Изобретение относится к устройствам сравнения и синхронизации шкал времени удаленных объектов с применением оптоволоконной линии связи, соединяющей объекты. Устройство состоит из двух составных частей, размещенных на удаленных друг от друга объектах. На первом объекте устройство содержит два таймера событий с подключенными к ним приемниками оптических импульсов, к обоим таймерам событий подключен генератор формирования шкалы времени этого объекта и они соединены с компьютером, подключенным к системе передачи информации (например, сеть Ethernet, беспроводная сеть или др.). Генератор оптических импульсов подключен к входу оптоволоконного разветвителя, при этом один выход разветвителя соединен с входом первого приемника оптических импульсов, второй соединен с входом-выходом оптоволоконного циркулятора. Второй приемник оптических импульсов соединен со вторым входом-выходом оптоволоконного циркулятора и вторым таймером событий. Третий вход-выход циркулятора соединен оптоволоконной линией связи со вторым объектом. Второй объект также включает в себя таймер событий с присоединенными к нему приемником оптических импульсов, генератором формирования шкалы времени этого объекта и системой передачи информации на выходе. Приемник оптических импульсов этого объекта через полупрозрачное зеркало соединен с оптоволоконной линией связи между объектами. Особенностью и преимуществом указанного устройства является то, что при определении расхождения шкал времени время задержки в оптоволоконной линии связи алгоритмически исключается; а также то, что с помощью разветвителя производится привязка оптических, а не электрических импульсов к соответствующим шкалам времени, что исключает влияние погрешностей в канале шкала времени - оптический импульс; а также то, что применяются одностоповые таймеры событий или измерители временных интервалов за счет применения двух приемников оптических импульсов на объекте, на котором расположен генератор оптических импульсов. Достигаемым техническим результатом при использовании заявленного устройства является повышение точности сравнения или синхронизации за счет применения сигналов в оптическом диапазоне и прямой привязки оптических импульсов к шкалам времени, увеличение надежности и оперативности за счет применения оптоволоконной линии связи, возможность сравнения и синхронизации шкал времени с использованием только одного оптического волокна произвольной длины, в т.ч. «темного» волокна, арендуемого у операторов общедоступных сетей связи, возможность применения одностоповых таймеров событий или измерителей временных интервалов, а также снижение допустимого расстояния между объектами. 2 ил.
Устройство для сравнения шкал времени, состоящее из двух составных частей, размещенных на удаленных друг от друга объектах, содержащее на первом объекте два таймера событий с подключенными к ним приемниками оптических импульсов, к обоим таймерам событий подключен генератор формирования шкалы времени этого объекта и они соединены с компьютером, подключенным к системе передачи информации (например, сеть Ethernet, беспроводная сеть или др.), генератор оптических импульсов подключен к входу оптоволоконного разветвителя, при этом один выход разветвителя соединен с входом первого приемника оптических импульсов, второй соединен с входом-выходом оптоволоконного циркулятора, второй приемник оптических импульсов соединен со вторым входом-выходом оптоволоконного циркулятора и вторым таймером событий, третий вход-выход циркулятора соединен оптоволоконной линией связи со вторым объектом, который также включает в себя таймер событий с присоединенными к нему приемником оптических импульсов, генератором формирования шкалы времени этого объекта и системой передачи информации на выходе, причем сигнал с первого объекта по оптоволоконной линии связи поступает в приемник оптических импульсов через полупрозрачное зеркало.
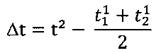
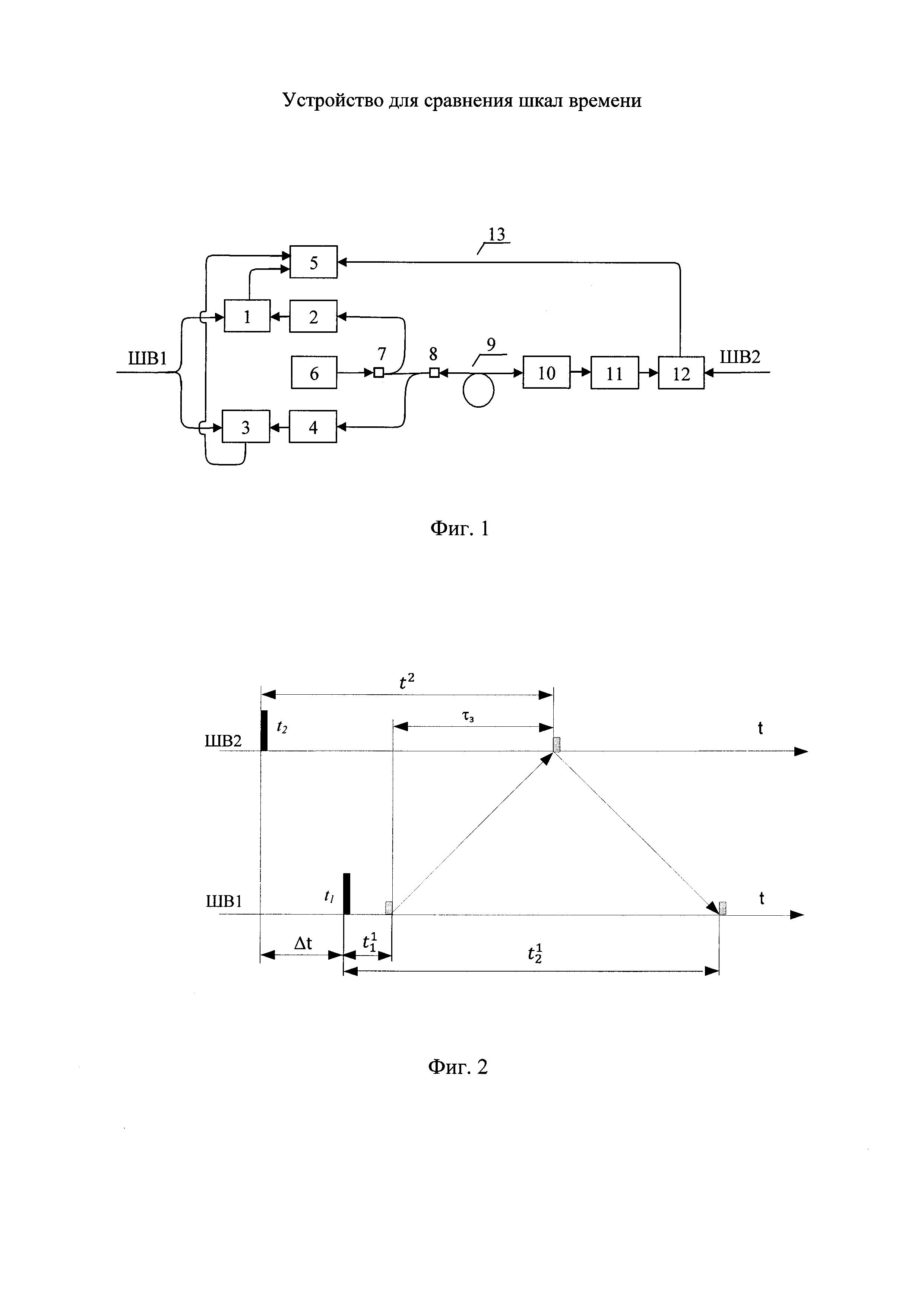
Известно устройство синхронизации шкал времени между наземными объектами, соединенными оптоволоконной линией связи, с помощью с помощью системы одно- и двухсторонних сравнений шкал времени (1) С.С. Донченко, О.В. Колмогоров, Д.В. Прохоров. Система одно- и двухсторонних сравнений шкал времени. Измерительная техника, №1, 2015; (2) Пат. 2547662 РФ. Способ сличения шкал времени и устройство для его осуществления / О.В. Колмогоров, Д.В. Прохоров; заявитель и патентообладатель ФГУП "ВНИИФТРИ". Опубл. 10.04.2015, Бюл. №10). Устройство содержит на одном из пунктов импульсный генератор, передающий модуль, блок разветвителей-объединителей, фотоприемный модуль, таймер событий, компьютер, промежуточный генератор; на втором пункте полупрозрачное зеркало, фотоприемный модуль, таймер событий, компьютер. К достоинствам данного устройства относится то, что сравнение шкал времени производится с помощью одного оптического волокна, и то, что с помощью блока разветвителей-объединителей производится привязка оптических, а не электрических импульсов к соответствующей шкале времени, что исключает влияние погрешностей в канале шкала времени - оптический импульс. Недостатками данного устройства является то, что используется частично отраженный со второго объекта импульс, имеющий меньшую амплитуду по сравнению с излученным импульсом, т.е. уменьшение амплитуды импульса из-за отражения и потерь в линии уменьшает допустимое расстояние между пунктами; необходимо применение многостоповых таймеров событий, т.е. измеряющих интервалы времени между импульсом шкалы времени «старт» и, как минимум, двумя импульсами с фотоприемника «стоп»; наличие «мертвой зоны», т.е. интервала времени, в течение которого невозможно проведение следующего измерения, у таймеров событий не позволяет проводить сравнения шкал времени при небольших длинах оптической линии связи. Достигаемым техническим результатом при использовании заявленного устройства является снижение допустимого расстояния между объектами и возможность применения одностоповых таймеров событий или измерителей временных интервалов за счет применения двух приемников оптических импульсов на объекте, на котором расположен генератор оптических импульсов. Данный технический результат достигается за счет того, что устройство для сравнения шкал времени, состоящее из двух составных частей, размещенных на удаленных друг от друга объектах, содержит на первом объекте два таймера событий с подключенными к ним приемниками оптических импульсов, к обоим таймерам событий подключен генератор формирования шкалы времени этого объекта. Оба таймера событий соединены с компьютером, подключенным к системе передачи информации (например, сеть Ethernet, беспроводная сеть или др.). Генератор оптических импульсов подключен к входу оптоволоконного разветвителя, при этом один выход разветвителя соединен с входом первого приемника оптических импульсов, второй соединен с входом-выходом оптоволоконного циркулятора. Второй приемник оптических импульсов соединен со вторым входом-выходом оптоволоконного циркулятора и вторым таймером событий. Третий вход-выход циркулятора соединен оптоволоконной линией связи со вторым объектом. Второй объект также включает в себя таймер событий с присоединенными к нему приемником оптических импульсов, генератором формирования шкалы времени этого объекта и системой передачи информации на компьютер, расположенный на первом объекте, на выходе, причем сигнал с первого объекта по оптоволоконной линии связи поступает в приемник оптических импульсов через полупрозрачное зеркало. Особенностью и преимуществом указанного устройства является то, что возможно использование одностоповых таймеров событий, уменьшено допустимое расстояние между объектами. Изобретение поясняется чертежами. На фиг. 1 - представлена схема устройства для сравнения шкал времени удаленных объектов; на фиг. 2 - представлена временная диаграмма работы устройства, где ШВ1 и ШВ2 шкалы времени первого и второго объектов, соответствено, t1 и t2 секундные метки шкал времени первого и второго объектов, соответствено, τз - время прохождения оптического импульса от первого объекта до второго по оптоволоконной линии. На фиг. 1 - показана схема устройства для сравнения и синхронизации шкал времени удаленных объектов, которое содержит на первом объекте таймер событий 1 и подключенный к нему приемник оптических импульсов 2, таймер событий 3 и подключенный к нему приемник оптических импульсов 4. Оба таймера событий подключены к источнику сигнала 1 Гц шкалы времени первого объекта ШВ1 (на чертеже не оцифрован) и компьютер 5, подключенный к системе передачи информации 13 (например, сеть Ethernet, беспроводная сеть или др.). Генератор 6 оптических импульсов на первом объекте подключен к разветвителю 7, выходы которого соединены с приемником оптических импульсов 2 и входом-выходом циркулятора 8. Один из входов-выходов циркулятора 8 соединен с приемником оптических импульсов 4, другой - с оптоволоконной линией 9. Второй объект содержит полупрозрачное зеркало 10, соединенное с оптоволоконной линией 9 и приемником оптических импульсов 11, который подключен к таймеру событий 12, соединенного с источником сигнала 1 Гц шкалы времени второго объекта ШВ2 (на чертеже не оцифрован) и к системе передачи информации 13 (например, сеть Ethernet, беспроводная сеть или др.). Устройство в соответствии с фиг. 1 работает следующим образом. На первом объекте оптический импульс с генератора оптических импульсов 6 поступает на вход разветвителя 7, некоторая часть мощности оптического импульса поступает в приемник оптических импульсов 2 первого объекта, основная часть мощности импульса через циркулятор 8 поступает в оптоволоконную линию связи 9. Электрический сигнал с приемника оптических импульсов 2 поступает в таймер событий 1, который фиксирует момент излучения оптического импульса На втором объекте часть мощности оптического импульса, прошедшей через полупрозрачное зеркало 10, поступает в приемник оптических импульсов 11 второго объекта, который преобразует его в электрический сигнал, поступающий в таймер событий 12. Также в таймер событий 12 поступает сигнал 1 Гц шкалы времени второго объекта ШВ2, что позволяет определить время t2 прихода оптического импульса в шкале времени второго объекта. Информация о значении t2 через систему передачи информации 13 поступает в компьютер 5. На основании данных о значениях где t2 - измеренное время прихода оптического импульса с первого объекта на второй объект в шкале времени второго объекта. Временная диаграмма работы устройства показана на фиг. 2, где ШВ1 и ШВ2 - шкала времени первого и второго объектов соответственно, t1 и t2 - секундные метки 1 Гц шкал времени первого и второго объектов, соответственно, τз - время прохождения оптического импульса по оптоволоконной линии.
в шкале времени первого объекта, сформированной генератором сигнала 1 Гц, секундные метки которого поступают в таймер событий 1. Информация о значении
поступает в компьютер 5. Часть мощности оптического импульса, прошедшего через оптоволоконную линию 9, отражается от полупрозрачного зеркала 10 на втором объекте, проходит обратно по оптоволоконной линии 9 и через циркулятор 8 поступает на приемник оптических импульсов 4. Электрический импульс с приемника 4 поступает на таймер событий 3, на который также поступает сигнал 1 Гц шкалы времени первого объекта ШВ1. Таймер событий 3 фиксирует момент времени прихода отраженного импульса
в шкале времени первого объекта. Информация о значении
поступает в компьютер 5.
t2 определяется расхождение шкал времени удаленных объектов Δt по формуле
,
- измеренное время излучения оптического импульса с первого объекта в шкале времени первого объекта,
- измеренное время прихода на первый объект отраженного со второго объекта оптического импульса в шкале времени первого объекта,