патент
№ RU 2531024
МПК G01W1/00

СПОСОБ ДИСТАНЦИОННОГО ЗОНДИРОВАНИЯ ЗЕМЛИ (ДЗЗ)

Авторы:
Свиридов Константин Николаевич
Номер заявки
2013125540/28
Дата подачи заявки
03.06.2013
Опубликовано
20.10.2014
Страна
RU
Как управлять
интеллектуальной собственностью
Чертежи 
1
Реферат

Изобретение относится к области оптического приборостроения и может быть использовано для получения изображений земной поверхности через турбулентную атмосферу. Способ основан на совместном использовании длинно-экспозиционного изображения и серии из N спектрально-фильтруемых коротко-экспозиционных изображений. Технический результат - повышение качества изображения зондируемого участка земной поверхности. 2 ил., 1 табл.

Формула изобретения

Способ дистанционного зондирования Земли (ДЗЗ), заключающийся в том, что определяют величину дисперсии атмосферных искажений фазы θ волнового фронта светового излучения на приемной апертуре телескопа σθ,D2(λ¯) и при спектральной фильтрации светового излучения средней длины волны (λ¯) устанавливают полосу частот равной ΔλA=λ¯/σθ,D, устраняя при этом частотное усреднение атмосферных искажений в формируемом изображении, усиливают яркость сформированного изображения, ослабленного спектральной фильтрацией, и квадратично детектируют его за время экспозиции τэ, меньшее интервала временной корреляции атмосферных флуктуаций τА, устраняя при этом временное усреднение атмосферных искажений в детектируемом изображении, регистрируют серию из N таких спектрально-фильтруемых коротко-экспозиционных изображений зондируемого участка земной поверхности, независимых друг от друга по атмосферным искажениям, но пространственно-неинвариантных к ним, далее при цифровой обработке зарегистрированных изображений сначала суммируют коротко-экспозиционные изображения, совмещая их характерные точки, и формируют при этом среднее изображение зондируемого участка земной поверхности, эквивалентное длинно-экспозиционному изображению, затем оценивают размер мгновенной области изопланатичности системы атмосфера-телескоп в фокальной плоскости F телескопа ДЗЗ и выделяют в каждом зарегистрированном коротко-экспозиционном изображении изопланатичные области, обладающие случайными атмосферными сдвигами, сравнивая коротко-экспозиционные изображения с сформированным длинно-экспозиционным изображением, сдвигают выделенные изопланатичные области коротко-экспозиционных изображений в соответствии с их расположением в пространственно-инвариантном длинно-экспозиционным изображении, затем для каждой области изопланатичности с скомпенсированными атмосферными сдвигами осуществляют суммирование по N изображениям серии и формируют среднее коротко-экспозиционное изображение каждой изопланатичной области зондируемого участка земной поверхности, компонуя в одном кадре результаты усреднения для всех областей изопланатичности, формируют среднее коротко-экспозиционное изображение зондируемого участка земной поверхности, пространственно-инвариантное к атмосферным искажениям, преобразуют его по Фурье в область пространственного спектра, пространственно фильтруют средней коротко-экспозиционной оптической передаточной функцией системы атмосфера-телескоп и при обратном Фурье-преобразовании отфильтрованного пространственного спектра восстанавливают изображение зондируемого участка земной поверхности.

Описание

[1]

Изобретение относится к области оптического приборостроения и предназначено для получения качественных изображений участков земной поверхности, наблюдаемых из Космоса через турбулентную атмосферу.

[2]

Из уровня техники известны способы дистанционного зондирования Земли, реализованные в Российском спутнике ДЗЗ «Ресурс-ДК1», описанном в статье Г. Петри «Российский спутник «Ресурс-ДК1»: альтернативный источник данных сверхвысокого разрешения» (см. Геоматика, №4, 2010 г., стр.38 42), находящемся на орбите с 15 июня 2006 года, и в планируемом к запуску в 2013 году российском спутнике «Ресурс-П», описанном в статье А.Н. Кирилина и др. «Космический аппарат «Ресурс-П» (см. Геоматика, №4, 2010 г., стр.23÷26).

[3]

Реализованные здесь способы дистанционного зондирования Земли основаны на формировании оптического изображения зондируемого участка земной поверхности, наблюдаемого из Космоса через турбулентную атмосферу, спектральной фильтрации и квадратичном детектировании сформированного изображения, его длинно-экспозиционной регистрации и передаче на Землю по радиолинии для последующей цифровой обработки.

[4]

Недостатками данных способов является то, что в них не учитывается и не компенсируется влияние турбулентности атмосферы, что приводит к ограничению достижимого в них разрешения.

[5]

Так, наличие в них полосы спектральной фильтрации Δλ≈1000 Å приводит к частотному усреднению атмосферных флуктуаций светового излучения в формируемом изображении, а используемая при детектировании технология ВЗН (временной задержки и накопления) приводит к детектированию длинно-экспозиционного изображения, усредненного по атмосферным искажениям. Отмеченные частотное и временное усреднение атмосферных флуктуаций в формируемом и детектируемом изображении ограничивают разрешение зондируемого участка земной поверхности величиной ~1 м.

[6]

Из уровня техники известны способы дистанционного зондирования Земли из Космоса, реализованные в зарубежных спутниках дистанционного зондирования, таких как QuickBird, WorldView 1(2) и GeoEye-1 производства США, описанных в статье В.В. Лаврова «Космические съемочные системы сверхвысокого разрешения» (см. Геоинформационный портал ГИС-Ассоциации, №2, 2010 г.) Эти космические аппараты ДЗЗ, как и российские, основаны на получении длинно-экспозиционных изображений зондируемого участка земной поверхности и его последующей тематической обработке без учета и компенсации влияния турбулентности атмосферы. Отличием данных способов ДЗЗ от российских является использование зеркальной оптики для формирования изображения вместо линзовой и увеличение размеров формирующей оптики. Указанные отличия позволяют увеличить пространственное разрешение зондируемого участка земной поверхности до: QuickBird - 0,6 м, WorldView - 0,5 м и GeoEye-1 - 0,4 м.

[7]

Здесь, как и в российских способах дистанционного зондирования Земли, при реализации технологии временной задержки и накоплении (TDI) детектируют длинно-экспозиционные изображения, что ограничивает информационные возможности дистанционого зондирования Земли по достижению пространственного разрешения.

[8]

Из уровня техники известен способ дистанционного зондирования, учитывающий и корректирующий влияние характеристик атмосферы на многоспектральные данные дистанционого зондирования «Processforcorrectingatmosphericinfluencesinmultispectralopticalremotesensingdata» (см. Патент США № US 6484099, опубл. 19.11.2002)

[9]

Этот способ дистанционного зондирования Земли основан на формировании изображения зондируемого участка земной поверхности, его спектральной фильтрации и квадратичном детектировании с последующей коррекцией атмосферного влияния в обрабатываемом изображении.

[10]

Заметим здесь, что в иностранной литературе для характеристики земной атмосферы как среды распространения светового излучения используют два термина: «turbid», что означает «мутный», и «turbulent», что означает «неспокойный».

[11]

Как «мутная» среда атмосфера приводит к ослаблению светового излучения. Причиной этого является поглощение и рассеяние света молекулами и аэрозолями атмосферы, которые учитываются обычно введением соответствующих коэффициентов ослабления, определяемых по таблицам (см., например, J.C. Wyant, ed «ImagingThroughtheAtmosphere» inProc. of SPIE, v.75, 1976).

[12]

Именно такая коррекция влияния атмосферы как «мутной» среды и осуществляется в способе, рассматриваемом в качестве аналога. Недостатком данного способа является то, что данный способ не улучшает пространственное разрешение длинно-экспозиционного изображения, а изменяет только его спектральные характеристики.

[13]

Как турбулентная - «неспокойная» среда, атмосфера приводит к случайным изменениям параметров светового информационного сигнала. Эти эффекты распространения связаны в основном со случайными температурными флуктуациями показателя преломления атмосферы, значительными только в тропосфере (нижние L=10 км земной атмосферы), и приводят к потере пространственного разрешения формируемых и детектируемых изображений зондируемого участка земной поверхности.

[14]

Заявленный способ дистанционного зондирования Земли в отличие от известных способов основан на учете и компенсации влияния турбулентности атмосферы.

[15]

Техническим результатом заявленного способа ДЗЗ является повышение качества (разрешения) обрабатываемого изображения зондируемого участка земной поверхности.

[16]

Технический результат достигается тем, что определяют величину дисперсии атмосферных искажений фазы θ волнового фронта светового излучения на приемной апертуре телескопа σθ,D2(λ¯) и при спектральной фильтрации светового излучения средней длины волны (λ¯) устанавливают полосу частот равной ΔλA=λ¯/σθ,D, устраняя при этом частотное усреднение атмосферных искажений в формируемом изображении, усиливают яркость сформированного изображения, ослабленного спектральной фильтрацией, и квадратично детектируют его за время экспозиции τэ, меньшее интервала временной корреляции атмосферных флуктуаций τА, устраняя при этом временное усреднение атмосферных искажений в детектируемом изображении, регистрируют серию из N таких спектрально-фильтруемых, коротко-экспозиционных изображений зондируемого участка земной поверхности, независимых друг от друга по атмосферным искажениям, но пространственно-неинвариантных к ним, далее при цифровой обработке зарегистрированных изображений сначала суммируют коротко-экспозиционные изображения, совмещая их характерные точки, и формируют при этом среднее изображение зондируемого участка земной поверхности, эквивалентное длинно-экспозиционному изображению, затем оценивают размер мгновенной области изопланатичности системы атмосфера-телескоп в фокальной плоскости F телескопа ДЗЗ и выделяют в каждом зарегистрированном коротко-экспозиционном изображении изопланатичные области, обладающие случайными атмосферными сдвигами, и, сравнивая коротко-экспозиционные изображения с сформированным длинно-экспозиционным изображением, сдвигают выделенные изопланатичные области коротко-экспозиционных изображений в соответствии с их расположением в пространственно-инвариантном длинно-экспозиционным изображении, затем для каждой области изопланатичности с скомпенсированными атмосферными сдвигами осуществляют суммирование по N изображениям серии и формируют среднее коротко-экспозиционное изображение каждой изопланатичной области зондируемого участка земной поверхности, и, компонуя в одном кадре результаты усреднения для всех областей изопланатичности, формируют среднее коротко-экспозиционное изображение зондируемого участка земной поверхности, пространственно-инвариантное к атмосферным искажениям, преобразуют его по Фурье в область пространственного спектра, пространственно фильтруют средней коротко-экспозиционной оптической передаточной функцией системы атмосфера-телескоп и при обратном Фурье-преобразовании отфильтрованного пространственного спектра восстанавливают изображение зондируемого участка земной поверхности.

[17]

Признаки и сущность заявленного изобретения поясняются в последующем детальном описании, иллюстрируемом чертежами, где показано следующее.

[18]

На Фиг.1 представлен вариант схемы реализации заявленного способа, на которой изображено:

[19]

Фиг.1, а - структурная схема канала формирования изображений ДЗЗ, где:

[20]

1 - телескоп космического аппарата ДЗЗ;

[21]

2 - коллимирующая оптика;

[22]

3 - турель с интерференционными светофильтрами;

[23]

4 - фокусирующая оптика;

[24]

5 - фокальная плоскость.

[25]

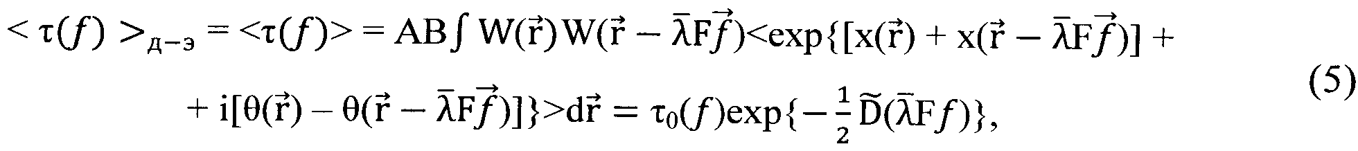
Фиг.1, б - структурная схема канала детектирования и регистрации изображений ДЗЗ, где:

[26]

5 - фокальная плоскость;

[27]

61, 62- электромеханические затворы;

[28]

7 - усилитель яркости изображения;

[29]

8 - оптика переноса;

[30]

9 - квадратичный панорамный детектор;

[31]

10 - цифровая система обработки видеосигналов;

[32]

11 - бортовой компьютер;

[33]

12 - кодирующее устройство;

[34]

13 - бортовая РЛС.

[35]

Фиг.1, в - структурная схема канала обработки изображений ДЗЗ, где:

[36]

14 - наземная РЛС;

[37]

15 - декодирующее устройство;

[38]

16 - вычислительные средства;

[39]

17 - программное обеспечение;

[40]

18 - алгоритмическое обеспечение обработки изображений ДЗЗ;

[41]

19 - АРМ оператора;

[42]

20 - потребители изображений ДЗЗ высокого разрешения.

[43]

На Фиг.2 представлена зависимость нормированного разрешения R/Rmax от нормированного диаметра телескопа D/r0.

[44]

При этом следует отметить, что канал формирования изображений ДЗЗ и канал детектирования и регистрации изображений ДЗЗ находятся на борту космического аппарата, а канал обработки изображений ДЗЗ находится на Земле и связан с ними по радиолинии.

[45]

Телескоп космического аппарата ДЗЗ 1 осуществляет формирование оптического изображения зондируемого участка земной поверхности, наблюдаемого из Космоса через турбулентную атмосферу.

[46]

Коллимирующая оптика 2 создает параллельный пучок света, необходимый для правильной работы последующих оптических элементов.

[47]

Турель с интерференционными светофильтрами 3, каждый из которых при солнечном подсвете зондируемого участка земной поверхности позволяет выделить необходимый спектральный диапазон λ¯ и полосу принимаемого светового излучения, причем здесь Δλ<ΔλA, а ΔλA=λ¯/δθθ - среднеквадратичное отклонение атмосферных искажений фазы θ светового излучения имеет экспериментально подтвержденную величину порядка δθ=10÷20 рад);

[48]

Так при λ¯=5000Å,ΔλA=(500÷250)Å и выполнение условия Δλ<ΔλAmin обеспечивает отсутствие частотного усреднения атмосферных искажений фазы светового излучения в формируемых фокусирующей оптикой 4 изображениях.

[49]

Фокусирующая оптика 4 формирует отфильтрованные изображения зондируемого участка земной поверхности в фокальную плоскость 5, содержащую затвор - 61 канала детектирования и регистрации изображений.

[50]

Электромеханические затворы 61 и 62синхронизированы с частотой кадров квадратичного панорамного детектора 9, которые обеспечивают требуемое время экспонирования коротко-экспозиционных изображений τэ, меньшее времени τА «замороженности» турбулентностей атмосферы, а также обеспечивают независимость отдельных коротко-экспозиционных регистраций в серии, препятствуя тем самым временному усреднению коротко-экспозиционных изображений за счет послесвечения экрана усилителя яркости изображения 7 и наличия остаточного заряда на мишени квадратичного панорамного детектора 9.

[51]

Усилитель яркости изображения 7, необходимость использования которого в канале детектирования и регистрации обусловлена существенным ослаблением принимаемого светового излучения в канале формирования при спектральной фильтрации в турели с интерференционными светофильтрами 3, должен обеспечивать работу квадратичного панорамного детектора 9 с квантовыми шумами, преобладающими над другими шумами процесса детектирования. В качестве усилителя яркости изображения на борту космического аппарата целесообразно использовать микроканальные пластины (МКП), которые обладают меньшим весом и габаритами, чем электронно-оптические преобразователи (ЭОП).

[52]

Оптика переноса 8 проецирует изображение объекта с выхода усилителя яркости изображения 7 на вход квадратичного панорамного детектора 9 без изменения ракурса. В качестве оптики переноса можно использовать, например, набор линз или волоконную оптику, обладающую меньшими потерями света при передаче изображения.

[53]

Квадратичный панорамный детектор 9 (например, суперкремникон или ПЗС матрица) предназначен для детектирования и регистрации серии спектрально-фильтруемых, коротко-экспозиционных изображений.

[54]

Цифровая система обработки видеосигналов 10 предназначена для оцифровки серий коротко-экспозиционных изображений, поступающих с квадратичного панорамного детектора 9. Оцифрованные в цифровой системе обработки видеосигналов 10 видеосигналы с квадратичного панорамного детектора 9 записываются в цифровую память бортового компьютера - 11.

[55]

Далее оцифрованные коротко-экспозиционные изображения из памяти компьютера - 11 поступают в кодирующее устройство - 12 и с помощью РЛС - 13 по радиолинии передаются на Землю для последующей обработки.

[56]

Обработка серии спектрально-фильтруемых, коротко-экспозиционных изображений зондируемого участка земной поверхности, полученных на борту космического аппарата в соответствии с Фиг.1а и Фиг.1б и переданных по радиолинии на Землю, осуществляется по схеме, представленной на Фиг.1в.

[57]

Наземная РЛС14 принимает по радиолинии информацию с бортовой РЛС 13.

[58]

Декодирующее устройство 15 преобразует сигналы от наземной РЛС 14 к виду, удобному для записи в память вычислительных средств 16.

[59]

Вычислительные средства (например, ЭВМ) предназначены для реализации алгоритма обработки изображений ДЗЗ 18.

[60]

Программное обеспечение (ПО) 17 вычислительных средств 16 предназначено для организации процесса работы вычислительных средств - 16 по реализации алгоритма обработки изображений ДЗЗ 18.

[61]

Алгоритмическое обеспечение обработки изображений ДЗЗ представляет последовательность операций над зарегистрированными коротко-экспозиционными изображениями, обеспечивающих достижение поставленной цели - повышения качества (разрешения) обрабатываемых изображений зондируемого участка земной поверхности.

[62]

АРМ оператора 1 предназначена для контроля процесса обработки и анализа качества (разрешения) обрабатываемых изображений в процессе реализации алгоритма обработки изображений ДЗЗ 18.

[63]

Дадим краткое математическое обоснование предлагаемого способа ДЗЗ и рассмотрим его реализацию по схеме, представленной на Фиг.1.

[64]

Наличие турбулентной атмосферы Земли между объектом наблюдения - зондируемым участком земной поверхности и телескопом космического аппарата дистанционного зондирования Земли (ДЗЗ) приводит к возникновению двух проблем: проблемы «видения» через турбулентную атмосферу и проблемы «изопланатичности» наблюдаемого участка земной поверхности. При этом если проблема «видения» накладывает ограничения на минимальный размер деталей, разрешаемых на зондируемом участке земной поверхности, то проблема «изопланатичности» ограничивает максимальный размер поля зрения системы атмосфера-телескоп, в котором наблюдаемый участок земной поверхности еще является пространственно-инвариантным к атмосферным искажениям, то есть все точки этого участка искажены одинаковой функцией рассеяния точки системы атмосфера-телескоп.

[65]

Эти проблемы атмосферной оптики достаточно полно изучены для наблюдения через турбулентную атмосферу в противоположном направлении, а именно для наземных наблюдений космического пространства, и изложены в монографии К.Н. Свиридова (см. «Технологии достижения высокого углового разрешения оптических систем атмосферного видения». - М.: изд. Знание, 2005 г.). Учитывая принцип «взаимности» распространения в турбулентной атмосфере (см. J.H Shapiro «Reciprocity of the Turbulent Atmosphere», Journal of The Optical Society of America, vol. 61, p.492-495, 1971), можно использовать некоторые результаты, полученные при решении задач контроля космического пространства через турбулентную атмосферу, для решения проблем дистанционного зондирования Земли через турбулентную атмосферу.

[66]

В основе предлагаемого здесь способа лежат отличия в характере атмосферных искажений длинно-экспозиционного (среднего) и коротко-экспозиционного (мгновенного) изображений. Так, если длинно-экспозиционное изображение, усредненное по атмосферным искажениям за время экспозиции τэ, большее времени «замороженности» турбулентностей атмосферы τА, обладает худшим разрешением, чем мгновенное коротко-экспозиционное изображение, регистрируемое за время τэ, меньшее времени «замороженности» турбулентностей атмосферы τА, то оно является пространственно инвариантным к атмосферным искажениям во всем поле зрения системы атмосфера-телескоп, в отличие от коротко-экспозиционного изображения, состоящего в этом поле из ряда мгновенных областей изопланатичности, пространственно-неинвариантных к атмосферным искажениям. Эти отличия навели на мысль о целесообразности комбинированного использования длинно-экспозиционного изображения и серии из N спектрально-фильтруемых коротко-экспозиционных изображений.

[67]

Для количественной оценки и сравнения разрешения, получаемого через турбулентную атмосферу при длинно-экспозиционной регистрации изображения, и разрешения, получаемого через турбулентную атмосферу при коротко-экспозиционной регистрации изображения, кратко изложим результаты, полученные Фридом в работе D.L. Fried «OpticalResolutionThroughaRandomlyInhomogeneousMediumforVeryLongandVeryShortExposures» (см. JournalofTheOpticalSocietyofAmerica, vol.56, p.1372-1379, 1996) и описанные в монографии К.Н. Свиридова «Атмосферная оптика высокого углового разрешения» том 1. - М.: изд. Знание, 2007 г.

[68]

Изображение, наблюдаемое в телескоп через турбулентную атмосферу, оказывается искаженным, как аберрациями телескопа, так и турбулентностью атмосферы. Основной характеристикой, с помощью которой описываются эти искажения, является атмосферно-линзовая оптическая передаточная функция (ОПФ). Формально ОПФ вводится как двумерное преобразование Фурье от распределения интенсивности I(ρ) изображения точечного источника - функции рассеяния точки (ФРТ). I(ρ) имеет вид

[69]

I(ρ)=AW(r1)W(r2)E(r1)E*(r2)eiKFρ(r1r2)dr1dr2,(1)

[70]

где ρ и r - координаты в плоскостях изображения и апертуры телескопа соответственно, W(r) - безаберрационная апертурная функция, равная единице в пределах раскрыва и нулю вне его, F - фокусное расстояние телескопа, k=2π/λ¯, λ¯ - средняя длина волны излучения Солнца, А - нормирующий множитель, зависящий от энергетических характеристик излучения, а E(r) - функция, описывающая вид поля на приемной апертуре.

[71]

В общем случае E(r)=exp[χ(r)+iθ(r)], где θ(r) и χ(r) соответственно набег фазы и изменение логарифма амплитуды, обусловленные наличием турбулентной атмосферы. Эти величины являются случайными и их статистические характеристики определяются статистическими свойствами атмосферной трассы.

[72]

Если ввести пространственно-частотный вектор f=(r1r2)/λ¯F, то атмосферно-линзовая ОПФτ(f), как функция вектора f, определяется выражением

[73]

[74]

где В - нормирующий множитель, выбираемый таким образом, чтобы τ(0)=1.

[75]

Подставляя (1) в (2), получаем

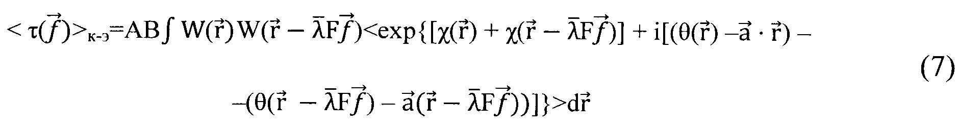
[76]

[77]

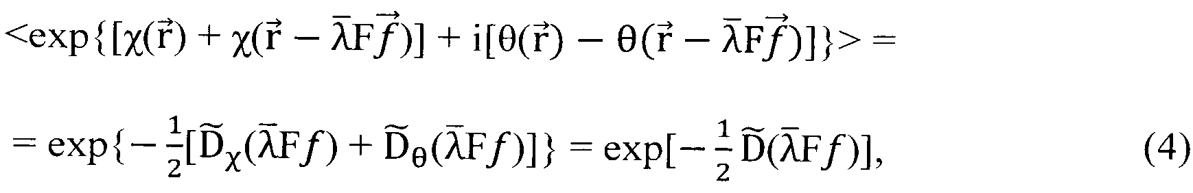
Вследствие случайного характера функций θ(r) и χ(r) функция τ(f) также является случайной. Ее статистические характеристики зависят как от природы атмосферных искажений, так и от времени, в течение которого осуществляется регистрация изображения. Влияние длительности экспозиции τЭ проявляется в том, насколько полно за время регистрации происходит усреднение τ(f) по возможным случайным реализациям функций θ(r) и χ(r). При экспозиции τЭ, меньшей времени «замороженности» турбулентной атмосферы τА, то есть времени, в течение которого параметры атмосферы остаются практически неизменными, усреднения τ(f) вообще не происходит. Поэтому каждому новому наблюдению будет соответствовать своя (случайная) атмосферно-линзовая ОПФ. При достаточно большой экспозиции τЭ относительно τА, такой, что в процессе регистрации появляются самые разные реализации случайных функций θ(r) и χ(r), происходит фактическое усреднение τ(f) по этим реализациям. Теперь τ(f) не меняется от наблюдения к наблюдению и регистрируемое изображение характеризуется средней функцией τ(f). Эти два крайних случая малой и большой экспозиций являются предметом дальнейшего рассмотрения.

[78]

Начнем со случая длинной экспозиции. В соответствии с вышеизложенным ОПФ для длинной экспозиции определяется как среднее значение τ(f) по ансамблю возможных реализаций θ(f) и χ(f). Обычно предполагают, что θ(r) и χ(r) являются реализациями нормального однородного случайного процесса, так что выполняется соотношение

[79]

[80]

где - структурные функции флуктуации фазы и логарифма амплитуды соответственно, а - волновая структурная функция.

[81]

Нетрудно убедится, что с учетом этого соотношения выражение для длинно-экспозиционной ОПФ имеет вид

[82]

[83]

где - оптическая передаточная функция телескопа для круглой апертуры с радиусом D/2.

[84]

Величина τ(f)0 равна площади перекрытия двух кругов с одинаковыми радиусами D/2, центры которых расположены друг от друга на расстоянии λ¯Ff, так что

[85]

τ0(f)={2π[arccos(λ¯Ff)D(λ¯Ff)D1(λ¯FfD)2],дляλ¯FfD0λ¯Ff>D}(6)

[86]

Первый сомножитель в (5) является характеристикой только оптической системы, а второй - только атмосферного тракта, в чем легко убедиться, если ввести новую пространственную частоту f'=fF.

[87]

При короткой экспозиции функция τ(f) является случайной. Для вычисления ее среднего значения Фрид предложил выделять некоторый наклон из случайной реализации фазового фронта и осуществлять усреднение по тем же правилам, что и в предыдущем случае, но без учета этого наклона. Получаемая в результате такого усреднения <τ(f)>k-э совпадает со средним значением τ(f) для случая короткой экспозиции. Это обусловлено тем, что наклон фазового фронта приводит лишь к смещению изображения в фокальной плоскости, которое от наблюдения к наблюдению, хотя и является случайной величиной (в силу случайности самого наклона), но при данном наблюдении с короткой экспозицией оно (смещение) неизменно и поэтому не влияет на разрешение изображения.

[88]

Пусть θ(r) есть некоторая конкретная реализация фазового фронта. Для определения наклона этого фазового фронта введем вектор a такой, что плоскость (ar) наилучшим образом аппроксимируют θ(r) в смысле среднеквадратичного отклонения по апертуре, то есть

[89]

[90]

Тогда в соответствии со сделанными выше замечаниями, опуская в выражении для τ(f) информацию о наклоне, которая описывается множителем имеем

[91]

[92]

Заметим, что a является случайным вектором и его конкретное значение определяется из уравнения

[93]

[94]

Воспользовавшись (7) и (8), после ряда преобразований получаем, для высоты Н космического аппарата ДЗЗ, находящегося в ближней зоне (зоне Френеля) при D>(λ¯H)2 и D˜θ(r)=D˜(r)

[95]

[96]

где

[97]

,

[98]

D - диаметр апертуры телескопа,

[99]

[100]

Таким образом, <τ(f)>К-Э, как и <τ(f)>Д-Э, представима в виде произведения двух сомножителей. Однако если первые сомножители у них одинаковые, то вторые - разные, причем в коротко-экспозиционном случае второй сомножитель является функцией не только параметров атмосферы, но и самой формирующей оптической системы и, в частности, диаметра ее апертуры D. Сравнивая (5) и (9), нетрудно видеть, что <τ(f)>к-э больше <τ(f)>д-э для всех пространственных частот f.

[101]

Чтобы установить конкретный вид ОПФ, необходимо конкретизировать зависимость D˜(r). Часто используют аппроксимацию вида

[102]

D˜(r)=6,88(r/r0)5/3(10)

[103]

где r0 - пространственный радиус корреляции атмосферных флуктуаций светового излучения (так называемый параметр Фрида), который зависит от протяженности трассы распространения в турбулентной атмосфере, длины волны, степени турбулентности вдоль трассы, природы неискаженного волнового фронта и определяется для сферической волны как

[104]

r0(λ¯,L)=[0,423(2πλ¯)20LCn2(h)(hL)5/3dh]3/5(11)

[105]

Подставляя (10) в (5) и (9), получаем

[106]

<τ(f)>дэ=τ0(f)exp{3,44(λ¯Ff/r0)5/3}(12)

[107]

[108]

Средняя разрешающая способность, реализуемая в системе атмосфера-телескоп, может быть охарактеризована величиной R, определяемой

[109]

[110]

которая для выражений (12)и(13) имеет вид

[111]

Rдэ=4D2λ¯F01(arccosuu1u2)exp[3,44(Dr0)5/3u5/3]udu(15)

[112]

[113]

где u=(r/D).

[114]

Если устремить D к бесконечности и тем самым исключить дифракционные искажения, вносимые оптической системой, то получим максимальное значение разрешающей способности, которое может быть достигнуто при данных параметрах турбулентной атмосферы. Например, в случае длинной экспозиции имеем

[115]

Rmax=limDRдэ=(π4)(r0/λ¯F)2[цикл2м2](17)

[116]

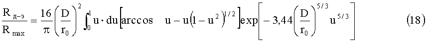
Нормируем RД-Э и RК-Э на «предельное разрешение» (17) и получаем

[117]

RдэRmax=16π(Dr0)201udu[arccosuu(1u2)1/2]exp[3,44(Dr0)5/3u5/3](18)

[118]

RКЭRmax=16π(Dr0)201udu[arccosuu(1u2)1/2]××exp[3,44(Dr0)5/3u5/3(1u1/3)](19)

[119]

Эти два интеграла были оценены количественно для различных отношений D/r0 и изображены на Фиг.2. Таблица 1 дает величины, по которым были построены графики на Фиг.2.

[120]

[121]

На основании полученных результатов видно, что существенно лучшее разрешение может быть достигнуто с короткой экспозицией по сравнению с длинной экспозицией. При этом максимум коротко-экспозиционного разрешения имеет место при Dопт=3,8r0, а выигрыш в разрешении коротко-экспозиционной регистрации по сравнению с длинно-экспозиционной регистрацией в этом случае равен 3,500,837=4,18 раз.

[122]

Рассмотрим теперь реализацию заявленного способа по схеме, представленной на Фиг.1, выделяя особенности формирования, детектирования и обработки коротко-экспозиционных изображений, обеспечивающие достижение полученного выигрыша в разрешении.

[123]

При формировании коротко-экспозиционных изображений в соответствии с проведенными ранее исследованиями (см. К.Н. Свиридов и др. «Статистическая оценка спектральной полосы метода пятенной интерферометрии» Оптика и спектроскопия, т.54, вып.5, стр.890, 1983 г.) для устранения частотного усреднения атмосферных искажений в формируемом изображении необходимо осуществлять спектральную фильтрацию принимаемого светового излучения.

[124]

При этом полоса частот Δλ турели с интерференционными светофильтрами фильтра 3 выбирается, исходя из величины среднеквадратичного отклонения атмосферных искажений фазы θ светового излучения σθ, и определяется выражением ΔλΔλA=λ¯/σθ.

[125]

В соответствии с экспериментальными данными величина σθ может изменяться в широких пределах и имеет максимальные значения порядка 10÷20 рад, что для λ¯=5000Å дает величину ΔλA=(500÷250)Å,Δλ250Å.

[126]

Требуемая полоса спектральной фильтрации оказывается достаточно узкой и заметно ослабляет яркость формируемого изображения. Для компенсации этого ослабления предлагается перед детектированием усиливать яркость сформированного изображения в усилителе яркости изображения 7.

[127]

Для детектирования в квадратичном панорамном детекторе 9 коротко-экспозиционных (мгновенных) изображений, как уже отмечалось выше, время экспонирования τэ должно быть меньше времени «замороженности» турбулентности атмосферы τА. В соответствии с проведенными исследованиями величина τА изменяется в широких пределах τА=(1÷100) мсек и имеет минимальные значения τAmin=1 мсек. Учитывая это, при коротко-экспозиционной регистрации необходимо выбирать τЭ≤τА=1 мсек.

[128]

При регистрации серии спектрально-фильтруемых коротко-экспозиционных изображений необходимо обеспечить их независимость друг от друга по атмосферным искажениям.

[129]

Это требует выбора интервала времени между отдельными коротко-экспозиционными регистрациями в серии, превышающего инерционность детектора τд. Действительно, вследствие инерционности квадратичного панорамного детектора 9 на его мишени может сохраняться остаточный заряд от 4÷5 предыдущих кадров при регистрации последующих, что может привести к накоплению и усреднению регистрируемых коротко-экспозиционных изображений. Для устранения влияния инерционности детектора предлагается регистрировать выборочные кадры, а не все подряд, и между регистрациями очищать детектор от остаточного заряда.

[130]

При такой стратегии детектирования, назовем ее стратегий «выборочного кадра», работа квадратичного панорамного детектора 9 осуществляется следующим образом:

[131]

кадр 1 - диск вращающегося прерывателя светового излучения (затвора - 61), синхронизированного с частотой кадров квадратичного панорамного детектора 9, открывает фотокатод на время экспозиции τЭ, согласованное с интервалом временной корреляции атмосферных флуктуаций τэτAmin. В течение этого интервала (экспонирования) считывающий луч квадратичного панорамного детектора 9 запирается стробирующим импульсом управления;

[132]

кадр 2 - считывающий луч включается, и кремневая поверхность мишени квадратичного панорамного детектора 9 считывается в цифровой системе обработки видеосигналов 10;

[133]

кадр 3 - вспыхивает светодиод, насыщая кремневую поверхность мишени квадратичного панорамного детектора 9 и обеспечивая однородность последующего стирания мишени без остатков изображения;

[134]

кадры 4, 5, 6, 7, 8 - обычное считывание мишени, как в кадре 2, чтобы полностью разрядить ее кремниевую поверхность.

[135]

Таким образом, кадр 1 используется для записи сформированного изображения на мишень, кадр 2 используется для считывания изображения с мишенями и формирования видеосигнала, а кадры 3÷8 используются для стирания мишени квадратичного панорамного детектора 9.

[136]

Затворы 61 и 62, обеспечивая реализацию стратегии «выборочного кадра», экспонируют только один кадр квадратичного панорамного детектора 9 из каждых восьми. При заданной затворами производительности цикла детектирования 12,5% практически регистрируются только 6 кадров в секунду с промежутком времени между экспонируемыми изображениями τп=7τk=1400 мсек, где τk - время одного кадра τk=20 мсек при частоте 50 Гц. Наличие такого промежутка τПД способствует тому, что регистрируемые изображения являются независимыми друг от друга по атмосферным искажениям, а также свободны от упомянутых выше эффектов инерционности мишени квадратичного панорамного детектора 9. Оба эти факта свидетельствуют об отсутствии усреднения регистрируемых коротко-экспозиционных изображений, исходных для обработки серии.

[137]

Зарегистрированные и оцифрованные в цифровой системе обработки видеосигналов 10 изображения передаются по радиолинии на Землю для последующей обработки.

[138]

В соответствии с предлагаемым алгоритмом обработки изображений ДЗЗ 18 при обработке зарегистрированной серии N спектрально-фильтруемых, коротко-экспозиционных изображений, пространственно неинвариантных к атмосферным искажениям, осуществляют следующую последовательность операций:

[139]

1) суммируют N зарегистрированных спектрально-фильтруемых коротко-экспозиционных изображений, совмещая их характерные точки, и формируют при этом среднее изображение, пространственно-инвариантное к атмосферным искажениям, эквивалентное длинно-экспозиционному изображению;

[140]

2) оценивают размер мгновенной области изопланатичности системы атмосфера-телескоп в фокальной плоскости F изображения - 5 телескопа ДЗЗ - 1 как

[141]

rи(λ¯,L)=r0(λ¯,L)FL,(20)

[142]

где r0(λ¯,L) - пространственный радиус корреляции атмосферных флуктуаций светового излучения на границе L≈10 км турбулентного слоя, равный r0(λ¯,L)=0,1 м;

[143]

3) используя «скользящее окно» в виде П-образной функции размера rи(λ¯,L), выделяют в каждом зарегистрированном коротко-экспозиционном изображении пространственно инвариантные (изопланатичные) области, обладающие случайными атмосферными сдвигами;

[144]

4) сравнивают коротко-экспозиционные изображения с сформированным длинно-экспозиционным изображением и сдвигают выделенные изопланатичные области коротко-экспозиционных изображений в соответствии с их расположением в пространственно-инвариантном длинно-экспозиционном изображении;

[145]

5) для каждой области изопланатичности с скомпенсированными атмосферными сдвигами осуществляют суммирование по N изображениям серии и формируют среднее коротко-экспозиционное изображение каждой изопланатичной области зондируемого участка земной поверхности;

[146]

6) с учетом использованной ранее п.3) П-образной функции «скользящего окна» осуществляют компоновку в одном кадре средних коротко-экспозиционных изображений всех выделенных областей изопланатичности с учетом их местоположения и ориентации в исходных изображениях и формируют при этом среднее коротко-экспозиционное изображение зондируемого участка земной поверхности, пространственно-инвариантное к атмосферным искажениям;

[147]

7) преобразуют сформированное среднее коротко-экспозиционное изображение зондируемого участка земной поверхности по Фурье в область пространственного спектра;

[148]

8) пространственно фильтруют спектр сформированного среднего коротко-экспозиционного изображения средней коротко-экспозиционной оптической передаточной функцией системы атмосфера-телескоп;

[149]

9) при обратном п.7) Фурье преобразовании от фильтрованного пространственного спектра п.8) восстанавливают изображение зондируемого участка земной поверхности, свободное от влияния турбулентности атмосферы и обладающее высоким разрешением.

[150]

Итак, реализация предлагаемого способа позволяет учесть и скомпенсировать влияние турбулентности атмосферы как при формировании и детектировании изображений зондируемого участка земной поверхности, так и при их последующей обработке, что позволяет повысить качество (разрешение) обрабатываемого изображения зондируемого участка земной поверхности максимально в 8,36 раза.

[151]

Действительно, в соответствии с проведенными исследованиями получено, что при оптимальном соотношении D=3,8r0(λ¯,H), где r0(λ¯,H) - пространственный радиус корреляции атмосферных флуктуаций светового излучения, на высоте Н космического аппарата ДЗЗ максимальный выигрыш в разрешении среднего коротко-экспозиционного изображения, получаемого в заявленном способе, по сравнению с разрешением среднего длинно-экспозиционного изображений аналога составляет Rкэ/Rдэ=4,18 раз, а пространственная фильтрация среднего коротко-экспозиционного изображения позволяет дополнительно повысить пространственное разрешение обрабатываемого изображения зондируемого участка земной поверхности в 2 раза.

Как компенсировать расходы
на инновационную разработку
Похожие патенты