патент
№ RU 2445592
МПК G01M1/10

СПОСОБ ПРОВЕРКИ КАЧЕСТВА ФУНКЦИОНИРОВАНИЯ СТЕНДА ДЛЯ ОПРЕДЕЛЕНИЯ МАССО-ЦЕНТРОВОЧНЫХ И МАССО-ИНЕРЦИОННЫХ ХАРАКТЕРИСТИК ТВЕРДОГО ТЕЛА ВРАЩЕНИЯ

Авторы:
Ключников Александр Васильевич
Номер заявки
2010126861/28
Дата подачи заявки
30.06.2010
Опубликовано
20.03.2012
Страна
RU
Как управлять
интеллектуальной собственностью
Чертежи 
1
Реферат

Изобретение относится к измерительной технике и предназначено для использования при контроле качества функционирования стенда, используемого для определения массо-центровочных и массо-инерционных характеристик изделий машиностроения роторного типа, в том числе сложных «длинных» осесимметричных роторов, имеющих в своем составе рамы, отсеки, аппаратуру. Способ осуществляют с использованием образцовой меры моментов инерции, выполненной в виде цилиндра или усеченного конуса и представляющей собой габаритно-массовый макет изделия, и набора контрольных грузов известной массы. В процессе контроля замеряют номинальные и смоделированные (заданные) контрольными грузами массо-центровочные и массо-инерционные характеристики образцовой меры моментов инерции, при этом для моделирования указанных характеристик контрольные грузы прикрепляют к торцам или вблизи торцов образцовой меры моментов инерции в известных угловых положениях. Решение о качестве функционирования стенда принимают по результатам сравнения измеренных значений с соответствующими номинальными и смоделированными значениями контролируемых массо-центровочных и массо-инерционных характеристик. Технический результат заключается в повышении информативности и надежности проверки качества функционирования стенда в заданных диапазонах измерений параметров. 2 з.п. ф-лы, 2 ил.

Формула изобретения

1. Способ проверки качества функционирования стенда для определения массо-центровочных и массо-инерционных характеристик твердого тела вращения (изделия), основанный на использовании образцовой меры моментов инерции, номинальные габаритные, геометрические и массо-центровочные характеристики которой соответствуют характеристикам и поверхностям изделия, заключающийся в измерении периодов крутильных колебаний механической системы, включающей платформу стенда с устанавливаемой на ней в заданных пространственно-угловых положениях образцовой мерой моментов инерции и определении расчетным путем при проведении итоговой обработки результатов измерений ее массо-центровочных и массо-инерционных характеристик, после чего полученные значения измеренных характеристик сравнивают с соответствующими номинальными массо-центровочными и массо-инерционными характеристиками образцовой меры моментов инерции, рассчитывают погрешности измерений, по которым судят о качестве функционирования стенда, отличающийся тем, что измерения периодов крутильных колебаний механической системы выполняют для нескольких, не менее трех, точек, равномерно расположенных в каждом контролируемом диапазоне измерений массо-центровочных и массо-инерционных характеристик и характеризующих отклонения центра масс и продольной главной центральной оси инерции от соответствующих номинальных значений этих параметров образцовой меры моментов инерции, причем данные отклонения моделируют путем прикрепления контрольных грузов известной массы к образцовой мере моментов инерции на известных расстояниях от ее центра масс и от оси симметрии вблизи торцов, а после итоговой обработки результатов измерений периодов крутильных колебаний, полученных для каждой контролируемой точки, определяют массо-центровочные и массо-инерционные характеристики, полученные значения сравнивают с соответствующими номинальными и смоделированными массо-центровочными и массо-инерционными характеристиками, после чего в каждой контролируемой точке соответствующего диапазона измерений рассчитывают погрешности измерений, на основании которых принимают решение о качестве функционирования стенда.

2. Способ по п.1, отличающийся тем, что контрольные грузы прикрепляют к образцовой мере моментов инерции соответственно в различных угловых положениях относительно ее системы координат.

3. Способ по п.2, отличающийся тем, что образцовую меру моментов инерции изготавливают с равномерным расположением по окружности на ее торцах приспособлений, например, резьбовых отверстий, предназначенных для прикрепления контрольных грузов, выполненных, например, в виде резьбовых втулок.

Описание

[1]

Изобретение относится к измерительной технике и может быть использовано для контроля (проверки) качества функционирования стендов, предназначенных для определения моментов инерции или для комплексного определения массо-центровочных и массо-инерционных характеристик, включающего в себя определение как моментов инерции, так и положения центра масс твердых тел вращения - изделий машиностроения роторного типа, принцип действия которых основан на методе крутильного маятника и реализованных по схеме опрокинутого унифилярного подвеса.

[2]

Современная технология создания сложных «длинных» осесимметричных роторов - изделий машиностроения роторного типа, включающих в свой состав рамы, отсеки, аппаратуру, - требует экспериментального определения с заданной точностью их массо-центровочных и массо-инерционных характеристик, а именно - главных центральных моментов инерции, массы тела и координат центра масс, а также параметров массо-инерционной асимметрии, к которым относятся величина поперечного смещения и угол отклонения продольной главной оси инерции относительно оси симметрии тела, - после изготовления и сборки изделий. Как правило, массу изделия измеряют обычным взвешиванием на стандартных весах требуемой точности, а определение моментов инерции тела с последующим вычислением остальных массо-центровочных и массо-инерционных характеристик выполняют способом крутильных колебаний относительно неподвижной оси [Левит М.Е., Рыженков В.М. Балансировка деталей и узлов. - М.: Машиностроение, 1986, стр.68]. При этом точность аналитического определения параметров массо-инерционной асимметрии напрямую зависит от точности определения массо-центровочных и массо-инерционных характеристик изделия. При проведении контроля используется специализированное контрольно-измерительное оборудование и технологическая оснастка, учитывающие особенности конструкции контролируемого изделия. Критерием оценки правильности функционирования этого оборудования, как правило, является соответствие его характеристик точности в заданных диапазонах измерений параметров заданным нормированным метрологическим характеристикам. Поэтому разработка простых, надежных и информативных способов и средств контроля качества функционирования оборудования, применяемого для определения массо-центровочных и массо-инерционных характеристик изделий на различных этапах их разработки, производства и испытаний, через контроль их метрологических характеристик была и остается актуальной технической задачей.

[3]

Известен, например, способ определения массо-центровочных и массо-инерционных характеристик, основанный на методе крутильных колебаний. Стенд, реализующий этот способ, для повышения удобства эксплуатации выполнен по схеме платформы с опрокинутым унифилярным подвесом [а.с. СССР №1046633, кл. G01M 1/10, 1983. Способ определения центрального момента инерции и координат центра масс в заданной плоскости и массы тела]. Платформа располагается горизонтально и опирается на аэростатический подшипник, исключающий сухое трение между сопрягаемыми поверхностями, при этом ось вращения центрируется также радиальным аэростатическим подшипником. На платформе располагается технологическая оснастка, предназначенная для установки контролируемого изделия и перевода его в различные пространственные положения. Для создания крутильных колебаний платформы к оси платформы прикреплен упругий элемент - торсион, нижняя часть которого через кронштейн соединена с компенсационной мембраной, установленной в основании корпуса стенда и разгружающей торсион от осевых нагрузок. Стенд снабжен узлом закрутки, позволяющим осуществлять поворот платформы на определенный угол, и механизмом фиксации, после освобождения которого платформа начинает совершать свободные колебания.

[4]

Определение искомых массо-центровочных и массо-инерционных характеристик производится аналитическим путем по результатам измерений периодов крутильных колебаний вокруг вертикальной оси контролируемого изделия, устанавливаемого на платформу (с использованием специальной технологической оснастки) в заданные пространственно-угловые положения. Затем по измеренным массо-центровочным и массо-инерционным характеристикам рассчитываются параметры массо-инерционной асимметрии контролируемого изделия.

[5]

Известный способ позволяет определять массо-центровочные и массо-инерционные характеристики изделия, но не дает возможности проверки качества функционирования самого стенда.

[6]

Регулярный контроль метрологических характеристик стенда, а также проверка качества его функционирования во всем диапазоне измерений являются актуальной технической задачей при проведении контрольно-испытательных операций по определению массо-центровочных и массо-инерционных характеристик изделий, выполняемых с использованием известного стенда. Сама же задача разработки комплексного способа проверки (контроля) качества функционирования стендов, применяемых для определения массо-центровочных и массо-инерционных характеристик изделий (твердых тел вращения), например унифилярных стендов, не нашла отражения в вышеуказанных источниках, что делает ее решение актуальным для конструкторов-разработчиков, исследователей и испытателей таких стендов для оценки их качества функционирования и технического состояния.

[7]

Известен способ проверки качества функционирования стенда типа СИМИ [Матвеев Е.В., Крылов В.В., Кочкин Е.В. Оборудование для определения характеристик геометрии масс и массы космических летательных аппаратов // Научно-технические достижения: Межотраслевой научно-технический сборник. - 1992. - №5. - С.42-43, рис.2]. В основе работы стенда заложен метод унифилярного подвеса. Стенд состоит из платформы с измерительным столом, технологической оснасткой (кантователь с поворотными устройствами), предназначенной для установки габаритно-массового макета изделия - образцовой меры моментов инерции - в различные пространственно-угловые положения. Платформа измерительного стола взвешена на опорном аэростатическом подшипнике, а ось вращения центрируется радиальным аэростатическим подшипником. Для создания крутильных колебаний платформы ее механическая связь со станиной осуществляется через упругий элемент - торсион - и компенсационную мембрану. Платформа оборудована узлом закрутки и механизмом фиксации для осуществления ее поворота на определенный угол и фиксации в этом положении. Освобождение механизма фиксации обеспечивает свободные колебания платформы.

[8]

Для реализации данного способа используются образцовые меры моментов инерции, каждая из которых представляет собой габаритно-массовый макет изделия, принадлежащего к определенному классу изделий. Каждая образцовая мера моментов инерции реализована в виде динамически сбалансированного осесимметричного твердого тела вращения (цилиндра, усеченного конуса), номинальные массо-центровочные и массо-инерционные характеристики которого определены с высокой точностью. При этом параметры массо-инерционной асимметрии меры моментов инерции, номинальные значения которых, как правило, близки к нулю, также известны с высокой точностью.

[9]

Данный способ является наиболее близким к предлагаемому и выбран в качестве прототипа. Он основан на использовании образцовой меры моментов инерции, номинальные габаритные, геометрические и массо-центровочные характеристики которой соответствуют характеристикам и поверхностям изделия, и заключается в измерении периодов крутильных колебаний механической системы, включающей платформу стенда с устанавливаемой на ней в заданных пространственно-угловых положениях образцовой мерой моментов инерции, и определении расчетным путем при проведении итоговой обработки результатов измерений ее массо-центровочных и массо-инерционных характеристик, после чего полученные значения измеренных характеристик сравнивают с соответствующими номинальными массо-центровочными и массо-инерционными характеристиками образцовой меры моментов инерции, рассчитывают погрешности измерений, по которым судят о качестве функционирования стенда.

[10]

В известном способе каждая образцовая мера моментов инерции обладает единственным набором эталонных массо-центровочных и массо-инерционных характеристик, а изготовление и последующая метрологическая аттестация каждой образцовой меры моментов инерции требуемой формы и с требуемыми габаритными, массо-центровочными и массо-инерционными характеристиками являются технически сложной и дорогостоящей задачей. Это не позволяет моделировать различные значения контролируемых параметров изделия и, соответственно, ограничивает возможности оценки качества функционирования стенда в требуемых диапазонах измерений параметров.

[11]

Недостатками известного способа проверки качества функционирования стенда для определения массо-центровочных и массо-инерционных характеристик изделия являются:

[12]

- проверка осуществляется по результатам контроля единственного набора эталонных массо-центровочных и массо-инерционных характеристик, присущих образцовой мере моментов инерции, используемой при проведении испытаний;

[13]

- отсутствует возможность исследования контролируемых метрологических характеристик стенда в требуемых диапазонах измерений;

[14]

- отсутствуют объективные критерии для оценки точности определения массо-центровочных и массо-инерционных характеристик изделия в заданных диапазонах измерений.

[15]

Техническим результатом предлагаемого изобретения является повышение информативности и надежности контроля качества функционирования стенда для определения массо-центровочных и массо-инерционных характеристик изделий (твердых тел вращения).

[16]

Указанный технический результат достигается тем, что в способе проверки качества функционирования стенда для определения массо-центровочных и массо-инерционных характеристик твердого тела вращения (изделия), основанном на использовании образцовой меры моментов инерции, номинальные габаритные, геометрические и массо-центровочные характеристики которой соответствуют указанным характеристикам и поверхностям изделия, проверку осуществляют, проводя измерения периодов крутильных колебаний механической системы, включающей платформу стенда с устанавливаемой на ней в заданных пространственно-угловых положениях образцовой мерой моментов инерции, и определяя расчетным путем при проведении итоговой обработки результатов измерений ее массо-центровочные и массо-инерционные характеристики, после чего полученные значения измеренных характеристик сравнивают с соответствующими номинальными массо-центровочными и массо-инерционными характеристиками образцовой меры моментов инерции, рассчитывают погрешности измерений, по которым судят о качестве функционирования стенда, согласно изобретению измерения периодов крутильных колебаний механической системы выполняют для нескольких, не менее трех, точек, равномерно расположенных в каждом контролируемом диапазоне измерений массо-центровочных и массо-инерционных характеристик и характеризующих отклонения центра масс и продольной главной центральной оси инерции от соответствующих номинальных значений этих параметров образцовой меры моментов инерции, причем данные отклонения моделируют путем прикрепления контрольных грузов известной массы к образцовой мере моментов инерции на известных расстояниях от ее центра масс и от оси симметрии вблизи торцов, а после итоговой обработки результатов измерений периодов крутильных колебаний, полученных для каждой контролируемой точки, определяют массо-центровочные и массо-инерционные характеристики, полученные значения сравнивают с соответствующими номинальными и смоделированными массо-центровочными и массо-инерционными характеристиками, после чего в каждой контролируемой точке соответствующего диапазона измерений рассчитывают погрешности измерений, на основании которых принимают решение о качестве функционирования стенда.

[17]

Для моделирования значений массо-центровочных характеристик с различными угловыми положениями для расширения диапазона их измерений контрольные грузы прикрепляют к образцовой мере моментов инерции соответственно в различных угловых положениях относительно ее системы координат.

[18]

Для удобства крепления грузов к образцовой мере моментов инерции, а также для более точного моделирования значений массо-центровочных характеристик при проверке качества функционирования стенда, образцовую меру моментов инерции изготавливают с равномерным расположением по окружности на ее торцах приспособлений, например резьбовых отверстий, предназначенных для прикрепления контрольных грузов, выполненных, например, в виде резьбовых втулок.

[19]

Технический результат заключается в следующем. За счет определения массо-центровочных и массо-инерционных характеристик в нескольких (не менее чем в трех) контрольных точках появилась возможность объективно оценивать качество функционирования стенда во всем диапазоне измерений соответствующего контролируемого параметра и, следовательно, повышается информативность и надежность контроля качества функционирования стенда. Число три является на практике минимально допустимым для обеспечения уверенности в объективности оценки качества функционирования стенда для определения массо-центровочных характеристик изделия в требуемых диапазонах измерений контролируемых параметров. Требования по заданию масс и мест установки контрольных грузов вырабатываются испытателем при проведении математического моделирования значений контролируемых массо-центровочных характеристик образцовой меры моментов инерции.

[20]

На фиг.1 показана образцовая мера моментов инерции.

[21]

На фиг.2 показан центр масс, смещенный относительно начала координат образцовой меры моментов инерции.

[22]

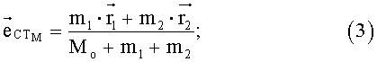
Проверку качества функционирования стенда для определения массо-центровочных и массо-инерционных характеристик изделий (твердых тел вращения), выполненного по схеме платформы с опрокинутым унифилярным подвесом, опирающейся на аэростатический подшипник, на которой размещена технологическая оснастка для установки массогабаритного макета изделия - образцовой меры моментов инерции, и реализующего метод крутильных колебаний, проводят с использованием набора контрольных грузов известной массы и образцовой меры моментов инерции. При этом образцовая мера моментов инерции представляет собой осесимметричный ротор (фиг.1), выполненный в виде цилиндра (усеченного конуса), на наружной поверхности которого выполнены две базовые поверхности 1 для взаимодействия с опорами технологической оснастки. При этом номинальные габаритные, геометрические, массо-центровочные и массо-инерционные характеристики образцовой меры моментов инерции, в том числе параметры ее массо-инерционной асимметрии, известные с высокой точностью, а также базовые посадочные поверхности соответствуют характеристикам и базовым поверхностям изделия. Вблизи каждого из торцов или непосредственно на торцах 2 и 3 образцовой меры моментов инерции, расположенных соответственно на расстояниях х1 и х2 от центра масс 4 и на расстояниях соответственно r1 и r2 от оси симметрии меры моментов инерции, имеются не менее одного приспособления, например резьбового отверстия (1-12), с известными угловыми положениями в системе координат образцовой меры моментов инерции, предназначенных для установки контрольных грузов, например, выполненных в виде резьбовых втулок. Расположение приспособлений для укрепления контрольных грузов непосредственно на торцах 2, 3 образцовой меры моментов инерции облегчает доступ к мере моментов инерции и обеспечивает возможность использования контрольных грузов различной формы без изменения конструкции технологической оснастки стенда, предназначенной для установки и фиксации используемой меры моментов инерции. Прикрепление контрольных грузов в различных угловых положениях к торцам 2, 3 образцовой меры моментов инерции обеспечивает возможность моделирования не только значений, но и направлений вектора поперечного смещения центра масс 5 (фиг.2), а также угла-вектора отклонения продольной главной центральной оси инерции 6 от оси симметрии образцовой меры моментов инерции Х в системе координат, связанной с этой мерой моментов инерции. Для этого приспособления для укрепления контрольных грузов с известными угловыми положениями в системе координат образцовой меры моментов инерции располагают равномерно по окружностям известных радиусов r1 и r2 вблизи торцов или на торцах 2 и 3 на расстояниях х1нач и х2нач от центра масс образцовой меры моментов инерции. Массы контрольных грузов m1 и m2, прикрепляемых соответственно вблизи торцов или к торцам 2 и 3 образцовой меры моментов инерции для моделирования (задания) требуемых значений контролируемых массо-центровочных характеристик, рассчитывают в соответствии с законами статики по формулам

[23]

[24]

[25]

[26]

[27]

[28]

[29]

где m1 и m2 - массы контрольных грузов, установленных соответственно вблизи торцов 2 и(или) 3 образцовой меры моментов инерции;

[30]

MO - масса образцовой меры моментов инерции;

[31]

- расстояние от оси симметрии образцовой меры моментов инерции до центра масс контрольного груза m1, установленного вблизи торца 2 в плоскости, перпендикулярной оси симметрии, с учетом его углового положения в системе координат образцовой меры моментов инерции;

[32]

- расстояние от оси симметрии образцовой меры моментов инерции до центра масс контрольного груза m2, установленного вблизи торца 3 в плоскости, перпендикулярной оси симметрии, с учетом его углового положения в системе координат образцовой меры моментов инерции;

[33]

x1M и х - расстояния от центра масс образцовой меры моментов инерции до плоскостей установки контрольных грузов m1 и m2 после прикрепления к ней одного их этих грузов или одновременно обоих контрольных грузов при моделировании продольного смещения центра масс;

[34]

х1нач и х2нач - начальные (т.е. априорно известные до установки контрольных грузов) расстояния от центра масс до соответствующих плоскостей установки контрольных грузов m1 и m2;

[35]

L - расстояние между плоскостями установки контрольных грузов m1 и m2;

[36]

IaO и IэO - значения соответственно аксиального и экваториального моментов инерции образцовой меры моментов инерции;

[37]

уМ - координата по оси Y центра масс 5 образцовой меры моментов, смещенного в результате прикрепления к ней контрольного груза (грузов) при моделировании массо-центровочных характеристик;

[38]

zМ - координата по оси Z центра масс 5 образцовой меры моментов, смещенного в результате прикрепления к ней контрольного груза (грузов) при моделировании массо-центровочных характеристик;

[39]

φМ - угол между осью OY и вектором поперечного смещения центра масс образцовой меры моментов инерции смоделированного прикреплением к ней контрольных грузов (груза).

[40]

Для оценки качества функционирования стенда выполняют ряд идентичных циклов измерений периодов крутильных колебаний механической системы. При этом в ходе одного из этих циклов измерений (в начальной точке диапазона измерений) в состав механической системы входят платформа с технологической оснасткой, а также закрепляемая в оснастке и устанавливаемая с помощью этой оснастки в заданные пространственно-угловые положения образцовая мера моментов инерции без контрольного груза. А в остальных циклах измерений (не менее чем в двух точках диапазона измерений) к образцовой мере моментов инерции, устанавливаемой в тех же пространственно-угловых положениях, вблизи ее торцов 2 и 3 или непосредственно на торцах дополнительно прикрепляются контрольные грузы известной массы, обуславливающие задание (моделирование) различных значений массо-центровочных и массо-инерционных характеристик в контролируемых диапазонах измерений, отличающихся от номинальных значений этих характеристик, принадлежащих образцовой мере моментов инерции. При этом масса контрольных грузов задается таким образом, чтобы значения массо-центровочных и массо-инерционных характеристик, моделируемых в результате прикрепления этих грузов к образцовой мере моментов инерции, были равномерно распределены по каждому диапазону измерений контролируемых характеристик. Для получения вполне достоверной информации о качестве функционирования стенда в целом достаточно провести не более пяти измерений в каждой контролируемой точке, по каждому контролируемому диапазону измерений. При последующей обработке результатов измерений для каждого i-го цикла измерений определяют моменты инерции соответствующего i-го объекта контроля - собственно образцовой меры моментов инерции или той же меры моментов инерции, но с прикрепленным к ней контрольным грузом (грузами) - относительно шести осей, пространственно распределенных, но пересекающихся в центре масс этого объекта контроля.

[41]

Затем в ходе итоговой обработки результатов по специальной методике рассчитывают значения массо-центровочных и массо-инерционных характеристик каждого i-го объекта контроля и рассчитывают абсолютную погрешность измерений (ΔЗ) как модуль разности между смоделированным (Зм) и измеренным (Зи) значениями по формуле

[42]

[43]

Сравнивая полученные результаты расчетов погрешностей с нормированными метрологическими характеристиками стенда, судят о качестве функционирования стенда. При этом стенд признается годным к эксплуатации, если во всех проверяемых точках отклонения между смоделированным и измеренным значениями, рассчитанные по формуле (7), не выходят из допускаемых границ, то есть не превышают значений нормированных метрологических характеристик стенда. В противном случае стенд признается несоответствующим заданным требованиям и подлежит ремонту.

[44]

Предлагаемый способ проверки с использованием калиброванных контрольных грузов и образцовой меры моментов инерции, с одной стороны, прост в реализации и обладает малой трудоемкостью, поскольку не требуется изготавливать и применять набор различных образцовых мер, обладающих различными значениями массо-центровочных и массо-инерционных характеристик. С другой стороны, этот способ обладает по сравнению с известным способом большей информативностью и надежностью в контроле качества функционирования, так как он позволяет с использованием единственной образцовой меры моментов инерции проводить оценку работы стенда в требуемых диапазонах измерений параметров, а также при этом позволяет моделировать множество различных комбинаций при задании значений массо-центровочных и массо-инерционных характеристик.

[45]

Таким образом, предлагаемый способ проверки качества функционирования стенда для определения массо-центровочных и массо-инерционных характеристик изделий - твердых тел вращения, в том числе сложных «длинных» роторов произвольной формы, и устройство для его осуществления с достаточной для практики степенью точности, информативности, надежности и трудоемкости с помощью простых и надежных технических средств позволяют проводить оценку качества функционирования стенда как в процессе его метрологической аттестации, так и непосредственно перед проведением испытаний контролируемых изделий, и особенно, что очень важно, например, на этапе серийного производства продукции.

Как компенсировать расходы
на инновационную разработку
Похожие патенты