Изобретение относится к системам наведения на высокоскоростные и маневрирующие цели, в частности к системам наведения на гиперзвуковые летательные аппараты (ГЗЛА). Система управления обеспечивает перехват цели с высокой точностью, учитывая только ошибки наведения по углу и угловой скорости. С помощью пеленгатора перехватчика или других источников информации формируется измерение пеленга цели, на основе которого в фильтрах формируются оценки требуемых значений угла визирования цели и его производной, а также их текущих значений, которые передаются в усилители, где одновременно формируются сигналы. Сформированные сигналы передаются в сумматор, в котором формируется сигнал управления перехватчика. Сигнал передается на органы управления перехватчика, которые изменяют его пространственное положение. Способ позволит обеспечить более высокую устойчивость и точность перехвата высокоскоростных и маневрирующих целей, в том числе ГЗЛА. 7 ил.
Способ перехвата интенсивно маневрирующих высокоскоростных воздушно-космических объектов, заключающийся в том, что с помощью пеленгатора перехватчика или других источников информации формируют измерение пеленга цели, на основе которого в фильтрах формируют оценки требуемых значений где b и Т - коэффициент передачи перехватчика и постоянная времени в плоскости управления; q21/kj, q22/kj и p11/kj, р21/kj p22/kj - коэффициенты штрафов, вычисляемые по известным правилам и характеризующие величину сигналов управления и точность приближения, и передают его на органы управления перехватчика, которые изменяют его пространственное положение.
угла визирования цели и его производной, а также их текущих значений
, которые затем передают в усилители, где одновременно формируют сигналы: в первом усилителе -
, во втором -
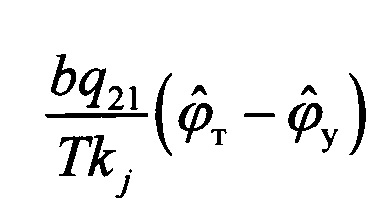
, в третьем -
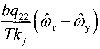
, в четвертом -
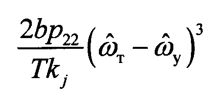
, затем сформированные сигналы передают в сумматор, в котором формируют сигнал управления jу перехватчика по закону
- ошибки управления по углу визирования цели;
- ошибки управления по угловой скорости линии визирования цели;
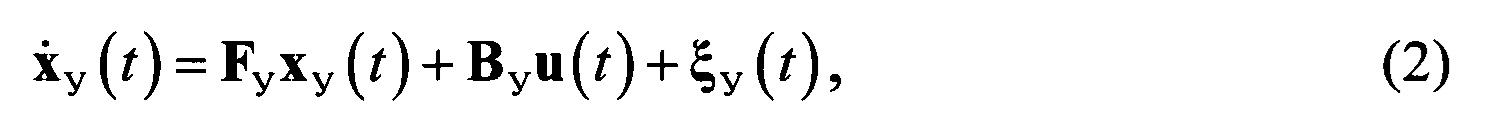
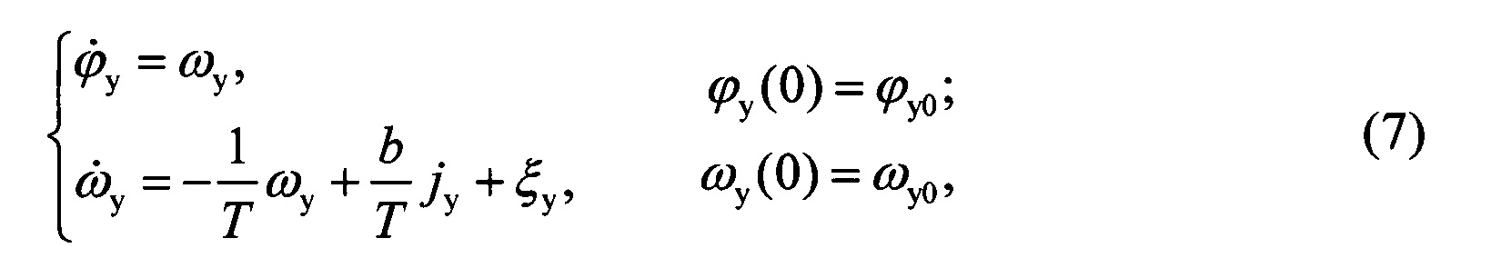
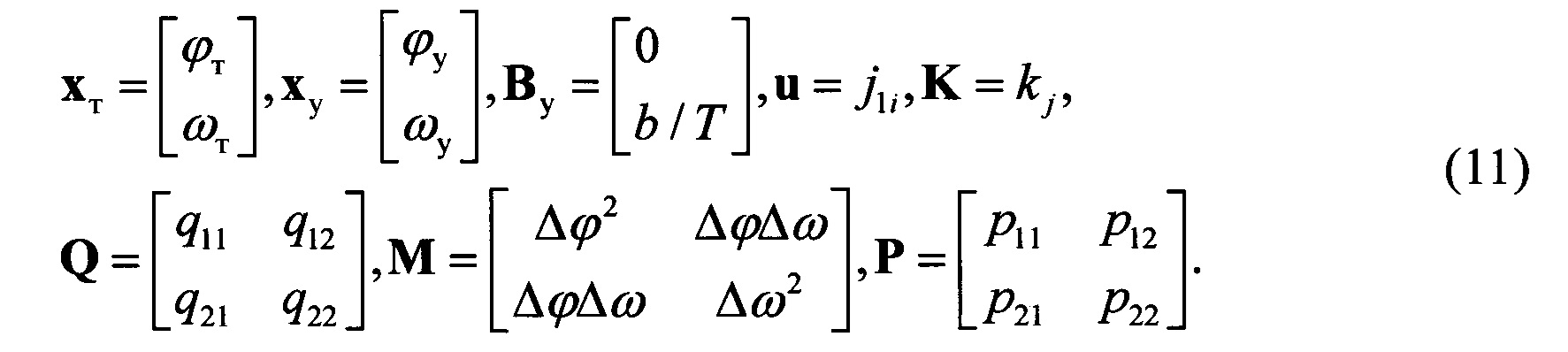
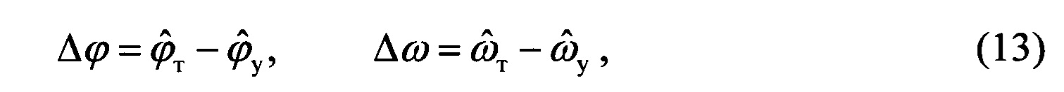
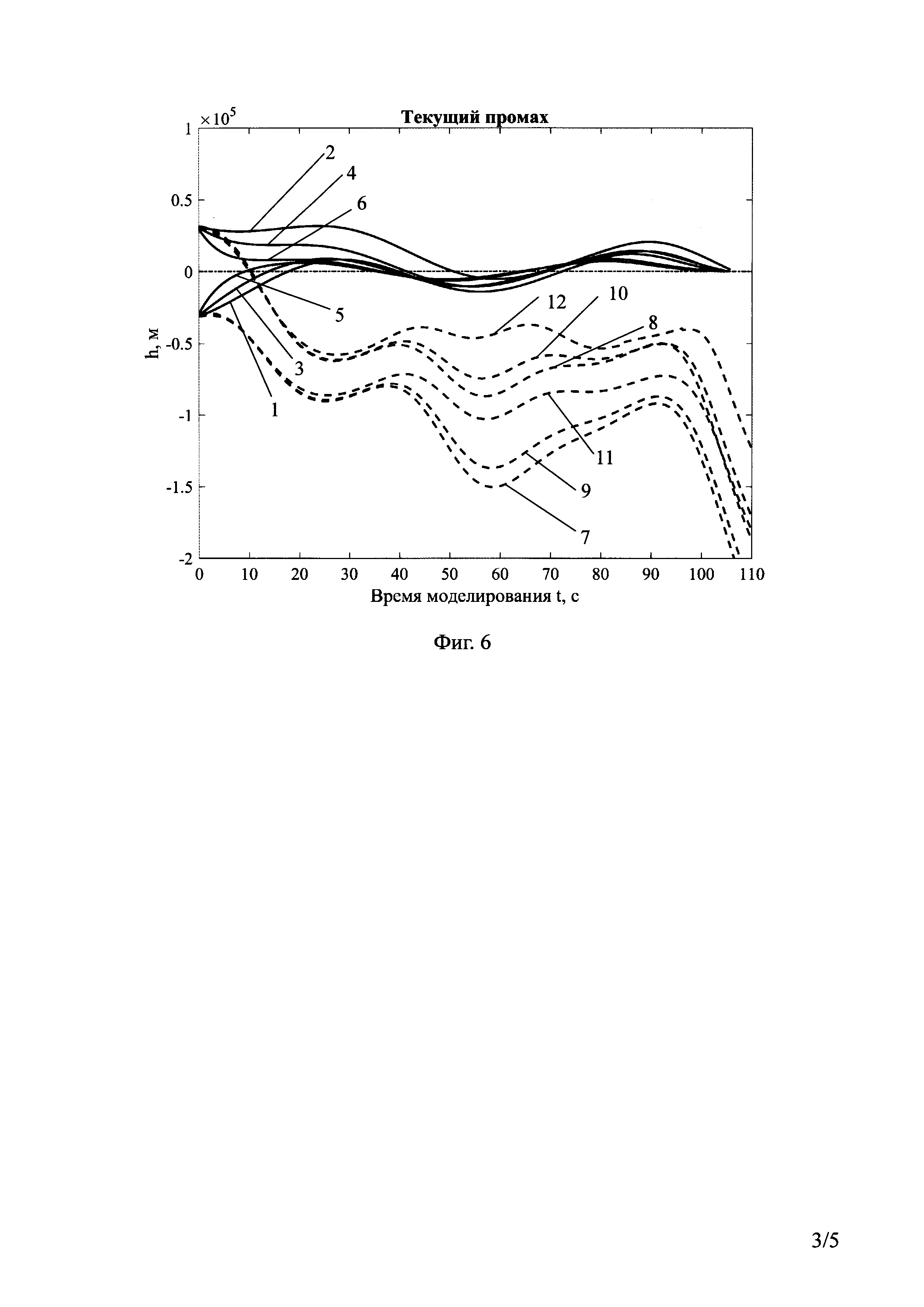
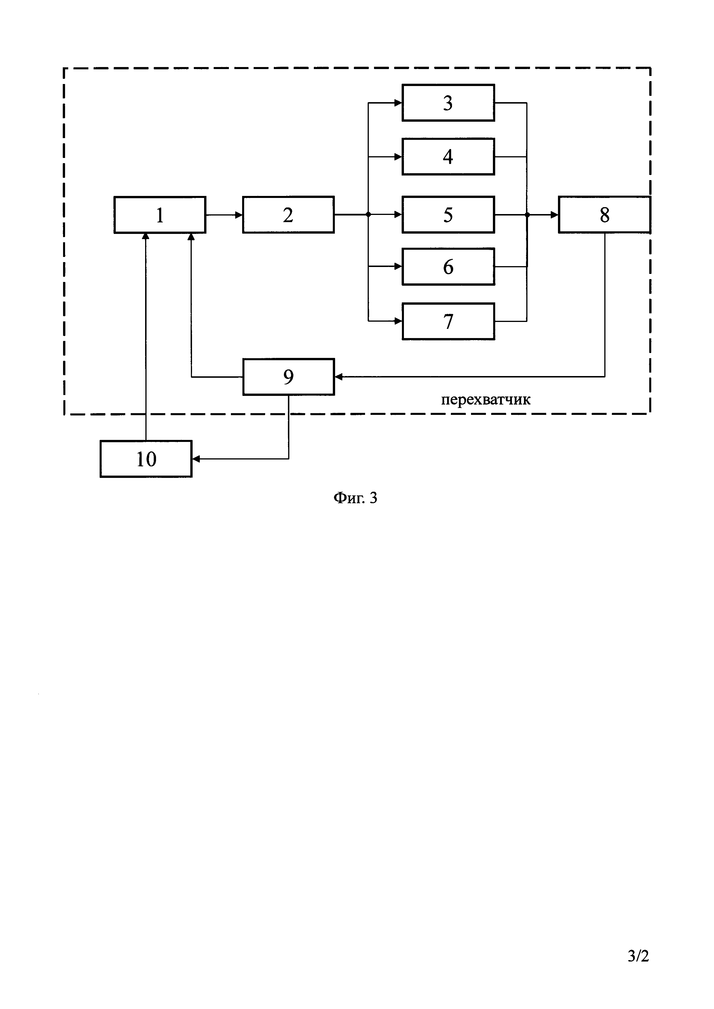
Изобретение относится к системам наведения на воздушные цели, в частности на высокоскоростные и интенсивно маневрирующие цели. Среди новых видов воздушно-космической техники, к которым относятся сверхманевренные (СМЛА), гиперзвуковые (ГЗЛА), беспилотные (БЛА) летательные аппараты (ЛА), сверхзвуковые крылатые и нестратегические баллистические ракеты, наиболее проблемными для перехвата являются ГЗЛА, что в первую очередь обусловлено следующими причинами: сложным непредсказуемым характером траекторий, в законе изменения которых содержатся высокие производные с изменяющимися знаками, что делает невозможным использование традиционных способов обнаружения, сопровождения и наведения в упрежденную точку встречи; большим разбросом высот (до десятков километров) и скоростей, вплоть до околокосмических; заведомым несоответствием динамических свойств ГЗЛА и перехватчиков, что ограничивает зону перехвата только передней полусферой, предопределяющим невозможность использования прямых методов наведения. Качественно траектория полета ГЗЛА в вертикальной плоскости показана на фиг. 1. В качестве прототипа был выбран один из наиболее распространенных методов - метод пропорционального наведения (МПН) [1]. В этом методе требуемое поперечное ускорение в плоскости управления должно быть пропорционально угловой скорости линии (ЛВ) визирования и скорости сближения ЛА с целью: Недостатками МПН является отсутствие учета погрешности сопровождения цели по углу и плохая управляемость на больших расстояниях. Кроме того, прямолинейность траектории наведения для МПН реализуется лишь при наведении на неманеврирующие цели. Проведенные исследования показали, что можно реализовать перехват ГЗЛА при условии, что в законе наведения перехватчика используются высокие (до четвертого порядка) производные угловых координат [2]. Однако для информационного обеспечения такого способа наведения практически невозможно синтезировать фильтр, устойчиво формирующий оценки угла, угловой скорости и ее первой и второй производных, поскольку измеряется только угол. В связи с этим целесообразно синтезировать способ наведения, который обеспечивал бы перехват ГЗЛА без знания высоких производных. Эта задача может быть решена на основе математического аппарата синтеза нелинейного управления [3], который позволяет для n-мерной системы предназначенной для отработки n-мерного процесса сформировать r-мерный (r ≤ n) сигнал управления оптимальный по минимуму квадратично-биквадратного функционала качества где Δx = xT - xY; K - матрица штрафов за величину сигналов управления; Q - матрица штрафов за точность приближения хУ к хТ; Р - симметричная матрица, определяющая вес нелинейной составляющей (6) в составе уравнения (4). Здесь и далее для упрощения записей опущена зависимость векторов и матрицы М от времени t. Рассмотрим процедуру синтеза способа наведения перехватчика на ГЗЛА при условии, что наводимый летательный аппарат аппроксимируется моделью а модель движения ГЗЛА кинематическими уравнениями [1] В (7), (8) ϕу, ϕт - текущие и требуемые значения пеленга цели с перехватчика, а ωу, ωт - угловых скоростей изменения ϕу и линии визирования цели с перехватчика; b и Т - коэффициент передачи ЛА и постоянная времени в плоскости управления; jу - поперечное ускорение, выполняющее роль сигнала управления; Д и jт - поперечное ускорение цели; Необходимо отметить, что манипулируя законом изменения jт в (8), можно реализовать траекторию полета ГЗЛА любой сложности. Геометрические соотношения между целью и перехватчиком показаны на фиг. 2. Необходимо по моделям (7) и (8) найти по правилу (4) сигнал jу управления перехватчиком, оптимальный по минимуму функционала где Поставив в соответствие (7) - (9) с (2), (3) и (5), получим Тогда на основе (4): где в соответствии с выводами теоремы статистической эквивалентности формируются на основе оптимальных оценок Анализ соотношений (12) и (13) позволяет сделать следующие выводы. Способ (12) характеризует систему наведения с нелинейным управлением, в котором наряду с линейной компонентой, определяемой первыми двумя слагаемыми, используется и нелинейная компонента, определяемая третьим, четвертым и пятым слагаемыми. Сигнал управления зависит не от абсолютных значений коэффициентов штрафов, а от их соотношений q12/kj, q22/kj и р11/kj, р21/kj, р22/kj, что существенно облегчает процедуру расчета сигналов управления. Сигнал управления зависит не только от абсолютных значений Δϕ и Δω, но и от их сочетаний по величине и знаку. Для получения сигнала управления не требуется знания производных угловых скоростей [2], а достаточно иметь оценки Технический результат, который может быть получен от использования предлагаемого изобретения, заключается в обеспечении высокой устойчивости и точности перехвата интенсивно маневрирующих высокоскоростных целей. Технический результат достигается за счет использования закона (12) для управления наводимым ЛА на цель, в котором в различных сочетаниях учитываются ошибки наведения по углу и угловой скорости, что и отличает его от прототипа (1). Сущность предлагаемого изобретения заключается в разработке способа формирования сигнала управления, при котором наводимый на цель ЛА управляется по закону (12), который формируется с использованием оценок Принципы функционирования предложенного способа для одной плоскости поясняются структурной схемой, проиллюстрированной фигурой 3, на которой функциональные блоки перехватчика объединены пунктирной линией. На этой фигуре 1 - измерители углов, поступающих в фильтр 2; 2 - фильтр, формирующий оценки 3 - усилитель, формирующий на основе оценок 4 - усилитель, формирующий на основе оценок 5 - усилитель, формирующий на основе оценок 6 - усилитель, формирующий на основе оценок 7 - усилитель, формирующий на основе оценок сигнал 8 - сумматор, получающий на вход сигналы из усилителей 3-7, формирующий сигнал управления jу и передающий его на органы управления ЛА 9; 9 - органы управления ЛА, получающие на вход сигнал управления jу и изменяющие пространственное положение ЛА; 10 - цель. Работоспособность предложенного способа наведения оценивалась по результатам моделирования полета ГЗЛА в вертикальной плоскости по сложному закону, который качественно показан на фиг. 4, и полета перехватчика (7) с управлением (12) в широком поле начальных условий применения. Эффективность предложенного нового метода наведения (НМН) оценивалась по величине ошибок управления по углу Δϕ, а также по величинам текущего промаха h и требуемого поперечного ускорения jу наводимого ЛА в процессе сравнения с перехватом по наиболее распространенному [1] методу пропорционального наведения (МПН): Траектории ГЗЛА и перехватчиков, управляемых по НМН и МПН, показаны на фиг. 4. На этой фигуре приняты следующие обозначения: 1-6 - наведение по НМН (сплошная линия); 7-12 - наведение по МПН (штриховая линия); 1 и 2, 7 и 8 - начальная высота перехватчика 5 км; 3 и 4, 9 и 10 - начальная высота перехватчика 10 км; 5 и 6, 11 и 12 - начальная высота перехватчика 20 км; 1, 3, 5, 7, 9, 11 - начальная ошибка наведения Δϕ = -15°; 2, 4, 6, 8, 10, 12 - начальная ошибка наведения Δϕ = 15°. Из фиг. 4 видно, что перехват по НМН реализуется во всем поле высот применения с достаточно большими первоначальными угловыми ошибками, в то время как при использовании традиционного МПН перехват не выполняется. На фиг. 5 и 6 показаны соответствующие текущие ошибки наведения по углу и текущие промахи. Из этих фигур видно, что НМН реализует существенно более высокую точность наведения, обеспечивая сведение угловых ошибок и промахов практически к нулю, несмотря на очень сложный закон движения ГЗЛА, в то время как использование МПН приводит к их нарастанию, свидетельствуя о невозможности перехвата. Из фиг. 7 видно, что перехват по НМН выполняется в реализуемом на практике диапазоне поперечных ускорений, в то время как при МПН требуются очень большие, не реализуемые на практике значения ускорений. В заключение необходимо отметить, что предлагаемое изобретение может быть реализовано в существующих самолетах и ракетах. Источники информации 1. Меркулов В.И., Дрогалин В.В., Канащенков А.И. и др. Авиационные системы радиоуправления. Т. 2. Радиоэлектронные системы самонаведения. / Под ред. А.И. Канащенкова и В.И. Меркулова. - М.: Радиотехника, 2003 - 389 с. 2. Меркулов В.И., Соколов Д.А. Устранение несоответствия динамических свойств подсистем в процессе их совместного функционирования в составе сложных технических систем управления. // Динамика сложных систем. 2016. №1. С. 26-32. 3. Меркулов В.И. Оптимизация систем управления по локальным квадратично-биквадратным функционалам качества. // Информационно-измерительные и управляющие системы. 2016. №11. С. 27-33.







- дальность до цели и скорость ее изменения;
и
- центрированные гауссовские возмущения, действующие на перехватчик и ГЗЛА.




,
и
, 
,
и
,
, что не накладывает ограничений на возможность его формирования.
,
и
,
, полученных от бортовых измерителей либо от других источников информации.
и передающий их на усилители 3-7;
сигнал
и передающий его на сумматор 8;
сигнал
и передающий его на сумматор 8;
сигнал
и передающий его на сумматор 8;
сигнал
и передающий его на сумматор 8;
и передающий его на сумматор 8;