Изобретение относится к области измерения электрических токов и касается волоконно-оптического датчика электрического тока. Датчик включает в себя источник излучения, входной и выходной коннекторы, входной и выходной коллиматоры, поляризатор, оптически активный кристалл, анализатор, фотоприемник, сборочную трубку, поворотную втулку и фиксатор поворотной втулки. Оптически активный кристалл, анализатор, выходной коллиматор и выходной коннектор закреплены в поворотной втулке, позволяющей производить ее установку по углу поворота относительно поляризатора в сборочной трубке с точность не хуже 0,1°. Поворотная втулка после установки нужного углового положения фиксируется стопорным кольцом. Технический результат заключается в увеличении коэффициента преобразования и повышении точности измерений. 6 ил.
Волоконно-оптический датчик электрического тока, содержащий корпус, источник излучения, входной коннектор, входной коллиматор, поляризатор, оптически активный кристалл, анализатор, выходной коллиматор, выходной коннектор, фотоприемник, причем длина оптически активного кристалла и угол между оптическими осями поляризатора и анализатора выбраны так, что отклонение от температуры величины константы Верде компенсируется отклонением от температуры коэффициента собственного кругового двулучепреломления при обеспечении максимальной глубины модуляции сигнала, отличающийся тем, что для длин оптически активных кристаллов больше 10 мм введены сборочная трубка, поворотная втулка и фиксатор поворотной втулки, причем оптически активный кристалл, анализатор, выходной коллиматор и выходной коннектор закреплены в поворотной втулке, позволяющей производить ее установку по углу поворота относительно поляризатора в сборочной трубке с точность не хуже 0,1°, поворотная втулка после установки нужного углового положения фиксируется стопорным кольцом.
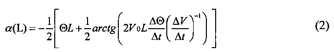
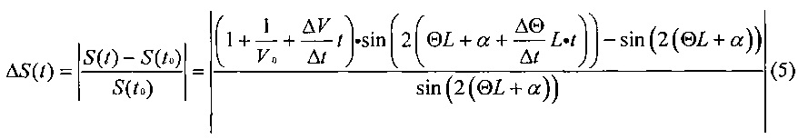
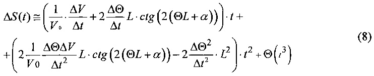
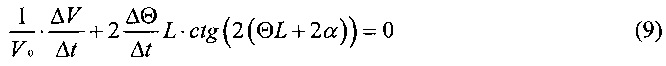
Изобретение относится к волоконно-оптическим измерительным устройствам и может быть использовано для бесконтактного измерения электрического тока. Известны волоконно-оптические датчики электрического тока, способные бесконтактным образом проводить измерение электрического тока. Конструктивно такие датчики представляют устройство, содержащее источник излучения светодиод на AlGaAs, длина волны 0,85 мкм, оптически активный кристалл Bi12GeO20 и систему «поляризатор-анализатор», выполненную на уголковых призмах (polaryzed beam splitters), фотоприемник, градиентные линзы (Lightwave Technology, v. LT-1,1, March 1983, p. 93-97). Указанный датчик работает следующим образом: свет постоянной интенсивности направляется по волокну от источника излучения к оптически активному кристаллу. Свет, пройдя через поляризатор, приобретает линейную поляризацию. Линейно поляризованный свет направляется в кристалл Bi12GeO20, где происходит вращение плоскости поляризации светового луча под действием внешнего (измеряемого) магнитного поля от протекающего электрического тока и собственного кругового двулучепреломления кристалла. Угол поворота плоскости поляризации можно записать как где V - константа Верде материала; Н - приложенное магнитное поле; L - длина кристалла; Θ - собственное круговое двулучепреломление кристалла. После выхода светового луча из кристалла он проходит через анализатор. Оптические оси поляризатора и анализатора параллельны. После анализатора по световоду луч направляется к фотоприемному устройству. Недостатком описанной конструкции является низкая чувствительность датчика, обусловленная параллельностью оптических осей поляризатора и анализатора, вследствие чего направление плоскости поляризации света, изменившейся под воздействием магнитного поля, не совпадает с направлением оптической оси анализатора, т.е. направлением максимального коэффициента пропускания анализатора. Из известных устройств наиболее близким по технической сущности к заявляемому является устройство, описанное в патенте РФ №2213356, кл. G01R 29, 1998 г. Данное устройство представляет собой волоконно-оптический датчик, содержащий источник излучения, поляризатор, оптически активный кристалл, анализатор, фотоприемник, отличающийся тем, что оптические оси поляризатора и анализатора развернуты друг относительно друга на угол α0, который определяется из соотношения максимальности коэффициента пропускания ΘL+α=π/4, где L - длина оптически активного кристалла, Θ - величина собственного кругового двулучепреломления чувствительного кристалла. Датчик работает следующим образом. Свет постоянной интенсивности от источника излучения по световоду проходит через градиентную линзу и попадает на поляризатор. Далее линейно поляризованный свет проходит через оптически активный кристалл, где происходит вращение плоскости поляризации светового луча под действием внешнего магнитного поля от протекающего электрического тока и собственного кругового двулучепреломления оптически активного кристалла. Далее луч проходит через анализатор, оптическая ось которого повернута на угол α0 относительно оптической оси поляризатора при длине оптически активного кристалла L (значение выбирается как указано выше). После анализатора по световоду луч направляется к фотоприемному устройству. За счет задания значения α0 вышеуказанным способом обеспечивается температурная компенсация датчика при условии максимальной чувствительности датчика. Анализ прототипа выявляет его существенный недостаток, который состоит в ограниченной чувствительности датчика, обусловленной отсутствием возможности точной установки угла α0, которую необходимо соблюдать при увеличении длины L оптически активного кристалла, что необходимо для увеличения чувствительности датчика. Действительно, в соответствии с (1) для увеличения чувствительности датчика, т.е. угла поворота ψA плоскости поляризации датчика, необходимо увеличивать длину оптически активного кристалла L датчика. При этом, как указано в описании прототипа, для компенсации температурной погрешности датчика угол α между оптическими осями поляризатора и анализатора при условии соблюдения максимальности коэффициента пропускания ΘL+α=π/4 определяется из выражения где ΔV/Δt - изменение от температуры константы Верде, ΔΘ/Δt - изменение от температуры коэффициента собственной оптической активности. Указанное выражения было получено из определения чувствительности датчика или где V0 и Θ0 значения, взятые при 20°С. Отклонение коэффициента преобразования ΔS(t) от температуры было определено в виде: При соблюдения условия максимальности глубины модуляции (ΘL+α=π/4) отклонение коэффициента преобразования от температуры записывалось как: Далее, разложив указанное выражение в ряд по t, было получено: Из полученного выражения для датчика-прототипа было определено такое соотношение между длиной L оптически активного кристалла датчика и углом α между разрешенными направлениями поляризатора и анализатора, при котором отклонение от температуры величины константы Верде V будет компенсироваться отклонением от температуры величины оптической активности кристалла Θ. Для этого полученное выражение раскладывалось в ряд по t: Далее, исходя из условия пренебрежения второй и третьей степенью в разложении, находились такие L и α, при которых выполнялось условие: Решая данное выражение относительно α, для датчика-прототипа и было получено выражение (2). Однако при увеличения чувствительности датчика за счет увеличения длины L оптически активного кристалла Bi12GeO20 при сохранении его термостабильности слагаемое второго порядка в разложении (8) станет сравнимым с величиной слагаемого первого порядка, соответственно, учет чего также необходимо производить. Для более точного учета влияния длины кристалла на разрешенный угол α проведем следующую оценку: возьмем случай, когда поляризатор и анализатор ориентированы так, что 2(ΘL+α)=π/2 (максимальный коэффициент преобразования), тогда из (8) можно записать Рассчитанная зависимость ΔS(t) с учетом первого и второго членов разложения от L при изменении температуры t=100°С представлена на рис. 1. Из рис. 1 видно, что влияние первой степени разложения и второй степени разложения в (8) становятся равными при длине L оптически активного кристалла 17 мм. На практике, учет влияния второй степени разложения для определения α при проведении температурной компенсации в соответствии с (8) необходимо производить, начиная с длины L≈10 мм. Для уточнения расчетов возможностей термостабилизации датчиков с более длинными кристаллами запишем интенсивность излучения на выходе датчика следующим образом: где Н - проекция магнитного поля на направление распространения света, L - длина кристалла, α - угол между разрешенными направлениями поляризаторов, Δt - отклонение температуры от «комнатной», Θ0, V0, β0 - значения, взятые при комнатной температуре; соответственно, значения этих констант и их температурных коэффициентов были приведены ранее; Н - проекция вектора магнитного поля на направление распространения света в кристалле; L - длина кристалла. Затем в соответствии с выражением На рисунке 2 приведена зависимость величины температурного дрейфа от угла ΘL+α для кристалла длиной 3 мм. На рисунке 3 приведена зависимость величины температурного дрейфа от угла ΘL+α для кристалла длиной 8 мм. На рисунке 4 приведена зависимость величины температурного дрейфа от угла ΘL+α для кристалла длиной 13 мм. Из рисунков видно, что минимальные значения температурного дрейфа достигаются при отклонении угла от 45° на 12,5° для длины оптически активного кристалла в 3 мм, на 4° - для 8 мм и на 1° - для 13 мм. Минимальные значения температурных дрейфов составляют 0,03%, 0,11% и 0,23%, соответственно. На рисунке 5 приведен «псевдотрехмерный» график зависимости относительного дрейфа коэффициента преобразования на 100°C от длины кристалла и угла между разрешенными направлениями поляризатора и анализатора. Линии на графике соответствуют постоянным значениям ΔS. Область, отмеченная цифрой 1, включает L и α, при которых ΔS не превышает 0,3%, цифрой 2 - 0,6%, цифрой 3 - 0,8%. Как видно из рисунка 5, температурная стабилизация возможна для кристаллов длиной более 10 мм, однако при этом более строгими становятся требования по точности угловой юстировки. На рисунке 5 приведена зависимость относительного дрейфа коэффициента преобразования при изменении температуры на 100°C. Ожидаемым техническим результатом является повышение коэффициента преобразования волоконно-оптического датчика электрического тока за счет увеличения длины оптически активного кристалла при сохранении температурной стабильности датчика. Указанный технический результат достигается тем, что в волоконно-оптическом датчике электрического тока, содержащем корпус, источник излучения, входной коннектор, входной коллиматор, поляризатор, оптически активный кристалл, анализатор, выходной коллиматор, выходной коннектор, фотоприемник, причем длина оптически активного кристалла и угол между оптическими осями поляризатора и анализатора выбраны так, что отклонение от температуры величины константы Верде будет компенсироваться отклонением от температуры коэффициента собственного кругового двулучепреломления при обеспечении максимальной глубины модуляции сигнала, для длин оптически активных кристаллов больше 10 мм введены сборочная трубка, поворотная втулка и фиксатор поворотной втулки с контровочным винтом, причем оптически активный кристалл, анализатор, выходной коллиматор и выходной коннектор закреплены в поворотной втулке, позволяющей производить ее установку по углу поворота относительно поляризатора в сборочной трубке с точность не хуже 0,1°, а поворотная втулка после установки нужного углового положения фиксируется в нем с помощью контровочного винта стопорного кольца. На рисунке 6 изображен общий вид волоконно-оптического электрического тока датчика в разрезе. Волоконно-оптический датчик электрического тока работает следующим образом. Поступающее по оптическому волокну на вход датчика через входной коннектор 7 оптическое излучение коллимируется входным коллиматором (градиентной линзой) 1, преобразуется в линейно-поляризованное световое излучение с помощью поляризатора 3, проходит через оптически активный кристалл 5 Bi12GeO20, анализатор 4, выходной коллиматор 2 и вводится через выходной коннектор 8 в выходное оптическое волокно, подключенное к входу фотоприемного устройства (ФПУ). Анализатор 4 (второй поляризатор) устанавливаются после оптически активного кристалла 5 Bi12GeO20 и позволяет преобразовать поворот плоскости поляризации света в изменение интенсивности света на выходе датчика. Для увеличения коэффициента преобразования датчика длина оптически активного кристалла 5 может выбираться повышенной длины (в соответствии с требуемым коэффициентом преобразования датчика). Оптически активный кристалл 5, анализатор 4, выходной коллиматор 2, выходной коннектор 8 предварительно устанавливаются и закрепляются в поворотной втулке 12, а затем поворотная втулка устанавливается за шлицы 13 с требуемой угловой точностью оптической оси анализатора 4 относительно оптической оси поляризатора 3 в сборочную трубку 6. Затем поворотная втулка 12 фиксируется в сборочной трубке 6 с помощью стопорного кольца 11. Далее сборочная трубка 6 устанавливается в корпус 9. Угол между осями входного 3 и выходного 4 поляризаторов выбирается таким образом, чтобы получить максимальный коэффициент преобразования поляризационной модуляции на ФПУ из условия ΘL+α=π/4 при обеспечении максимальной температурной стабильности в соответствии с формулой (2). Конструкция датчика также обеспечивает требуемую точность установки угла α в соответствии с рис. 5 для оптически активных кристаллов повышенной длины. В отсутствие магнитного поля от протекающего электрического тока свет проходит через датчик, не изменяя направления вектора поляризации. Интенсивность света на входе ФПУ является постоянной и определяется углом между оптическими осями поляризатора и анализатора. При наложении на кристалл магнитного поля 










- вектор Максвелла:

- матрица Джонса идеального линейного поляризатора, разрешенное направление которого развернуто на угол α;
- матрица поворота;
- матрица Джонса кристалла Bi12GeO20, где:
, С(H,Δt)=Θ(Δt)+V(Δt)Н - коэффициент суммарного кругового двулучепреломления;
- коэффициент оптической активности кристалла;
- константа Верде;
- коэффициент собственного линейного двулучепреломления;
- коэффициенты температурной зависимости констант Θ0, V0, β0
вычислим значение коэффициента преобразования S для конкретных значений L, α, Δ, а также зависимости относительного дрейфа коэффициента преобразования
в диапазоне Δt 0-100°C от угла ΘL+α, для длины оптически активного кристалла 3 мм, 8 мм и 13 мм.