех случаях более предпочтительным, нежели высокого (2,5 мкг) количества ИЦЗ (данные не представлены).

[160]

Опять же, значения индекса полидисперсности (ИПД) НЧ, подготовленных в исследовании, согласуется с формированием довольно гетерогенной популяции (ИПД>0,3).

[161]

Сравнительная характеристика НЧ на основе ПМГК, содержащих ФИТЦ пептид, подготовленных методом сорастворения эмульсии м/в.

[162]

Второй метод сорастворения эмульсии м/в был опробован для подготовки НЧ, содержащих пептид, из-за отличной растворимости модели ФИТЦ пептида в спиртовом растворителе, таком как метанол. При использовании данного метода, как ни удивительно, НЧ без ИЦЗ демонстрируют меньшую производительность (сравните НЧ №46 с НЧ №53 и 55, таблица 1C, рисунок 7).

[163]

Добавление пептида сначала в спирт, а затем в метиленхлорид дало прозрачный раствор. Пептид был, вероятно, сольватирован гидрофильными водородными связями, формирующими кластеры спирта вокруг молекулы, которые не могли быть вытеснены избытком метиленхлорида. Когда в качестве полимерного растворителя использовался этилацетат, препарат осаждался из спиртового раствора, давая в результате мутную суспензию. Более гидрофильный растворитель, этилацетат, взаимодействовал со спиртом и десольватировал пептид, который практически не растворим в этилацетате. Такой эффект не влияет на эффективность НЧ (сравните НЧ №51, 54 с 53, 55 в таблице 1C), однако влияет на перенос НЧ в клетках Сасо-2 (таблица 3).

[164]

Основным недостатком данного метода подготовки НЧ был их большой размер (рисунок 7). Поэтому для подготовки эмульсии м/в была протестирована обработка ультразвуком, а не гомогенизация. Такой метод не позволил уменьшить размер формируемых НЧ (НЧ №59 в таблице 1C и рисунке 8) и добиться хороших показателей ЭИ и СП.

[165]

Сравнение с помощью СЭМ НЧ на рисунке 10, полученных из ПМГК RG-503 (НЧ №54, A), Lactel А 9 (НЧ №60, В) или Lactel All (НЧ №61, С), показывает, что использование ПМГК Lactel приводило к образованию больших НЧ. Подготовка НЧ с 4-кратным количеством препарата (соотношение препарата/ПМГК - 1/7,5 вместо 1/25 или 30 для всех препаратов) была успешной в случае низкого (0,5 мкг) количества ИЦЗ, и мы смогли получить высокий показатель СП пептида в 5,6% (НЧ №63 в таблице 1C).

[166]

Термические свойства НЧ:

[167]

Термические свойства ПМГК 503 и содержащих препарат НЧ были изучены с помощью ДСК. Рис.4 наглядно показывает, что ПМГК и содержащие препарат НЧ являются аморфными по своей природе с температурой стеклования (Tg) от 46,49°C до 51,49°C соответственно. ДСК ясно показывает, что препарат действительно взаимодействует с полимерной матрицей. Tg ПМГК и НЧ, не содержащих препарат, осталось неизменным (данные не приведены).

[168]

Пример 4. Оценка высвобождение лекарственного препарата из НЧ

[169]

Для этого 100 мкл 2 мг НЧ были диспергированы вначале в 250 мкл моделированной кишечной жидкости (ИКС, стандарт Фармакопеи США, pH 6,8) и проверены на предмет флуоресценции с помощью многорежимного планшета-ридера («БиоТек», Вермонт, США) при ex485/em525 с чувствительностью 70 сразу же после подготовки для определения общей флуоресценции.

[170]

НЧ в указанном количестве были диспергированы в 250 мкл ИКС и инкубированы в 2250 мкл ИКС в течение 2, 4 и 24 часов при температуре 37°C с встряхиванием при 50 оборотах в минуту. В конце инкубационного периода 500 мкл инкубационной среды было помещено в пробирки Эппендорф и прокручено при 14000 об/мин в течение 12 или 25 мин, соответственно. Далее, эта среда была проанализирована на предмет флуоресценции с помощью многорежимного планшета-ридера («БиоТек», Вермонт, США) при ex485/em525 с чувствительностью 70 и возвращена в среду инкубации. Высвобождение лекарственного препарата (ВП) оценивалось в соответствии со стандартной кривой препарата в ИКС сразу после приготовления и после инкубации в течение 2, 4 и 24 часов при температуре 37°С при встряхивании при 50 об/мин при температуре 37°C в соответствии с следующим уравнением:

[171]

ВП (%)=100×W/Z,

[172]

Где:

[173]

W - количество модельного пептида, перешедшего в инкубационную среду, мг;

[174]

Z - количественное содержание пептида в образце взятом для анализа, мг.

[175]

Результаты

[176]

Кинетика высвобождения БСА-ФИТЦ и ФИТЦ пептида из НЧ в ИКС:

[177]

Сополимер ПМГК подвергается деградации путем гидролиза или биодеградации путем расщепления его основных эфирных связей в олигомеры и, наконец, мономеры. Деградация сополимера ПМГК является коллективным процессом объемной диффузии, поверхностной диффузии, объемной эрозии и поверхностной эрозии. Обычно наблюдается двухфазная кривая для высвобождения препарата в результате биодеградации ПМГК. «Взрывное» высвобождение препарата зависит от типа препарата, концентрации препарата и полимерной гидрофобности. Препарат на поверхности, в контакте со средой, высвобождается в зависимости от растворимости, а также проникновения воды в полимерную матрицу. Во второй фазе препарат высвобождается постепенно через толстый слой с малым количеством препарата. «Взрывное» высвобождение белковых препаратов из НЧ также является проблемой, так как оно снижает способность препарата на основе белка достигать цели в связи с деградацией.

[178]

Как было показано, «взрывное» высвобождение БСА-ФИТЦ действительно наблюдается в течение первых 4 часов, за которыми следует медленное высвобождение в течение следующих 20 часов с Т½ высвобождения препарата от 5, 16 ч до >22 ч (таблица 1D, E).

[179]

Как видно на рисунке 11, «взрывное» высвобождение ФИТЦ-пептида было ликвидирован во всех НЧ, подготовленных как методом эмульсии в/м/в (рисунок 11A), так и методом сорастворения м/в (рисунок 11В) с Т½ больше, чем 48 ч.

[180]

Пример 5. Исследование культур клеток.

[181]

Клеточные культуры:

[182]

Клеточная линия карциномы толстой кишки человека Caco-2 была получена из Американской коллекции типовых культур (АТСС, Манассас, Вирджиния). Клетки Caco-2 выращивают в полной минимальной эссенциальной среде Игла, модифицированной по способу Дульбекко (DMEM). Клеточные линии хранились при температуре 37°C в 5% CO2 инкубаторе с водяной рубашкой.

[183]

Анализ пролиферации клеток:

[184]

Прежде всего, была проведена оценка цитотоксичности подготовленных составов. Отсутствие цитотоксичности было оценено анализом MTS с помощью набора CellTiter 96® AQueous, состоящего из растворов нового тетразолийного соединения [3-(4,5-диметилтиазол-2-ил)-5-(3-карбоксиметоксифенил)-2-(4-сульфофенил)-2Н-тетразолий, внутренняя соль, MTS] и реагента электронной связи (феназинметасульфат) PMS, где MTS биоредуцирован клетками до формазанового продукта, который является растворимым в культуральной среде, и поглощение формазанового продукта может быть измерено при 490 нм. Для этого клетки Caco-2 высеяли в 96-луночный планшет на 4×104клеток/мл (8×103/лунка) и дали им адаптироваться и расти в течение 48 часов. Затем 50 мкл исследованных соединений было добавлено в исследованные лунки и инкубировалось в течение 4 или 24 часа в сутки. В конце периода инкубации инкубационная среда была удалена, клетки промыли ФСБ и инкубировали в свежей среде до 24 ч, и затем жизнеспособность клеток была протестирована с помощью анализа MTS.

[185]

Оценка включения клеткой НЧ:

[186]

Конфокальная лазерная сканирующая микроскопия (КЛСМ) была использована для оценки эффективности клеточного захвата. Для анализа КЛСМ клетки Caco-2 высевали на пленки, закрытые стеклянной крышкой, в 8-луночные планшеты при плотности 5×104 клетки/см. После культивирования в течение 48 часов культуральную среду удаляли, а клетки промывали два раза, используя среду культивирования без фенолового красного красителя. После этого было добавлено 0,4 мл содержащих препарат НЧ, разведенных в среде культивирования без фенолового красного красителя в нетоксичных концентрациях, и клетки инкубировали в течение 4 ч при температуре 37°C. В конце инкубационного периода растворы образца были удалены, клетки промыли три раза в среде культивирования без фенолового красного красителя и изучили с помощью конфокального лазерного сканирующего микроскопа Fluoview 300 («Олимпус», Пенсильвания, США).

[187]

Миграция состава через монослои клеток Caco-2:

[188]

Поликарбонатные вкладыши Transwell (диаметр 12 мм, площадь роста 1,12 см2) были использованы для экспериментов с миграцией состава ~ 19 дней после посева (значения TEER в диапазоне от 400/5000 см2). Измерения TEER проводились с использованием системы Millicell ®-ERS (Millipore), подключенной к электродам.

[189]

Исследования миграции проводились при температуре 37°C в сбалансированном солевом растворе Хенкса, помещенном на нижнем и верхнем компартментах системы Transwell. Образцы готовили путем разбавления составов на основе НЧ, содержащих модель препарата в ССРХ, и помещали в верхний и нижний компартменты (400 мкл в верхний компартмент и 1000 мкл в нижний компартмент) после измерения общей ФЛ изучаемых составов с помощью многорежимного планшета-ридера при ex485/em525 с чувствительностью 50. Затем вкладыши инкубировались при температуре 37°C в течение 120 мин. Образцы (250 мкл) были взяты из нижнего и верхнего компартментов через 2 ч инкубации и % мигрировавшего за указанное время ФИТЦ пептида был установлен с помощью многорежимного планшета-ридера при ех485/em525 с чувствительностью 50.

[190]

Коэффициент видимой проницаемости (Papp) был рассчитан в соответствии со следующим уравнением:

[191]

Papp=(VA/площадь×t)×E/R)

[192]

где Papp - коэффициент видимой проницаемости (см/с);

[193]

A - область диффузии использования камеры/фильтрующего вкладыша (см2), Va - объем принимающей лунки;

[194]

t - общее время эксперимента(ов);

[195]

E - количество модельного пептида пересекшего клеточный слой, мг;

[196]

R - количество модельного пептида помещенного с препаратом в принимающую ячейку, мг.

[197]

Результаты

[198]

Клеточная линия Caco-2, полученная из человеческой колоректальной раковой опухоли, стала созданной в пробирке моделью для определения потенциального всасывания препарата через кишечник человека. При культивации на полупроницаемые мембраны Caco-2 клетки дифференцировались в высоко функциональном эпителиальном барьере со значительными морфологическими и биохимическими сходствами с эпителием тонкого кишечника.

[199]

Таким образом, потенциальная токсичность новых НЧ (рисунок 12) составов, подготовленных для клеток Caco-2, оценивали с помощью метода MTS после 24 ч инкубации. На рисунке 12 показано, что все составы были нетоксичными в любой из исследованных концентраций.

[200]

Касательно клеточного распределения НЧ. НЧ, подготовленные методом в/м/в сравнивали по их распределению в Caco-2 с использованием меченого пептида (зеленое окрашивание) и ИЦЗ (красное окрашивание) с увеличением количества ИЦЗ (НЧ №51 и 53 соответственно). Наши результаты показывают, что НЧ, помеченные большим количеством ИЦЗ (НЧ №53), демонстрируют как измеряемую эффективность (см. таблицу 1В), так и низкое поглощение клеточного пептида (рисунок 13). Это соотносится с их низким транспортом (таблица 3) по сравнению с НЧ №51, демонстрируя более высокий показатель Papp по сравнению со свободным пептидом. Согласно КЛСМ изображениям и исследованиям эффективности и переноса, НЧ №48 были выбраны как лучший состав в стадии подготовки.

[201]

Оба состава (НЧ 55 и 59), подготовленные методом сорастворения в/м, показали хорошее клеточное распределение (вкладыши на рисунке 13) и доставку пептида к клеткам. Оцененный во всех случаях свободный ФИТЦ пептид продемонстрировал очень низкое клеточное распределение (рисунок 13).

[202]

Так как клетки Сасо-2 могут отражать свойства клеток кишечника, свойства мембранного транспорта новых соединений, таким образом, могут быть оценены с помощью этих дифференцированных монослоев клеток.

[203]

Коэффициенты видимой проницаемости (Papp), полученные в исследованиях транспорта Caco-2 клеток, соотносятся с кишечной абсорбцией человека. Есть несколько способов, с помощью которых эти данные могут быть использованы. Во-первых, соединения могут быть классифицированы с точки зрения их значений Papp Caco-2. Два эталонных соединения, атенолол (параклеточный транспорт) и пропранолол (пассивный параклеточный транспорт) могут быть изучены вместе с исследуемыми соединениями. Атенолол и пропранолол имеют известную абсорбцию у человека с Papp=0,5×106 см/с (низкий транспорт) и Papp=15×106 см/с (высокий транспорт), соответственно, и могут быть использованы в качестве маркеров для ранжирования исследуемых соединений.

[204]

Чтобы проверить, является ли ФИТЦ пептид субстратом для Pgp, монослои были исследованы на активность гликопротеина (например, эффлюксным насосом, который относит препарат назад от кишечных клеток). Отношение значения Papp базолатеральной стороны (что соответствует стороне кровообращения) к апикальной стороне клетки (представляющей просвет кишечника) по скорости транспорта в обратном направлении (напр. Papp (AB)) зависит от действующего транспортного механизма. Мы обнаружили, что Papp пептида практически равен 1, что согласуется с утверждением, что данный пептид не является субстратом для Pgp/

[205]

В нашем исследовании мы оценивали транспорт составов на основе НЧ через монослой клеток Caco-2 и разграничивали их Papp. Что касается транспорта пептида, только НЧ №48, значительно увеличивали транспорт пептида почти в 4 раза, будучи способными увеличить Papp ФИТЦ пептида до 1,63×-6 см/сек (таблица 4), что определяет ФИТЦ пептид как препарат с умеренной проницаемостью, который может достичь биораспределения ~ 20% у человека при пероральном приеме препарата (рисунок 14).

[206]

Таблица 4:
Показатель Papp составов, содержащих ФИТЦ пептид, в сравнении с таковыми, не содержащими ФИТЦ пептид
Состав с ФИТЦ пептидомСредний % транспортируемых составовСредний показатель Papp×10-6(см/в)Papp (B к A)/Papp (A к B)
Свободный ФИТЦ пептид0,260,321,5
НЧ№480,871,63-
НЧ№510,280,52-
НЧ№530,080,15-
В, базолатеральная сторона
А, апикальная сторона

[207]

Таблица 1А
Характеристика составов с инкапсулированным БСА-ФИТЦ, приготовленных методом эмульсии в/м/в
НЧ № БСА-ФИТЦПолимерная матрица НЧ-ПМГК 503, %Соотношение вводимого препарата/полимера (в/в)ИЦЗ, мкгПолимерный растворительСкорость гомогенизации, об/минПолученное количество НЧ, %ЭИ, %СП, %ИПДСредний размер, нмзета-потенциал, мВ
9*31/15-MeCl21100056340,290,567509-22
30-F31/152,5MeCl2150007020,170,8314499-23
30-S31/152,5MeCl2110008230,220,7201007-29
31-F61/302,5MeCl2150005320,150,7821060-33
31-S61/302,5MeCl2110007240,230,429366-31
32-F31/152,5EtAc150007850380.380336-23
33-F*61/302,5EtAc1500068150,890,592484-5
33-S*61/302,5EtAc11000100120,50,509494-8
* Наиболее успешные составы

[208]

Таблица 1В
Характеристика составов с инкапсулированным ФИТЦ пептидом, приготовленных методом эмульсии в/м/в
НЧ № ФИТЦ пептидматрица НЧ, %Полимерный растворительСоотношение вводимого препарата/полимера (об/об)ИЦЗ, мкгСодержание ИЦЗ, %Скорость гомогенизации, об/минПолученное количество НЧ, %ЭИ, %СП, %ИПДСредний размер, нмзета-потенциал, мВ
28*, 43*ПМГК 503,3MeCl21/15--11000812,90,332433-8,5
42ПМГК 503,3EtAc1/15--1500078230,870,382321-24,9
40ПМГК 503,6MeCl21/300,5121500061170,570,250301-21,0
48*ПМГК 503,6EtAc0,59150002,70,575456-14,4
47ПМГК 503,6MeCl21/102,571500041162,40,429366-17,5
57ПМГК Lactel, 6EtAc1/300,5151500076631,71,0003696-113
58ПМГК Lactel, 6EtAc1/300,5311500064280,90,466537-30,2
56ПМГК 503,6EtAc1/300,571500024712,21,0002563-20,6
* Наиболее успешные составы

[209]

Таблица 1C
Характеристика составов с инкапсулированным ФИТЦ пептидом, приготовленных методом сорастворения эмульсий в/м
НЧ № ФИТЦ пептидМатрица НЧ, %Полимерный растворительСоотношение вводимого препарата/полимера (об/об)ИЦЗ, мкгСодержание ИЦЗ, %Скорость гомогенизации, об/минПолученное количество НЧ, %ЭИ, %СП, %ИПДСредний размер, нмзета-потенциал, мВ
46ПМГК 503,5MeCl21/25--1500067191,30,461614-22,7
55*ПМГК 503,5MeCl21/250,551500073481,50,400375-33,3
53PLGA 503,5MeCl21/252,5131500081461,30,418432-36,7
54*ПМГК 503,5EtAc1/250,571500076501,50,335235-20,7
51ПМГК 503,5EtAc1/252,571500078411,20,431465-19,8
60ПМГК Laetel, 6EtAc1/300,5241500069431,40,560485-16,0
61ПМГК Laetel, 6EtAc1/300,5731500073441,40,581560-22,2
63*ПМГК 503,6MeCl21/7.50,5111500053275,60,589736-5,6
62ПМГК 503,6MeCl21/7.52,581500096151,70,8541540-28,9
59*ПМГК 503, 6EtAc1/300,552Ультразвук68441,50,335295-22,9
* Наиболее успешные составы

[210]

Таблица 1D
НЧ # капсулированный препаратОчистка НЧ от свободного лекарственного препаратаНП полимерная матрица, лиопротекторСбор НЧ (%)ЭК (%)КЛ (%)PDI (коэфф. полидисперсности)Средний размер (нм)z-потенциал (мВ)Скорость высвобождения ЛС Т 1/2, ч
4-BSA-FITCDDW, MicroconesPLGA-RG 503H (50:50) 24-38 кДа; BSA 10%54230,1912516-17>30
5-BSA-FITCDDW, MicroconesPLGA-RG 503 (50:50) 24-38 кДа; BSA 10%60280,2112042-17>40
8-BSA-FITCDDW, MicroconesPLGA-RG 503H (50:50) 24-38 кДа; Сах. 10%54220,190,488246-1915
9-BSA-FITCDDW, MicroconesPLGA-RG 503 (50:50) 24-38 кДа; Suc. 10%56340,290,567509-226
10DDW, центрифугир. на низкой скоростиPLGA-RG 503H (50:50) 24-38 кДа; BSA 10%45--0,8911665-18нет
11DDW, центрифугир. на низкой скоростиPLGA-RG 503 (50:50) 24-38 кДа; BSA 10%37--0,8251334-18нет
12DDW, центрифугир. на низкой скоростиPLGA-RG 503H (50:50) 24-38 кДа; Сах. 10%51--0,590980-36нет
13DDW, центрифугир. на низкой скоростиPLGA-RG 503 (50:50) 24-38 кДа; Сах. 10%57--0,202716-30нет
14-BSA-FITCDDW, центрифугир. на низкой скоростиPLGA-RG 504H (50:50) 38-54 кДа; BSA 10%4460,060,468390-29-
15-BSA-FITCDDW, центрифугир. на низкой скоростиPLGA-RG 505 (50:50) 54-69 кДа; BSA 10%45000,297519-6-
16-BSA-FITCDDW, центрифугир. на низкой скоростиPLGA-RG 504H (50:50) 38-54 кДа; Сах. 10%5120,0180,585899-28-
17-BSA-FITCDDW, центрифугир. на низкой скоростиPLGA-RG 505 (50:50) 54-69 кДа; PVA (2%); Сах. 10%5120,0180,584601-28

[211]

Таблица 1Е
НЧ # капсулированный препаратОчистка НЧ от свободного лекарственного препаратаНП полимерная матрица, лиопротекторСбор НЧ (%)ЭК, (%)КЛ, (%)PDI (коэф. полидисперсности)Средний размер (нм)z-потенциал (мВ)Скорость высвобождения ЛС Т 1/2, ч
21 Пептид-FITCDDW, центрифугир. на низкой скоростиPLGA-RG 503 (50:50) 24-38 кДа; Сах. 10%47120,120,524692-17-
22 Пептид-FITCDDW, центрифугир. на низкой скоростиPLGA-RG 503 (50:50) 24-38 кДа; Сах. 10%55110,0920,561526-29-
24.1 Пептид-FITCDDW, MicroconesPLGA-RG 503H (50:50) 24-38 кДа; Сах. 5%44881,350,634561-22-
24.2 Пептид-FITCDDW, MicroconesPLGA-RG 503H (50:50) 24-38 кДа; BSA 5%471071,550529661-28-
25.1 Пептид-FITCDDW, MicroconesPLGA-RG 503 (50:50) 24-38 кДа; Сах. 5%52801,150,403306-6-
25.2 Пептид-FITCDDW, MicroconesPLGA-RG 503(50:50) 24-38 кДа; BSA 5%50831,20,621650-22-
26.1 Пептид-FITCEtOH/DDW (40/60), MicroconesPLGA-RG 503 (50:50) 24-38 кДа; Сах. 5%6840,036----
26.2 Пептид-FITCEtOH/DDW (40/60), MicroconesPLGA-RG 503 (50:50) 24-38 кДа; BSA 5%4840,05----
26.3 Пептид-FITCDDW, центрифугир. на низкой скоростиPLGA-RG 503 (50:50) 24-38 кДа; Сах. 5%64850,810,6801148-1026

[212]

26.4 Пептид-FITCDDW, центрифугир. на высокой скоростиPLGA-RG 503 (50:50) 24-38 кДа; BSA 5%55550,60,461566-181,5
27.1 Пептид-FITCDDW, центрифугир. на высокой скоростиPLGA-RG 505 (50:50) 54-69 кДа; Сах. 5% (в 4 раза меньше)743710,256495-2520
27.2 Пептид-FITCDDW, центрифугир. на высокой скоростиPLGA-RG 505 (50:50) 54-69 кДа; BSA 5% (в 4 раза меньше)68331,10,290503-341
28.1 Пептид-FITCDDW, центрифугир. на высокой скоростиPLGA-RG 503 (50:50) 24-38 кДа; Сах. 5% (в 4 раза меньше)81621,20,290522-720
28.2 Пептид-FITCDDW, центрифугир. на высокой скоростиPLGA-RG 503 (50:50) 24-38 кДа; BSA 5% (в 4 раза меньше)73561,50,277495-221,5
29.1 Пептид-FITCDDW, центрифугир. на высокой скоростиPLGA-Lactel (50:50) 28-45 кДа; Сах. 5% (в 4 раза меньше)75571,50,262498-18>26
29.2 Пептид-FITCDDW, центрифугир. на высокой скоростиPLGA- Lactel (50:50) 28-45 кДа; BSA 5% (в 4 раза меньше)68641,80,251446-2116

Как компенсировать расходы
на инновационную разработку
Похожие патенты