Изобретение относится к полимерным композициям на основе полипропилена и может быть использовано в производстве изделий медицинского назначения. Композиция содержит полипропилен с показателем текучести расплава 25-35 г/10 мин, дивинилстирольный термоэластопласт с показателем текучести расплава не более 1 г/10 мин, поликарбонат с показателем текучести расплава 6,5±1 г/10 мин, пространственно затрудненный амин, триаллилизоцианурат и в количестве от 0,0010 до 0,0500 мас.% наноцеллюлозу в качестве стабилизатора. Композиция обладает повышенной радиационной стойкостью, а полученные из нее изделия медицинского назначения имеют повышенный срок хранения. 3 табл., 6 пр.
Полимерная композиция, стойкая к воздействию ионизирующего излучения, включающая полиолефин, сополимер, пространственно затрудненный амин, триаллилизоцианурат и стабилизатор, отличающаяся тем, что в качестве полиолефина она содержит полипропилен с показателем текучести расплава 25-35 г/10 мин, в качестве сополимера она содержит блок-сополимер - дивинилстирольный термоэластопласт с показателем текучести расплава не более 1 г/10 мин, в качестве стабилизатора содержит наноцеллюлозу и дополнительно содержит поликарбонат с показателем текучести расплава 6,5±1 г/10 мин при следующем соотношении компонентов, мас. %: указанный полипропилен 95,944-73,45 указанный дивинилстирольный термоэластопласт 2,000-12,000 пространственно затрудненный амин 0,050-0,500 триаллилизоцианурат 0,005-2,000 наноцеллюлоза 0,0010-0,0500 указанный поликарбонат 2,000-12,000
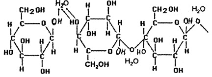
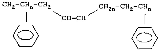
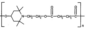
Изобретение относится к полимерным композициям на основе полиолефина и может быть использовано в производстве изделий медицинского назначения, в частности пробирок для анализов в медицинских учреждениях и нетканых материалов для изготовления изделий медицинского назначения. Известна полимерная композиция на основе полиолефинов, включающая кристаллический изотактический полипропилен, кристаллический полиэтилен и аморфную сополимерную фракцию этилена и пропилена, при следующем соотношении компонентов, мас. %: см. Патент US №4521566, МПК C08F 29708, C08L 23/16, 1985. Указанная композиция обладает жесткостью, затрудняющей процесс переработки. Наиболее близкой по технической сущности является полимерная композиция, стойкая к воздействию ионизирующего излучения, включающая полиолефин, сополимер и стабилизатор, которая в качестве полиолефина содержит полиэтилен с показателем текучести расплава от 5 до 15 г/10 мин, в качестве сополимера содержит сополимер пропилена с этиленом с содержанием от 3 до 11% этилена и с показателем текучести расплава от 25 до 50 г/10 мин, в качестве стабилизатора она содержит пентаэритрил-тетракис-3-(3',5'-ди-трет-бутил-4'-гидроксифенил)пропионат, дополнительно содержит пространственно затрудненный амин, соединение, содержащее аллилированные шестичленные циклы - триаллилизоцианурат, пентаэритрит и концентрат красителя Remafin, при следующем соотношении компонентов, мас. %: см. Патент RU №2515558, МПК C08J 3/20 (2006.01), C08L 23/16 (2006.01), C08L 23/06 (2006.01), C08K 5/00 (2006.01), 2014. Недостатками являются недостаточная стойкость изделий к действию ионизирующего излучения из указанной полимерной композиции и, как следствие, короткий срок хранения изделий из него. Задачей изобретения является повышение радиационной стойкости изделий из заявленной полимерной композиции. Техническая задача решается тем, что полимерная композиция, стойкая к воздействию ионизирующего излучения, включающая полиолефин, сополимер, пространственно затрудненный амин, триаллилизоцианурат и стабилизатор, согласно изобретению в качестве полиолефина она содержит полипропилен с показателем текучести расплава 25-35 г/10 мин, в качестве сополимера она содержит блок-сополимер - дивинилстирольный термоэластопласт с показателем текучести расплава не более 1 г/10 мин, в качестве стабилизатора содержит наноцеллюлозу и дополнительно содержит поликарбонат с показателем текучести расплава 6,5±1 г/10 мин при следующем соотношении компонентов, мас. %: Решение технической задачи позволяет повысить радиационную стойкость полимерной композиции, позволяющей получать из нее изделия медицинского назначения с повышенным сроком хранения изделий. Полимерная композиция содержит: полипропилен с показателем текучести расплава (ПТР) 25-35 г/10 мин, показатель текучести расплава определяют при температуре 230°С и нагрузке 2,16 кг по ГОСТ 11645-73, см. https://www.nknh.ru/upload/iblock/49a/1562r.pdf поликарбонат с показателем текучести расплава (ПТР) 6,5+1 г/10 мин, показатель текучести расплава определяют при температуре 300°С и нагрузке 1,2 кгс по ГОСТ 11645-73, см. http://www.kazanorgsintez.ru/upload/catalog/PK.pdf Дивинилстирольный термоэластопласт, структурная формула: содержит 70% полибутадиена и 30% полистирола, с показателем текучести расплава не более 1 г/10 мин, показатель текучести расплава (ПТР) дивинилстирольного термоэластопласта определяют при температуре 190°С и нагрузке 5 кг по ГОСТ 11645-73, см. http://sibur-int.ru/product/rubber/catalog/item74.php Пространственно затрудненный амин, структурная формула: имеет химическое название: поли-(N-бета-гидроксиэтил-2,2,6,6-тетраметил-4-гидрокси-пиперидилсукцинат) и известен под торговой маркой «Tinuvin 622»; Триаллилизоцианурат, структурная формула: относится к классу шестичленных гетероциклов, имеет химическое название триаллил-сим-триазин-2,4,6(1Н,3Н,5Н)-трион. Способ его получения описан, см. Патент RU №2427576, МПК C07D 251/34(2006.01), 2011, и используют его в качестве сшивающего компонента для термопластиков и синтетического каучука. Наноцеллюлоза, структурная формула: Наноцеллюлоза представляет собой набор наноразмерных волокон целлюлозы с высоким отношением сторон (длины к ширине). Типичная ширина такого волокна составляет 5-20 нм, а продольный размер варьируется от 10 нм до нескольких микрон. Материал обладает свойством псевдопластичности, т.е. является вязким при обычных условиях и ведет себя как жидкость при физическом взаимодействии (тряске, взбалтывании и т.п.). Способ ее получения описан, см. RU Патент №2505545, МПК D01F 2/00(2006.01), С08В 15/02 (2006.01), С08В 15/00 (2006.01), В82В 3/00 (2006.01), 2014. Использование наноцеллюлозы в качестве добавки, повышающей стойкость к воздействию ионизирующего излучения неизвестно. Для лучшего понимания изобретения приводим примеры конкретного выполнения. Пример 1 Компоненты полимерной композиции берут в соотношении, мас. %: Для получения нетканого материала указанные компоненты загружают в экструдер и расплавляют при температуре 190-220°С. Из экструдера, расплавленная композиция поступает в фильеру, где происходит формирование волокон при прохождении ее через мелкие отверстия, обычно расположенные одним или несколькими рядами в фильере. Нити быстро охлаждают с помощью воздуха при низком давлении, подвергают пневматической вытяжке и укладывают на движущуюся перфорированную плиту, ленту или "формующую сетку", где происходит образование нетканого материала. Нетканые материалы из расплава получают с плотностью 35 г/м. Для определения прочности при растяжении, относительного удлинения в продольном направлении и прочности при разрыве нетканых материалов определяют по ГОСТ Р 53226-2008. Полотна нетканые. Методы определения прочности. Примеры 2-6 аналогичны примеру 1. Соотношения компонентов и свойства нетканого материала из полимерной композиции приведены в таблице 2. Образцы нетканого материала, полученные по примерам 1-6, подвергают стерилизации на радиационно-технологической установке «Электронный стерилизатор» с ускорителем электронов УЭЛВ-10-10-С-70 (ИФХЭ РАН) дозами 30 и 75 кГрей, см. Методика МИ 2649-2001 «ГСИ. Поглощенные дозы фотонного и электронного излучений при установлении стерилизующей и максимально допускаемой дозы для изделий медицинского назначения, подвергаемых радиационной стерилизации. Методика выполнения измерений». Показатели прочности и относительного удлинения при растяжении и прочности при разрыве нетканых материалов определяют до и после воздействия на образцы ионизирующего излучения. Для получения готовых изделий из полимерной композиции в виде, например, пластиковых пробирок, указанные компоненты загружают в смеситель, где происходит смешение компонентов при 190-220°С, затем полученную смесь гранулируют в шнековом экструдере при 190-230°С, далее полученные гранулы загружают в литьевую машину, готовые изделия (пробирки) получают при 160-220°С. Мутность полученных изделий определяют по ГОСТ 15875-80. Пластмассы. Методы определения коэффициента пропускания и мутности. Прочность и протекание пробирок определяют по ГОСТ ISO 6710-2011. Показатель текучести расплава определяют по ГОСТ 11645-73. Пластмассы. Метод определения показателя текучести расплава термопластов. Соотношения компонентов и свойства полученных изделий - пробирок приведены в таблице 3. Образцы изделий (пробирок) подвергают стерилизации на радиационно-технологической установке «Электронный стерилизатор» с ускорителем электронов УЭЛВ-10-10-с-70 (ИФХЭ РАН) дозами 25, 56 и 73 кГрей, см. Методика МИ 2649-2001 «ГСИ. Поглощенные дозы фотонного и электронного излучений при установлении стерилизующей и максимально допускаемой дозы для изделий медицинского назначения, подвергаемых радиационной стерилизации. Методика выполнения измерений». Показатели мутности, прочности и показателя текучести расплава изделий (пробирок) определяют до и после воздействия ионизирующего излучения. В таблице 1 приведены свойства нетканого материала, изготовленного из полимерной композиции по прототипу. Изготовление нетканого материала из полимерной композиции по прототипу расплавляют в экструдере при температуре 200-230°С, тогда как при изготовлении нетканого материала из заявляемой композиции температура в экструдере составляет 190-220°С. В таблице 3 приведены свойства изделий (пробирок), изготовленных из заявленной полимерной композиции, и контрольный образец из полипропилена для сравнения. Изготовление нетканого материала из полимерной композиции по прототипу расплавляют в экструдере при температуре 200-230°С, тогда как при изготовлении нетканого материала из заявляемой композиции температура в экструдере составляет 190-220°С. Как видно из примеров конкретного выполнения, см. Таблицу 2, нетканый материал, полученный на основе заявляемой полимерной композиции, обладает по сравнению с прототипом повышенной радиационной устойчивостью до 14,3%, которую характеризует значение показателя прочности при разрыве, и это значение показателя сохраняется до и после воздействия ионизирующего облучения дозой, аналогичной по прототипу. Как видно из примеров конкретного выполнения, см. Таблицу 3, изделия (пробирки), полученные на основе заявляемой полимерной композиции и облученные дозой 73 кГрей, обладают по сравнению с контрольным образцом с повышенной радиационной устойчивостью до 58%, которую характеризует значение показателя текучести расплава, и это значение показателя сохраняется до и после воздействия ионизирующего облучения. Таким образом, решение технической задачи позволяет повысить радиационную стойкость полимерной композиции и получать из нее изделия медицинского назначения с повышенным сроком хранения.кристаллический изотактический полипропилен 74-91 кристаллический полиэтилен 1,8-8,0 аморфная сополимерная фракция этилена и пропилена 7,2-18 указанный сополимер пропилена с этиленом 98,795-90,00 указанный полиэтилен 1,000-5,000 пространственно затрудненный амин 0,050-0,500 триаллилизоцианурат 0,005-2,000 указанный стабилизатор 0,050-1,000 пентаэритрит 0,050-0,500 концентрат красителя Remafin 0,050-1,000 указанный полипропилен 95,944-73,45 указанный дивинилстирольный термоэластопласт 2,000-12,000 пространственно затрудненный амин 0,050-0,500 триаллилизоцианурат 0,005-2,000 наноцеллюлоза 0,0010-0,0500 указанный поликарбонат 2,000-12,000
,
,
,
полипропилен с ПТР, равным, 35 г/10 мин 95,944 дивинилстирольный термоэластопласт, содержащий 70% полибутадиена и 30% полистирола, с ПТР, равным, 1 г/10 мин 2,000 пространственно затрудненный амин - поли-(К-бета-гидроксиэтил-2,2,6,6-тетраметил-4- гидрокси-пиперидилсукцинат) 0,050 триаллилизоцианурат 0,005 наноцеллюлоза 0,0010 поликарбонат с ПТР, равным, 6,5 г/10 мин 2,000 



