Использование: в области электроэнергетики, в системах релейной защиты электроустановки. Технический результат - исключение случаев неправильной работы устройства путем своевременного выявления сверхнормативных отклонений его напряжений срабатывания и возврата, количества электричества импульса режекции и продолжительности задержки срабатывания. Способ контроля устройства релейной защиты электроустановки включает подачу тестового сигнала на вход устройства релейной защиты электроустановки и определение напряжений его срабатывания и возврата. Дополнительно определяют время задержки срабатывания и количество электричества импульса режекции, причем контроль проводят в три этапа, на каждом из них, в качестве тестового сигнала, на вход устройства релейной защиты электроустановки подают прямоугольный двухступенчатый импульс напряжения. На первом этапе контроля проверяют факт превышения напряжением срабатывания минимально допустимого значения и факт возможного отклонения продолжительности задержки срабатывания устройства от заданного значения в отрицательную сторону. На втором этапе контроля проверяют факт непревышения напряжением срабатывания максимально допустимого значения, факт возможного отклонения продолжительности задержки срабатывания в положительную сторону и факт превышения напряжением возврата минимально допустимого значения. На третьем этапе контроля определяют количество электричества импульса режекции и проверяют факт непревышения напряжением возврата максимально допустимого значения, и при соответствии параметров контролируемого устройства нормативно допустимым значениям проверяемое устройство релейной защиты электроустановки признают обладающим удовлетворительной помехоустойчивостью, а при несоответствии хотя бы одного из полученных параметров нормативно допустимым значениям контролируемое устройство релейной защиты электроустановки признают обладающим неудовлетворительной помехоустойчивостью. 1 з.п. ф-лы, 4 табл., 7 ил.
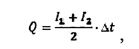
1. Способ контроля устройства релейной защиты электроустановки, включающий подачу тестового сигнала на вход устройства релейной защиты электроустановки и определение напряжений его срабатывания и возврата, отличающийся тем, что дополнительно определяют время задержки срабатывания и количество электричества импульса режекции, причем контроль проводят в три этапа, на каждом из них, в качестве тестового сигнала, на вход устройства релейной защиты электроустановки подают прямоугольный двухступенчатый импульс напряжения, при этом на первом этапе контроля проверяют факт превышения напряжением срабатывания минимально допустимого значения и факт возможного отклонения продолжительности задержки срабатывания устройства от заданного значения в отрицательную сторону, на втором этапе контроля проверяют факт непревышения напряжением срабатывания максимально допустимого значения, факт возможного отклонения продолжительности задержки срабатывания в положительную сторону и факт превышения напряжением возврата минимально допустимого значения, на третьем этапе контроля определяют количество электричества импульса режекции и проверяют факт непревышения напряжением возврата максимально допустимого значения, и при соответствии параметров контролируемого устройства нормативно допустимым значениям проверяемое устройство релейной защиты электроустановки признают обладающим удовлетворительной помехоустойчивостью, а при несоответствии хотя бы одного из полученных параметров нормативно допустимым значениям контролируемое устройство релейной защиты электроустановки признают обладающим неудовлетворительной помехоустойчивостью. 2. Способ контроля устройств релейной защиты электроустановок по п. 1, отличающийся тем, что на первом этапе контроля на вход устройства релейной защиты электроустановки подают двухступенчатый импульс напряжения, амплитуда напряжения первой ступени импульса на 1±0,1 В меньше минимально допустимого напряжения срабатывания проверяемого устройства, а продолжительность первой ступени тестового импульса на 10±1 мс больше заданной продолжительности задержки срабатывания проверяемого устройства, амплитуда напряжения второй ступени импульса составляет 110±1% от номинального напряжения устройства, а продолжительность второй ступени импульса меньше заданной продолжительности задержки срабатывания на 1±0,1 мс, на втором этапе контроля на вход устройства релейной защиты электроустановки подают двухступенчатый импульс напряжения, амплитуда напряжения первой ступени импульса равна максимально допустимому напряжению срабатывания устройства, а продолжительность первой ступени тестового импульса на 1±0,1 мс больше установленной продолжительности задержки срабатывания проверяемого устройства, амплитуда напряжения второй ступени импульса равна минимально допустимому напряжению возврата устройства, а продолжительность второй ступени импульса не менее 20±1 мс, на третьем этапе контроля на вход устройства релейной защиты электроустановки подают двухступенчатый импульс напряжения, амплитуда напряжения первой ступени импульса составляет 110±1% от номинального напряжения проверяемого устройства, а продолжительность первой ступени тестового импульса на 1±0,1 мс больше заданной продолжительности задержки срабатывания проверяемого устройства, амплитуда напряжения второй ступени импульса на 1±0,1 В больше максимально допустимого напряжения возврата, а продолжительность второй ступени не менее 20±1 мс, причем количество электричества импульса режекции рассчитывают по формуле где Q - количество электричества импульса режекции (мкКл); I1 - ток во входной цепи устройства в начальный момент при подаче импульса (мА); I2 - ток во входной цепи устройства в момент времени, равный нормативному времени задержки срабатывания устройства (мА); Δt - заданное время задержки срабатывания устройства (мс).
Изобретение относится к области электроэнергетики, а именно к системам релейной защиты электроустановки. Известен способ контроля устройства релейной защиты электроустановки (далее устройство), включающий подачу тестового сигнала на сигнальный вход устройств и определении напряжений его срабатывания и возврата (см. ГОСТ 17523-85 «Реле электромагнитные. Общие технические условия», 1985 г., с. 11-12) Этот способ позволяет контролировать напряжение срабатывания и напряжение возврата устройств для проверки соответствия этих параметров требованиям ГОСТ 17523-85 «Реле электромагнитные. Общие технические условия» (1985 г.). Недостатком его является невозможность контроля продолжительности задержки срабатывания и количества электричества импульса режекции, обеспечивающих помехоустойчивость современных устройств, поскольку современные микропроцессорные устройства более чувствительны к электромагнитным помехам, чем устаревшие электромеханические устройства, что предполагает дополнительную проверку продолжительности задержки их срабатывания и количества электричества импульса режекции. Задачей настоящего изобретения является контроль помехоустойчивости устройства путем проверки как напряжений его срабатывания и возврата, так и количества электричества импульса режекции и заданной продолжительности задержки срабатывания. Техническим результатом изобретения является исключение случаев неправильной работы устройства путем своевременного выявления сверхнормативных отклонений его напряжений срабатывания и возврата, количества электричества импульса режекции и продолжительности задержки срабатывания. Указанная задача решается тем, что в известном способе контроля устройства релейной защиты электроустановки, включающем подачу тестового сигнала на вход устройства релейной защиты электроустановки и определении напряжений его срабатывания и возврата, дополнительно определяют время задержки срабатывания и количество электричества импульса режекции, причем контроль проводят в три этапа, на каждом из них, в качестве тестового сигнала, на вход устройства релейной защиты электроустановки подают прямоугольный двухступенчатый импульс напряжения, при этом, на первом этапе контроля, проверяют факт превышения напряжением срабатывания минимально допустимого значения и факт возможного отклонения продолжительности задержки срабатывания устройства от заданного значения в отрицательную сторону, на втором этапе контроля проверяют факт непревышения напряжением срабатывания максимально допустимого значения, факт возможного отклонения продолжительности задержки срабатывания в положительную сторону и факт превышения напряжением возврата минимально допустимого значения, на третьем этапе контроля определяют количество электричества импульса режекции и проверяют факт непревышения напряжением возврата максимально допустимого значения и при соответствии параметров контролируемого устройства нормативно допустимым значениям, проверяемое устройство релейной защиты электроустановки признают обладающим удовлетворительной помехоустойчивостью, а при несоответствии хотя бы одного из полученных параметров нормативно допустимым значениям контролируемое устройство релейной защиты электроустановки признают обладающим неудовлетворительной помехоустойчивостью. При этом, на первом этапе контроля на вход устройства релейной защиты электроустановки подают двухступенчатый импульс напряжения, амплитуда напряжения первой ступени импульса на 1±0,1 В меньше минимально допустимого напряжения срабатывания проверяемого устройства, а продолжительность первой ступени тестового импульса на 10±1 мс больше заданной продолжительности задержки срабатывания проверяемого устройства, амплитуда напряжения второй ступени импульса составляет 110±1% от номинального напряжения устройства, а продолжительность второй ступени импульса меньше заданной продолжительности задержки срабатывания на 1±0,1 мс, на втором этапе контроля на вход устройства релейной защиты электроустановки подают двухступенчатый импульс напряжения, амплитуда напряжения первой ступени импульса равна максимально допустимому напряжению срабатывания устройства, а продолжительность первой ступени тестового импульса на 1±0,1 мс больше установленной продолжительности задержки срабатывания проверяемого устройства, амплитуда напряжения второй ступени импульса равна минимально допустимому напряжению возврата устройства, а продолжительность второй ступени импульса не менее 20±1 мс, на третьем этапе контроля на вход устройства релейной защиты электроустановки подают двухступенчатый импульс напряжения, амплитуда напряжения первой ступени импульса составляет 110±1% от номинального напряжения проверяемого устройства, а продолжительность первой ступени тестового импульса на 1±0,1 мс больше заданной продолжительности задержки срабатывания проверяемого устройства, амплитуда напряжения второй ступени импульса на 1±0,1 В больше максимально допустимого напряжения возврата, а продолжительность второй ступени не менее 20±1 мс, причем количество электричества импульса режекции рассчитывают по формуле: где Q - количество электричества импульса режекции (мкКл); I1 - ток во входной цепи устройства в начальный момент при подаче импульса (мА); I2 - ток во входной цепи устройства в момент времени, равный нормативному времени задержки срабатывания устройства (мА); Δt - заданное время задержки срабатывания устройства (мс). Устройство релейной защиты электроустановки срабатывает неправильно, если на входные контакты попадет помеха, напряжение которой в течение продолжительности задержки будет превышать напряжение срабатывания этого устройства. Основной причиной возникновения таких помех является перезаряд распределенных емкостей полюсов сети оперативного постоянного тока, к которой подключают устройство релейной защиты электроустановки относительно земли при замыканиях одного из полюсов сети на землю. Одиночные замыкания на землю не отключаются штатными защитными аппаратами. Импульс режекции, за счет обеспечения перезаряда распределенных емкостей полюсов сети, позволяет снизить напряжение помехи на контактах устройства релейной защиты электроустановки до значения, меньшего напряжения срабатывания, за период времени, не превышающий продолжительности задержки срабатывания, что повышает помехоустойчивость устройства. При снижении напряжения на входе устройства ниже напряжения возврата происходит изменение его входного сопротивления. Превышение напряжением возврата максимально допустимого значения, вплоть до напряжения срабатывания устройства, может являться причиной возникновения периодических изменений напряжения на входе устройства с превышением напряжения его срабатывания в течение продолжительного времени. Это явление наблюдается при увеличении несимметрии напряжений между полюсами сети и землей, вследствие коммутационных переключений в сети. Это позволяет обеспечить соответствие устройства релейной защиты электроустановки требованиям нормативных документов в ходе приемо-сдаточных, периодических и типовых испытаний. Проведенные исследования по патентным и научно-техническим информационным источникам показали, что предлагаемый способ неизвестен и не следует явным образом из изученного уровня техники, т.е. соответствует критериям «новизна» и «изобретательский уровень». Предлагаемый способ может быть применен в любой диагностической лаборатории, укомплектованной типовым оборудованием, выпускаемым отечественной или зарубежной промышленностью. Для его осуществления могут быть использованы, например, источник импульсов напряжения типа РЕТОМ-61 и осциллограф двухканальный типа Fluke 192 В. Таким образом, заявленный способ является доступным, а, следовательно, практически применимым. Предлагаемый способ пояснен таблицами и чертежом. На фиг. 1 изображена форма тестового импульса, подаваемого на вход устройства релейной защиты электроустановки на первом этапе контроля. На фиг. 2 изображена форма тестового импульса, подаваемого на вход устройства релейной защиты электроустановки согласно примеру 1 на третьем этапе контроля. На фиг. 3 представлена осциллограмма тока во входной цепи устройства релейной защиты электроустановки согласно примеру 1 на третьем этапе контроля. На фиг. 4 изображена форма тестового импульса, подаваемого на сигнальный вход устройства релейной защиты электроустановки согласно примеру 2 на третьем этапе контроля. На фиг. 5 представлена осциллограмма тока во входной цепи устройства релейной защиты электроустановки согласно примеру 2 на третьем этапе контроля. На фиг. 6 изображена форма тестового импульса, подаваемого на сигнальный вход устройства релейной защиты электроустановки согласно примеру 4 на третьем этапе контроля. На фиг. 7 представлена осциллограмма тока во входной цепи устройства релейной защиты электроустановки согласно примеру 4 на третьем этапе контроля. В таблице 1 представлены результаты сопоставления нормативных и экспериментальных значений параметров устройства релейной защиты электроустановки согласно примеру 1. В таблице 2 представлены результаты сопоставления нормативных и экспериментальных значений параметров устройства релейной защиты электроустановки согласно примеру 2. В таблице 3 представлены результаты сопоставления нормативных и экспериментальных значений параметров устройства релейной защиты электроустановки согласно примеру 3. В таблице 4 представлены результаты сопоставления нормативных и экспериментальных значений параметров устройства релейной защиты электроустановки согласно примеру 4. Предлагаемый способ осуществляют следующим образом: На первом этапе контроля на вход устройства подают тестовый импульс в виде прямоугольного двухступенчатого импульса напряжения (см. фиг. 1). Амплитуда напряжения первой ступени импульса на 1±0,1 В меньше минимально допустимого напряжения срабатывания проверяемого устройства. Продолжительность первой ступени тестового импульса на 10±1 мс больше заданной продолжительности задержки срабатывания проверяемого устройства. Амплитуда напряжения второй ступени импульса составляет 110±1% от номинального напряжения устройства. Продолжительность второй ступени меньше заданной продолжительности задержки срабатывания на 1±0,1 мс. При подаче первой ступени тестового сигнала проверяют факт несрабатывания устройства при подаче на вход тестового импульса ниже минимально допустимого значения на 1±0,1 В. При подаче второй ступени тестового сигнала проверяют факт несрабатывания устройства при продолжительности тестового импульса меньше заранее заданной продолжительности задержки срабатывания на 1±0,1 мс. Первая ступень импульса позволяет проверить факт превышения напряжением срабатывания минимально допустимого значения. Устройство, напряжение срабатывания которого меньше нормативного минимально допустимого напряжения (с учетом того, что продолжительность первой ступени импульса превышает установленную продолжительность задержки срабатывания устройства), сработает при подаче первой ступени импульса. Вторая ступень импульса позволяет проверить факт возможного отклонения продолжительности задержки срабатывания устройства от заданного значения в отрицательную сторону. Устройство, продолжительность задержки срабатывания которого меньше установленного значения на 1 мс или более (с учетом того, что напряжение второй ступени превышает напряжение срабатывания устройства), сработает при подаче второй ступени импульса. Устройство, соответствующее требованиям нормативного документа, не должно сработать при подаче двухступенчатого импульса напряжения. Факт срабатывания или несрабатывания устройства контролируют по факту переключения или непереключения выходной цепи устройства, имеющей связь со входной цепью устройства. На втором этапе контроля на вход проверяемого устройства также подают тестовый импульс в виде прямоугольного двухступенчатого импульса напряжения. Амплитуда напряжения первой ступени импульса равна нормативному максимально допустимому напряжению срабатывания устройства. Продолжительность первой ступени тестового импульса на 1±0,1 мс больше установленной продолжительности задержки срабатывания проверяемого устройства. Амплитуда напряжения второй ступени импульса равна нормативному минимально допустимому напряжению возврата устройства. Продолжительность второй ступени импульса не менее 20±1 мс. При подаче первой ступени тестового сигнала проверяют факт срабатывания устройства при амплитуде сигнала, равной максимально допустимому значению напряжения срабатывания, и продолжительности, превышающей заданную продолжительность задержки срабатывания на 1±0,1 мс. При подаче второй ступени тестового импульса проверяют факт возврата устройства при амплитуде сигнала равной минимально допустимому напряжению возврата и продолжительности не менее 20±1 мс. Первая ступень импульса второго этапа контроля позволяет проверить факт непревышения напряжением срабатывания максимально допустимого значения и факт возможного отклонения продолжительности задержки срабатывания в положительную сторону. Устройство, напряжение срабатывания которого меньше максимально допустимого значения, а также продолжительность задержки срабатывания которого не превышает заданное значение более чем на 1 мс, сработает при подаче первой ступени импульса. Вторая ступень импульса позволяет проверить факт превышения напряжением возврата минимально допустимого значения. Устройство, напряжение возврата которого выше минимально допустимого значения, вернется в исходное состояние в течение второй ступени импульса. Устройство, соответствующее требованиям нормативного документа, должно сработать и вернуться в исходное состояние до окончания импульса. Факт срабатывания или несрабатывания устройства контролируют по факту переключения или непереключения выходной цепи устройства, имеющей логическую связь с входной цепью данного устройства. Факт возврата устройства в исходное состояние контролируют по факту переключения выходной цепи в исходное состояние после срабатывания устройства. На третьем этапе контроля также на вход проверяемого устройства подают тестовый импульс в виде прямоугольного двухступенчатого импульса напряжения. Амплитуда напряжения первой ступени импульса составляет 110±1% от номинального напряжения проверяемого устройства. Продолжительность первой ступени тестового импульса на 1±0,1 мс больше заданной продолжительности задержки срабатывания проверяемого устройства. Амплитуда напряжения второй ступени импульса на 1±0,1 В больше максимально допустимого напряжения возврата. Продолжительность второй ступени не менее 20±1 мс. При подаче первой ступени тестового сигнала проверяют количество электричества импульса режекции устройства. При подаче второй ступени тестового сигнала проверяют факт невозврата устройства при подаче на вход сигнала амплитудой на 1±0,1 В больше максимально допустимого напряжения возврата. Первая ступень импульса третьего этапа проверки позволяет определить количество электричества импульса режекции. Количество электричества импульса режекции рассчитывают на основании осциллограммы тока в цепи устройства по формуле: где Q - количество электричества импульса режекции (мкКл); I1 - ток во входной цепи устройства в начальный момент при подаче импульса (мА); I2 - ток во входной цепи устройства в момент времени, равный нормативному времени задержки срабатывания устройства (мА); Δt - заданное время задержки срабатывания устройства (мс). Вторая ступень импульса третьего этапа контроля позволяет проверить факт непревышения напряжением возврата максимально допустимого значения. Устройство, напряжение возврата которого выше максимально допустимого значения, вернется в исходное состояние в течение второй ступени импульса. Устройство, соответствующее требованиям нормативного документа, должно сработать при подаче первой ступени импульса напряжения и находиться в сработанном состоянии до окончания второй ступени импульса. Факт срабатывания или несрабатывания устройства, а также факт возврата устройства контролируют по переключению или непереключению выходной цепи устройства, имеющей логическую связь с его входной цепью. Пример 1. Проверка устройства релейной защиты электроустановки на соответствие требованиям Стандарта ОАО «ФСК ЕЭС» СТО 56947007-29.120.40.102-2011 «Методические указания по инженерным расчетам в системах оперативного постоянного тока для предотвращения неправильной работы дискретных входов устройств релейной защиты и автоматики, при замыканиях на землю в цепях оперативного постоянного тока подстанций ЕНЭС» (далее СТО). Параметры устройства: Номинальное напряжение устройства 220 В. Установленная продолжительность задержки срабатывания устройства 10 мс. Нормативные требования к устройству: Максимально допустимое напряжение срабатывания - 170 В Минимально допустимое напряжение срабатывания - 158 В Максимально допустимое напряжение возврата - 154 В Минимально допустимое напряжение возврата - 132 В Минимально допустимое количество электричества импульса режекции - 200 мкКл На первом этапе контроля на вход устройства подали тестовый импульс в виде прямоугольного двухступенчатого импульса напряжения (см. фиг. 1). Амплитуда напряжения первой ступени импульса 157 В. Продолжительность первой ступени импульса 20 мс. Амплитуда напряжения второй ступени импульса 242 В. Продолжительность второй ступени импульса 9 мс. Срабатывание устройства не произошло. Таким образом, на первом этапе контроля подтвержден факт превышения напряжением срабатывания устройства минимально допустимого значения, а также подтверждено отсутствие отклонения продолжительности задержки срабатывания в отрицательную сторону. На втором этапе контроля также на вход проверяемого устройства подали тестовый импульс в виде прямоугольного двухступенчатого импульса напряжения. Амплитуда напряжения первой ступени 170 В. Продолжительность первой ступени тестового импульса - 11 мс. Амплитуда напряжения второй ступени импульса 132 В. Продолжительность второй ступени импульса 20 мс. Произошло срабатывание устройства и возврат в исходное состояние до окончания импульса. Таким образом, подтверждены факт непревышения напряжением срабатывания максимально допустимого значения и факт превышения напряжением возврата нормативного минимально допустимого значения. Также подтверждено отсутствие отклонения продолжительности задержки срабатывания в положительную сторону. На третьем этапе контроля также на вход устройства подали тестовый импульс в виде прямоугольного двухступенчатого импульса напряжения (см. фиг. 2). Амплитуда напряжения первой ступени тестового импульса 242 В. Продолжительность первой ступени тестового импульса 11 мс. Амплитуда напряжения второй ступени импульса 155 В. Продолжительность второй ступени тестового импульса 50 мс. Произошло срабатывание устройства при прохождении первой ступени импульса и возврат устройства в исходное состояние после окончания импульса. Далее произведена проверка количества электричества импульса режекции расчетным путем по выражению: Рассчитанное значение 215 мкКл количества электричества импульса режекции превышает нормативное минимально допустимое значение. Таким образом, подтверждены факт превышения количеством электричества импульса режекции минимально допустимого значения и факт непревышения напряжением возврата максимально допустимого значения. Напряжение срабатывания, продолжительность задержки срабатывания, напряжение возврата и количество электричества импульса режекции испытанного устройства релейной защиты электроустановки соответствуют нормативным требованиям. Следовательно, данное устройство обладает удовлетворительной помехоустойчивостью. Результаты сопоставления нормативных и экспериментальных значений параметров устройства релейной защиты электроустановки приведены в таблице 1. Двухступенчатый импульс напряжения, подаваемый на вход устройства, и осциллограмма тока во входной цепи устройства на третьем этапе контроля приведены на фиг. 2, 3. Пример 2. Проверка устройства релейной защиты электроустановки на соответствие требованиям Стандарта ОАО «ФСК ЕЭС» СТО 56947007-29.120.40.102-2011 «Методические указания по инженерным расчетам в системах оперативного постоянного тока для предотвращения неправильной работы дискретных входов устройств релейной защиты и автоматики, при замыканиях на землю в цепях оперативного постоянного тока подстанций ЕНЭС» (далее СТО). Параметры устройства; Номинальное напряжение устройства 220 В. Установленная продолжительность задержки срабатывания устройства 5 мс. Нормативные требования устройству: Максимально допустимое напряжение срабатывания - 170 В Минимально допустимое напряжение срабатывания - 158 В Максимально допустимое напряжение возврата - 154 В Минимально допустимое напряжение возврата - 13.2 В Минимально допустимое количество электричества импульса режекции - 200 мкКл На первом этапе контроля на вход устройства подали тестовый импульс в виде прямоугольного двухступенчатого импульса напряжения (см. фиг. 1). Амплитуда напряжения первой ступени тестового импульса 157 В. Продолжительность первой ступени тестового импульса 20 мс. Амплитуда напряжения второй ступени тестового импульса 242 В. Продолжительность второй ступени тестового импульса 4 мс. Срабатывание устройства не произошло. Таким образом подтверждены факт превышения напряжением срабатывания устройства минимально допустимого значения и факт ограничения отклонения продолжительности задержки срабатывания в отрицательную сторону. На втором этапе контроля также на вход устройства подали тестовый импульс в виде прямоугольного двухступенчатого импульса напряжения. Амплитуда напряжения первой ступени тестового импульса 170 В. Продолжительность первой ступени тестового импульса - 6 мс. Амплитуда напряжения второй ступени тестового импульса 132 В. Продолжительность второй ступени тестового импульса 20 мс. Произошло срабатывание устройства и возврат в исходное состояние до окончания импульса. Таким образом, подтверждены факт непревышения напряжением срабатывания устройства максимально допустимого значения и факт превышения напряжением возврата нормативного минимально допустимого значения. Также подтверждено отсутствие отклонения продолжительности задержки срабатывания устройства в положительную сторону. На третьем этапе контроля также на вход устройства подали тестовый импульс в виде прямоугольного двухступенчатого импульса напряжения (см. фиг. 4). Амплитуда напряжения первой ступени тестового импульса 242 В. Продолжительность первой ступени тестового импульса 6 мс. Амплитуда напряжения второй ступени тестового импульса 155 В, продолжительность 50 мс. Произошло срабатывание устройства при прохождении первой ступени импульса напряжения и возврат устройства в исходное состояние после окончания импульса. Далее произведена проверка количества электричества импульса режекции расчетным путем по выражению: Рассчитанное значение 109 мкКл количества электричества меньше нормативного минимально допустимого значения. Таким образом, не подтверждено превышение количеством электричества импульса режекции минимально допустимого значения. Кроме того, подтверждено непревышение напряжением возврата максимально допустимого значения. Напряжение срабатывания, продолжительность задержки срабатывания и напряжение возврата испытанного устройства релейной защиты электроустановки соответствуют нормативным требованиям. Количество электричества импульса режекции испытанного устройства релейной защиты электроустановки не соответствует нормативным требованиям. Следовательно, данное устройство не обладает удовлетворительной помехоустойчивостью. Результаты сопоставления нормативных и экспериментальных значений параметров устройства релейной защиты электроустановки приведены в таблице 2. Двухступенчатый импульс напряжения, подаваемый на устройство, и осциллограмма тока во входной цепи устройства на третьем этапе контроля приведены на фиг. 4, 5. Пример 3. Проверка устройства релейной защиты электроустановки на соответствие требованиям Стандарта ОАО «ФСК ЕЭС» СТО 56947007-29.120.40.102-2011 «Методические указания по инженерным расчетам в системах оперативного постоянного тока для предотвращения неправильной работы дискретных входов устройств релейной защиты и автоматики, при замыканиях на землю в цепях оперативного постоянного тока подстанций ЕНЭС» (далее СТО). Параметры устройства: Номинальное напряжение устройства 220 В. Установленная продолжительность задержки срабатывания устройства 5 мс. Нормативные требования устройству: Максимально допустимое напряжение срабатывания - 170 В Минимально допустимое напряжение срабатывания - 158 В Максимально допустимое напряжение возврата - 154 В Минимально допустимое напряжение возврата - 132 В Минимально допустимое количество электричества импульса режекции - 200 мкКл На первом этапе контроля на вход устройства подали тестовый импульс в виде прямоугольного двухступенчатого импульса напряжения (см. фиг. 1). Амплитуда напряжения первой ступени тестового импульса 157 В. Продолжительность первой ступени тестового импульса 20 мс. Амплитуда напряжения второй ступени тестового импульса 242 В. Продолжительность второй ступени тестового импульса 4 мс. Срабатывание устройства не произошло. Таким образом, подтверждены факт превышения напряжением срабатывания устройства минимально допустимого значения и отсутствие отклонения продолжительности задержки срабатывания в отрицательную сторону. На втором этапе контроля также на вход устройства подали тестовый импульс в виде прямоугольного двухступенчатого импульса напряжения. Амплитуда напряжения первой ступени 170 В. Продолжительность первой ступени тестового импульса - 6 мс. Амплитуда напряжения второй ступени тестового импульса 132 В. Продолжительность второй ступени тестового импульса 20 мс. Срабатывание устройства не произошло, следовательно, значение напряжения срабатывания и/или задержка срабатывания не соответствуют нормативным требованиям. Таким образом, данное устройство не обладает удовлетворительной помехоустойчивостью. Результаты сопоставления нормативных и экспериментальных значений параметров устройства релейной защиты электроустановки приведены в таблице 3. Пример 4. Проверка устройства релейной защиты электроустановки на соответствие требованиям Стандарта ОАО «ФСК ЕЭС» СТО 56947007-29.120.40.102-2011 «Методические указания по инженерным расчетам в системах оперативного постоянного тока для предотвращения неправильной работы дискретных входов устройств релейной защиты и автоматики, при замыканиях на землю в цепях оперативного постоянного тока подстанций ЕНЭС» (далее СТО). Параметры устройства: Номинальное напряжение устройства 220 В. Установленная продолжительность задержки срабатывания устройства 5 мс. Нормативные требования устройству: Максимально допустимое напряжение срабатывания - 170 В Минимально допустимое напряжение срабатывания - 158 В Максимально допустимое напряжение возврата - 154 В Минимально допустимое напряжение возврата - 132 В Минимально допустимое количество электричества импульса режекции - 200 мкКл На первом этапе контроля на вход устройства подали тестовый импульс в виде прямоугольного двухступенчатого импульса напряжения. Амплитуда напряжения первой ступени тестового импульса 157 В. Продолжительность первой ступени тестового импульса 20 мс. Амплитуда напряжения второй ступени тестового импульса 242 В. Продолжительность второй ступени тестового импульса 4 мс. Произошло срабатывание устройства во время прохождения второй ступени импульса. Не подтвержден факт превышения напряжением срабатывания устройства минимально допустимого значения. Повторно подают аналогичный тестовый импульс в виде прямоугольного двухступенчатого импульса напряжения. Амплитуда напряжения первой ступени тестового импульса 10 В. Продолжительность первой ступени тестового импульса - 20 мс. Амплитуда напряжения второй ступени тестового импульса 242 В. Продолжительность второй ступени тестового импульса 4 мс. Произошло срабатывание устройства во время прохождения первой ступени импульса. Подтверждено отклонение продолжительности задержки срабатывания в отрицательную сторону значением 1 мс. На втором этапе контроля на вход устройства подали тестовый импульс в виде прямоугольного двухступенчатого импульса напряжения. Амплитуда напряжения первой ступени тестового импульса 170 В. Продолжительность первой ступени тестового импульса - 6 мс. Амплитуда напряжения второй ступени тестового импульса 132 В. Продолжительность второй ступени тестового импульса 20 мс. Произошло срабатывание устройства и возврат в исходное состояние до окончания импульса. Таким образом, подтверждены факт непревышения напряжением срабатывания устройства максимально допустимого значения и факт превышения напряжением возврата минимально допустимого значения. Кроме того, подтверждено отсутствие отклонения продолжительности задержки срабатывания устройства в положительную сторону. На третьем этапе контроля на вход устройства подали тестовый импульс в виде прямоугольного двухступенчатого импульса напряжения (см. фиг 6). Амплитуда напряжения первой ступени тестового импульса 242 В. Продолжительность первой ступени тестового импульса 4 мс. Амплитуда напряжения второй ступени тестового импульса 155 В. Продолжительность второй ступени тестового импульса 50 мс. Произошло срабатывание устройства при прохождении первой ступени импульса напряжения и возврат устройства в исходное состояние до окончания импульса. Далее произведена проверка количества электричества импульса режекции расчетным путем по выражению: Рассчитанное значение 107 мкКл количества электричества меньше нормативного минимально допустимого значения. Таким образом, не подтвержден факт превышения количеством электричества импульса режекции минимально допустимого значения и подтвержден факт превышения напряжением возврата максимально допустимого значения. Напряжение срабатывания, продолжительность задержки срабатывания, напряжение возврата и количество электричества импульса режекции испытанного устройства релейной защиты электроустановки не соответствуют нормативным требованиям. Следовательно, данное устройство не обладает удовлетворительной помехоустойчивостью. Результаты сопоставления нормативных и экспериментальных значений параметров устройства релейной защиты электроустановки приведены в таблице 4. Двухступенчатый импульс напряжения, подаваемый на устройство, и осциллограмма тока в цепи устройства приведены на фиг. 6, 7. Таким образом, предложенное техническое решение позволяет исключить случаи неправильной работы устройства путем своевременного выявления сверхнормативных отклонений его напряжений срабатывания и возврата, количества электричества импульса режекции и продолжительности задержки срабатывания. Предлагаемый способ может быть использован при производстве устройства релейной защиты электроустановки, при его приемке в эксплуатацию, а также в процессе эксплуатации электроустановки. Кроме того, предлагаемый способ может быть использован при производстве и использовании автоматики электроустановок на соответствие требованиям нормативных документов в ходе приемо-сдаточных, периодических и типовых испытаний. Список литературы: 1. ГОСТ 17523-85 «Реле электромагнитные. Общие технические условия» 2. Стандарт ОАО «ФСК ЕЭС» СТО 56947007-29.120.40.102-2011 «Методические указания по инженерным расчетам в системах оперативного постоянного тока для предотвращения неправильной работы дискретных входов устройств релейной защиты и автоматики, при замыканиях на землю в цепях оперативного постоянного тока подстанций ЕНЭС» Способ контроля устройства релейной защиты электроустановки Способ контроля устройства релейной защиты электроустановки Способ контроля устройства релейной защиты электроустановки Способ контроля устройства релейной защиты электроустановки







