патент
№ RU 2579570
МПК H03B1/04

СПОСОБ ПОЛУЧЕНИЯ РАДИОЧАСТОТНОГО СИГНАЛА

Авторы:
Формальнов Игорь Сергеевич Макарычев Егор Михайлович Григорьев Иван Андреевич
Все (4)
Номер заявки
2015120673/08
Дата подачи заявки
01.06.2015
Опубликовано
10.04.2016
Страна
RU
Как управлять
интеллектуальной собственностью
Чертежи 
3
Реферат

Изобретение относится к синтезаторам на основе петли фазовой автоподстройки частоты (ФАПЧ). Технический результат заключается в уменьшении уровня побочных дискретных составляющих выходного радиочастотного сигнала при одновременном снижении уровня фазовых шумов. Для получения радиочастотного сигнала получают сигнал частотой F, тактируют этим сигналом первую микросхему прямого цифрового синтеза для получения опорного сигнала частотой F=αF. Сравнивают фазу и частоту опорного и синхронизируемого сигнала для выработки аналогового напряжения, пропорционального фазовому и/или частотному рассогласованию, фильтруют полученное напряжение по низкой частоте и подают это напряжение на генератор, управляемый напряжением, для получения на его выходе сигнала частотой F. Ответвляют часть полученного сигнала в контур отрицательной обратной связи для его частотного преобразования с последующей подачей преобразованного сигнала на фазочастотный детектор в качестве синхронизируемого. Частотное преобразование осуществляют при помощи второй микросхемы прямого цифрового синтеза, тактируя ее сигналом частотой F-DF, получаемым путем смешивания сигналов с частотами Fи DFс дальнейшим выделением разностной составляющей, для получения на ее выходе сигнала частотой F=α(F-DF), где D - коэффициент деления частоты для тактирования первой микросхемы прямого цифрового синтеза. При этом коэффициенты αи αвыбирают, исходя из условия непопадания их в предварительно определенные «запрещенные» области значений. 1 з.п. ф-лы, 3 ил.

Формула изобретения

1. Способ получения радиочастотного сигнала, включающий
получение сигнала частотой Fсинхр, тактирование этим сигналом первой микросхемы прямого цифрового синтеза для получения опорного сигнала частотой

где α1 - коэффициент, который выбирают, исходя из условия его непопадания в предварительно определенные «запрещенные» области значений, преобразование которых в первой микросхеме прямого цифрового синтеза приводит к получению выходного сигнала с побочными дискретными составляющими в полосе Fdds1±Fдоп, где Fдоп - половинная ширина полосы частот первой микросхемы прямого цифрового синтеза, в которой необходимо обеспечить отсутствие побочных дискретных составляющих, сравнение фазы и частоты опорного и синхронизируемого сигнала для выработки аналогового напряжения, пропорционального фазовому и/или частотному рассогласованию, фильтрацию полученного напряжения по низкой частоте, подачу этого напряжения на генератор, управляемый напряжением, для получения на его выходе сигнала частотой Fвых, ответвление части полученного сигнала в контур отрицательной обратной связи для его частотного преобразования с последующей подачей преобразованного сигнала на фазочастотный детектор в качестве синхронизируемого, отличающийся тем, что частотное преобразование осуществляют при помощи второй микросхемы прямого цифрового синтеза, тактируя ее сигналом частотой Fвых-DFсинхр, получаемым путем смешивания сигналов с частотами Fвых и DFсинхр с дальнейшим выделением разностной составляющей, для получения на ее выходе сигнала частотой:

где D - коэффициент деления частоты для тактирования первой микросхемы прямого цифрового синтеза,


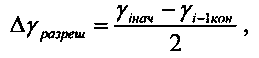
α1 определяют из математического выражения

где γiнач - левая граница «запрещенной» области, следующей сразу за наиболее широкой «разрешенной» областью,
γi-1кон - правая граница «запрещенной» области, находящейся перед наиболее широкой «разрешенной» областью,
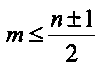
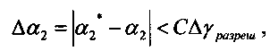
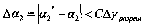
при этом, если α2 принимает значение, находящееся внутри «запрещенной» области, α2присваивают значение из соседней «разрешенной» области таким образом, чтобы соблюдалось условие

где
и производят изменение частоты опорного сигнала Fdds1, присваивая α1 значение где

2. Способ по п. 1, отличающийся тем, что сигнал частотой Fсинхр получают умножением частоты опорного генератора и ее последующим делением на D.

Описание

[1]

Изобретение относится к радиоэлектронике, в частности к синтезаторам на основе петли фазовой автоподстройки частоты (ФАПЧ).

[2]

Известен способ получения радиочастотного сигнала, включающий получение сигнала частотой Fсинхр, тактирование этим сигналом микросхемы прямого цифрового синтеза (МПЦС) для получения опорного сигнала частотой

[3]

Fdds11Fсинхр,

[4]

где α1 - коэффициент, который выбирают, исходя из условия его непопадания в предварительно определенные «запрещенные» области значений, преобразование которых в МПЦС приводит к получению выходного сигнала с побочными дискретными составляющими в полосе Fdds1±Fдоп, где Fдоп - половинная ширина полосы частот МПЦС, в которой необходимо обеспечить отсутствие побочных дискретных составляющих, сравнение фазы и частоты опорного и синхронизируемого сигнала для выработки аналогового напряжения, пропорционального фазовому и/или частотному рассогласованию, фильтрацию полученного напряжения по низкой частоте, подачу этого напряжения на генератор, управляемый напряжением, для получения на его выходе сигнала частотой Fвых, ответвление части полученного сигнала в контур отрицательной обратной связи для его частотного преобразования посредством целочисленного деления с последующей подачей преобразованного сигнала на фазочастотный детектор в качестве синхронизируемого (US 5801589, 01.09.1998).

[5]

Недостаток данного способа состоит в том, что ширину каждой «запрещенной» области принимают постоянной величиной.

[6]

Другими словами, при выборе α1 не учитывают зависимость ширины «запрещенной» области от номера гармоники, что приводит к тому, что часть разрешенных областей идентифицируют как «запрещенные». Это, в свою очередь, приводит к «склеиванию» соседних «запрещенных» областей.

[7]

В случае учета большого числа гармоник это приводит к «склеиванию» всех «запрещенных» областей и невозможности выбрать подходящие значения коэффициента α1, a также целочисленного коэффициента деления частоты в контуре отрицательной обратной связи.

[8]

Это, в свою очередь, приводит к невозможности существенного уменьшения уровня побочных дискретных составляющих в спектре выходного радиочастотного сигнала.

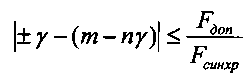
[9]

Еще один недостаток данного способа состоит в использовании в нем целочисленного деления частоты в контуре отрицательной обратной связи, что неизбежно приводит к значительному увеличению уровня фазовых шумов компонентов ФАПЧ в спектре выходного сигнала.

[10]

Увеличение целочисленного коэффициента деления при реализации способа приводит к дальнейшему увеличению уровня фазовых шумов.

[11]

Задачей изобретения является создание способа получения радиочастотного сигнала, лишенного указанных недостатков.

[12]

В результате достигается технический результат, заключающийся в уменьшении уровня побочных дискретных составляющих выходного радиочастотного сигнала при одновременном снижении уровня фазовых шумов.

[13]

Конкретно, технический результат достигается путем реализации способа получения радиочастотного сигнала, включающего получение сигнала частотой Fсинхр, тактирование этим сигналом первой МПЦС для получения опорного сигнала частотой

[14]

Fdds11Fсинхр,

[15]

где α1 - коэффициент, который выбирают, исходя из условия его непопадания в предварительно определенные «запрещенные» области значений, преобразование которых в первой МПЦС приводит к получению выходного сигнала с побочными дискретными составляющими в полосе Fdds1±Fдоп, где Fдоп - половинная ширина полосы частот МПЦС, в которой необходимо обеспечить отсутствие побочных дискретных составляющих, сравнение фазы и частоты опорного и синхронизируемого сигнала для выработки аналогового напряжения, пропорционального фазовому и/или частотному рассогласованию, фильтрацию полученного напряжения по низкой частоте, подачу этого напряжения на генератор, управляемый напряжением, для получения на его выходе сигнала частотой Fвых, ответвление части полученного сигнала в контур отрицательной обратной связи для его частотного преобразования с последующей подачей преобразованного сигнала на фазочастотный детектор в качестве синхронизируемого. Частотное преобразование осуществляют при помощи второй МПЦС, тактируя ее сигналом частотой Fвых-DFсинхр, получаемым путем смешивания сигналов с частотами Fвых и DFсинхр с дальнейшим выделением разностной составляющей, для получения на ее выходе сигнала частотой

[16]

Fdds22(Fвых-DFсинхр),

[17]

где D - коэффициент деления частоты для тактирования первой МПЦС,

[18]

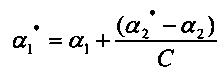
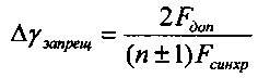
α2=Сα1,

[19]

.

[20]

α1 определяют из математического выражения

[21]

,

[22]

где γiнач - левая граница «запрещенной» области, следующей сразу за наиболее широкой «разрешенной» областью,

[23]

γi-1кон - правая граница «запрещенной» области, находящейся перед наиболее широкой «разрешенной» областью.

[24]

Если α2 принимает значение, находящееся внутри «запрещенной» области, α2 присваивают значение α2* из соседней «разрешенной» области таким образом, чтобы соблюдалось условие

[25]

,

[26]

где ,

[27]

и производят изменение частоты опорного сигнала Fdds1, присваивая α1 значение α1*, где

[28]

.

[29]

В частном варианте сигнал частотой Fсинхр получают умножением частоты опорного генератора и ее последующим делением на коэффициент D.

[30]

Использование при реализации способа описанной последовательности выбора коэффициентов α1 и α2 (и соответственно,Fdds1 и Fdds2) приводит к существенному уменьшению уровня побочных дискретных составляющих выходного радиочастотного сигнала и, следовательно, к повышению его качества.

[31]

Получение синхронизируемого сигнала в результате тактирования МПЦС сигналом частотой Fвых-DFсинхр, получаемым путем смешивания сигналов с частотами Fвых и DFсинхр с дальнейшим выделением разностной составляющей, приводит к снижению уровня фазовых шумов.

[32]

На фиг. 1 представлена схема, позволяющая реализовать заявленный способ.

[33]

На фиг. 2 представлен график зависимости ширины «запрещенных» областей от выходной частоты первой МПЦС, нормированной на частоту ее тактирования Fdds1/Fсинхр.

[34]

На фиг. 3 представлена иллюстрация последовательности выбора частот первой и второй МПЦС Fdds1 и Fdds2 для формирования выходных частот вне «запрещенных» областей.

[35]

Заявленный способ реализуют следующим образом.

[36]

Как показано на схеме, представленной на фиг. 1, с опорного генератора 1 получают сигнал заданной частоты. Производят умножение частоты опорного генератора при помощи умножителя 2 и ее последующее деление на целочисленный коэффициент D при помощи делителя 3.

[37]

В результате получают сигнал частотой Fсинхр и производят тактирование этим сигналом первой МПЦС 4 для получения на ее выходе опорного сигнала частотой Fdds11Fсинхр.

[38]

Далее производят сравнение фазы и частоты опорного и синхронизируемого сигналов для выработки аналогового напряжения, пропорционального фазовому и/или частотному рассогласованию при помощи фазочастотного детектора 5, а затем осуществляют фильтрацию полученного напряжения по низкой частоте при помощи фильтра низких частот 6,

[39]

Далее это напряжение подают на генератор, управляемый напряжением (ГУН) 7, для получения на его выходе сигнала частотой Fвых, а затем ответвляют часть полученного сигнала в контур отрицательной обратной связи (ООС) 8.

[40]

В контуре ООС синхронизируемый сигнал получают при помощи второй МПЦС 9, тактируя ее сигналом частотой Fвых-DFсинхр, для получения на ее выходе сигнала частотой

[41]

Fdds22(Fвых-DFсинхр).

[42]

Сигнал частотой Fвых-DFсинхр получают смешиванием сигналов с частотами Fвых и DFсинхр в смесителе 10 с дальнейшим выделением разностной составляющей в фильтре низких частот 11.

[43]

Последовательность выбора выходных частот Fdds1 и Fdds2 может быть реализована при помощи управляющего устройства 12 путем присваивания соответствующим выходным частотам Fвыхi кодов α1 и α2 для первой и второй МПЦС 4 и 9, выбираемых в соответствии с предварительно определенным и записанным в память управляющего устройства 12 набором «запрещенных» областей.

[44]

«Запрещенные» области находят при помощи программы, запускаемой, например, на персональном компьютере. Программа рассчитывает набор соотношений ,

[45]

где Fdds1кp - это набор частот, получение сигналов на которых в первой МПЦС 4 приводит к совпадению частот основных гармоник и гармоник высших порядков этих сигналов вследствие эффекта наложения.

[46]

Другими словами, это набор частот первой МПЦС, кратных частоте ее тактирования Fсинхр (далее - кратных частот)

[47]

±Fddd1кр=mFсинхр-nFdds1кр,

[48]

,

[49]

где n - номер гармоники сигнала с выхода первой МПЦС 4, взятый в диапазоне от 1 до N,

[50]

m - соответствующий n номер гармоники частоты тактирования, причем .

[51]

Для каждого определяют ширину «запрещенной» области из условия попадания гармоник выходного сигнала Fdds1 в некоторую окрестность Fdds1±Fдоп.

[52]

,

[53]

где Fdds1=Fdds1кр+ΔF,

[54]

где ΔF - отстройка Fdds1 от ближайшей кратной частоты Fdds1кр.

[55]

Делят обе части неравенства на Fсинхр, получая

[56]

,

[57]

где γ - набор выходных частот Fdds1, нормированных на частоту тактирования Fсинхр.

[58]

,

[59]

где γкр - набор кратных частот с выхода первой МПЦС, нормированных на частоту тактирования Fсинхр,

[60]

Δγ - отстройка Fdds1 от ближайшей кратной частоты Fdds1кр, нормированная на частоту тактирования Fсинхр.

[61]

Получают и ширину «запрещенной» области определяют как .

[62]

Результат расчета в виде графика зависимости ширины «запрещенных» областей от выходной частоты первой МПЦС 4, нормированной на частоту ее тактирования Fdds1/Fсинхр представлен на фиг. 2.

[63]

Набор запрещенных областей представляют в следующем виде:

[64]

,

[65]

где γ1нач, γ2нач, …, γkнач - коэффициенты, определяющие левые границы «запрещенных» областей;

[66]

γ1кон, γ2кон, …, γkкон - коэффициенты, определяющие правые границы «запрещенных» областей;

[67]

k - количество «запрещенных» областей,

[68]

Далее осуществляют выбор коэффициентов α1 и α2 в соответствии с предварительно рассчитанными «запрещенными» областями.

[69]

α1 определяют из математического выражения, присваивая значение, соответствующее середине самой широкой разрешенной области:

[70]

,

[71]

где i - номер «запрещенной» области, следующей сразу за наиболее широкой «разрешенной» областью.

[72]

Коэффициент α2 пересчитывают из α1 следующим образом:

[73]

α2=Сα1, где

[74]

,

[75]

Если α2 принимает значение, находящееся внутри «запрещенной» области, α2 присваивают значение α2* из соседней «разрешенной» области таким образом, чтобы соблюдалось условие

[76]

,

[77]

где ,

[78]

и производят изменение частоты Fdds1 сигнала с выхода первой МПЦС 4, присваивая α1 значение α1*, где

[79]

.

[80]

Если α2 не попадает в «запрещенную» область, то в МПЦС 4 и 9 записывают значения α1 и α2. Соответственно, если α2 попадает в «запрещенную» область, то в микросхемы прямых цифровых синтезаторов записывают значения α1* и α2*.

[81]

Последовательность выбора выходных частот Fdds1 и Fdds2 первой и второй МПЦС 4 и 9 для формирования выходных частот Fвыхi вне «запрещенных» областей проиллюстрирована фиг. 3.

[82]

Допустим, необходимо получить сигнал с выходной частотой Fвых=2,3583Fсинхр с непопаданием первых N=200 гармоник в Fвых±Fдоп, где .

[83]

Коэффициенту α1 присваивают значение, соответствующее середине самой широкой «разрешенной» области α1=0,143292.

[84]

Вычисляют α2=Сα1=0,400071.

[85]

Так как α2 попадает в «запрещенную» область, коэффициенту α2 присваивают значение α2*=0,4006, соответствующее середине самой близкой «разрешенной» области.

[86]

Вычисляют .

[87]

Проверяют значения α1* и α2* на попадание внутрь «запрещенных» областей.

[88]

Так как значения α1* и α2* находятся вне «запрещенных» областей, следовательно, в МПЦС 4 и 9 записывают α1* и α2*.

Как компенсировать расходы
на инновационную разработку
Похожие патенты