Изобретение относится к соли 4-метилбензолсульфокислоты и основания 2,2-диметил-6-((4-((3,4,5-триметоксифенил)амино)-1,3,5-триазин-2-ил)амино)-2Н-пиридо[3,2-b][1,4]оксазин-3(4Н)-она, ее гидрату, сольвату или полиморфной модификации соли, гидрата или сольвата, которая эффективно ингибирует киназы семейства SrcИзобретение также относится к применению соли для предупреждения и/или лечения расстройства, связанного с аберрантной активностью киназы, и к фармацевтической композиции. Технический результат: получена новая соль 4-метилбензолсульфокислоты и основания 2,2-диметил-6-((4-((3,4,5-триметоксифенил)амино)-1,3,5-триазин-2-ил)амино)-2Н-пиридо[3,2-b][1,4]оксазин-3(4Н)-она, которую можно применять для предупреждения и/или лечения расстройства, связанного с аберрантной активностью киназы. 3 н. и 13 з.п. ф-лы, 21 ил., 11 табл., 1 пр.
1. Соль 4-метилбензолсульфокислоты и основания 2,2-диметил-6-((4-((3,4,5-триметоксифенил)амино)-1,3,5-триазин-2-ил)амино)-2Н-пиридо[3,2-b][1,4]оксазин-3(4Н)-она: ее гидрат, сольват или полиморфная модификация соли, гидрата или сольвата. 2. Соль по п. 1, представляющая собой гидрат или полиморфную модификацию гидрата. 3. Соль по п. 2, в которой полиморфная модификация гидрата представляет собой кристаллическую фазу, характеризующуюся параметрами элементарной ячейки, равными 4. Соль по п. 2, в которой полиморфная модификация гидрата представляет собой кристаллическую фазу, характеризующуюся параметрами элементарной ячейки, равными 5. Применение соли по любому из пп. 1-4 для предупреждения и/или лечения расстройства, связанного с аберрантной активностью киназы. 6. Применение по п. 5, характеризующееся тем, что киназа представляет собой нерецепторную протеинкиназу. 7. Применение по п. 6, характеризующееся тем, что нерецепторная протеинкиназа выбрана из Syk киназы или киназы Src-семейства. 8. Применение по п. 7, характеризующееся тем, что киназа Src-семейства представляет собой c-Src, Yes, Fyn, Fgr, Yrk, Lyn, Blk, Hck или Lck киназу. 9. Фармацевтическая композиция для предупреждения и/или лечения расстройства, связанного с аберрантной активностью киназы, содержащая терапевтически эффективное количество соли по любому из пп. 1-4 и по меньшей мере одно фармацевтически приемлемое вспомогательное вещество. 10. Фармацевтическая композиция по п. 9, характеризующаяся тем, что вспомогательное вещество представляет собой носитель и/или эксципиент. 11. Фармацевтическая композиция по п. 9, характеризующаяся тем, что киназа представляет собой нерецепторную протеинкиназу. 12. Фармацевтическая композиция по п. 11, характеризующаяся тем, что нерецепторная протеинкиназа выбрана из Syk киназы или киназы Src-семейства. 13. Фармацевтическая композиция по п. 12, характеризующаяся тем, что киназа Src-семейства представляет собой c-Src, Yes, Fyn, Fgr, Frk, Lyn, Blk, Hck или Lck киназу. 14. Фармацевтическая композиция по п. 9, характеризующаяся тем, что расстройство, связанное с аберрантной активностью киназы, представляет собой заболевание, ассоциированное с нарушением метаболизма костной и/или хрящевой тканей. 15. Фармацевтическая композиция по п. 14, характеризующаяся тем, что заболевание, ассоциированное с нарушением метаболизма костной и/или хрящевой тканей, представляет собой заболевание опорно-двигательного аппарата. 16. Фармацевтическая композиция по п. 15, характеризующаяся тем, что заболевание опорно-двигательного аппарата представляет собой остеоартроз, остеопороз или остеохондроз.



и характеристическими пиками на дебаеграмме при углах дифракции (2θ) 6,1; 8,8; 10,6; 11,0; 11,5; 12,3; 15,0; 15,2; 15,5; 15,8; 16,1; 16,3; 17,3; 17,6; 17,9; 18,5; 19,5; 20,5; 20,7; 20,8; 24,6; 24,8; 25,1; 26,1; 26,5; 26,9; 30,1; и 43,0, полученными методом порошковой рентгеновской дифракции при температуре 25±5°С с использованием CuKα1 излучения при длине волны 
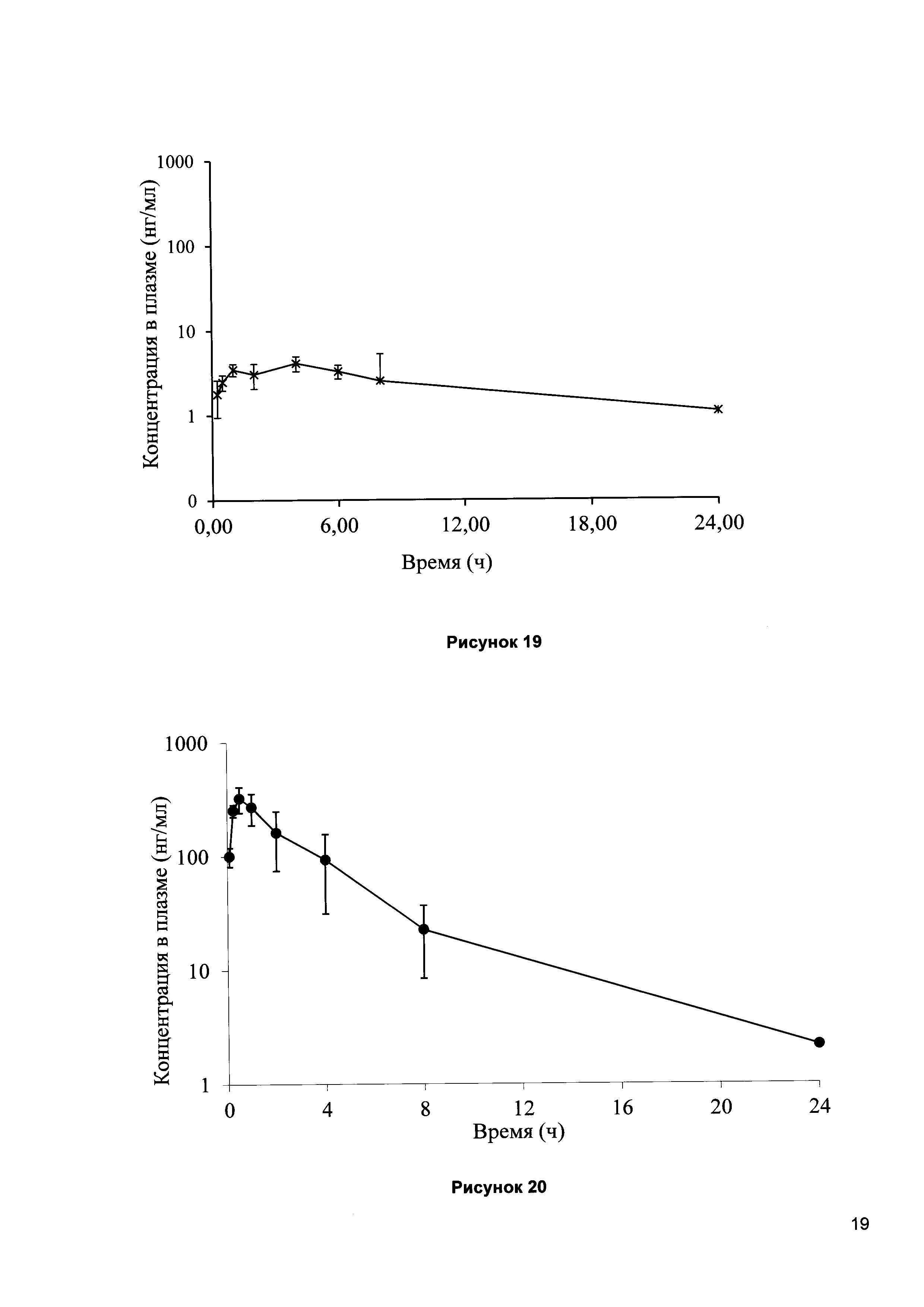
Область техники Данное изобретение относится к химии органических соединений, фармакологии и медицине, а именно, к солевой форме соединения, а также к ее кристаллическим (полиморфным) формам, являющихся перспективными для лечения заболеваний опорно-двигательного аппарата, связанных с нарушением метаболизма костной и/или хрящевой тканей, в частности, остеопороза, остеоартроза и остеохондроза. Уровень техники Проблема увеличения таких заболеваний опорно-двигательного аппарата как остеопороз, остеоартроз и остеохондроз приобретает все большую актуальность, что отражено в многочисленных публикациях на эту тему. Несмотря на усилия специалистов разного профиля, эта проблема еще далека от разрешения. Остеопороз является наиболее распространенным заболеванием костей у человека. Это хроническое системное заболевание костной ткани, которое характеризуется уменьшением костной массы и развитием нарушений микроархитектуры костной ткани, что приводит к снижению прочности кости и предрасположенности к патологическим переломам. В настоящее время выделяют два основных типа остеопороза - первичный и вторичный. В качестве лекарственных средств для лечения остеопороза используют препараты, замедляющие костную резорбцию (эстрогены, селективные модуляторы эстрогенных рецепторов, тканеселективные регуляторы эстрогенной активности, кальцитоны, бисфосфонаты и другие средства (оданакатиб, деносумаб и прочие)); препараты, стимулирующие костеобразование (фториды, гормон роста, анаболические стероиды, андрогены); препараты многопланового действия (стронция ранелат, активные метаболиты витамина Д, оссеин-гидроксиапатитный комплекс). Проблема медикаментозной терапии остеопороза остается актуальной, несмотря на большой выбор одобренных средств. Серьезные побочные эффекты, вызванные продолжительным приемом лекарственных средств, и низкая приверженность к длительной терапии - основные недостатки существующей терапии. Остеоартроз (OA) рассматривается как органное поражение, т.е. заболевание всего сустава, при котором в патологический процесс вовлекаются все компоненты сустава: хрящ, субхондральная кость, синовиальная оболочка, связки, капсула, мышцы. До сих пор лечение OA направлено прежде всего на симптомы болезни, т.е. на уменьшение боли, улучшение функционального состояния суставов и замедление развития патологии. Симптоматическое воздействие достигается комбинацией нефармакологических и медикаментозных методов, изложенных в многочисленных рекомендациях. Существующие методы лечения в большинстве случаев не позволяют добиваться восстановления тканей сустава, предотвращения развития патологии или хотя бы длительного и надежного ограничения прогрессирования заболевания. Таким образом, существует потребность в разработке новых эффективных лекарственных средств с другими механизмами действия для лечения заболеваний опорно-двигательного аппарата, связанных с нарушением метаболизма костной и/или хрящевой тканей, таких как остеопороз, остеоартроз и остеохондроз. Одним из наиболее интересных направлений представляется использование модулирования внутриклеточных сигнальных путей. Протеинкиназы являются важным семейством белков, участвующим в регуляции ключевых клеточных процессов, нарушение активности которых может приводить к различным заболеваниям. Перспективным подходом для терапии заболеваний, ассоциированных с нарушенной активностью протеинкиназ, является применение низкомолекулярных химических соединений для ингибирования их активности. Примерами таких ингибиторов, одобренных для применения в клинической практике, являются: Иматиниб (Imatinib), Нилотиниб (Nilotinib), Дазатитниб (Dasatinib), Сунитиниб (Sunitinib), Сорафениб (Sorafenib), Лапатиниб (Lapatinib), Гефитиниб (Gefitinib), Эрлотиниб (Erlotinib), Кризотиниб (Crizotinib). Большое количество лекарственных кандидатов - ингибиторов киназ, находятся в настоящее время на стадии клинических испытаний или на стадии доклинической разработки. c-Src киназа (Proto-oncogene tyrosine-protein kinase) - не связанная с клеточным рецептором тирозинкиназа, участвующая в процессах эмбрионального развития и клеточного роста. На различных in vitro моделях было показано, что ингибирование c-Src киназы блокирует образование актинового кольца и предотвращает опосредованное остеокластами разрушение кости. Кроме того, c-Src киназа участвует в сигнальных каскадах, приводящих к гипертрофическим изменениям хондроцитов, ассоциированным с аберрантным метаболизмом хрящевой ткани, характерным для заболеваний, связанных с дистрофически-дегенеративным процессами этой ткани. Ранее было показано, что саракатиниб является новым конкурентным ингибитором Src киназы, который ингибирует резорбцию костной ткани in vitro. В ходе проведения I фазы клинических испытаний было установлено, что саракатиниб ингибирует остеокласт-опосредованную резорбцию костной ткани у здоровых мужчин без каких-либо побочных эффектов (R.A. Hannon, G. Clack, М. Rimmer et al. Effects of the Src kinase inhibitor saracatinib (AZD0530) on bone turnover in healthy men: a randomized, doubleblind, placebo-controlled, multiple ascending dose phase I trial. // J Bone Miner Res. 2010. V. 25. №3. P. 463-71.). Однако, как показали дальнейшие клинические исследования, высокая токсичность саракатиниба при ежедневном применении в терапевтически эффективной дозе, делает невозможным применения данного препарата в клинической практике для лечения заболеваний опорно-двигательного аппарата. Таким образом, ингибирование c-Src киназы является крайне перспективной стратегией борьбы с остеопорозом, остеоартрозом и другими заболеваниями опорно-двигательного аппарата, патогенез которых связан с аберрантным метаболизмом костной и хрящевой тканей. Однако на сегодняшний день препараты на основе ингибиторов Src-киназы отсутствуют в клинической практике лечения заболеваний опорно-двигательного аппарата. Таким образом, возникает задача поиска и создания новых эффективных лекарственных средств, ингибиторов киназы c-Src, для лечения остеопороза, остеоартроза и других заболеваний опорно-двигательного аппарата. Раскрытие изобретения Задачей настоящего изобретения является разработка нового лекарственного средства, эффективного для лечения заболеваний опорно-двигательного аппарата, в частности, остеоартроза, остеопороза, и обладающего приемлемыми фармакокинетическими параметрами. Техническим результатом данного изобретения является разработка и получение эффективного ингибитора киназы, в частности c-Src киназы, характеризующегося высокой ингибирующей активностью и фармакокинетическими характеристиками, в частности, высокой максимальной и среднесуточной концентрацией, а также высоким значением параметра AUC∞ (площади под кривой «концентрация-время») в крови животных и человека, позволяющих использовать данный ингибитор для лечения заболеваний, связанных с аберрантной активностью киназ, приводящей к нарушению метаболизма костной и хрящевой ткани, а именно для заболеваний опорно-двигательного аппарата, в частности, остеоартроза, остеопороза. Дополнительным техническим результатом является разработка и получение ингибитора киназы, в частности c-Src киназы, характеризующегося легкостью масштабирования процесса получения и очистки, а также характеризующейся высокой чистотой получаемого продукта при минимальном использовании стадий очистки получаемого соединения. Указанный технический результат достигается путем получения соли 4-метилбензолсульфокислоты и основания 2,2-диметил-6-((4-((3,4,5-триметоксифенил) амино)-1,3,5-триазин-2-ил)амино)-2Н-пиридо[3,2-b][1,4]оксазин-3(4Н)-она или ее гидрата, сольвата, а также полиморфных модификаций, обладающих способностью ингибировать аберрантную активность киназ Src-семейства, в частности с-Src киназы, а также Syk киназы. В частных вариантах воплощения изобретения соль 4-метилбензолсульфокислоты и основания 2,2-диметил-6-((4-((3,4,5-триметоксифенил) амино)-1,3,5-триазин-2-ил)амино)-2Н-пиридо[3,2-b][1,4]оксазин-3(4Н)-она представляет собой гидрат, а также его полиморфные модификации. Некоторыми вариантами воплощения изобретения являются моногидрат 4-метилбензолсульфокислоты и основания 2,2-диметил-6-((4-((3,4,5-триметоксифенил)амино)-1,3,5-триазин-2-ил)амино)-2Н-пиридо[3,2-b][1,4]оксазин-3(4Н)-она, а также его полиморфные модификации. Одним из предпочтительных вариантов воплощения изобретения является полиморфная модификация моногидрата 4-метилбензолсульфокислоты и основания 2,2-диметил-6-((4-((3,4,5-триметоксифенил)амино)-1,3,5-триазин-2-ил)амино)-2Н-пиридо[3,2-b][1,4]оксазин-3(4Н)-она, представляющая собой кристаллическую фазу со следующими параметрами элементарной ячейки, определенными методом порошковой рентгеновской дифракции при 25±5°C с использованием CuKα1 излучения при длине волны 1,5406 Å, равными а=10,98±0,05 Å, b=28,48±0,05 Å, с=10,60±0,05 Å, β=113,7±0,1° и объемом V=3037,5±0,5 Å3. Пространственная группа P21/c. Положения характеристических дифракционных пиков на дебаеграмме данной полиморфной модификации (2θ): 6,2; 8,8; 9,6; 10,7; 11,0; 11,6; 12,4; 15,3; 16,2; 16,5; 17,0; 17,4; 17,6; 17,9; 18,3; 18,6; 19,3; 19,3; 19,6; 20,6; 20,9; 23,5; 25,2; 26,2; 26,5; 27,2; 27,6; 30,2. Другим предпочтительным вариантом воплощения изобретения является полиморфная модификация моногидрата 4-метилбензолсульфокислоты и основания 2,2-диметил-6-((4-((3,4,5-триметоксифенил)амино)-1,3,5-триазин-2-ил)амино)-2Н-пиридо[3,2-b][1,4]оксазин-3(4Н)-она, представляющая собой кристаллическую фазу со следующими параметрами элементарной ячейки, определенными методом порошковой рентгеновской дифракции при 25±5°C с использованием CuKα1 излучения при длине волны 1,5406 Å, равными а=11,09±0,05 Å, b=14,38±0,05 Å, с=10,53±0,05 Å, α=90,06°, β=114,6±0,1°, γ=91,1°, объемом V=1525,9±0,5 Å3. Пространственная группа Настоящее изобретение также относится к применению соли или ее гидрата, сольвата, а также полиморфных модификаций по изобретению в качестве ингибитора аберрантной активности киназы. Причем в некоторых вариантах воплощения изобретения киназа представляет собой нерецепторную протеинкиназу, в частности, киназа выбрана из Syk киназы или киназы Src-семейства. Киназа Src-семейства представляет собой c-Src, Yes, Fyn, Fgr, Yrk, Lyn, Blk, Hck или Lck киназу. Указанный технический результат достигается также посредством применения соли или ее гидрата, сольвата, а также полиморфных модификаций по изобретению для получения фармацевтической композиции для предупреждения и/или лечения расстройства, связанного с аберрантной активностью киназы. Причем в некоторых вариантах воплощения изобретения киназа представляет собой нерецепторную протеинкиназу, в частности, киназа выбрана из Syk киназы или киназы Src-семейства. Киназа Src-семейства представляет собой c-Src, Yes, Fyn, Fgr, Yrk, Lyn, Blk, Hck или Lck киназу. Кроме того, изобретение предусматривает фармацевтические композиции для предупреждения и/или лечения расстройства, связанного с аберрантной активностью киназы, и характеризующиеся тем, что они содержит эффективное количество соли по изобретению и, по меньшей мере, одно фармацевтически приемлемое вспомогательное вещество. В некоторых вариантах воплощениях изобретения вспомогательное вещество представляет собой фармацевтически приемлемый носитель и/или эксципиент. Такие композиции предназначены для модулирования активности киназ, представляющих собой нерецепторную протеинкиназу, в частности, киназа выбрана из Syk киназы или киназы Src-семейства. Киназа Src-семейства представляет собой c-Src, Yes, Fyn, Fgr, Yrk, Lyn, Blk, Hck или Lck киназу. Изобретение также включает способ предупреждения и/или лечения расстройства, связанного с аберрантной активностью киназы в организме, включающий введение в указанный организм фармацевтической композиции по изобретению. Такое расстройство, связанное с аберрантной активностью киназы, представляет собой заболевание, связанное с нарушением метаболизма костной и хрящевой тканей, в частности, заболевания опорно-двигательного аппарата. В некоторых неограничивающих вариантах воплощения изобретения заболевание опорно-двигательного аппарата представляет собой остеоартроз или остеопороз. В частных случаях воплощения изобретения организм представляет собой человека или животного. В некоторых вариантах воплощения изобретения животное представляет собой кошку, собаку или лошадь. Достижение указанного технического результата обеспечивается также за счет способа получения кристаллов соединений по изобретению, включающего следующие этапы: a. введение раствора 4-метилбензолсульфокислоты или ее гидрата в органическом растворителе в суспензию или раствор 2,2-диметил-6-((4-((3,4,5-триметоксифенил)амино)-1,3,5-триазин-2-ил)амино)-2Н-пиридо[3,2-b][1,4]оксазин-3(4Н)-она в органическом растворителе или смеси растворителей; введение раствора 4-метилбензолсульфокислоты или ее гидрата может быть осуществлено как при комнатной температуре, так и при нагревании или охлаждении каждого из компонентов; также может быть использован обратный порядок смешивания реагентов; b. кристаллизацию получившейся соли; c. отделение кристаллов соли от растворителя. В некоторых вариантах воплощения изобретения растворитель на стадии (а), используемый в качестве среды для суспендирования 2,2-диметил-6-((4-((3,4,5-триметоксифенил)амино)-1,3,5-триазин-2-ил)амино)-2Н-пиридо[3,2-b][1,4]оксазин-3(4Н)-она, представляет собой ацетон. В частных случаях воплощения изобретения растворитель на стадии (а), используемый для приготовления раствора 4-метилбензолсульфокислоты или ее гидрата представляет собой этанол. В некоторых вариантах воплощения изобретения после стадии (с) дополнительно осуществляют перекристаллизацию соли. В некоторых других частных случаях воплощения изобретения после стадии (а) дополнительно применяют стадию инициирования образования кристаллов в случаях получения соли из растворов. Инициирование образования кристаллов может быть достигнуто путем введения в раствор кристаллов соли 4-метилбензолсульфокислоты и основания 2,2-диметил-6-((4-((3,4,5-триметоксифенил)амино)-1,3,5-триазин-2-ил)амино)-2Н-пиридо[3,2-b][1,4]оксазин-3(4Н)-она или любым иным известным способом. В частных случаях воплощения изобретения до стадии (а) дополнительно применяют стадию очистки основания 2,2-диметил-6-((4-((3,4,5-триметоксифенил)амино)-1,3,5-триазин-2-ил)амино)-2Н-пиридо[3,2-b][1,4]оксазин-3(4Н)-она путем превращения его в соль серной, соляной, бензолсульфо-, 4-метилбензолсульфо-, 2-метилбензолсульфо-, метансульфо-, лимонной, фосфорной, трифторуксусной, 4-нитробензолсульфо-, тетрафторборной, гексафторфосфорной или иной кислоты с последующим получением из этой соли основания 2,2-диметил-6-((4-((3,4,5-триметоксифенил)амино)-1,3,5-триазин-2-ил)амино)-2Н-пиридо[3,2-b][1,4]оксазин-3(4Н)-она и повторным синтезом из этого основания соли с 4-метилбензолсульфокислотой. Свободное основание 2,2-диметил-6-((4-((3,4,5-триметоксифенил)амино)-1,3,5-триазин-2-ил)амино)-2Н-пиридо[3,2-b][1,4]оксазин-3(4Н)-он известно и описано в патенте RU 2509770. Подробное раскрытие изобретения В результате проведенных исследований было обнаружено, что 2,2-диметил-6-((4-((3,4,5-триметокси-фенил)амино)-1,3,5-триазин-2-ил)амино)-2Н-пиридо[3,2-b][1,4]оксазин-3(4Н)-он (далее - Соединение 1) обладает модулирующей активностью в отношении киназ семейства Src, в частности, в отношении киназы c-Src человека с полумаксимальной ингибирующей концентрацией в наномолярном диапазоне. В то же время, было установлено, что данное соединение не обладает приемлемыми фармакокинетическими характеристиками, позволяющими использовать его в клинической практике в качестве лекарственного средства для лечения заболеваний, связанных с аберрантной активностью киназ, приводящей к аберрантному метаболизму костной и хрящевой ткани. Так, в частности, при исследовании фармакокинетики Соединения 1 при пероральном введении крысам в дозе 30 мг/кг максимальная концентрация в плазме крови животных была в 100 раз ниже минимальной действующей концентрации, определенной в исследованиях эффективности (подробнее см. в разделе «примеры»). Данная проблема, как это описано в настоящем изобретении, решается посредством разработки и создания новой солевой формы, представляющей собой соль 4-метилбензолсульфокислоты и Соединения 1, выступающего в роли основания. Было обнаружено, что соль 4-метилбензолсульфокислоты и Соединения 1 наиболее эффективно ингибирует активность c-Src киназы (IC50=14 нмоль/л). Кроме того был обнаружен выраженный ингибирующий эффект данной солевой формы Соединения 1 на катаболизм костной ткани. Указанный эффект связан с ингибированием остеокласт-опосредованной резорбции костной ткани, что было доказано в экспериментах in vitro на модельной системе с использованием зрелых остеокластов человека. Соединения по изобретению являются перспективными для лечения заболеваний опорно-двигательного аппарата, связанных с аберрантным метаболизмом костной ткани, и в особенности для лечения заболеваний, резистентных к другим способам терапии. К подобным заболеваниям относится, например, остеопороз, в частности вторичный остеопороз и особенно, вторичный остеопороз при ревматоидном артрите. Кроме того, соль 4-метилбензолсульфокислоты и Соединения 1, а также ее гидрат (в частности моногидрат) и/или полиморфные модификации могут применяться для лечения заболеваний, связанных с уменьшением минеральной массы и плотности кости, изменением качества кости из-за нарушения микроархитектоники, накопления микроповреждений, нарушения минерализации и скорости ремоделирования костной ткани. В ходе исследования было неожиданно обнаружено, что соль 4-метилбензолсульфокислоты и Соединения 1, а также ее сольват, гидрат (в частности, моногидрат) и полиморфные модификации, обладают подходящими фармакокинетическими параметрами и могут быть использованы для терапии заболеваний, характеризующихся аберрантным метаболизмом костной и хрящевой тканей. Неожиданно оказалось, что использование соли 4-метилбензолсульфокислоты и Соединения 1 при однократном введении можно осуществлять в существенно более низкой дозе по сравнению с другими солевыми формами Соединения 1 для достижения необходимого терапевтического эффекта. В эксперименте in vivo также было обнаружено, что гидрат соли 4-метилбензолсульфокислоты и Соединения 1 обладает линейной фармакокинетикой в широком диапазоне доз - при внутрижелудочном введении лекарственного средства крысам линии Wistar. Среднесуточная концентрация Соединения 1 в органахмишенях (костной и хрящевой тканях) более чем втрое превышает среднесуточную концентрацию Соединения 1 в плазме крови животных. Помимо этого, исследование биологической активности солевой формы Соединения 1 по изобретению позволило установить выраженный дозозависимый положительный эффект на IL-1β индуцированные гипертрофические изменения хондроцитов, ассоциированные с аберрантным метаболизмом хрящевой ткани, характерные для остеоартроза, заключающиеся в значительном повышении экспрессии аггрекана. Данный эффект приводит к ускорению анаболизма хрящевой ткани, связанному с более чем четырехкратным увеличением продукции аггрекана - одного из основных компонентов хрящевой ткани. Таким образом, использование ингибитора киназ семейства Src, в частности, киназы c-Src по изобретению как препарата для монотерапии или в сочетании с другими средствами терапии заболеваний опорно-двигательного аппарата позволит достигнуть существенной и длительной ремиссии. Также ингибитор киназы c-Src по изобретению может быть использован как средство поддерживающей терапии, предназначенное для предотвращения возможных рецидивов у пациентов, нуждающихся в таком лечении. Описание рисунков Рисунок 1. Кристаллизация солей Соединения 1 в масштабе 100 мг. Рисунок 2. Кристаллизация солей Соединения 1 в масштабе 2000 мг. Рисунок 3. Результаты элементного анализа солевых форм Соединения 1. В скобках приведены рассчитанные значения для моногидратов соответствующих солей. Рисунок 4. Картины дифракции рентгеновских лучей на порошке соли соляной кислоты и Соединения 1: а) образец S-3-10-B-HCl; б) образец S-3-11-C2-HCl. Рисунок 5. Картины дифракции рентгеновских лучей на порошке соли бромоводородной кислоты и Соединения 1 (образец S-3-8-B-HBr). Рисунок 6. Картины дифракции рентгеновских лучей на порошке соли серной кислоты и Соединения 1 (образец S-3-16-D-SA). Рисунок 7. Картины дифракции рентгеновских лучей на порошке соли камфорной кислоты и Соединения 1 (образец S-3-9-B-CSA). Рисунок 8. Картины дифракции рентгеновских лучей на порошке соли метансульфокислоты и Соединения 1 (образец S-3-17-D-MSA). Рисунок 9. Картины дифракции рентгеновских лучей на порошке моногидрата соли 4-метилбензолсульфокислоты и Соединения 1: а) образец S-3-12-A1-TSA, полиморфная модификация «А»; б) образец SYK 91/1, полиморфная модификация «В». Рисунок 10. Кривые ТГА (термогравиметрический анализ) и ДСК (дифференциальная сканирующая калориметрия) гидрата соли 4-метилбензолсульфокислоты и Соединения 1 (образец S-3-12-A1-TSA, полиморфная модификация «А»). Рисунок 11. Общий вид независимой части элементарной ячейки гидрата соли 4-метилбензолсульфокислоты и Соединения 1: а) образец S-3-12-A1-TSA, полиморфная модификация «А»; б) образец SYK 91/1, полиморфная модификация «В». Рисунок 12. Влияние гидрата соли 4-метилбензолсульфокислоты и Соединения 1 (полиморфная модификация «А») на активность c-Src киназы человека. Рисунок 13. Спектры ядерного магнитного резонанса1Н и13С образца гидрата соли 4-метилбензолсульфокислоты и Соединения 1 (полиморфная модификация «А»): а)1Н-ЯМР спектр (Bruker DRX500, 13400, 500,13 МГц, ДМСО-d6); б)13С-ЯМР спектр (Bruker DRX500, 125,76 МГц, ДМСО-d6). Рисунок 14. Спектры ядерного магнитного резонанса1Н и13С образца гидрата соли 4-метилбензолсульфокислоты и Соединения 1 (полиморфная модификация «В»): а)1Н-ЯМР спектр (Bruker DRX500, 13, 500,13 МГц, ДМСО-d6); б)13С-ЯМР спектр (Bruker DRX500, 13 125,76 МГц, ДМСО-d6). Рисунок 15. Кривые ВЭЖХ анализа образца свободного основания Соединения 1. Рисунок 16. Кривые ВЭЖХ анализа образца соли метансульфокислоты и Соединения 1. Рисунок 17. Кривые ВЭЖХ анализа образца гидрата соли 4-метилбензолсульфокислоты и Соединения 1: а) полиморфная модификация «А»; б) полиморфная модификация «В». Рисунок 18. Влияние Саракатиниба, Босутиниба и Соединения 1 на относительную резорбцию минерализированной матрицы. Рисунок 19. Средние концентрации Соединения 1 в плазме крови крыс линии Wistar после однократного перорального введения свободного основания в дозе 30 мг/кг. Для каждой временной точки средние значения определены на основе индивидуальных данных, полученных от трех животных. Рисунок 20. Средние концентрации Соединения 1 в плазме крови крыс линии Wistar после однократного перорального введения мезилата Соединения 1 в дозе 30 мг/кг (в пересчете на свободное основание). Для каждой временной точки средние значения определены на основе индивидуальных данных, полученных от трех животных. Рисунок 21. Средние концентрации Соединения 1 в плазме крови крыс линии Wistar после однократного перорального введения гидрата соли 4-метилбензолсульфокислоты и Соединения 1 (полиморфная модификация «А») в дозе 21 мг/кг (в пересчете на свободное основание). Для каждой временной точки средние значения определены на основе индивидуальных данных, полученных от шести животных. Термины и определения Как используется в настоящем документе, термин «Соединение 1» относится к 2,2-диметил-6-((4-((3,4,5-триметокси-фенил)амино)-1,3,5-триазин-2-ил)амино)-2Н-пиридо[3,2-b][1,4]оксазин-3(4Н)-ону, также представленному структурной формулой: Термин «С», когда он используется со ссылкой на температуру, означает стоградусную шкалу или температурную шкалу Цельсия. Термин «IC50» означает концентрацию тестируемого соединения, при которой достигается полумаксимальное ингибирование активности киназы. Термин «суспензия» относится к твердому веществу, суспендированному в жидкой среде, обычно воде или органическом растворителе. Термин «модулирование» в настоящем документе относится к изменению каталитической активности киназы. В частности, модулирование относится к активации или ингибированию каталитической активности киназы. Термин «полиморфная модификация» относится к твердой фазе вещества, которая проявляется в нескольких отличающихся формах, вследствие разного расположения и/или конформации молекул в кристаллической решетке. Полиморфные модификации обычно имеют разные химические и физические свойства. Кроме того, термин «полиморфная модификация» также относится к сольватам, гидратам (т.е. кристаллическим формам, содержащим растворитель или воду), равно как и к разным несольватированным и негидратированным кристаллическим формам соединения. Термин «сольват» используется для описания молекулярного комплекса, содержащего соединение по изобретению и одну или более молекул фармацевтически приемлемого растворителя, например этанола. Термин «гидрат» используется, когда указанным растворителем является вода. Термин «картина порошковой рентгеновской дифракции» или «PXRD-картина» относится к экспериментально наблюдаемой дифрактограмме или полученным из нее параметрам. Обычно картины порошковой рентгеновской дифракции характеризуются положением пика (по оси абсцисс) и интенсивностью пика (по оси ординат). Термин «интенсивность пика» относится к относительной интенсивности сигнала на данной картине рентгеновской дифракции. Факторами, влияющими на относительную интенсивность пика, являются толщина образца и предпочтительная ориентация (т.е. распределение кристаллических частиц не является случайным). Термин «положения пика», как используется в настоящей заявке, относится к положению рентгеновского рефлекса, измеренного и наблюдаемого в экспериментах порошковой дифракции. Положения пиков напрямую связаны с размерами элементарной ячейки. Пики, идентифицированные по их соответствующему положению, получают, исходя из картины дифракции для различных полиморфных форм солей 2,2-диметил-6-((4-((3,4,5-триметоксифенил)амино)-1,3,5-триазин-2-ил)амино)-2Н-пиридо[3,2-b][1,4]оксазин-3(4Н)-она. Термин «значение 2 тета» или «2θ» относится к положению пика в градусах, исходя из экспериментальных данных рентгеновской дифракции, и в основном представляет собой единицу измерения на оси абсцисс на картинах дифракции. θ - угол, при котором выполняется условие дифракции для данной длины волны. Угол между направлением дифракционного луча и первичным пучком составляет 2θ. Следует понимать, что отсылка в данной заявке на специфические значения 2θ для специфической полиморфной формы предполагает значение 2θ в градусах, измеренные с использованием экспериментальных условий рентгеновской дифракции, раскрытых в настоящей заявке. Термин «аберрантная активность» киназы в настоящем документе означает киназную активность, существенно отличающуюся от базового уровня активности этой киназы в клетках при отсутствии патологии. Аберрантная активность может быть вызвана изменением уровня экспрессии киназы, нарушением процессов, приводящих к активации киназы, дерегулированием путей деградации, а также другими факторами. Термин «вспомогательное вещество» означает любое фармацевтически приемлемое вещество неорганического или органического происхождения, входящее в состав лекарственного препарата или используемое в процессе производства, изготовления лекарственного препарата для придания ему необходимых физико-химических свойств. Термин «AUC» (area under the curve) означает фармакокинетический параметр, характеризующий суммарную концентрацию лекарственного препарата в плазме крови в течение всего времени наблюдения. Математически определяется как интеграл от 0 до ∞ функции концентрации препарата (фармакокинетической кривой) в плазме крови от времени и равен площади фигуры, ограниченной фармакокинетической кривой и осями координат. Src-семейство киназ (Src family kinase) - семейство нерецепторных тирозиновых протеинкиназ млекопитающих, схожих по структуре с c-Src киназой. У позвоночных известно девять киназ Src-семейства: Src, Yes, Fgr, Fyn, Lyn, Hck, Lck, Blk, Frk. Киназы данного семейства участвуют в регуляции клеточного роста, внутриклеточной передаче сигнала и в частности, сигнальных путях Т- и В-клеточных рецепторов, адгезивных взаимодействиях клеток и т.д. Киназы Src-семейства принимают активное участие в процессах, связных с метаболизмом хрящевой и костной ткани, а так же в развитии воспалительных процессов аутоиммунной природы. c-Src киназа играет ключевую роль в образовании актинового кольца - уникального цитоскелета остеокластов, необходимого для резорбции костной ткани. Syk-киназа (Spleen tyrosine kinase) - нерецепторная цитоплазматическая тирозинкиназа, участвующая в передаче сигнала антигенными и Fc рецепторами, BCR и другими рецепторами. Наиболее интенсивно Syk киназа экспрессируется в гематопоэтических клетках (таких как макрофаги, тучные клетки, лейкоциты, тромбоциты и эритроциты), в меньшей степени - в эпителиальных клетках, фибробластах, нейрональных клетках, гепатоцитах и т.д. (Yanagi, S., et al., Biochem BiophysRes Commun, 2001, 288, 495-8). Syk киназа участвует в развитии адаптивного иммунитета и имеет важное значение в функции дополнительных типов клеток, в том числе тромбоцитов, фагоцитов, фибробластов, и остеокластов. Syk киназа играет роль в дифференцировке и функционировании остеокластов. Кроме того, Syk киназа играет определенную роль в процессе остеолиза. Термины «лечение», «терапия» охватывают лечение патологических состояний у млекопитающих, предпочтительно у человека, и включают: а) снижение, б) блокирование (приостановку) течения заболевания, в) облегчение тяжести заболевания, т.е. индукцию регрессии заболевания, г) реверсирование заболевания или состояния, к которому данный термин применяется, или одного или более симптомов данного заболевания или состояния. Термин «профилактика», «предотвращение» охватывает устранение факторов риска, а также профилактическое лечение субклинических стадий заболевания у млекопитающих, предпочтительно у человека, направленное на уменьшение вероятности возникновения клинических стадий заболевания. Пациенты для профилактической терапии отбираются на основе факторов, которые, на основании известных данных, влекут увеличение риска возникновения клинических стадий заболевания по сравнению с общим населением. К профилактической терапии относится а) первичная профилактика и б) вторичная профилактика. Первичная профилактика определяется как профилактическое лечение у пациентов, клиническая стадия заболевания у которых еще не наступила. Вторичная профилактика - это предотвращение повторного наступления того же или близкого клинического состояния заболевания. Соединения настоящего изобретения перспективны для лечения заболеваний опорно-двигательного аппарата, связанных с нарушением метаболизма костной и/или хрящевой тканей и дистрофически-дегенеративным процессами в них, в частности, остеопороза, остеоартроза (деформирующего артроза) и остеохондроза любой этиологии, имеющих как системный, так и локальный характер, в том числе, обусловленных первичными патологическими изменениями в этих тканях, или связанных с различными заболеваниями или длительным приемом некоторых лекарственных препаратов. В некоторых частных вариантах соединения по изобретению могут быть использованы для лечения постменопаузального остеопороза, сенильного, лекарственного остеопороза, остеопороза при злокачественных новообразованиях, вторичного остеопороза при ревматоидном артрите, гонартроза, коксартроза, поясничного, грудного, шейного остеохондроза и др. Солевая форма Поиск подходящей соли для соответствующего лекарства является важным моментом в доклинической фазе разработки лекарства. Изменение солевой формы действующего вещества лекарства является общераспространенным средством модификации его химических и биологических характеристик, не ведущей к модификации его структуры. Выбор конкретной солевой формы может глубоко повлиять на физико-химические свойства данного лекарства (например, скорость растворения, растворимость, устойчивость и гигроскопичность). Замена одной солевой формы в лекарстве на другую может изменить терапевтическую эффективность, безопасность применения и/или качество, которые являются особо важными для оптимального состава лекарственной формы крупномасштабного производства. Тем не менее, отсутствует надежный способ точного прогнозирования, как повлияет изменение солевой формы активного вещества лекарства на его биологическую активность. Более того, даже после приготовления большого количества солей на основе одного главного компонента, эффективный метод отбора, облегчающий подбор наиболее подходящей соли, обладающей желаемыми фармакокинетическими свойствами, растворимостью и рецептурным профилем, не был разработан. Коротко говоря, не существует надежного способа предсказания влияния конкретных видов солей на поведение исходного соединения в лекарственных формах (Berge et al., Pharmaceutical Salts // Journal Pharm. ScL, 1977, Vol. 66, No. 1; Verbeeck et al. Generic substitution: The use of medicinal products containing different salts and implications for safety and efficacy // EP Journal Pharm. Sci, 28, 2006, 1-6.). Твердые солевые формы обычно являются предпочтительными для пероральных препаратов, поскольку именно они склонны к проявлению желаемых физических характеристик; и в случае основных лекарственных средств соли присоединения кислоты часто являются предпочтительной солевой формой. Как уже упоминалось выше, различные солевые формы сильно различаются по их способности придавать желаемые свойства (такие как стабильность при хранении, легкость процесса получения и очистки, фармакокинетические параметры), и такие свойства не могут быть предсказаны с достаточной точностью. Например, некоторые соли представляют собой твердые вещества при температуре окружающей среды, в то же время другие соли представляют собой жидкости, вязкие масла или смолы. Кроме того, некоторые солевые формы являются стабильными к воздействию тепла и света в экстремальных условиях, а другие легко разлагаются при гораздо более мягких условиях. Таким образом, разработка подходящей формы соли присоединения кислоты основного лекарственного средства для использования в фармацевтической композиции является крайне важным и далеко не всегда предсказуемым процессом. Фармакокинетические параметры являются важнейшими характеристиками, определяющими пригодность твердой солевой формы (или конкретной полиморфной модификации) для использования в качестве лекарственного средства. Среднесуточная и максимальная концентрация лекарственного препарата в крови животных и человека может существенно зависеть от состава солевой формы и ее полиморфной модификации. Возможность крупномасштабного производства выбранной солевой формы лекарственного вещества и чистота (или сложность очистки) получаемого продукта также являются крайне важными характеристиками, существенно зависящими от выбранной солевой формы. Кроме того, поскольку фармацевтические композиции, содержащие лекарственное вещество, должны иметь адекватную продолжительность хранения, пригодные солевые формы не должны проявлять значительных изменений в физико-химических характеристиках (химический состав, содержание воды, плотность, гигроскопичность, растворимость и т.д.) при хранении в течение существенного периода времени. Твердые вещества, включая фармацевтически активные соединения, часто имеют более чем одну кристаллическую форму, известную как полиморфизм. Полиморфизм имеет место, когда соединение кристаллизуется во множестве разных твердых фаз, которые отличаются кристаллической упаковкой. Обычно полиморфные модификации (полиморфы) имеют разные физические характеристики, включая растворимость и физическую и химическую стабильность. Различные твердые солевые формы одного и того же лекарственного вещества, более того, различные полиморфы одной и той же твердой солевой формы, могут различаться по скорости высвобождения лекарственного средства, по стабильности твердого состояния солевой формы и по пригодности для изготовления фармацевтического препарата. Таким образом, в производстве коммерчески жизнеспособных и фармацевтически приемлемых лекарственных композиций важно, по возможности, представлять лекарство в, по существу, кристаллической и стабильной форме(ах). Способ терапевтического применения соединений Предмет данного изобретения также включает введение субъекту, нуждающемуся в соответствующем лечении, терапевтически эффективного количества соединения по изобретению. Под терапевтически эффективным количеством подразумевается такое количество соединения, вводимого или доставляемого пациенту, при котором у пациента с наибольшей вероятностью проявится желаемая реакция на лечение (профилактику). Точное требуемое количество может меняться от субъекта к субъекту в зависимости от возраста, массы тела и общего состояния пациента, тяжести заболевания, методики введения препарата, комбинированного лечения с другими препаратами и т.п. Соединение по изобретению или фармацевтическая композиция, содержащая соединение, может быть введено в организм пациента в любом количестве (предпочтительно, суточная доза действующего вещества составляет до 1,5 г на пациента в сутки, наиболее предпочтительно, суточная доза составляет 200-500 мг/сутки) и любым путем введения (предпочтительно, пероральный путь введения), эффективным для лечения или профилактики заболевания. После смешения лекарственного препарата с конкретным подходящим фармацевтически допустимым носителем в желаемой дозировке, композиции, составляющие суть изобретения, могут быть введены в организм человека или других животных перорально, парентерально, местно и т.п. Введение может осуществляться как разово, так и несколько раз в день, неделю (или любой другой временной интервал), или время от времени. Кроме того, соединение может вводиться в организм пациента ежедневно в течение определенного периода дней (например, 2-10 дней), а затем следует период без приема вещества (например, 1-30 дней). В том случае, когда соединение по изобретению используется как часть режима комбинированной терапии, доза каждого из компонентов комбинированной терапии вводится в течение требуемого периода лечения. Соединения, составляющие комбинированную терапию, могут вводиться в организм пациента как единовременно, в виде дозировки, содержащей все компоненты, так и в виде индивидуальных дозировок компонентов. Фармацевтические композиции Изобретение также относится к фармацевтическим композициям, которые содержат соединения по изобретению (или пролекарственную форму или другое фармацевтически приемлемое производное) и один или несколько фармацевтически приемлемых носителей, адъювантов, растворителей и/или наполнителей, таких, которые могут быть введены в организм пациента совместно с соединением, составляющем суть данного изобретения, и которые не разрушают фармакологической активности этого соединения, и являются нетоксичными при введении в дозах, достаточных для доставки терапевтического количества соединения. Фармацевтические композиции, заявляемые в данном изобретении, содержат соединения данного изобретения совместно с фармацевтически приемлемыми носителями, которые могут включать в себя любые растворители, разбавители, дисперсии или суспензии, поверхностно-активные вещества, изотонические агенты, загустители и эмульгаторы, консерванты, вяжущие вещества, смазочные материалы и т.д., подходящие для конкретной формы дозирования. Материалы, которые могут служить фармацевтически приемлемыми носителями, включают, но не ограничиваются, моно- и олигосахариды, а также их производные; желатин; тальк; эксципиенты, такие как какао-масло и воск для суппозиториев; масла, такие как арахисовое, хлопковое, сафроловое, кунжутное, оливковое, кукурузное и соевое масло; гликоли, такие как пропиленгликоль; сложные эфиры, такие как этилолеат и этиллаурат; агар; буферные вещества, такие как гидроксид магния и гидроксид алюминия; альгиновая кислота; апирогенная вода; изотонический раствор, раствор Рингера; этиловый спирт и фосфатные буферные растворы. Также в составе композиции могут быть другие нетоксичные совместимые смазочные вещества, такие как лаурилсульфат натрия и стеарат магния, а также красители, разделительные жидкости, пленкообразователи, подсластители, вкусовые добавки и ароматизаторы, консерванты и антиоксиданты. Предметом данного изобретения являются также лекарственные формы - класс фармацевтических композиций, состав которых оптимизирован для определенного пути введения в организм в терапевтически эффективной дозе, например, для введения в организм орально, местно, пульмональным, например, в виде ингаляционного спрея, или внутрисосудистым способом, интраназально, подкожно, внутримышечно, а также инфузионным способом, в рекомендованных дозировках. Лекарственные формы данного изобретения могут содержать составы, полученные методами использования липосом, методами микрокапсулирования, методами приготовления наноформ препарата, или другими методами, известными в фармацевтике. При получении композиции, например в форме таблетки, активное начало смешивают с одним или несколькими фармацевтическими эксципиентами, такими как желатин, крахмал, лактоза, стеарат магния, тальк, кремнезем, аравийская камедь, маннит, микрокристаллическая целлюлоза, гипромеллоза или аналогичные соединения. Таблетки можно покрыть сахарозой, целлюлозным производным или другими веществами, подходящими для нанесения оболочки. Таблетки могут быть получены различными способами, такими как непосредственное сжатие, сухое или влажное гранулирование или горячее сплавление в горячем состоянии. Фармацевтическую композицию в форме желатиновой капсулы можно получить, смешивая активное начало с растворителем и заполняя полученной смесью мягкие или твердые капсулы. Для введения парентеральным путем используются водные суспензии, изотонические солевые растворы или стерильные растворы для инъекций, которые содержат фармакологически совместимые агенты, например пропиленгликоль или бутиленгликоль. Примеры фармацевтических композиций Вещества, описанные в данном изобретении, могут быть использованы для профилактики и/или лечения болезней человека или животных в виде следующих составов (под «Веществом» понимается активный ингредиент): Данные составы могут быть приготовлены в соответствии со стандартными фармацевтическими методиками. Таблетки (l)-(N) могут быть покрыты кишечнорастворимой оболочкой с использованием, например, фталата ацетата целлюлозы. Примеры Получение соединений по изобретению Синтез 2,2-диметил-6-((4-((3,4,5-триметоксиФенил)амино)-1,3,5-триазин-2-ил)амино)-2Н-пиридо[3,2-b][1,41оксазин-3(4Н)-она (Соединение 1) К раствору 165 г (1,1 моль) 2,4-дихлортриазина и 98.5 г (1,2 моль) безводного ацетата натрия в 2000 мл ледяной уксусной кислоты при перемешивании, порциями, в течение 30 мин, поддерживая температуру не выше 30°C, прибавляют 193,2 г (1 моль) 6-амино-2,2-диметил-2Н-пиридо[3,2-b][1,4]оксазин-3(4Н)-она. Реакционную смесь оставляют на ночь, осадок отфильтровывают, промывают на фильтре уксусной кислотой (2×500 мл), затем водой до нейтральной реакции и сушат. Получают 220 г 6-((4-хлор-1,3,5-триазин-2-ил)амино)-2,2-диметил-2Н-пиридо[3,2-b][1,4]оксазин-3(4Н)-она. К 3 л безводного дегазированного этиленгликоля при интенсивном перемешивании прибавляют 306,7 г (1 моль) 6-((4-хлор-1,3,5-триазин-2-ил)амино)-2,2-диметил-2Н-пиридо[3,2-b][1,4]оксазин-3(4Н)-она и 384,7 г (2,1 моль) 3,4,5-триметоксианилина. После чего нагревают реакционную смесь до 110°C и перемешивают при этой температуре 4 часа. Через 4 часа температуру реакционной смеси поднимают до 125°C, перемешивают еще 4 часа. Затем, реакционную смесь охлаждают до 60°C, осадок отфильтровывают, промывают этиленгликолем (2×500 мл), затем ацетоном (3×600 мл), а затем водой (4×1500 мл) и сушат. Выход - 365 г 2,2-диметил-6-((4-((3,4,5-триметоксифенил)амино)-1,3,5-триазин-2-ил)амино)-2Н-пиридо[3,2-b][1,4]оксазин-3(4Н)-она. Синтез моногидрата соли 4-метилбензолсульфокислоты и основания 2.2-диметил-6-((4-((3,4,5-триметоксиФенил)амино)-1,3,5-триазин-2-ил)амино)-2Н-пиридо[3,2-b[1,4]оксазин-3(4Н)-она (полиморфная модификация «А»). К кипящей суспензии 45,3 г (0.1 моль) 2,2-диметил-6-([4-[(3,4,5-триметоксифенил)амино]-1,3,5-триазин-2-ил]амино)-2Н-пирид[3,2-b][1,4]оксазин-3(4Н)-она в 1200 мл ацетона прибавляют одной порцией раствор 20,0 г (~0,105 моль) гидрата 4-метилбензолсульфокислоты в 20 мл этанола. Смесь кипятят в течение 30 минут, затем медленно охлаждают до комнатной температуры и оставляют на ночь. Осадок отфильтровывают, промывают на фильтре ацетоном (2×50 мл), а затем диэтиловым эфиром (2×100 мл) и сушат. Выход продукта 90%. Спектр ЯМР1Н (400 МГц, DMSO-d6): 11.13 (с, 1Н), 8,57 (с, 1Н) 7.52-7.44 (м, 3H) 7,12 (д, 2Н, J=8 Гц) 7,02 (с, 2Н), 4.4-3.9 (уш.с, 4Н), 3,8 (с, 6Н), 3,7 (с, 3H), 2,3 (с, 3H), 1,5 (с, 6Н) Масс-спектр, m/z: 454.18 ([М+nH]+) Спектры ЯМР1Н и13С моногидрата соли 4-метилбензолсульфокислоты и основания 2,2-диметил-6-((4-((3,4,5-триметоксифенил)амино)-1,3,5-триазин-2-ил)амино)-2Н-пиридо[3,2-b][1,4]оксазин-3(4Н)-она (полиморфная модификация «А») приведены на рисунке 13. Синтез моногидрата соли 4-метилбензолсульФокислоты и основания 2.2-диметил-6-((4-((3,4,5-триметоксиФенил)амино)-1,3,5-триазин-2-ил)амино)-2Н-пиридо[3,2-b][1,4]оксазин-3(4Н)-она (полиморфная модификация «В»). 64.4 г (0.1 моль) моногидрата соли 4-метилбензолсульфокислоты и основания 2,2-диметил-6-((4-((3,4,5-триметоксифенил)амино)-1,3,5-триазин-2-ил)амино)-2Н-пиридо[3,2-b][1,4]оксазин-3(4Н)-она (полиморфная модификация «А») выдерживают 2 часа при 110-115°C и остаточном давлении 6 мбар, затем охлаждают в вакууме. Выход продукта 100%. Полиморфная модификация «В» моногидрата соли 4-метилбензолсульфокислоты и основания 2,2-диметил-6-((4-((3,4,5-триметоксифенил)амино)-1,3,5-триазин-2-ил)амино)-2Н-пиридо[3,2-b][1,4]оксазин-3(4Н)-она также может быть получена путем обработки полиморфной модификации «А» этанолом или другим растворителем. Спектр ЯМР1Н (400 МГц, DMSO-d6): 11.13 (с, 1Н), 8,57 (с, 1Н) 7.52-7.44 (м, 3H) 7,12 (д, 2Н, J=8 Гц) 7,02 (с, 2Н), 4.4-3.9 (уш.с, 4Н), 3,8 (с, 6Н), 3,7 (с, 3H), 2,3 (с, 3H), 1,5 (с, 6Н) Масс-спектр, m/z: 454.18 ([М+nH]+). Спектры ЯМР1Н и13С моногидрата соли 4-метилбензолсульфокислоты и основания 2,2-диметил-6-((4-((3,4,5-триметоксифенил)амино)-1,3,5-триазин-2-ил)амино)-2Н-пиридо[3,2-b][1,4]оксазин-3(4Н)-она (полиморфная модификация «В») приведены на рисунке 14. Оптимизация солевой формы Соединения 1 Для получения формы с наилучшими биологическими и физическими свойствами были синтезированы разные солевые формы Соединения 1. Основной целью оптимизации солевой формы было получение солевой формы Соединения 1, обладающей следующими характеристиками: кристалличность, постоянство состава, терапевтическая эффективность, безопасность применения в терапии, легкость масштабирования процесса получения, использование фармакологически приемлемого противоиона (предпочтительно аниона), использование малотоксичных органических растворителей. Получение солевых форм Соединения 1 проводилось в органических растворителях, обладающих высокой полярностью и низкой токсичностью (Класс 3). Противоионы использовались исходя из фармакологической приемлемости и высокой силы кислоты (рКа не выше 3.25). Требование к высокой силе кислоты обусловлено тем, что протонируемый пиридиновый атом азота Соединения 1 представляет собой слабое основание с рКа 4. На первом этапе проводилось исследование растворимости исходного основания в выбранных органических растворителях. Максимальный объем растворителя для данного испытания был выбран равным 10 мл на 100 мг основания из соображений дальнейшего масштабирования процесса. Результаты исследования растворимости исходного основания в выбранных органических растворителях приведены в таблице 1. На втором этапе исследования была предпринята попытка получения солей, исходя из 100 мг основания 2,2-диметил-6-((4-((3,4,5-триметоксифенил)амино)-1,3,5-триазин-2-ил)амино)-2Н-пиридо[3,2-b][1,4]оксазин-3(4Н)-она. Для этого этапа разработки отбирались такие пары растворитель/кислота, в которых происходило либо полное растворение образца в растворителе и выпадение осадка после прибавления кислоты, либо гомогенизация системы после прибавления кислоты и выпадение осадка после охлаждения системы до комнатной температуры. Результаты исследования кристаллизации солей Соединения 1 представлены на рисунке 1. На основании проведенных исследований для третьего этапа были отобраны следующие пары кислота-растворитель: этанол-HCl, ацетон- 4-метилбензолсульфокислота, а так же н-бутанол и диоксан с метансульфокислотой, камфорсульфокислотой, 4-метилбензолсульфокислотой, HCl, HBr и H2SO4. На третьем этапе было проведено получение солей в отобранных системах растворитель/кислота, исходя из 2000 мг основания. Была проведена оценка масштабируемости процесса фильтрования. Результаты этих исследований представлены на рисунке 2. Образцы, для которых процесс фильтрования был оценен как легко масштабируемый, были подвергнуты элементному анализу (с целью установления постоянства состава и стехиометричности) и анализу методом порошковой рентгеновской дифрактометрии (с целью исследования кристалличности структуры). Все дифрактограммы в настоящем документе были получены при 25°C (±5°C) и относительной влажности воздуха ≈70% на порошковом рентгеновском дифрактометре Bruker D8 Advance в геометрии Брэгг-Брентано (напряжение на аноде 40 kV, ток 40 mA), оснащенным никелевым фильтром (излучение CuKcrt, длина волны =1,5406 Å) и позиционно-чувствительным детектором LynxEye, шаг съемки - 0.02° 2θ, угловой диапазон - 4-65° 2θ. Уточнение полученных дифрактограмм проводилось в программном пакете Bruker TOPAS5. Исходя из возможности масштабирования процесса получения соответствующей солевой формы, для дальнейших исследований были отобраны пары растворитель/противоион (кислота), для которых происходило осаждение осадка при добавлении кислоты или охлаждении раствора, и полученный осадок был легко фильтруемым. Таким образом, для дальнейших исследований были отобраны образцы: S-3-1-B-TSA (далее S3-1), S-3-2-B-HBr (S3-2), S-3-4-B-HCl (S3-4), S-3-8-B-HBr (S3-8), S-3-9-B-CSA (S3-9), S-3-10-B-HCl (S3-10), S-3-11-C2-HCl (S3-11), S-3-12-A1-TSA (S3-12), S-3-16-D-SA (S3-16) и S-3-17-D-MSA (S3-17). Образцы данных соединений были исследованы посредством элементного анализа. В результате было установлено, что наилучшую сходимость полученных результатов с рассчитанным элементным составом демонстрируют образцы соли Соединения 1 и 4-метилбензолсульфокислоты, представляющие собой моногидраты (см. Рисунок 3). Дальнейшие исследования кристалличности образцов методом порошковой рентгеновской дифракции показали, что исследуемые образцы (S-3-1-B-TSA (далее S3-1), S-3-2-B-HBr (S3-2), S-3-4-B-HCl (S3-4), S-3-8-B-HBr (S3-8), S-3-9-B-CSA (S3-9), S-3-10-B-HCl (S3-10), S-3-11-C2-HCl (S3-11), S-3-12-A1-TSA (S3-12), S-3-16-D-SA (S3-16) и S-3-17-D-MSA (S3-17)) имели в составе кристаллические фазы. Разное уширение пиков и невозможность установить и описать дифрактограммы с использованием отражений фазы с одной элементарной ячейкой свидетельствовали о наличии нескольких кристаллических фаз в исследуемых образцах (см. рисунки 4-8). В образцах отсутствовали одинаковые кристаллические фазы: положение и интенсивность пиков в разных образцах были различны. Размер кристаллитов в образце S-3-17-D-MSA низкий, линии сильно уширены, что, вероятно, было вызвано разрушением кристаллической структуры вещества (см. рисунок 8). В остальных образцах доля пиков с высоким размером кристаллитов выше. Образец S-3-10-B-HCl является индивидуальной кристаллической фазой, однако из-за большой ширины линий и малой отражающей способности образца индицирование неоднозначно. Наиболее вероятные параметры элементарной ячейки: а=10,99±0,05 Å; b=28,53±0,05 Å; с=10,62±0,05 Å; α=95,98±0,1°; β=95,85±0,1°; γ=92,74±0,1°. Пространственная группа Образец S-3-11-C2-HCl также представляет собой кристаллическую фазу и также неоднозначно индицируется. Предполагаемая ячейка: а=10,36±0,05 Å; b=18,20±0,05 Å; с=28,08±0,05 Å; α=87,36±0,1°; β=87,54±0,1°; γ=92,29±0,1°. Пространственная группа Образец S-3-12-A1-TSA представляет собой индивидуальную кристаллическую фазу со следующими параметрами элементарной ячейки: а=10,98±0,05 Å; b=28,48±0,05 Å и с=10,60±0,05 Å, β=113,7±0,1°, V=3037,5±0,5 Å3. Пространственная группа P21/c. Не относящийся к кристаллической фазе пик, наблюдаемый в районе 22,7° 2θ, относится к каптоновой подложке (см. рисунок 9а). Положения и интенсивности характеристических, визуально различимых пиков в дебаеграмме образца S-3-12-A1-TSA представлены в таблице 2. Общий вид независимой части элементарной ячейки гидрата соли 4-метилбензолсульфокислоты и Соединения 1 в полиморфной модификации «А» (образец S-3-12-A1-TSA) представлен на рисунке 11а. Таким образом, только три образца S-3-10-B-HCl (S3-10), S-3-11-C2-HCl (S3-11) и S-3-12-A1-TSA (S3-12) представляют собой кристаллические вещества и только у образца S-3-12-A1-TSA (S3-12) тип пространственной группы идентифицируется однозначно. Исходя из данных элементного анализа, образец S-3-12-A1-TSA является моногидратом. Для подтверждения состава были выполнены дифференциальная сканирующая калориметрия (ДСК) и термогравиметрия образца (ТГА). ДСК проводили на приборе NETZSCH DSC 204 F1. Измерительную систему калибровали согласно норме ISO 11357-1 по параметрам фазовых переходов стандартных веществ (С6Н12; Hg; бензойная кислота; Ga; KNO3; In; Sn; Bi; CsCl; чистота 99,99%). Систематическая ошибка температурной калибровки (определена по In) составляет 0,1°. Образцы тестировали в стандартных алюминиевых ячейках (V=56 мм3, d=6 мм), завальцованных крышкой с отверстием (отношение площади дна ячейки к площади отверстия составляло порядка 40) в потоке (20 мл/мин) искусственного воздуха, в интервале температур 30-300°C при скорости нагревания 10°/мин. ТГА измерения проводили на термовесах NETZSCH TG 209 F1, оснащенных алундовым держателем с защитным экраном и температурным сенсором типа Р. Прибор калибровали по точкам плавления стандартных веществ (Ag; Al; Bi; In; Sn; чистота 99.99%). Погрешность определения массы не превышает 0,1% (определено по стандарту CaC2O4⋅2H2O). Эксперимент проводили в стандартном открытом алундовом контейнере (V=85 мм3, d=6,7 мм) в потоке искусственного воздуха, в интервале температур 30-300°C при скорости нагревания 10°/мин. Экспериментальные данные обрабатывали с помощью пакета анализа NETZSCH Proteus Analysis согласно стандарту ISO/CD 11358. Взвешивание образца проводили на аналитических весах AND GH 202 с точностью ±0,01⋅мг. Материал не подвергали механической обработке перед измерениями во избежание дегидратации. Результаты тестирования образца представлены на рисунке 10. Первичная потеря массы и характер переходов, соответствующих эффектам на кривых ДСК, соответствует потере кристаллической воды. Последний эффект на кривых ДСК и соответствующая ему потеря массы относятся к плавлению образца с разложением. Этот вывод можно сделать из конечного вида продуктов исследования. Дальнейшее изучение влияния термической обработки на кристаллическую структуру гидрата соли 4-метилбензолсульфокислоты и основания Соединения 1 показало, что нагревание полиморфной модификации «А» до 110-115°C в течение 2 часов при остаточном давлении 6 мбар приводит к изменению кристаллической структуры соли и образованию полиморфной модификации «В» (образец SYK 91/1). Дальнейшие исследования кристалличности образца методом порошковой рентгеновской дифракции показали, что образец представляет собой индивидуальную кристаллическую фазу со следующими параметрами элементарной ячейки: а=11,09±0,05 Å; b=14,38±0,05 Å и с=10,53±0,05 Å, α=90,06±0,1°; β=114,6±0,1° и γ=91,1±0,1°, V=1525,9±0,5 Å3 и пространственной группой На основании проведенного исследования было обнаружено, что единственной кристаллической солевой формой Соединения 1, которая может быть получена в малотоксичных органических растворителях, по легко масштабируемой методике, и содержащей фармакологически приемлемый противоион, является соль 4-метилбензолсульфокислоты и Соединения 1. Анализ содержания посторонних примесей в различных солевых формах Соединения 1 Для оценки качества полученных солевых форм Соединения 1 был проведен анализ содержания посторонних примесей в различных солевых формах. Определение содержания посторонних примесей проводили методом ВЭЖХ. При расчете содержания единичной примеси не учитывали площади пиков, соответствующих по временам удерживания пикам на бланк-хроматограмме и пику противоиона. Суммированием результатов, полученных для единичных примесей, получали общее содержание примесей. На первом этапе исследования была разработана ВЭЖХ методика определения посторонних примесей. Затем был проведен анализ посторонних примесей в образцах свободного основания и нескольких солевых форм Соединения 1. Результаты проведенных исследований представлены на рисунках 15-17 и в таблицах 4-7. В результате проведенного анализа содержания посторонних примесей в образце Соединения 1 в форме свободного основания было показано высокое содержание различных не идентифицированных примесей в образцах, наличие которых может приводить к токсическим эффектам, а также может вызывать появление побочных эффектов в результате введения этого соединения в организм человека и животного в качестве лекарственного средства. Поэтому для использования Соединения 1 в качестве лекарственного кандидата требуется проведение дополнительных стадий очистки. Использование дополнительных стадий очистки неизбежно приведет к усложнению технологической схемы и увеличению себестоимости производства конечного лекарственного средства. В результате проведенного анализа содержания посторонних примесей в образце соли метансульфокислоты и Соединения 1 было показано некоторое уменьшение содержания посторонних примесей по сравнению с содержанием примеси в свободным основании (Соединение 1). Однако, как видно из рисунка 16 и таблицы 5, содержание двух примесей превышает 0,5%. Хотя в соответствии с требованиями ICН (International Conference on Harmonisation - Международная конференция по гармонизации) и российской нормативной документации данное содержание примесей допустимо для производства лекарственного средства, столь высокая концентрация примесей может приводить к токсическим эффектам при введении в организм человека и животных, в связи с чем применение такой соли в клинической практики возможно только после исследования токсичности данных примесей и/или дополнительных стадий очистки образцов соли. В результате проведенного анализа содержания посторонних примесей в образце гидрата соли 4-метилбензолсульфокислоты и Соединения 1 неожиданно было обнаружено отсутствие примесей с содержанием выше 0,1%. Стоит отметить, что при использовании 4-метилбензолсульфокислоты низкого качества гидрат соли 4-метилбензолсульфокислоты и свободного основания может содержать до 0,15% орто-толуолсульфокислоты, однако данная примесь может быть легко устранена перекристаллизацией 4-метилбензолсульфокислоты. Столь низкие (менее 0,1%) концентрации примесей в соответствии с действующей нормативной документацией считаются безопасными и не требуют проведения идентификации структуры примесей или дополнительных стадий очистки. Таким образом, в результате анализа содержания посторонних примесей в образцах различных солевых форм Соединения 1 неожиданно оказалось, что среди исследованных солей гидрат соли 4-метилбензолсульфокислоты и Соединения 1 обладает наибольшей чистотой и не содержит примесей более 0,15%. Характеристика биологической активности соединений по изобретению Биологическая активность соли 4-метилбензолсульфокислоты и Соединения 1, а также ее кристаллических форм, являющихся предметом настоящего изобретения, была изучена в различных экспериментах. Исследование влияния соли 4-метилбензолсульфокислоты и Соединения 1 на ферментативную активность киназ человека in vitro. В ходе исследований влияния соединений по изобретению на ферментативную активность киназ человека in vitro впервые было обнаружено прямое ингибирующее действие соли 4-метилбензолсульфокислоты и Соединения 1 (на примере полиморфной модификации «А») на ряд рекомбинантных тиразинкиназ человека, в частности, на рекомбинантную тирозинкиназу человека c-Src. Измерения влияния Соединения 1 на рекомбинантную тирозинкиназу человека с-Src осуществлялись по следующей методике: пептидный субстрат растворяли до концентрации 0,2 мг/мл в реакционном буфере. Добавляли раствор рекомбинантной с-Src-киназы до концентрации 2 нМ и исследуемое соединение до нужной концентрации (в диапазоне 1 нМ - 10 мкМ). Добавляли раствор33Р-АТР до концентрации 10 мкМ (финальная специфическая активность которого 0,01 мкКи). Через 120 минут инкубации реакционная смесь наносилась на ионообменную бумагу, которая промывалась избытком фосфорной кислоты. Степень протекания реакции определялась по радиоактивности продуктов реакции. Проведенные исследования показали, что соль 4-метилбензолсульфокислоты и Соединения 1 в концентрации 0,5 мкмоль/л более чем на 50% подавляет активность следующих киназ: Blk, c-Src, Syk, Fgr, Frk, Fyn, Hck, Lck, Lyn, Yes. Наиболее выраженное подавление каталитической активности было обнаружено для киназ семейства Src - действие соли 4-метилбензолсульфокислоты и Соединения 1 в концентрации 0,5 мкмоль/л понижает остаточную активность киназ семейства Src до 25% и менее от контрольных значений. В частности, остаточная активность c-Src киназы в присутствии соли 4-метилбензолсульфокислоты и Соединения 1 в концентрации 0,5 мкмоль/л составила 6% от контрольных значений, Yes и Lck киназ - 12%, Lyn-киназы - 13%, Blk - 20%, Fgr - 23%, Fyn и Hck - 25%. Для уточнения полученных данных по приведенной выше методике были определены концентрации полумаксимального ингибирования (IC50) ферментативной активности киназы. В результате было показано ингибирующее действие соли 4-метилбензолсульфокислоты и Соединения 1 на рекомбинантную тирозинкиназу человека c-Src (см. Рисунок 12) в наномолярном диапазоне концентраций (IC50=14 нмоль/л). Кроме того, в наномолярном диапазоне концентраций соль 4-метилбензолсульфокислоты и Соединения 1 ингибирует также Syk-киназу (IC50=40 нмоль/л. Сравнение фармакокинетических характеристик свободного основания и солевых форм Соединение I Для анализа применимости полученных солевых форм Соединения 1 в качестве лекарственных препаратов были исследованы их фармакокинетические параметры. На первом этапе работ была исследована фармакокинетика свободного основания Соединения 1 после перорального введения вещества трем крысам линии Wistar в дозе 30 мг/кг. Результаты исследования приведены на рисунке 19 и в таблице 9. Как видно из приведенных результатов, максимальная концентрация вещества в плазме составляет 4,12 нг/мл, что соответствует 9,1 нмоль/л, а среднесуточная концентрация вещества составляет 4,8 нмоль/л. В то же время, на основе данных по биологической активности Соединения 1, действующая концентрация свободного основания составляет порядка 1 мкмоль/л. Таким образом, фармакокинетические параметры свободного основания исключают возможность его применения в качестве лекарственного средства, поскольку для достижения необходимого терапевтического эффекта необходимо вводить большую дозу Соединения 1, что крайне неудобно технически для практической реализации, приводит к существенному расходу вещества, а также потенциально может приводить к развитию токсических побочных эффектов со стороны желудочно-кишечного тракта. Также была исследована фармакокинетика нескольких солевых форм Соединения 1 после перорального введения вещества крысам линии Wistar в дозе 37 мг/кг (30 мг/кг в пересчете на свободное основание). На рисунке 20 и в таблице 10 приведены результаты исследования фармакокинетических параметров соли метансульфокислоты и Соединения 1. Как видно из приведенных результатов, соль метансульфокислоты и Соединения 1 обладает существенно лучшими фармакокинетическими параметрами по сравнению со свободным основанием. Максимальная концентрация вещества в плазме составляет 333 нг/мл, что соответствует 735 нмоль/л, а средняя концентрация вещества составляет 104 нмоль/л. В то же время, на основе данных по биологической активности Соединения 1, действующая концентрация Соединения 1 составляет порядка 1 мкмоль/л. Таким образом, для применения соли метансульфокислоты и Соединения 1 в качестве лекарственного средства необходимо или существенно увеличить дозу вводимого вещества, или использовать многократное введение субстанции. В ходе исследования фармакокинетических параметров гидрата соли 4-метилбензолсульфокислоты и Соединения 1 после перорального введения вещества крысам линии Wistar, неожиданно оказалось, что данная солевая форма обладает лучшими фармакокинетическими параметрами по сравнению со свободным основанием и другими исследованными солевыми формами Соединения 1. На рисунке 21 и в таблице 11 приведены результаты исследования фармакокинетических параметров гидрата соли 4-метилбензолсульфокислоты и Соединения 1. При введении крысам линии Wistar моногидрата соли 4-метилбензолсульфокислоты и Соединения 1 в дозе 30 мг/кг (21 мг/кг в пересчете на свободное основание) максимальная концентрация вещества в плазме составляет 416 нг/мл, что соответствует примерно 1 мкмоль/л, а среднесуточная концентрация вещества превышает 200 нмоль/л. Дальнейшее исследование фармакокинетических параметров гидрата соли 4-метилбензолсульфокислоты и Соединения 1 на крысах показало, что препарат быстро всасывается в кровоток, достигая максимальной концентрации через 1,1-1,3 часа и распределяется по органам и тканям. Средняя концентрация вещества в костной и хрящевой ткани более чем втрое превышает среднесуточную концентрацию вещества в плазме крови животных. Гидрат соли 4-метилбензолсульфокислоты и Соединения 1 обладает линейной фармакокинетикой в широком диапазоне доз - при внутрижелудочном введении гидрата соли 4-метилбензолсульфокислоты и Соединения 1 в диапазоне доз от 30 до 200 мг/кг концентрация Соединения 1 в плазме крови крыс увеличивается пропорционально дозе. Высокие концентрации Соединения 1 были зафиксированы практически во всех исследованных тканях, достигая максимума через 2-4 часа после введения гидрата соли 4-метилбензолсульфокислоты и Соединения 1. Среднесуточная концентрация Соединения 1 в органах мишенях (костной и хрящевой тканях) более чем втрое превышает среднесуточную концентрацию Соединения 1 в плазме крови животных. Наименьшая концентрация Соединения 1 была зафиксирована в мышцах. В результате изучения фармакокинетики при однократном внутрижелудочном введении кроликам гидрата соли 4-метилбензолсульфокислоты и Соединения 1 в дозе 50 мг/кг было показано, что концентрация вещества в плазме крови кроликов достигает 8,6 мкг/мл (~16 мкмоль/л), время полувыведения составляет более 7 часов. В результате исследования фармакокинетических параметров различных солевых форм Соединения 1 неожиданно было обнаружено, что соль 4-метилбензолсульфокислоты и Соединения 1 является оптимальной солевой формой Соединения 1, позволяющей использовать однократное пероральное введение в существенно более низкой дозе, по сравнению с другими исследованными солевыми формами Соединения 1. Исследование влияния гидрата соли 4-метилбензолсульфокислоты и Соединения 1 на остеокласт-опосредованную резорбцию костной ткани. В данном эксперименте впервые было показано действие гидрата соли 4-метилбензолсульфокислоты и Соединения 1 (полиморфная модификация «А») на остеокласт-опосредованную резорбцию костной ткани. Исследование было проведено по следующей методике: моноциты CD15+ (клетки-предшественники остеокластов) культивировали в течение 3-х дней в среде для пролиферации (α-модифицированная минимальная поддерживающая среда Игла /фетальная телячья сыворотка (αMEM/FCS) - 10% с 25 нг/мл колониестимулирующего фактора макрофагов (M-CSF)). В ходе данной фазы M-CSF стимулировал пролиферацию и экспрессию рецептора-активатора ядерного фактора кВ (RANK - Receptor Activator of Nuclear Factor карра-В, мембранный белок типа I). Среду для пролиферации удаляли и клетки дифференцировали в среде дифференциации (αMEM/FCS-10% с 100 нг/мл RANKL и 25 нг/мл M-CSF). После обнаружения зрелых остеокластов в культуре (4-й день исследования), клетки собирали и пересеивали в 96-луночный планшет, покрытый синтетической минерализованной матрицей, и культивировали в течение еще 48 часов (в присутствии изучаемых соединений) для оценки резорбции остеокластов. Затем проводили оценку количества зрелых остеокластов и оценку степени резорбции. Влияния различных концентраций соли 4-метилбензолсульфокислоты и Соединения 1 на концентрацию зрелых остеокластов и степень резорбции оценивали в сравнении с контрольными образцами (положительный контроль, растворитель - 0,3% ДМСО) и референсными ингибиторами - Саракатинибом и Босутинибом (см. рисунок 18). Близкие значения среднего количества зрелых остеокластов на лунку (488±43 и 451±11) и степени резорбции минерализованной матрицы (32,62±1,16% и 35,53±2,40%) в контрольных образцах (положительный контроль, растворитель) подтверждали отсутствие влияния растворителя на выживаемость остеокластов и остеокласт-опосредованную резорбцию. В ходе проведенных исследований было показано, что Соединение 1 оказывает дозозависимый ингибирующий эффект на остеокласт-опосредованную резорбцию минерализированной матрицы. Сильный, статистически значимый ингибирующий эффект был обнаружен при концентрациях 1,1 мкМ и 10 мкМ моногидрата соли 4-метилбензолсульфокислоты и Соединения 1 (см. рисунок 18). Статистически значимый, дозозависимый ингибирующий эффект на остеокласт-опосредованную резорбцию минерализированной матрицы также был обнаружен при использовании гидрата соли 4-метилбензолсульфокислоты и Соединения 1 в полиморфной модификации «В» в концентрациях от 1,0 мкМ. Исследование влияния гидрата соли 4-метилбензолсульфокислоты и Соединения 1 на метаболизм хрящевой ткани Впервые было показано действие на метаболизм хрящевой ткани соли 4-метилбензолсульфокислоты и Соединения 1 на примере моногидрата соли 4-метилбензолсульфокислоты и Соединения 1 (полиморфная модификация «А»). Исследование было проведено по следующей методике: хондроциты были изолированы из хряща коленного сустава молодых крыс (возраст - 3 недели, линия - Sprague Dawley). Изолированные хондроциты в культуральной среде (минимальная поддерживающая среда Игла, модифицированная по способу Дульбекко /фетальная телячья сыворотка (DMEM/FCS) - 10%, 4-(2-гидроксиэтил)-1-пиперазин этансульфоновоя кислота (HEPES) - 25 мМ) хранили замороженными при -80°C. Полученные хондроциты размораживали за день до начала эксперимента, высаживали в 12 луночные планшеты и культивировали в виде монослоя в течение 24 часов. IL-Iβ-индуцированную активацию хондроцитов и обработку исследуемыми соединениями начинали после 24 часов инкубации и продолжали в течение 3-х дней. В ходе проведенных исследований было обнаружено, что гидрат соли 4-метилбензолсульфокислоты и Соединения 1 (полиморфная модификация А) оказывает статистически значимый дозозависимый положительный эффект на IL-1β индуцированные гипертрофические изменения хондроцитов, заключающийся в значительном повышении экспрессии аггрекана. Таким образом, на основании проведенных исследований было обнаружено выраженное защитное действие гидрата соли 4-метилбензолсульфокислоты и Соединения 1 на метаболизм костной и хрящевой ткани. Данные эффекты могут быть достигнуты только при использовании солевых форм Соединения 1, обладающих удовлетворительными фармакокинетическими параметрами. Было обнаружено, что фармакокинетические параметры свободного основания Соединения 1 не позволяют использовать данное соединение для блокирования остеокласт-опосредованного метаболизма костной ткани и IL-1β индуцированного гипертрофического изменения хондроцитов. В то же время, соль 4-метилбензолсульфокислоты и Соединения 1, и в частности ее моногидрат, обладает подходящими фармакокинетическими параметрами и может быть использован для терапии заболеваний, характеризующихся аберрантным метаболизмом костной и хрящевой тканей. Исследование влияния соли 4-метилбензолсульфокислоты и Соединения 1 на разрушения коленного сустава в модели остеоартроза у крыс, индуцированного внутрисуставным введением йодацетата натрия В ходе проведенных исследований на животных было показано прямое фармакологическое действие соли 4-метилбензолсульфокислоты и Соединения 1, на примере моногидрата соли 4-метилбензолсульфокислоты и Соединения 1 (полиморфная модификация «А»), на разрушения коленного сустава в модели остеоартроза у крыс линии Sprague-Dawley, индуцированного внутрисуставным введением йодацетата натрия. Внутрисуставное введение ингибитора аэробного гликолиза (йодацетата натрия) приводит к гибели хондроцитов и развитию острой воспалительной реакции в синовиальной полости. В отсутствии терапии на 10-й день с момента индукции патологии начинает наблюдаться хроническая боль, вызванная разрушением тканей хряща и, в ряде случаев, развитием хронического воспаления [J Musculoskel Neuron Interact 2001; 1(4):363-376]. Оценку степени развития остеоартроза у крыс проводили путем сравнения порога болевой чувствительности конечности после введения йодацетата натрия с фоновыми значениями, измеренными до индукции патологии. Порог болевой чувствительности оценивали в тесте тактильной аллодинии, измерения проводили с использованием нитей фон Фрея (см. таблицу 8). Для проведения исследования были выбраны самцы крыс весом 150-200 г. Перед проведением эксперимента все животные прошли акклиматизацию в течение 14 дней. Животные содержались при двенадцатичасовом цикле освещения в поликарбонатных клетках фирмы Charles River laboratories Inc тип 3H в соответствии с ГОСТ Р 53434-2009. Корм и воду животным предоставляли ad libitum. Индукцию патологии проводили путем введения 50 мкл раствора, содержащего 2 мг йодацетата натрия в синовиальную полость коленного сустава животных. Тактильную аллодинию, вызванную механическим раздражением, оценивали с помощью нитей фон Фрея весом от 0,06 до 23,96 г. Для каждой нити тестирование проводится в пяти повторах с интервалом 1-2 с, в качестве порога чувствительности принимали минимальный порог реакции, вызывающий отдергивание лапы в одном из пяти повторов. Результаты оценки влияния перорального введения моногидрата соли 4-метилбензолсульфокислоты и Соединения 1 (полиморфная модификация «А») на разрушения коленного сустава в модели остеоартроза у крыс, индуцированного внутрисуставным введением йодацетата натрия приведены в таблице 8. Введение гидрата соли 4-метилбензолсульфокислоты и Соединения 1 в дозе 100 и 500 мг/кг, начиная со дня индукции патологии, и в дозе 500 мг/кг, начиная с седьмого дня после индукции патологии, приводит к полному подавлению развития тактильной аллодинии. Проведенный эксперимент позволяет сделать выводы о том, что данное соединение подавляет аберрантный метаболизм костной и хрящевой тканей, что и подавляет, в свою очередь, развитие тактильной аллодинии и снижение порога болевой чувствительности в модели остеоартроза у крыс. Таким образом, в ходе проведенных экспериментов было обнаружено, что соль 4-метилбензолсульфокислоты и Соединения 1, а также ее гидрат (в частности, моногидрат), сольват и полиморфные модификации соли, гидрата или сольвата являются эффективным ингибиторами киназы Syk и киназ семейства Src, в частности c-Src киназы, и обладают фармакокинетическими параметрами, позволяющими использовать указанные соли в качестве лекарственного средства для введения в организм человека или животного для лечения заболеваний, связанных с аберрантной активностью киназ, приводящей к аберрантному метаболизму костной и хрящевой ткани, в частности, остеоартроза, остеопороза и остеохондроза. Несмотря на то, что изобретение описано со ссылкой на раскрываемые варианты воплощения, для специалистов в данной области должно быть очевидно, что конкретные подробно описанные эксперименты приведены лишь в целях иллюстрирования настоящего изобретения, и их не следует рассматривать как каким-либо образом ограничивающие объем изобретения. Должно быть понятно, что возможно осуществление различных модификаций без отступления от сути настоящего изобретения.
. Положения характеристических пиков на дебаеграмме данной полиморфной модификации (2θ): 6,1; 8,8; 10,6; 11,0; 11,5; 12,3; 15,0; 15,2; 15,5; 15,8; 16,1; 16,3; 17,3; 17,6; 17,9; 18,5; 19,5; 20,5; 20,7; 20,8; 24,6; 24,8; 25,1; 26,1; 26,5; 26,9; 30,1; 43,0.
Таблетка I м г/таблетка Вещество 50 Лактоза Ph. Eur 223.75 Кроскармеллоза натрия 6.0 Кукурузный крахмал 15 Поливинилпироллидон (5% w/v паста) 2.25 Стеарат магния 3.0 Таблетка II мг/таблетка Вещество 200 Лактоза Ph. Eur 182.75 Кроскармеллоза натрия 12.0 Кукурузный крахмал (5% w/v паста) 2.25 Стеарат магния 3.0 Капсула мг/капсула Вещество 10 Лактоза Ph. Eur 488.5 Магнезия 1.5 Состав для инъекций I (50 мг/мл) Вещество 5.0% w/v 1М раствор гидроксида натрия 15.0% w/v 1М раствор соляной кислоты до рН 7.6 Полиэтиленгликоль 400 4.5% w/v Вода для инъекций до 100% Мазь мл Вещество 40 м г Этанол 300 ил Вода 300 ил 1-додецилазациклогептанон 50 μл Пропиленгликоль до 1 мл 

.
(см. рисунок 9б). Положения и интенсивности характеристических, визуально различимых пиков в дебаеграмме образца SYK 91/1 представлены в таблице 3. Общий вид независимой части элементарной ячейки гидрата соли 4-метилбензолсульфокислоты и Соединения 1 в полиморфной модификации «В» (образец SYK 91/1) представлен на рисунке 11б.








