Изобретение относится к выработке топлива из бака летательного аппарата. Способ выработки топлива из бака летательного аппарата, оснащенного капиллярным заборным устройством, заключается в том, что выработку топлива из бака проводят через капиллярное заборное устройство до объема остатка топлива в баке. Объем остатка топлива определяется удерживающей способностью и гидравлическим сопротивлением капиллярного фазового разделителя. В процессе выработки топлива уменьшают объем КЗУ так, чтобы его высота над уровнем топлива в баке в направлении действия перегрузки () была меньше высоты гидростатического столба, удерживаемого силами поверхностного натяжения капиллярного фазового разделителя (). Изобретение позволяет обеспечить минимальный остаток при выработке топлива из бака в условиях эксплуатации летательного аппарата. 1 з.п. ф-лы, 3 ил.
1. Способ выработки топлива из бака летательного аппарата, оснащенного капиллярным заборным устройством (КЗУ), заключающийся в том, что выработку топлива из бака проводят через КЗУ до объема остатка топлива в баке, определяемого удерживающей способностью и гидравлическим сопротивлением капиллярного фазового разделителя (КФР), отличающийся тем, что в процессе выработки топлива уменьшают объем КЗУ так, чтобы его высота над уровнем топлива в баке в направлении действия перегрузки hст была меньше высоты гидростатического столба, удерживаемого силами поверхностного натяжения КФР 2. Способ по п. 1, отличающийся тем, что в процессе выработки топлива для уменьшения объема используют неуравновешенные силы объемного сжатия при появлении перепада давления между внутренней полостью КЗУ, расположенной над уровнем топлива, и газовой полостью бака, возникающие при выполнении системы неравенств где
:

- приведенная масса подвижной части конструкции КЗУ, n - модуль вектора суммарной перегрузки, g - ускорение свободного падения, ρ - плотность топлива, х - величина перемещения конструкции КЗУ в процессе уменьшения объема относительно исходного состояния, x∈[0;xmax], xmax - перемещение конструкции КЗУ при максимальном уменьшении объема, объемный расход топлива из бака, xΣ - перемещение поверхности раздела «газ-топливо» в баке относительно исходного положения конструкции КЗУ, Sэф - эффективная площадь КЗУ в направлении вектора суммарной перегрузки,
- приведенный коэффициент жесткости конструкции КЗУ,
, сКЗУ - коэффициент жесткости, ΔV(x) - объем конструкции КЗУ, расположенный над уровнем топлива, КУС - коэффициент удерживающей способности КФР, Δpсум - суммарные потери напора топлива на КФР, учитывающие гидравлические потери, потери на воздействие вибраций и динамические потери.
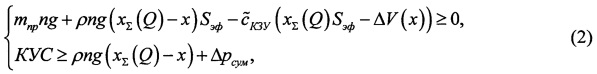
Изобретение относится к способам выработки топлива из бака высокоманевренного летательного аппарата (ЛА), использующего капиллярные заборные устройства (КЗУ). Известны способы выработки топлива из бака ЛА, основанные на использовании различных физических принципов: механического (инерционные, эластичные и металлические разделители газовой и жидкой фаз и др.), капиллярного (сеточные и пористые фазоразделители), комбинированного (сочетание механического и капиллярного способов) и другие, реализованные в различных устройствах. Известны способы выработки топлива из бака ЛА с использованием эластичных мешков, металлических диафрагм и сильфонов (Козлов Α.Α., Новиков В.Н., Соловьев Е.В. Системы питания и управления жидкостных ракетных двигательных установок. М.: Машиностроение, 1988. С. 291. Рис. 4.15, 4.16, 4.17). Они обеспечивают высокую степень выработки топлива, но практически неприменимы в конструкциях ЛА, имеющих сложную (кольцевую и т.п.) форму бака, например, в ЛА с прямоточным воздушно-реактивным двигателем с центральным воздухозаборником, внутренние полости бака которых загромождены агрегатами и транзитными трубопроводами. Широкое применение в ЛА нашли инерционные заборные устройства (Козлов Α.Α., Новиков В.Н., Соловьев Е.В. Системы питания и управления жидкостных ракетных двигательных установок. М.: Машиностроение, 1988. С. 290. Рис. 4.13, 4.14). Основным недостатком этих устройств является низкая чувствительность к воздействию малых и нечувствительность к нулевым перегрузкам, которые имеют место при маневрировании ЛА, что приводит к нарушению сплошности потока топлива на входе в маршевый двигатель (МД). Капиллярный способ выработки топлива нашел применение в космической технике (Капиллярные системы отбора жидкости из баков космических летательных аппаратов / В.В. Багров [и др.]. Под ред. проф. В.М. Поляева. М.: УНПЦ «Энергомаш», 1997), а также в атмосферных ЛА (Пневмогидравлические системы двигательных установок с жидкостными ракетными двигателями / В.Н. Челомей [и др.]. М.: Машиностроение, 1978. С. 26. Рис. 27). Вместе с тем, основным недостатком этого способа является существенная зависимость удерживающей способности КЗУ от перегрузок и изменения физических свойств топлива при изменении (росте) температуры в полете, характерном для функционирования атмосферных ЛА. Наиболее близким к предлагаемому является способ, реализованный в комбинированной инерционно-капиллярной системе выработки топлива, представленной в патенте РФ №2497724, который рассматривается в качестве ближайшего аналога. Расходный отсек бака (последний по выработке в баке) разделен на две соединенные последовательно емкости. В последней из них по выработке установлено КЗУ, в предыдущей - инерционные переливные устройства. Инерционные переливные устройства обеспечивают перелив топлива в емкость с КЗУ без газовых включений при воздействии перегрузок в процессе маневрирования ЛА. При смене знака перегрузок сплошность потока на входе в МД обеспечивается КЗУ. Преимущество такого способа выработки топлива заключается в том, что он может быть применен в баке сложной конфигурации, в том числе и в баке кольцевого сечения, внутри которого располагаются агрегаты системы наддува и магистральные трубопроводы. Недостатком такого способа является то, что остаток топлива в емкости, в которой установлено КЗУ, зависит от размера КЗУ и значительно увеличивается при увеличении перегрузки и увеличении температуры топлива за счет уменьшения коэффициента удерживающей способности (КУС) КЗУ. В первом случае увеличение перегрузки приводит к пропорциональному увеличению давления гидростатического столба, а во втором - увеличение температуры приводит к уменьшению коэффициента поверхностного натяжения топлива. Для многих современных высокоманевренных ЛА характерным является высокий градиент роста температуры топлива от начала до конца полета из-за аэродинамического нагрева. Размер КЗУ ограничивается при этом характерными размерами отсека, где оно расположено, и необходимостью обеспечения минимального значения гидравлического сопротивления КЗУ (максимальной площади поверхности капиллярного фазового разделителя (КФР)) в начале полета в условиях низких температур. На представленных графических материалах изображено: фиг. 1 - схема топливного бака с КЗУ, фиг. 2 - порядок выработки топлива из бака при наличии КЗУ изменяемого объема, фиг. 3 - уменьшение остатка топлива при использовании предлагаемого способа. Отличительной особенностью заявленного способа является то, что в процессе выработки топлива уменьшают объем КЗУ так, чтобы его высота над уровнем топлива в баке в направлении действия перегрузки hст была меньше высоты гидростатического столба, удерживаемого силами поверхностного натяжения КФР а также то, что в процессе выработки топлива для уменьшения объема используют неуравновешенные силы объемного сжатия при появлении перепада давления между внутренней полостью КЗУ, расположенной над уровнем топлива, и газовой полостью бака (фиг. 1), возникающие при выполнении системы неравенств: где mпр - приведенная масса подвижной части конструкции КЗУ, n - модуль вектора суммарной перегрузки, g - ускорение свободного падения, ρ - плотность топлива, х - величина перемещения конструкции КЗУ в процессе уменьшения объема относительно исходного состояния, x∈[0;хmах], xmax - перемещение конструкции КЗУ при максимальном уменьшении объема, Q - объемный расход топлива из бака, xΣ - перемещение поверхности раздела «газ-топливо» в баке относительно исходного положения конструкции КЗУ, Sэф - эффективная площадь КЗУ в направлении вектора суммарной перегрузки, Технической задачей изобретения является уменьшение остатка топлива в баке по сравнению с ближайшим аналогом. Решение задачи достигается путем уменьшения объема КЗУ в процессе выработки топлива и использования для этого неуравновешенных сил объемного сжатия, возникающих и воздействующих на конструкцию КЗУ при появлении перепада давления между внутренней полостью КЗУ, расположенной над уровнем топлива, и газовой полостью бака. Оценим условия, определяющие возможность реализации способа. Введем неподвижную систему координат (СК) ОХ, х∈[0;хmах], представленную на фиг. 2 (использованы обозначения: «г» - газовая фаза (газ наддува), «т» - жидкая фаза (топливо), Σ - поверхность раздела «газ-топливо»), в которой x - величина перемещения конструкции КЗУ в процессе уменьшения объема относительно исходного состояния, xmax - перемещение конструкции КЗУ при максимальном уменьшении объема, xΣ - координата уровня топлива в баке относительно начала СК. Определим координату hст - текущее значение высоты удерживаемого столба топлива, hст≥0, которая отсчитывается от подвижной части конструкции КЗУ. На фиг. 2 обозначены: Нmах - высота конструкции КЗУ в исходном состоянии, Н - текущее значение высоты конструкции КЗУ. Без ограничений общности рассматривается случай уменьшения объема конструкции КЗУ в направлении вектора суммарной перегрузки. Получим систему неравенств (2). Запишем проекцию уравнения движения подвижной части конструкции КЗУ на ось ОХ, пренебрегая силой трения, возникающей при движении массы топлива по сетчатой поверхности КФР внутри КЗУ: где t - время, рг - давление газа наддува, Из уравнения (3) следует, что уменьшение объема конструкции КЗУ происходит только в том случае, если выполнено неравенство: Давление топлива в точке А Подставляя формулу (5) в неравенство (4), получаем: Модуль силы сопротивления FКЗУ определяется по формуле: где Положение уровня топлива в баке (поверхности раздела «газ-топливо» Σ) определяется в общем случае объемным расходом топлива Q: Подставляя формулы (7) и (8) в неравенство (6), окончательно получаем: Отметим, что сила объемного сжатия появляется только в том случае в процессе уменьшения объема КЗУ, если не нарушена удерживающая способность капиллярного экрана, образуемого топливом и КФР, т.е. выполнено условие: где КУС=4σ cos θ/dэкв, σ - коэффициент поверхностного натяжения топлива, θ - краевой угол смачивания, dэкв - эквивалентный диаметр КФР. Неравенства (9) и (10) образуют систему, которая определяет воздействие неуравновешенных сил объемного сжатия на уменьшение объема конструкции КЗУ. Таким образом, при использовании предлагаемого способа суммарный остаток топлива зависит от геометрических характеристик КЗУ в баке и может быть уменьшен (при одинаковых значениях КУС, расхода топлива, исходного объема КЗУ (фиг. 3)) на: - разность объемов топлива (внутри КЗУ) в исходном и конечном состоянии КЗУ; - разность между объемом топлива в баке (вне КЗУ), соответствующим КУС в исходном состоянии КЗУ, и минимальным объемом топлива в баке, соответствующим минимальному конструктивному объему КЗУ в конечном состоянии.
:

- приведенный коэффициент жесткости конструкции КЗУ,
, сКЗУ - коэффициент жесткости, ΔV(x) - объем конструкции КЗУ, расположенный над уровнем топлива, КУС - коэффициент удерживающей способности КФР, Δpсум - суммарные потери напора топлива на КФР, учитывающие гидравлические потери, потери на воздействие вибраций и динамические потери.
- давление топлива в точке А, FКЗУ - сила сопротивления, обусловленная жесткостью конструкции КЗУ.
определяется давлением газа наддува рг и высотой столба топлива hст:


- приведенный коэффициент жесткости, для которого
, сКЗУ - коэффициент жесткости.

