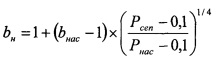
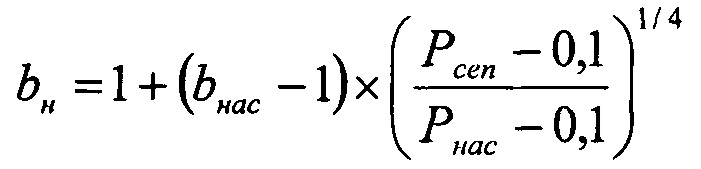
Изобретение относится к нефтяной промышленности и может найти применение при определении обводненности продукции нефтедобывающей скважины. Способ включает обеспечение поступления продукции отдельной скважины в сепарационную и накопительную емкости замерной установки, осуществление сепарации газа и накопление отсепарированной жидкости с последующим измерением ее количества расходомером, передачи полученных значений замера по телемеханике. В замерной установке осуществляют замер объемного и массового расхода отсепарированной продукции скважины при помощи последовательно установленных на измерительной жидкостной линии объемного и массового расходомеров. На основе полученных значений количества жидкости расходомерами за единицу времени составляют отношение массового к объемному расходу, и при этом делают поправку на объемный расход через объемный коэффициент нефти, учитывающий наличие растворенного газа при давлении сепарации. Затем производят расчет плотности водонефтяной смеси замеряемой жидкости, далее, используя плотность смеси и известные значения плотностей нефти и воды, определяют долевое содержание воды в продукции скважины по формулегде ρ, ρ- соответственно плотность нефти и воды, кг/м; ρ- плотность смеси, кг/м, и определяется из выражениягде q, q- соответственно массовый и объемный расход замеряемой жидкости; b- объемный коэффициент нефти при давлении сепарации в накопительной емкости, определяется из зависимости,где Р- давление в замерной установке, МПа; Р- давление насыщения нефти газом, МПа; b- объемный коэффициент пластовой нефти. Технический результат заключается в повышении точности и упрощении способа определения обводненности продукции. 1 ил.
Способ определения обводненности продукции нефтедобывающей скважины, включающий обеспечение поступления продукции отдельной скважины в сепарационную и накопительную емкости замерной установки, осуществление сепарации газа и накопление отсепарированной жидкости с последующим измерением ее количества расходомером, передачи полученных значений замера по телемеханике, отличающийся тем, что в замерной установке осуществляют замер объемного и массового расхода отсепарированной продукции скважины при помощи последовательно установленных на измерительной жидкостной линии объемного и массового расходомеров, на основе полученных значений количества жидкости расходомерами за единицу времени составляют отношение массового к объемному расходу и при этом делают поправку на объемный расход через объемный коэффициент нефти, учитывающий наличие растворенного газа при давлении сепарации, а затем производят расчет плотности водонефтяной смеси замеряемой жидкости, далее, используя плотность смеси и известные значения плотностей нефти и воды, определяют долевое содержание воды в продукции скважины по формуле где ρн, ρв - соответственно плотность нефти и воды, кг/м3; ρсм - плотность смеси, кг/м3, и определяется из выражения где qM, qV - соответственно массовый и объемный расход замеряемой жидкости; bн - объемный коэффициент нефти при давлении сепарации в накопительной емкости, определяется из зависимости где Рсеп - давление в замерной установке, МПа; Рнас - давление насыщения нефти газом, МПа; bнас - объемный коэффициент пластовой нефти.

,
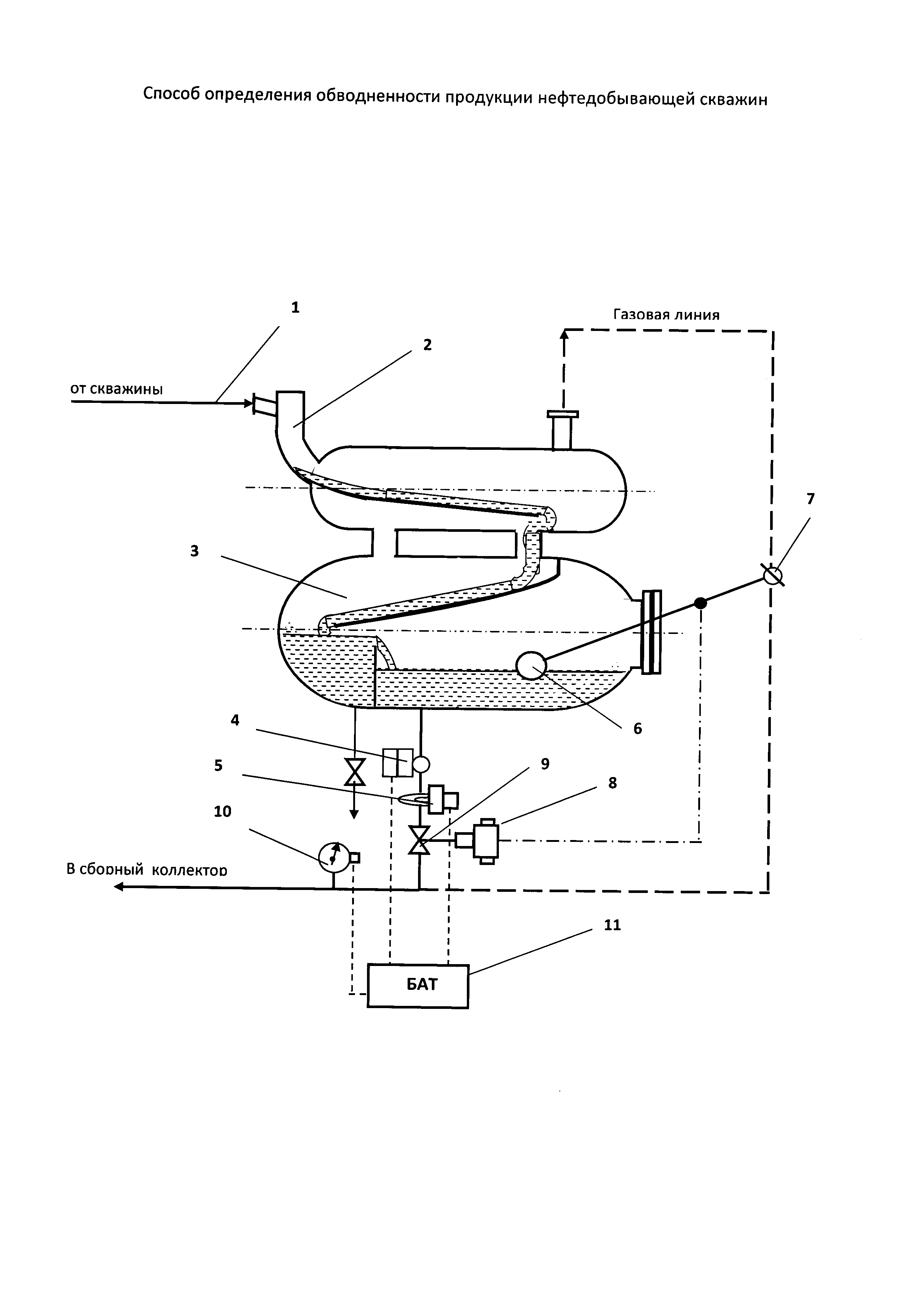
Изобретение относится к нефтяной промышленности и может найти применение при определении обводненности продукции нефтедобывающей скважины. Известен способ определения обводненности жидкости в продукции нефтяных скважин заключающийся в том, что представительную пробу жидкости, содержащейся в вертикальном цилиндрическом сосуде, доводят отстоем, обработкой химреагентами и нагревом до состояния, по крайней мере, неполного расслоения на нефть и воду. Измеряют высоту столба жидкости, гидростатическое давление, а затем в процессе опорожнения этого сосуда производят непрерывные измерения гидростатического давления и высоты столба жидкости. Плотности воды и нефти в составе жидкости определяют как частное от деления разности максимального и текущего перепадов гидростатического давления и соответствующей разности высот столба жидкости в начале и конце опорожнения. Накапливают массив данных. Строят график зависимости плотности сливаемой жидкости от высоты столба жидкости или времени опорожнения. Выбирают в пределах верхнего и нижнего горизонтальных линейных участков плотности соответственно воды и нефти. По выбранным значениям плотностей воды и нефти определяют массовую обводненность продукции скважины. Техническим результатом является упрощение алгоритма определения плотностей воды и нефти в составе продукции скважины, повышение точности измерения высокой и низкой обводненности продукции скважины (Патент РФ №2396427, опубл. 10.08.2010). Наиболее близким к предложенному изобретению по технической сущности является способ измерения дебита продукции нефтяных скважин в системах герметизированного сбора, в котором измерительную емкость калиброванного объема после продувки продукцией скважины наполняют частично отсепарированной продукцией скважины в течение предварительно назначенного с учетом максимальной производительности устройства времени при открытой на коллектор газовой и закрытой сливной жидкостной линиях. По истечении назначенного времени поступление продукцией скважины в измерительную емкость прекращают. Частично отсепарированную продукцией скважины, содержащуюся в резервуаре уровнемера измерительную емкость, обрабатывают химреагентами, нагревают и выдерживают до состояния расслоения на нефть и воду. Затем измеряют высоту столба жидкости, гидростатическое давление (ГСД) и температуру. Производят расчет производительности по жидкости. Затем по взаиморасположению линий раздела сред жидкость - газ и вода - нефть судят об объемном значении обводненности. Массовое соотношение вода - нефть определяют, применяя значения плотности воды, измеренной в резервуаре уровнемера измерительную емкость, и плотности нефти. При этом учитывают то количество жидкости, которое остается в системе сепаратор -измерительную емкость после ее "продувки" продукцией скважины перед началом процедуры замера. Потом одновременно с закрытием газовой и открытием жидкостной линий на коллектор возобновляют поступление продукцией скважины в измерительную емкость и, определив скорость опорожнения измерительную емкость и избыточное давление, производят расчет производительности по газу. Плотность воды определяют до полного ухода воды из резервуара уровнемера при его опорожнении после возобновления поступления продукцией скважины в измерительную емкость путем деления разности ГСД столба жидкости в резервуаре уровнемера до и после ухода части водяного столба на разность соответствующих уровней этого столба жидкости. А плотность нефти определяют после полного ухода воды из резервуара уровнемера при его опорожнении после возобновления поступления продукцией скважины в измерительную емкость путем деления значения ГСД, оставшегося на момент замера столба жидкости, на его высоту (Патент РФ №2299322, опубл. 20.05.2007 - прототип). Общим недостатком известных технических решений является невысокая точность определения обводненности, обусловленная перемещением продукции скважины в измерительную емкость и множество дополнительных операции по расслоение продукции в измерительной емкости. В предложенном изобретении решается задача повышения точности определения обводненности продукции скважины по упрощенной схеме измерения. Задача решается тем, что в способе определения обводненности продукции нефтедобывающей скважины, включающем обеспечение поступления продукции отдельной скважины в сепарационную и накопительную емкости замерной установки, сепарации газа и накопления отсепарированной жидкости с последующим измерением ее количества расходомером, передачи полученных значений замеров по телеметрии, согласно изобретению в замерной установке осуществляют замер объемного и массового расхода отсепарированной продукции скважины при помощи последовательно установленных на измерительной жидкостной линии объемного и массового расходомеров, на основе полученных значений количества жидкости расходомерами за единицу времени составляют отношение массового к объемному расходу, и при этом делают поправку на объемный расход через объемный коэффициент нефти, учитывающий наличие растворенного газа при давлении сепарации, а затем производят расчет плотности водонефтяной смеси замеряемой жидкости, далее, используя плотность смеси и известные значения плотностей нефти и воды определяют долевое содержание воды в продукции скважины по формуле: где ρн, ρв - соответственно плотность нефти и воды, кг/м3; ρсм - плотность смеси, кг/м3, и определяется из выражения qM, qV - соответственно массовый и объемный расход замеряемой жидкости; bн - объемный коэффициент нефти при давлении сепарации в накопительной емкости, определяется из зависимости где Рсеп - давление в замерной установке, МПа; Рнас - давление насыщения нефти газом, МПа; bнас - объемный коэффициент пластовой нефти. Сущность изобретения Наличие эмульсии в продукции скважины существенно осложняет определение истинного содержания доли воды в жидкости. Поэтому исключение фактора влияния эмульсии на процесс определения содержания воды повышает точность измерения ее значения. Данный способ можно легко реализовать в передвижной или стационарной замерной установке, где осуществляется сепарация и накопление отсепарированной жидкости с последующим либо периодически, либо без перерыва направлением жидкости к любому типу расходомеру. Для примера описываем, как решается задача в автоматизированной групповой замерной установке (ГЗУ). На фигуре представлена принципиальная схема сепарационного и измерительного узлов групповой замерной установки для реализации способа. Установка содержит замерную линию 1 от скважины для передвижных установок или от многоходового переключателя (на рис. не указан) ГЗУ, по которой продукция скважины поступает в гидроциклонный сепаратор 2 с накопительной емкости 3, объемного 4 и массового 5 расходомеров, которые установлены на измерительно-жидкостной линии. На газовой линии гидроциклонного сепаратора установлена заслонка 7, которая по автоматике связана с поплавком 6 накопительной емкости 3 и регулятором расхода 8, приводящим в действие задвижку 9 на открытие и/или закрытие. Расходомеры 4, 5 и контактный манометр 10 посредством системы автоматики связаны с блоком электроники и телемеханики 11. Установка работает следующим образом. Продукция скважины через замерную линию 1 направляется в гидроциклонный сепаратор 2, где происходит отделение газа от жидкости, которая собирается в накопительной емкости 3, а отделивший газ при открытии заслонки уходит в сборный коллектор. При достижении уровнем жидкости необходимой высоты поплавок 6 приводит к закрытию заслонки 7 и выдает команду регулятору расхода 8 на открытие задвижки 9. Накопленная жидкость поступает в измерительно-жидкостную линию, где расход жидкости регистрируется объемным 4 и массовым 5 расходомерами. Полученные значения расходов, а также давление из манометра 10 передаются в блок электроники и телемеханики 11, с последующей передачей их на центральный диспетчерский пульт. Далее информация поступает в корпаративную информационную системы автоматизированного рабочего места инженерно-технологической службы (КИС АРМИТС), где по полученной информации рассчитывается значение обводненности продукции скважины с использованием несложного алгоритма вычисления. Алгоритм расчета определения обводненности по результатам замера объемного и массового расхода состоит в следующем. Определяется плотность добываемой водонефтяной смеси по формуле: где qм - массовый дебит скважины по массовому расходомеру, кг/сут; qv - объемный дебит скважины по объемному расходомеру, м3/сут.; bн - объемный коэффициент нефти в условиях давления сепарации, который определяется по формуле, учитывающей наличие растворенного газа при соответствующем давлении замера. Для различных давлений в ЗУ величину bн можно найти по формуле: где Рсеп - давление сепарации, МПа; Рнас - давление насыщения нефти газом, МПа; bнас - объемный коэффициент пластовой нефти. Применение данного способа позволит: - повысить достоверность определения обводненности скважин за счет длительности времени замеров скважин и исключения влияния человеческого фактора на качество отбора проб жидкости; - исключить многочисленный отбор проб жидкости на скважинах, их анализ в лаборатории и связанные с этим трудовые затраты; - исключить необходимость выдержки времени и применения химических реагентов для расслоения эмульсии при определении обводненности продукции скважины; - отказаться от применения дорогостоящих пробоотборников на каждой скважине; - зафиксировать в режиме реального времени доли воды в конкретно замеренном количестве добываемой жидкости из скважины. - за счет длительного режима измерения большого количества добываемой жидкости определить истинную обводненность продукции скважины при нестационарной величине обводненности.

,
