Изобретение относится к области электронных приборов СВЧ, в частности к лампам бегущей волны. Лампа бегущей волны с вводом и выводом энергии, содержащими передающие линии волноводного типа, с пространством взаимодействия в виде замедляющей системы, содержащей спираль, опорные диэлектрические стержни и металлический экран, с локальным поглотителем, выполненным на основе резистивной пленки, размещенной на опорных диэлектрических стержнях. Резистивная пленка поглотителя наносится так, что отсутствует на поверхности диэлектрических стержней, касающейся спирали, и на части поверхности боковых сторон и присутствует на оставшейся части боковых сторон диэлектрических стержней. Таким способом достигается то, что затухание, вносимое поглотителем на нижних частотах, больше, чем на верхних частотах. Перепад затухания определяется, прежде всего, зазором между резистивной пленкой и спиралью. Подобрав величину зазора, можно добиться того, что уменьшение КПД за счет введения поглотителя будет минимальным, а вносимое затухание - достаточным для обеспечения устойчивости к самовозбуждению. Оптимальный зазор составляет от 0,3 до 0,6 высоты диэлектрического стержня для разных конструкций ЛБВ. Технический результат - улучшение выходных характеристик ЛБВ при обеспечении устойчивости к самовозбуждению, в том числе на частоте отсечки волноводов.1 з.п. ф-лы, 7 ил.
1. Лампа бегущей волны с вводом и выводом энергии, содержащими передающие линии волноводного типа, с пространством взаимодействия в виде замедляющей системы, содержащей спираль, опорные диэлектрические стержни и металлический экран, с локальным поглотителем, выполненным на основе резистивной пленки, размещенной на опорных диэлектрических стержнях, отличающаяся тем, что резистивная пленка отсутствует на поверхности диэлектрических стержней, касающейся спирали, и на части поверхности боковых сторон и присутствует на оставшейся части боковых сторон диэлектрических стержней, находясь на расстоянии от спирали, составляющем от 0,3 до 0,6 высоты опорного диэлектрического стержня. 2. Лампа бегущей волны по п. 1, отличающаяся тем, что начало локального поглотителя совпадает с началом пространства взаимодействия.
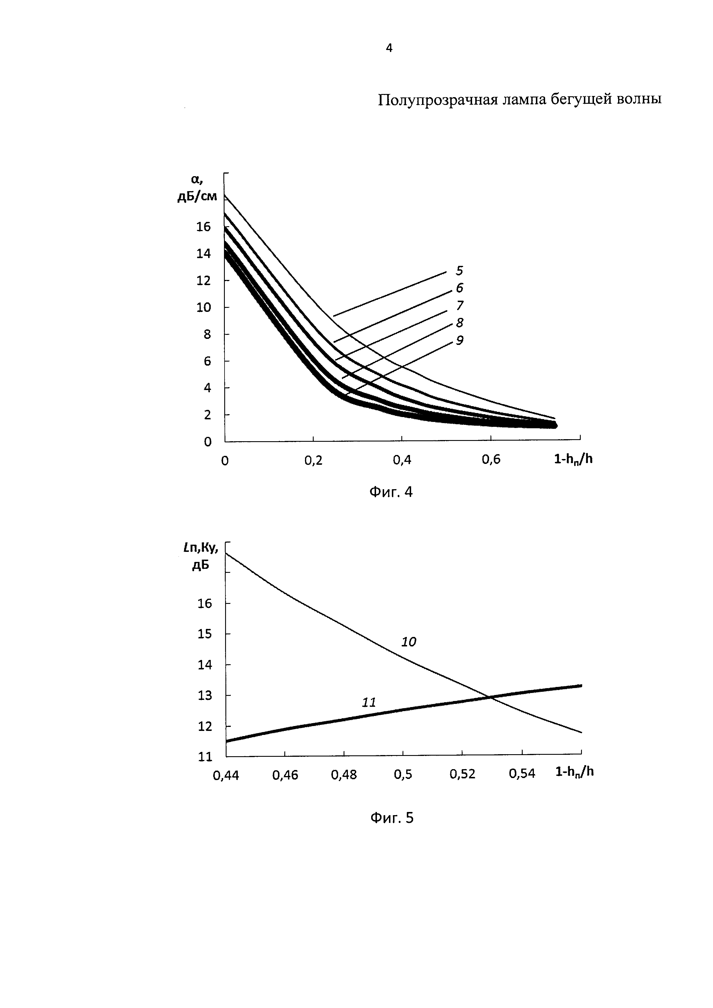
Изобретение относится к области электронных приборов СВЧ, в частности к спиральным лампам бегущей волны (ЛБВ) О-типа. Известны прозрачные ЛБВ - усилители мощности, работающие при больших входных сигналах [1-5]. Они имеют высокий электронный КПД и малую неравномерность амплитудно-частотной характеристики. Оптимальный коэффициент усиления их составляет 8-10 дБ. Применение прозрачной ЛБВ на выходе усилительной цепочки повышает КПД усилителя [1, 5, 6]. Ввиду малой длины прозрачной ЛБВ она устойчива к самовозбуждению на обратной волне [7]. Однако мощные коротковолновые прозрачные ЛБВ, при использовании в них волноводных ввода и вывода энергии, могут возбуждаться на частоте отсечки этих волноводов, которая близка к нижней частоте рабочего диапазона. Поэтому целесообразно принять меры по предотвращению такого возбуждения, заметно не ухудшая при этом выходные характеристики в рабочей полосе частот. Одной из таких мер может служить введение в пространство взаимодействия (ПВ) ЛБВ поглотителя с небольшим вносимым затуханием. Причем начало его может, в частности, совпадать с началом ПВ. В 1956 г., когда, по-видимому, впервые была исследована работа ЛБВ без поглотителя и с поглотителем, было показано [1], что КПД ЛБВ с поглотителем ниже, чем без него. Поэтому необходимо создать такие конструкции ЛБВ с поглотителем, в которых снижение КПД за счет введения его будет минимальным. Реализация локального поглотителя в ЗС спирального типа основана на нанесении резистивного покрытия (пленки) на диэлектрические опорные стержни. Изменяя омическое сопротивление пленки и геометрическое распределение его по стержням, можно добиться требуемого изменения затухания вдоль длины ПВ и необходимой интегральной величины этого затухания. Вследствие широкополосности ЛБВ со спиральной ЗС в ней предпочтителен поглотитель с минимальной зависимостью затухания от частоты [8]. Нанесенная по периметру стержня резистивная пленка, омическое сопротивление которой изменяется только вдоль длины ПВ, чаще всего реализует необходимые параметры поглотителя, и такой поглотитель можно назвать традиционным. Однако для оптимизации отдельных параметров ЛБВ резистивная пленка может наноситься на часть поверхности стержня, например, как это сделано в [9]. Одна из подобных конструкций, где поглощающее покрытие арочной формы наносится на круглые диэлектрические стержни со стороны, примыкающей к экрану, предложена в патенте США №3397339 [10] (опубл. 13.08.68). Это сделано с целью подавления паразитных колебаний, вызванных интенсивными радиальными полями вблизи металлического экрана. При этом предполагается, что, вследствие удаленности зоны нанесения поглотителя от спирали, он не окажет никакого влияния на выходные параметры ЛБВ. Однако никаких расчетных данных, подтверждающих справедливость этого предположения, в [10] не приводится. ЛБВ, на опорные диэлектрические стержни которой, наряду с традиционным поглотителем, применяемым в лампах с большим усилением, нанесено дополнительное поглощающее покрытие со стороны, противолежащей спиральной замедляющей системе, начиная от пушечного конца лампы, описано в [11]. Авторам удалось таким способом сдвинуть частоту, соответствующую максимальному усилению, с 12 до 16 ГГц, при этом максимальное значение его уменьшилось с 50 до 40 дБ. Величина КПД в [11] не исследовалась. Размещение поглотителя на стержнях только в области, противолежащей спиральной замедляющей системе, и регулировка вносимого им затухания лишь изменением его толщины, как на фиг. 4 патента №2476908 [11], могут не позволить получить необходимую величину вносимого поглотителем затухания. В предлагаемом изобретении рекомендуется размещать резистивную пленку поглотителя на сторону стержня, противолежащую спиральной замедляющей системе, и на боковые поверхности его. Резистивная пленка на боковых поверхностях должна быть размещена так, чтобы между ее краем и спиралью оставался зазор. При такой конфигурации поглотителя затухание, вносимое поглотителем на нижних частотах, больше, чем на верхних частотах. Перепад затухания определяется, прежде всего, зазором между резистивной пленкой и спиралью. Такой поглотитель может реализовать большое затухание на нижних частотах, где у ЛБВ, снабженной волноводными СВЧ-выводами, обязательно будет большой КСВн в районе частоты отсечки волноводов. В то же время в рабочем диапазоне частот затухание поглотителя будет значительно меньше, что при определенных условиях может позволить иметь выигрыш в параметрах. Подобрав величину зазора, можно добиться того, что уменьшение КПД за счет введения поглотителя будет минимальным, а вносимое затухание - достаточным для обеспечения устойчивости к самовозбуждению. Назовем такой прибор полупрозрачной лампой бегущей волны. Техническим результатом предлагаемого изобретения является минимальное уменьшение КПД за счет введения поглотителя, вносимое затухание которого является частотно-зависимым и оказывается достаточным для обеспечения устойчивости к самовозбуждению, в том числе на частоте отсечки волноводных выводов энергии ЛБВ. Технический результат предлагаемого изобретения был обследован на основе расчетов, направленных на получение максимального КПД лампы бегущей волны коротковолнового диапазона с коэффициентом усиления 12…23 дБ. На фиг. 1 схематически изображено ПВ полупрозрачной ЛБВ, где 1 - металлический экран, 2 - поглотитель, 3 - диэлектрический опорный стержень, 4 - спиральная замедляющая система. Длина ПВ, равная 5 см, задана исходя из условия, чтобы максимальный коэффициент усиления ЛБВ в режиме насыщения выходной мощности в рабочем диапазоне частот не превышал 23 дБ. Длина поглотителя составила 3,55 см. Расстояние от поглотителя до спирали выбрано таким, чтобы вносимое им затухание превышало усиление в линейном режиме на частоте отсечки волновода. На фиг. 2 изображено частичное поперечное сечение ВЧ-пакета с круглым, а на фиг. 3-е прямоугольным стержнем. Расстояние А от спирали до края поглотителя на периметре стержня связано с размерами радиуса экрана с, высотой поглотителя hп по центру стержня, высотой или диаметром стержня h, внешним радиусом спирали для круглого стержня - для прямоугольного стержня - По программе HFSS [12] были рассчитаны зависимости удельного затухания, вносимого поглотителем, от относительного расстояния его до спирали (1-hп)/h для разных частот рабочего диапазона, а также для частоты отсечки волноводов ввода и вывода энергии, составляющей 20,87 ГГц. Результаты этих расчетов приведены на фиг. 4, где кривые 5, 6, 7, 8, 9 - затухание на частоте отсечки и рабочих частотах 26, 30, 35 и 40 ГГц. На частоте отсечки были рассчитаны зависимости от (1-hп)/h затухания, вносимого поглотителем, и коэффициента усиления прибора. Они представлены кривыми 10, 11 на фиг. 5. Видно, что затухание превышает усиление (что обеспечивает устойчивость ЛБВ к самовозбуждению) при значениях (h-hп)/h≤0,52. По программе [13] были рассчитаны КПД и коэффициент усиления 100-ваттной спиральной ЛБВ. При расчетах предполагалось, что напряжение ЗС равно 10 кВ, ток пучка 0,12 А, коэффициент заполнения пучком пролетного канала b/ Исследуемый ВЧ-пакет ЛБВ имел следующие параметры: внутренний диаметр спирали - 0,65 мм, внешний - 0,85 мм, поперечное сечение проволоки для навивки спирали - 0,1×0,2 мм; внутренний диаметр экрана - 2,4 мм. Спираль закреплена в оболочке посредством трех опорных прямоугольных диэлектрических стержней, из окиси бериллия с относительной диэлектрической проницаемостью ε=6,5 толщиной 0,4 мм, высотой - 0,775 мм. Предполагалось, что спиральная замедляющая система изготовлена из молибдена марки МЧ с удельной проводимостью σмч=105 (Ом⋅см)-1, экран - из меди Cu с σCu=3,8×105 (Ом⋅см)-1. Были найдены зависимости КПД и коэффициента усиления ЛБВ от расстояния между поглотителем и спиралью h-hп, отнесенного к высоте стержня h. Эти зависимости, рассчитанные для ЛБВ с прямоугольными опорными стержнями на частотах 26, 30, 35 и 40 ГГц, приведены на фиг. 6 кривыми 12, 13, 14, 15 и на фиг. 7 кривыми 16, 17, 18, 19 соответственно. Минимальное значение величины (h-hп)/h определено в расчетах, исходя из условия, что снижение КПД на рабочих частотах при приближении поглотителя к спирали происходит не более чем в 1,05 раза. Видно, что при расстояниях от поглотителя до спирали в интервале 0,44≤(h-hп)/h≤0,52 затухание поглотителя превышает усиление на частоте отсечки на 5 дБ и более, а КПД меняется по диапазону частот менее чем в 1,05 раза. Максимальный коэффициент усиления прибора равен 23 дБ. Таким образом, для данной рассматриваемой конструкции ЛБВ расстояние от спирали до поглотителя по центру стержня (h-hп)/h в интервале значений 0,44…0,52 обеспечивает работу коротковолновой ЛБВ в диапазоне частот 0,7 октавы с КПД 6,5…8,5% при коэффициенте усиления 18…23 дБ. Расстояние Δ от спирали до края поглотителя на периметре стержня связано с высотой поглотителя hп, высотой или диаметром стержня h, радиусом экрана с, внешним радиусом спирали для круглого стержня - для прямоугольного стержня - Был рассчитан вариант исполнения данной ЛБВ в случае нанесения поглотителя по всему периметру опорного стержня на длине 3,55 см при полной длине его 5 см. При этом КПД снизился 0,2-1% (на разных частотах). Снизился также Ку на 1-5 дБ. Кроме того, был рассмотрен вариант для данной ЛБВ в случае, когда поглотитель начинался с отступом от начала ПВ. Полученные расчетные параметры также свидетельствуют о том, что при выполнении поглотителя предлагаемым способом можно получить преимущество. Оценочные расчеты, проведенные для ЛБВ других диапазонов частот, показали, что оптимальный зазор между резистивной пленкой поглотителя и спиралью может находиться в пределах 0,3-0,7 от высоты опорного диэлектрического стержня. Таким образом, технический результат предлагаемого изобретения был подтвержден результатами проведенных расчетов. 1. Лампа бегущей волны с вводом и выводом энергии, содержащими передающие линии волноводного типа, с пространством взаимодействия в виде замедляющей системы, содержащей спираль, опорные диэлектрические стержни и металлический экран, с локальным поглотителем, выполненным на основе резистивной пленки, размещенной на опорных диэлектрических стержнях, отличающаяся тем, что резистивная пленка отсутствует на поверхности диэлектрических стержней, касающейся спирали, и на части поверхности боковых сторон и присутствует на оставшейся части боковых сторон диэлектрических стержней, находясь на расстоянии от спирали, составляющем от 0,3 до 0,6 высоты опорного диэлектрического стержня. 2. Лампа бегущей волны по п. 1, отличающаяся тем, что начало локального поглотителя совпадает с началом пространством взаимодействия. Источники информации 1. Caldwell J.J. and Hochs О.L. Large Signal Behavior of High Power Traveling-Wave Amplifiers // IRE Trans. 1956. V. ED-3, №1. p. 6-17. 2. Галактионов С.В., Елин О.П. Усилитель мощности на ЛБВ // Радиотехника и электроника. 1974. Т. 19, №2. С. 338-341. 3. Wachtenheim Artur I. "See-Thru" TWT Improves Transmitter Efficiency // Microwave J. 1978. V. 21, №. 11. P. 116-119. 4. Калинин Ю.А., Кац A.M. Прозрачные усилители мощности на ЛБВ // Изв. вузов. Радиоэлектроника. 1980. Т. 23, №10. С. 36-42. 5. Калинин Ю.А., Кац A.M., Лесин Б.В. Исследование работы ЛБВ при больших входных сигналах // Электронная техника. Сер. 1. Электроника СВЧ. 1974. №6. С. 52-59. 6. Ильина Е.М., Калинин Ю.А., Кац A.M. и др. Улучшение параметров усилительной цепочки, состоящей из входной ЛБВ с большим усилением и выходной ЛБВ без поглотителя с малым усилением // Электронная техника. Сер. 1. Электроника СВЧ. 1974. №8. С. 33-39. 7. Johnson H.R. Backward-Wave Oscillators // Proc. IRE. 1955. V. 43, №. 6. P. 684-697. 8. Pat. USA №4005329. Manoly A.E. / Slow-Wave Structure Attenuation Arrangement with Reduced Frequency Sensitivity. H01J 25/34. 3аявл. 22.12.1975. Опубл. 25.01.1977. 9. Данилов А.Б., Ильина Е.М. Применение поглотителей с частотно-зависимым затуханием в мощных широкополосных лампах бегущей волны // Радиотехника и электроника. 2015. Т. 60, №8. С. 851-854. 10. Pat. USA №3397339. Beaver William L., and Mullen Thomas R. / Band Edge Oscillation Suppression Techniques for High Frequency Electron Discharge Devices Incorporating Slow Wave Circuits. Заявл. 30.04.65. Опубл. 13.08.68. // Офиц. газета по материалам пат. ведомства США. 1969. №2. 11. Pat. Fra. №2476908. Duret R. et Henry D. / Tube 12. HFSS Ansoft, Version 12.1.2. Copyright: 2010 SAS IP, Inc. All rights reserved. 13. Ильина E.M., Филатов B.A., Конторин Ю.Ф. Усовершенствованные одномерная нелинейная модель и программа расчета выходных характеристик ЛБВ // Материалы XII зимн. шк. - семинара по СВЧ электронике и радиофизике. Саратов: Изд-во ГосУНЦ «Колледж», 2002. С. 40-43.



ondes progressives pour
hautes frequencies et dispositive amplificateur utilisant un tel tube. МПК3 H01J 23/30, 25/34. // БИ. 1982. №1. Вып. 121. С. 15.