Группа изобретений относится к химико-фармацевтической промышленности и представляет собой фармацевтическую композицию, обладающую активностью против ВИЧ-инфекции, которая включает лопинавир, ритонавир в эффективном количестве и сорбент, отличающуюся тем, что в качестве сорбента содержит алюмометасиликат в количестве от 21 до 28 % от массы фармацевтической композиции. Также группа изобретений включает применение данной фармацевтической композиции для получения твердой дозированной формы для лечения ВИЧ-инфекций. Группа изобретений позволяет расширить арсенал фармацевтических композиций, обладающих противовирусной активностью и улучшить их фармакокинетические свойства. 2 н. и 10 з.п. ф-лы, 4 ил., 8 табл., 8 пр.
1. Фармацевтическая композиция, обладающая активностью против ВИЧ-инфекции, включающая лопинавир, ритонавир в эффективном количестве и сорбент, отличающаяся тем, что в качестве сорбента содержит алюмометасиликат в количестве от 21 до 28 % от массы фармацевтической композиции. 2. Фармацевтическая композиция по п. 1, отличающаяся тем, что дополнительно содержит глидант, поверхностно-активное вещество и дезинтегрант. 3. Фармацевтическая композиция по п. 2, отличающаяся тем, что в качестве глиданта содержит стеарил фумарат натрия. 4. Фармацевтическая композиция по п. 3, отличающаяся тем, что содержит стеарил фумарат натрия в количестве от 0,1% до 2% от массы фармацевтической композиции. 5. Фармацевтическая композиция по п. 4, отличающаяся тем, что содержит стеарил фумарат натрия в количестве от 0,8% до 1,1% от массы фармацевтической композиции. 6. Фармацевтическая композиция по п. 2, отличающаяся тем, что в качестве поверхностно-активного вещества содержит сорбитана лаурат. 7. Фармацевтическая композиция по п. 6, отличающаяся тем, что содержит сорбитана лаурат в количестве от 5% до 15% от массы фармацевтической композиции. 8. Фармацевтическая композиция по п. 7, отличающаяся тем, что содержит сорбитана лаурат в количестве от 6% до 9% от массы фармацевтической композиции. 9. Фармацевтическая композиция по п. 2, отличающаяся тем, что в качестве дезинтегранта содержит натрия крахмалгликолят. 10. Фармацевтическая композиция по п. 9, отличающаяся тем, что содержит натрия крахмалгликолят в количестве от 1% до 5% от массы фармацевтической композиции. 11. Фармацевтическая композиция по п. 9, отличающаяся тем, что содержит натрия крахмалгликолят в количестве от 2% до 3% от массы фармацевтической композиции. 12. Применение фармацевтической композиции по любому из пп. 1-11 для получения твердой дозированной формы для лечения ВИЧ-инфекций.
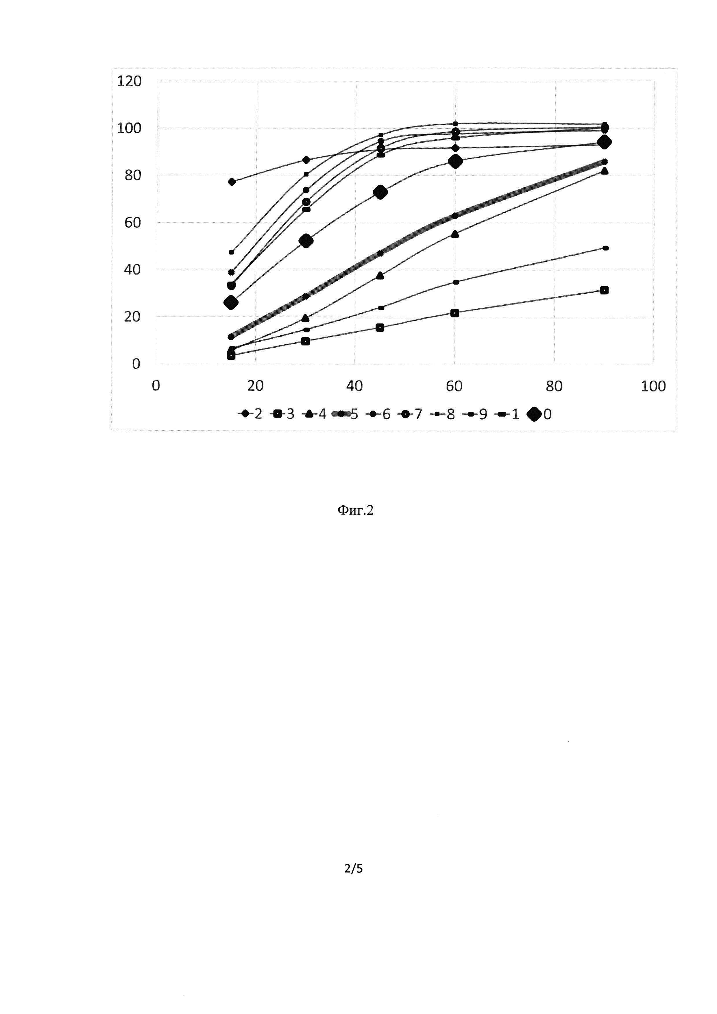
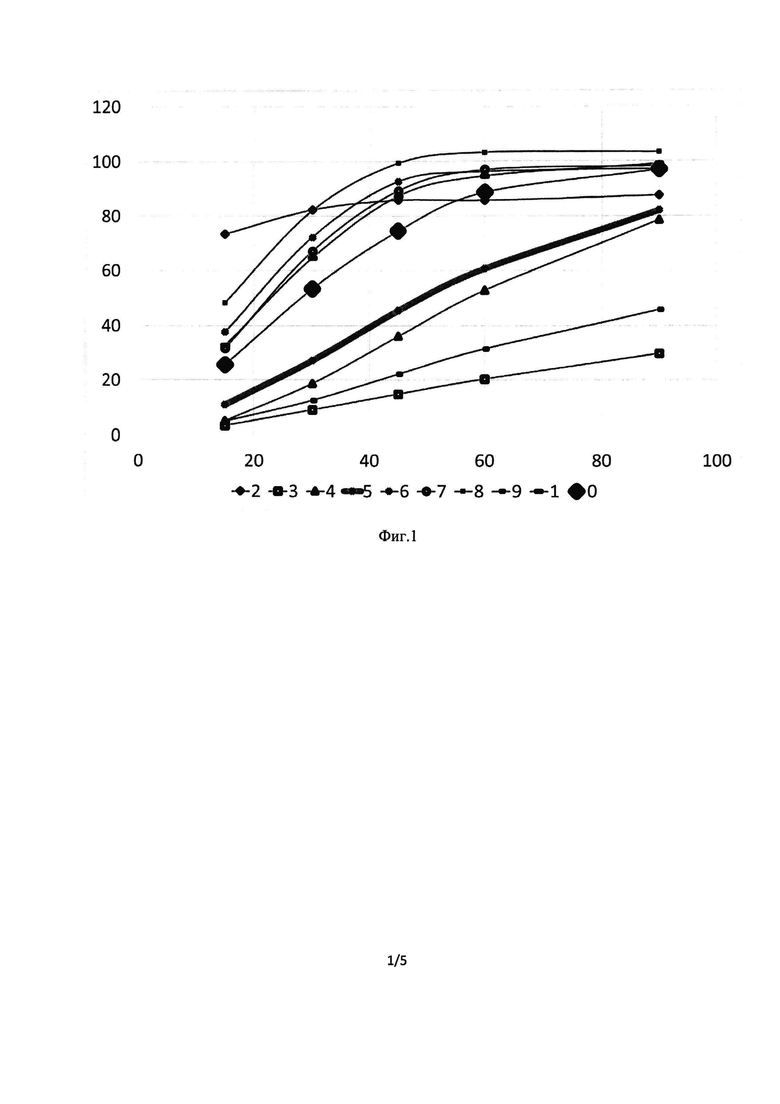
Изобретение относится к области химико-фармацевтической промышленности. Ингибиторы протеазы (ИП) ВИЧ, к которым относится лопинавир и ритонавир, - это вещества, обладающие сродством к активному центру протеазы ВИЧ, которая должна расщеплять полипротеин вируса Gag-Pol на отдельные функциональные белки. В результате действия ингибиторов протеаза не выполняет свою функцию и образуются вирусные частицы, не способные заражать новые клетки. ИП нередко оказывают побочное действие на ЖКТ. При длительном применении возможны нарушения липидного обмена разной степени тяжести и развитие липодистрофии. Среди ингибиторов ВИЧ-протеазы известны такие вещества, как нелфинавир, саквинавир, типранавир, дарунавир, индинавир, атазанавир, ритонавир, лопинавир, палинавир, фосампренавир. Известно, что практически все ингибиторы протеазы ВИЧ относятся ко второму классу BSC. В связи с этим возникают технологические сложности в процессе создания готовых лекарственных форм на основе этих субстанций. Основной задачей при создании новых готовых лекарственных форм, является подбор технологии и состава, так чтобы улучшить или свободно регулировать кинетику высвобождения действующих веществ, стабилизировать готовую лекарственную форму, упростить технологическую схему, уменьшить массу готовой лекарственной формы для увеличения удобства приема. Из уровня техники известен препарат Калетра® таблетки, покрытые пленочной оболочкой (Лопинавир 200 мг + Ритонавир 50 мг)» производства Эбботт ГмбХ и Ко.КГ, Германия, который описан в патенте ЕА 011924 и принят за прототип. Как следует из патента ЕА 0011924, авторами была предпринята попытка улучшить биодоступность твердой лекарственной формы лопинавира + ритонавира. Данная задача была решена путем введения в состав готовой лекарственной формы водорастворимых полимеров в достаточно большом количестве от примерно 50 до примерно 85 мас. % и фармацевтически приемлемое поверхностно-активное вещество в количестве от примерно 2 до примерно 20 вес. % относительно веса дозированной формы, а также использование технологии термопластичной экструзии. В WO 01/00175 раскрыты механически стабильные фармацевтические дозированные формы, которые являются твердыми растворами активных ингредиентов в матрице вспомогательного реагента. Матрица содержит гомополимер или сополимер N-винилпирролидона и жидкое или полужидкое поверхностно-активное вещество. В WO 00/57854 раскрыты механически стабильные фармацевтические дозированные формы для перорального введения, которые содержат, по меньшей мере, одно активное соединение, по меньшей мере, одно термопластично формующееся образующее матрицу вспомогательное вещество и от более 10 и до 40% мае. поверхностно-активного вещества, которое обладает значением ГЛБ (показатель гидрофильно-липофильного баланса) равным от 2 до 18, является жидким при 20°C или обладает температурой каплепадения, равной от 20 до 50°C. Одним из способов улучшения биодоступности труднорастворимых веществ, являются технологии, препятствующие формированию кристаллов этих веществ, в частности иммобилизация молекул действующего вещества на развитой поверхности сорбентов. Обязательными этапами данной технологи является растворение действующего вещества, нанесение на сорбент раствора активного фармацевтического ингредиента и, возможно, но не обязательно, дополнительных вспомогательных веществ и формирование смеси для таблетирования или наполнения капсул. В результате проведения процесса по данной технологии формируется комплекс из отдельных молекул действующего вещества и центров сорбции сорбента. Также в раствор действующего вещества, может быть добавлен полимер, дополнительно препятствующий кристаллизации вещества и ускоряющий растворение. Дополнительно, могут быть добавлены солюбилизаторы и дизентегранты. Существует ряд трудностей при подборе подходящей композиции вспомогательных веществ и технологических параметров. Ведутся постоянные исследования, направленные на разработку новых композиций подходящих для решения поставленной задачи. Краткое описание чертежей Фигура 1. Кинетика высвобождения лопинавира из таблетированных лекарственных форм. Среда растворения 38 г полиоксиэтилена-10-лаурилового эфира в 1 л воды. По оси абсцисс - время растворения в минутах, по оси ординат - процент перешедшего в раствор вещества в процентах. График 1 - соответствует примеру №1, график 2 - соответствует примеру №2, график 3 - соответствует примеру №3, график 4 - соответствует примеру №4, график 5 - соответствует примеру №5, график 6 - соответствует примеру №6, график 7 - соответствует примеру №7, график 8 - соответствует примеру №8, график 9 - соответствует примеру №9, график 0 - соответствует препарату сравнения. Фигура 2. Кинетика высвобождения ритонавира из таблетированных лекарственных форм. Среда растворения 38 г полиоксиэтилена-10-лаурилового эфира в 1 л воды. По оси абсцисс - время растворения в минутах, по оси ординат - процент перешедшего в раствор вещества в процентах. График 1 - соответствует примеру №1, график 2 - соответствует примеру №2, график 3 - соответствует примеру №3, график 4 - соответствует примеру №4, график 5 - соответствует примеру №5, график 6 - соответствует примеру №6, график 7 - соответствует примеру №7, график 8 - соответствует примеру №8, график 9 - соответствует примеру №9, график 0 - соответствует препарату сравнения. Фигура 3. График «поля разработки», демонстрирует зависимость кинетики растворения (по оси у) 10 - оптимальность, 11 - количество перешедшего в раствор ритонавира за 90 минут, 12 - количество перешедшего в раствор лопинавира за 90 минут, 13 - количество перешедшего в раствор ритонавира за 60 минут, 14 - количество перешедшего в раствор лопинавира за 60 минут, 15 - количество перешедшего в раствор ритонавира за 45 минут, 16 - количество перешедшего в раствор лопинавира за 45 минут, 17 - количество перешедшего в раствор ритонавира за 30 минут, 18 - количество перешедшего в раствор лопинавира за 30 минут, 19 - количество перешедшего в раствор ритонавира за 15 минут 20 - количество перешедшего в раствор лопинавира за 15 минут от содержания компонента (по оси x): 21 - натрия стеарил фумарат, 22 - коллоидная двуокись кремния, 23 - повидон, 24 - натрия карбоксиметилцеллюлоза, 25 - натрия крахмалгликолят, 26 - сорбитана лаурат, 27 - оптимальность. Затемненные поля (наиболее выраженный угол наклона черной линии по отношению к горизонтальной красной линии) свидетельствуют о значимости (насыщенность затемнения свидетельствует о степени влияния данного компонента на кинетику растворения действующих веществ. Фигура 4. График « поля разработки», наиболее светлая часть графика соответствует такому содержанию вспомогательных веществ, которое позволяет добиться равного профиля высвобождения действующих веществ из разрабатываемого препарата, относительно препарата сравнения: 28 - натрия стеарил фумарат, 29 - коллоидная двуокись кремния, 30 - повидон, 31 - сорбитана лаурат. Задачей изобретения является разработка альтернативных составов и технологий производства лекарственной формы препарата (ингибитора протеазы ВИЧ), улучшение фармакокинетических параметров препарата. Неожиданно было обнаружено, что в случае использования технологии сорбцйи с алюмометасиликатом в качестве основного сорбента вместо используемой в прототипе технологии термопластичной экструзии удалось улучшить кинетику растворения действующего вещества из ГЛФ и уменьшить массу ГЛФ, увеличив, тем самым, удобство приема. Причем содержание алюмометасиликата в готовой лекарственной форме должно быть от 5 до 65% от массы готовой лекарственной формы. Предпочтительно содержание алюмометасиликата в готовой лекарственной форме должно быть от 10 до 45%. Наиболее предпочтительно от 21 до 28%. Кроме того, применение вышеуказанных состава и технологии, допускает минимальное изменение состава прототипа, что позволяет опираться на исследования безопасности прототипа. Безопасность вновь вводимого компонента - алюмометасиликата подтверждается исследованиями (FUJI CHEMICAL INDUSTRY CO., LTD., PHARMACOLOGICAL, TOXICOLOGICAL AND CLINICAL DATA OF NEUSILIN, NEUSILIN A). Стабильность полученного препарата подтверждается исследованиями ускоренного старения. В результате проведенных исследований было установлено, что показатели качества ГЛФ остаются в рамках спецификации оригинального препарата (Калетра): а именно, по показателю посторонние примеси при сроке хранения эквивалентному 2,5 года деацетилвалин ритонавира - не более 0,2%, гидроксиритонавир - не более 0,3%, аминоспирт гидантоина - не более 2,6%, ритонавира гидропероксид - не более 0,2%, О-Ацилизомер ритонавира - не более 0,2%, производное оксазолидинона - не более 0,3%, единичная неидентифицированная примесь - не более 0,2%, сумма примесей - не более 3,5%. Как видно из приложенных фигур 1 и 2, удалось добиться улучшения скорости растворения. Для оценки полученных изменений введены дополнительные числовые характеристики графиков: AUC - площадь под кривой, ограниченной временем испытания (водится с целью эмпирической характеристики влияния отношения скоростей растворения исследуемых препаратов на фармакокинетические показатели), Как видно из полученных графиков, AUC ритонавира (препарата сравнения (Калетра)) составила - 5427,15, AUC ритонавира (испытуемого препарата (пример 8)) - 6841,68, AUC лопинавира (препарата сравнения) составила - 5565,378, AUC лопинавира (испытуемого препарата) - 6960,2490. Отличия числовых характеристик почти в 10% позволяют утверждать наличие влияния скорости растворения на фармакокинетические показатели. Поставленная задача решается тем, что авторами настоящего изобретения была разработана фармацевтическая композиция, включающая лопинавир, ритонавир, алюмометасиликат в эффективном количественном соотношении компонентов. Рекомендованное дозирование для взрослых: по 400 мг лопиновира/100 мг ритонавира 2 раза в сутки или 800 мг лопиновира /200 мг ритонавира 1 раз в сутки для больных ранее не получавших антиретровирусную терапию; пациентам, ранее получавшим антиретровирусную терапию - по 400 мг лопиновира / 100 мг ритонавира 2 раза в сутки, не рекомендуется назначение однократного приема суточной дозы. При подозрении на снижение у больного чувствительности к лопинавиру, подтвержденном лабораторно или клинически, необходимо увеличить дозу препарата до 500 мг лопиновира /125 ритонавира мг при сочетании с невирапином, эфавирензом, нелфинавиром или ампренавиром. Детям с весом более 35 кг или с площадью поверхности тела выше 1,4 кв.м. рекомендованное дозирование составляет 400 мг лопиновира / 100 ритонавира мг 2 раза в сутки без одновременного приема невирапина, эфавиренза, ампренавира или нелфинавира. Детям с весом меньше 35 кг и площадью поверхности тела до 0,6 кв.м. врач рассчитывает дозу по специальной схеме индивидуально. Наряду с активными веществами и алюмометасиликатом фармацевтическая композиция может при этом содержать обычные вспомогательные вещества, принятые в технологии приготовления лекарственных средств, такие как связующие, наполнители, консерванты, регуляторы текучести, смягчители, смачиватели, диспергаторы, эмульгаторы, растворители, антиокислители и/или пропелленты, пролонгаторы действия Sucker et al.: Pharmazeutische Technologie, Thieme-Verlag, Stuttgard, 1991. В качестве наполнителя фармацевтическая композиция содержит одно или несколько веществ из следующих: сахара и их производные (лактоза, модифицированная лактоза, сахароза, глюкоза, маннит, модифицированный маннит, сорбит, фруктоза, трегалоза), полисахариды (целлюлоза и ее производные, кроскармелеза, крахмал, модифицированный крахмал, крахмалгликолят натрия, декстрин, декстроза, декстрат, мальтодекстрин, кальций и его соли (фосфаты, карбонаты, хлориды), повидон, кросповидон, коповидоны, циклодекстрины, альгиновая кислота и ее соли, сахарин и его соли, натрий и его соли (хлорид, цитрат, фумарат, карбонат), аспартам, молочная кислота и ее соли, янтарная кислота, аскорбиновая кислота, тартаровая кислота, коллоидная двуокись кремния. На графиках на фигурах 3 и 4, продемонстрировано «поле разработки», т.е. такое содержание вспомогательных веществ, которое позволяет добиться улучшенного или равного профиля высвобождения действующих веществ из испытуемого препарата, относительно препарата сравнения. Предпочтительно, фармацевтическая композиция содержит от 0,5 до 60 мас. % перечисленных выше наполнителей (в пересчете на 100 мас. % всей твердой лекарственной формы). Фармацевтическая композиция может содержать дезинтегранты, например натрия крахмалгликолят. Предпочтительно готовая лекарственная форма содержит натрия крахмалгликолят в количестве от 1% до 5% (наиболее предпочтительно от 2% до 3%) от массы фармацевтической композиции. Фармацевтическая композиция может содержать фармацевтически приемлемые полимеры, которые можно выбрать из группы, включающей растворимые в воде полимеры, диспергирующиеся в воде полимеры и набухающие в воде полимеры и любые их смеси. Полимеры считаются растворимыми в воде, если они образуют прозрачный гомогенный раствор в воде. После растворения при 20°C в воде при концентрации 2% (мас./об.) растворимый в воде полимер предпочтительно обладает кажущейся вязкостью, равной от 1 до 5000 мПа⋅с, более предпочтительно - от 1 до 700 мПа с и наиболее предпочтительно - от 5 до 100 мПа⋅с. Диспергирующимися в воде полимерами являются такие, которые при взаимодействии с водой образуют коллоидные дисперсии, а не прозрачный раствор. При взаимодействии с водой или водными растворами набухающие в воде полимеры обычно образуют каучукообразный гель. Например, предпочтительные фармацевтически приемлемые полимеры можно выбрать из группы, включающей водорастворимые полимеры, подходящие для использования в составе фармацевтической композиции по настоящему изобретению, включая, но не ограничиваясь следующими веществами: гомополимеры и сополимеры N-виниллактамов, особенно гомополимеры и сополимеры N-винилпирролидона, например поливинилпирролидон (PVP), сополимеры N-винилпирролидона и винилацетата или винилпропионата; высокомолекулярные полиалкиленоксиды, такие как полиэтиленоксид и полипропиленоксид и сополимеры этиленоксида и пропиленоксида; полиакрилаты и полиметакрилаты, такие как метакриловая кислота/этилакрилатные сополимеры, метакриловая кислота/метилметакрилатные сополимеры, бутилметакрилат/2-диметиламиноэтилметакрилатные сополимеры, поли(гидроксиалкилакрилаты), поли(гидроксиалкилметакрилаты); полиакриламиды; винилацетатные полимеры, такие как сополимеры винилацетата и кротоновой кислоты; поливиниловый спирт; олиго- и полисахариды, такие как каррагинаны; сложные эфиры целлюлозы и простые эфиры целлюлозы, в частности метилцеллюлозу и этилцеллюлозу, гидроксиалкилцеллюлозу, гидроксиаэтилцеллюлозу, в частности гидроксипропилметилцеллюлозу, в частности гидроксипропилцеллюлозу, сукцинаты целлюлозы, в частности сукцинат гидроксипропилметилцеллюлозы или ацетатсукцинат гидроксипропилметилцеллюлозы. В преимущественном воплощении указанный гидрофильный полимер включает поливинилпирролидон, полиалкиленоксид, в частности полиэтиленоксид и/или производные целлюлозы, в частности гидроксипропилметилцеллюлозу. Водонерастворимые полимеры, которые могут использоваться в настоящем изобретении, включают, но не ограничиваются следующими веществами: целлюлоза микрокристаллическая, гипролоза (гидроксипропилцеллюлоза) низкозамещенная. Предпочтительно, фармацевтическая композиция содержит от 10 до 70,0 мас. % полимера (в пересчете на 100 мас. % всей твердой лекарственной формы). Поверхностно-активные вещества, подходящие для использования в составе фармацевтической композиции по настоящему изобретению, включают, но не ограничиваются следующими веществами: полисорбат 80 (например, полисорбат марки ТВИН-80), макрогол 6000 (полиэтиленгликоль 6000), сорбитановые моноэфиры жирных кислот, такие как Спан® 20 (сорбитана лаурат), Спан® 40 и Спан® 60; или смеси одного или более из них; полиоксиэтиленовые производные касторового масла, например полиоксиэтиленглицеринтририцинолеат или полиоксил 35 касторовое масло (Кремофор® EL; BASF Corp.), или полиоксиэтиленглицериноксистеарат, такой как полиэтиленгликоль 40 гидрированное касторовое масло (Кремо-фор® RH 40) или полиэтиленгликоль 60 гидрированное касторовое масло (Кремофор® RH 60); альфа-токоферилполиэтиленгликольсукцинат, который обычно имеет сокращенно обозначают как витамин Е ТПГС; а также полиалкоксилированные глицериды, выпускаемые фирмой Gattefosse под торговыми наименованиями Gelucire® и Labrafil®, например Gelucire® 44/14 (лауроилмакрогол-32-глицерид, получаемый путем переэтерификации гидрированного масла семян масличной пальмы полиэтиленгликолем марки PEG 1500), Gelucire® 50/13 (стеаро-илмакрогол-32-глицерид, получаемый путем переэтерификации гидрированного пальмового масла полиэтиленгликолем марки PEG 1500) или Labrafil M1944 CS (олеоилмакрогол-6-глицерид, получаемый путем переэтерификации масла из ядер абрикосовых косточек полиэтиленгликолем марки PEG 300), Softisan601. Предпочтительно, фармацевтическая композиция содержит от 0,3 до 10,0 мас. % поверхностно-активных веществ (в пересчете на 100 мас. % всей твердой лекарственной формы). В качестве поверхностно-активного вещества фармацевтическая композиция может содержать сорбитана лаурат в количестве от 5% до 15% (наиболее предпочтительно от 6% до 9%) от массы фармацевтической композиции. Фармацевтическая композиция может дополнительно включать в себя одно или несколько смазывающих веществ и глидантов, которые могут включать в себя стеариновую кислоту и ее производные или сложные эфиры, такие как стеарат натрия, стеарат магния, стеарат кальция и соответствующие сложные эфиры, такие как: стеарил фумарат натрия; тальк и диоксид кремния соответственно, но не ограничиваются ими. Количество смазки и/или глиданта находится в диапазоне от 0,1% мас. до 5% мас. от массы композиции. Фармацевтическая композиция предпочтительно содержит стеарил фумарат натрия в количестве от 0,1% до 2% (наиболее предпочтительно от 0,8% до 1,1%) от массы фармацевтической композиции. Фармацевтическая композиция может быть использована для приготовления твердой готовой лекарственной формы Предпочтительно твердая готовая лекарственная форма может быть в виде порошков, таблеток, комбинированных таблеток, капсул, драже, гранул, покрытых оболочкой, суппозиторий, порошков для приготовления суспензий. Лекарственные формы могут быть выполнены традиционным способом («Фармацевтическая технология. Технология лекарственных форм», 2-е изд., Москва, 2006 г.). Фармацевтическая композиция по изобретению может вводиться перорально. Дозировка зависит от возраста, состояния и веса пациента. Представленные ниже примеры иллюстрируют (без ограничения объема притязаний) наиболее предпочтительные варианты осуществления изобретения, а также подтверждают возможность получения фармацевтической композиции и достижения указанных технических результатов. Для получения твердых дозированных форм из соответствующих компонентов действующие вещества, отдельно или в смеси со вспомогательными веществами, растворяют в органическом растворителе, предпочтительно в этаноле и наносят в виде раствора на сорбент, затем полученную смесь сушат. Полученную смесь, обрабатывают вспомогательными веществами, для получения массы пригодной для получения готовой лекарственной формы. Перемешивание компонентов и приготовление формуемой массы могут быть осуществлены разными путями. Перемешивание можно осуществлять до, в процессе и/или после сушки. Например, для получения формуемой массы соответствующие компоненты сначала могут быть высушены, а затем перемешаны. Сушка осуществляют в обычно используемых для этой цели устройствах. Особенно пригодными являются полочные сушилки, во взрывозащищенном исполнении. Приведенные ниже примеры служат для более подробного пояснения изобретения. Пример 1 Лопинавир, ритонавир, сорбитана лаурат, коповидон растворить в этаноле, смешать с коллоидной двуокисью кремния и нанести на алюмометасиликат. Полученную смесь высушить при 60°C, перемешать с натрия стеарил фумаратом и натрия крахмала гликолятом. Полученную массу используют для таблетирования или наполнения желатиновых капсул. Пример 2 Лопинавир, ритонавир, сорбитана лаурат, коповидон растворить в этаноле и нанести на алюмометасиликат. Полученную смесь высушить при 60°С, перемешать с натрия стеарил фумаратом, кросскарамелозой натрия и микрокристаллической целлюлозой. Полученную массу используют для таблетирования или наполнения желатиновых капсул. Пример 3 Лопинавир, ритонавир, сорбитана лаурат, коповидон растворить в этаноле и нанести на алюмометасиликат и кремния диоксид коллоидный. Полученную смесь высушить при 60°С, перемешать с натрия стеарил фумаратом, трегалозой. Полученную массу используют для таблетирования или наполнения желатиновых капсул. Пример 4 Лопинавир, ритонавир, сорбитана лаурат, повидон растворить в этаноле и нанести на алюмометасиликат и кремния диоксид коллоидный. Полученную смесь высушить при 60°С, перемешать с натрия стеарил фумаратом, повидоном. Полученную массу используют для таблетирования или наполнения желатиновых капсул. Пример 5 Лопинавир, ритонавир, сороитана лаурат, повидон растворить в этаноле и нанести на алюмометасиликат и кремния диоксид коллоидный. Полученную смесь высушить при 60°С, перемешать с натрия стеарил фумаратом. Полученную массу используют для таблетирования или наполнения желатиновых капсул. Пример 6 Лопинавир, ритонавир, сороитана лаурат, повидон растворить в этаноле и нанести на алюмометасиликат и кремния диоксид коллоидный. Полученную смесь высушить при 60°С, перемешать с натрия стеарил фумаратом и натрия крахмалгликолятом. Полученную массу используют для таблетирования или наполнения желатиновых капсул. Пример 7 Лопинавир, ритонавир, сорбитана лаурат, повидон растворить в этаноле и нанести на алюмометасиликат и кремния диоксид коллоидный. Полученную смесь высушить при 60°С, перемешать с натрия стеарил фумаратом и натрия крахмалгликолятом. Полученную массу используют для таблетирования или наполнения желатиновых капсул. Пример 8 Лопинавир, ритонавир, сорбитана лаурат, повидон растворить в этаноле и нанести на алюмометасиликат и кремния диоксид коллоидный. Полученную смесь высушить при 60°С, перемешать с натрия стеарил фумаратом и натрия крахмалгликолятом. Полученную массу используют для таблетирования или наполнения желатиновых капсул.
- время перехода половины действующего вещества в раствор (вводится с целью эмпирической оценки влияния отношения скорости растворения на отношение фармакокинетических показателей). Очевидным образом, данные характеристики не могут быть прямо экстраполированы на известные фармакокинетические показатели, однако их улучшение, очевидно, положительно влияет на фармакокинетические показатели, т.к. оба действующих вещества препарата относятся ко второму классу BCS.










