Изобретение относится к кормовой промышленности, а именно к производству кормовой добавки для сельскохозяйственных и непродуктивных животных. Способ переработки отходов крабового производства с получением кормовой добавки включает измельчение, обработку и упаковку готовой продукции. Обработке подвергают измельченное сырье с размером частиц не более 1-10 мм, которое смешивают с пресной водой в равном соотношении и нагревают до температуры 30-70°C. Затем вносят протеиназу в количестве 0,01-1,5% к массе смеси и проводят ферментолиз в течение 15-60 мин. Полученные ферментированные отходы нагревают до температуры 97-98°C и выдерживают в течение 15-20 мин. Весь процесс ведут при постоянном перемешивании. По окончании полуфабрикат охлаждают до 80±2°C и гомогенизируют при 1500-30000 об/мин в течение 20-120 с. Полученную кормовую добавку фасуют и упаковывают. Осуществление изобретения позволяет сократить продолжительность процесса получения готового продукта, снизить энергозатраты, себестоимость, позволяет рационально использовать отходы при добыче и переработке краба-сырца как на береговых предприятиях, так и в условиях промысла в море на судах. 2 ил., 2 табл., 2 пр.
Способ переработки отходов крабового производства с получением кормовой добавки, включающий измельчение, обработку и упаковку готовой продукции, отличающийся тем, что обработке подвергают измельченное сырье с размером частиц не более 1-10 мм, которое смешивают с пресной водой в равном соотношении, нагревают до температуры 30-70°C, с последующим внесением протеиназы в количестве 0,01-1,5% к массе смеси и проведением ферментолиза, в течение 15-60 мин, затем ферментированные отходы нагревают до температуры 97-98°C и выдерживают в течение 15-20 мин, при этом весь процесс ведут при постоянном перемешивании, по окончании полуфабрикат охлаждают до 80±2°C, гомогенизируют при 1500-30000 об/мин в течение 20-120 с, полученную кормовую добавку фасуют и упаковывают.
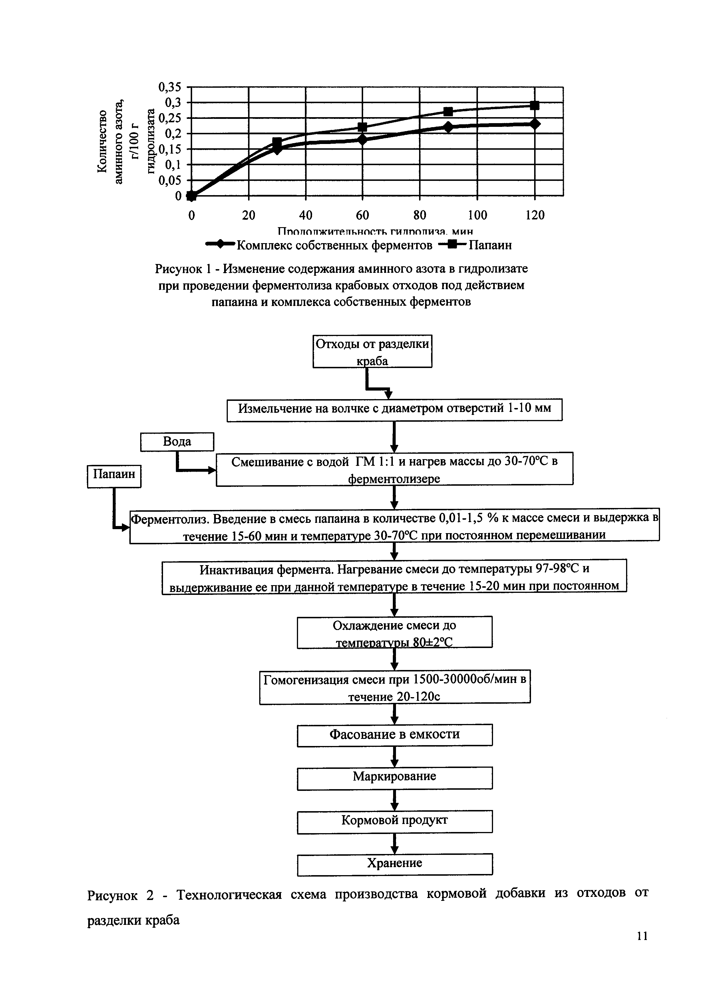
Изобретение относится к кормовой промышленности, а именно к производству кормовой добавки для сельскохозяйственных и непродуктивных животных. Известен способ переработки панцирьсодержащих отходов от разделки мелких ракообразных, в частности криля, включающий измельчение сырья, сушку в виброкипящем слое, "шелушение" для отделения частиц белка от панциря, фракционирование по размеру и массе, обеспечивающий получение хитина и кормовой муки (Барышев Г.И. Разделение отходов при производстве мяса мелкой антарктической креветки на кормовой продукт и концентрат панциря // Механизация и автоматизация добычи и обработки рыбы и нерыбных объектов: Сб. науч. трудов / ВНИРО. - М.: ВНИРО, 1985, с. 48-52). Известен способ безотходной комплексной переработки хитинсодержащего сырья, включающий прессование сырья с отделением белковой фракции, комплекса хитина, протеолитических ферментов и жира с получением белкового продукта и жома, промывку жома водой при соотношении жома и воды 1:2 и температуре не выше 25°C, его депротеинирование, деминерализацию путем обработки соляной кислотой с последующим разделением на хитин и кислотный гидролизат, промывку хитина до нейтральной реакции водой, доочистку хитина от белков путем обработки раствором щелочи с последующим отделением щелочного гидролизата и промывку хитина водой до нейтральной реакции с последующей его сушкой и получением готового продукта, смешивание, объединение кислотных гидролизатов, полученных на стадии деминерализации, и щелочных гидролизатов, полученных на стадиях доочистки хитина, до обеспечения нейтрального значения рН с последующим отделением минерально-белкового осадка, отличающийся тем, что в качестве сырья используют нетермообработанные панцирьсодержащие отходы крабового производства, жидкую фракцию после прессования сырья подвергают автолизу в течение 2-6 ч при температуре не выше 12°C, центрифугируют с получением белковой пасты, жира и раствора протеолитических ферментов, проводят доочистку жира и раствора протеолитических ферментов путем сепарирования и фильтрации через нутчфильтр с получением комплекса протеолитических ферментов и жира-полуфабриката, депротеинирование жома после промывки водой проводят в течение 1-24 ч полученным раствором комплекса протеолитических ферментов, имеющим рН 7,5-8,0 и содержащим 1-10% ферментного препарата к массе сырья с протеолитической активностью препарата к массе сырья с протеолитической активностью 60-200 ПЕ/г, при температуре 4-60°C и соотношении сырье:раствор 1:1-1:1,5 с отделением белкового гидролизата, оставшийся жом обрабатывают растительным маслом с получением масляного экстракта каротиноидных пигментов, а полученный жом деминерализуют 1-5%-ной соляной кислотой при комнатной температуре при соотношении 1:12-1:16 в течение 0,5-20 ч с последующей промывкой его водой, проводят доочистку от белков с получением конечного продукта хитина (см. патент РФ 2123269 A23L 1/33, A23J 1/04, С08В 37/08, 1997 г.). Данный способ требует использования сложного, громоздкого оборудования, способ продолжителен по времени, а конечный продукт имеет высокую себестоимость. Кроме этого использование химических реактивов делает затруднительным применение данного метода в условиях промысла (на судах). Известны способы безотходной переработки отходов промысла ракообразных, предусматривающие ферментативный гидролиз белков, деминерализацию, повторное извлечение белка и солей 20-60% раствором щелочи при гидромодуле (20-60):1, t 95-120°C при периодическом перемешивании, причем начало процесса проводят в течение 5 мин при давлении 0,5-1,0 кг/см2 (см. пат. РФ 2207033 A23L 1/33, 2003 г.). Главным недостатком данного способа является использование оборудования, работающего под избыточным давлением, которое позволяет создать температуру выше 98°C. Использование такого оборудования требует наличия на производстве специально обученного персонала. Применение концентрированного раствора гидроксида натрия (20-60%) требует не только дополнительных затрат на очистку сточных вод, но и практически не реализуемо на судах. Известен способ переработки отходов крабового производства с получением готового продукта с содержанием влаги не более 12%, включающий размораживание сырья, промывку морской водой, сушку в две стадии, измельчение сушенки, сепарирование и упаковку готовой продукции, причем после размораживания сырье промывают морской водой, сушку проводят непрерывным способом, при этом предварительную сушку проводят до содержания влаги в сырье 50-55% при скорости подачи сырья 0,45-0,55 т/ч, при поддержании температуры внутри сырья на выходе 35-40°C и принудительном отводе влаги воздухом с температурой 10-20°C со скоростью его продвижения через устройство предварительной сушки, равной 1850-2750 м3/ч; вторую стадию сушки проводят до изменения температуры сырья от 30-40°C в начале сушки до температуры 60-80°C в конце сушки и скорости противоточного воздуха с температурой 100-130°C, равной 2250-2500 м3/ч (см. патент РФ 2135035, A23L 1/33, 1998 г.). Недостатком известного способа является очень большая трудоемкость и энергозатратность технологического процесса. Также в результате переработки отходов на стадии размораживания сырья и промывки морской водой образуется большое количество сточных вод, сброс которых, как правило, осуществляется в локальные водные объекты (пресные или морские). Технической задачей заявленного изобретения является создание технологии, исключающей получение отходов, загрязняющих окружающую среду, упрощение и сокращение продолжительности процесса переработки отходов от разделки краба, а также обеспечение снижения энергозатрат и себестоимости при получении кормовой добавки и рационального использования отходов при добыче и переработке краба-сырца, как на береговых предприятиях, так и в условиях промысла, то есть на судах. Техническим результатом при осуществлении способа является получение кормовой добавки, переваримость которой в 5,5 раза больше, по сравнению с исходным сырьем (карапакс краба с абдоменом и внутренностями). Увеличение переваримости кормовой добавки свидетельствует о хорошей усвояемости белковой части кормовой добавки, повышении ее кормовой ценности. При этом добавка отвечает требованиям по показателям безопасности и содержанию биологически важных компонентов, таких как незаменимые аминокислоты, жирные кислоты и минеральные элементы, а также хитин, необходимый для усиления адаптационных возможностей с/х животных и увеличения их продуктивности. Поставленная задача решается в способе переработки отходов крабового производства с получением кормовой добавки, включающем измельчение, обработку и упаковку готовой продукции; при этом обработке подвергают измельченное сырье (сырец, охлажденное, варено-мороженое или замороженное) с размером частиц не более 1-10 мм, которое смешивают с пресной водой в равном соотношении, нагревают до температуры 30-70°C, с последующим внесением протеиназы в количестве 0,01-1,5% к массе смеси и проведением ферментолиза, в течение 15-60 мин, затем ферментированные отходы нагревают до температуры 97-98°C и выдерживают в течение 15-20 мин. При этом весь процесс ведут при постоянном перемешивании, по окончании полуфабрикат охлаждают до 80±2°C, гомогенизируют при 1500-30000 об/мин в течение 20-120 с. Полученную кормовую добавку фасуют и упаковывают. При разработке технологии получения кормовой добавки использовали панцирь, карапакс с абдоменом и внутренностями (сырец, охлажденные или мороженые) образующиеся от разделки краба, а также отходы при получении сыро-мороженых или варено-мороженых конечностей краба - это соединительные перегородки, жабры, хлопья коагулировавшейся крови (гемолимфа), небольшие кусочки мяса. Отходы от разделки крабов в своем составе содержат такие высокоценные компоненты, как белок (12,5%), хитин (2,6%), липиды (0,24%) и минеральные элементы (4,96%) (в расчете на сырой материал). В связи с высоким содержанием белка (12,5%) отходы от разделки крабов перспективно использовать в качестве сырья для получения белковых гидролизатов. Согласно опубликованным данным для белковых гидролизатов, применяемых в кормах в качестве добавки, максимальная степень гидролиза не является необходимой. Показано, что для получения гидролизата с более высокой степенью расщепления белка, но низким выходом растворимых азотистых веществ, целесообразно использовать комплекс собственных ферментов внутренностей краба, а для получения гидролизата со средней степенью гидролиза белка и высоким выходом азотсодержащих веществ необходимо применять ферментные препараты растительного и микробиального происхождения типа протеиназ. В связи с тем, что для кормления сельскохозяйственных животных применяют гидролизаты со средней степенью гидролиза, то целесообразным является применять ферментные препараты типа папаин для получения кормовых гидролизатов из отходов от переработки крабов. Было установлено, что гидролиз белков крабовых отходов под действием комплекса собственных ферментов необходимо проводить в течение 1,5-2 часов, а использование ферментных препаратов типа протеиназ (папаин) позволяет сократить продолжительность процесса ферментолиза в 2-2,6 раза (рисунок 1). Полученная добавка из крабовых отходов (карапакс краба с абдоменом и внутренностями) осуществлялась при следующих параметрах режима ферментолиза: ГМ 1:1; температура 30-70°C, продолжительность 5-60 мин. Анализ химического состава кормой добавки из отходов крабового производства показал наличие в ее составе 1,7% хитина. Доказано, что применение хитина-хитозана в условиях свиноводческого комплекса ведет к увеличению показателей, характеризующих воспроизводительные, откормочные, мясные качества животных, а также позволяет сократить расход кормов на 5,95-15,64% и получить дополнительный прирост живой массы. При анализе состава аминокислот и их содержания в кормовой добавке из отходов крабового производства было установлено, что гидролизат содержит 10 незаменимых аминокислот необходимых для рациона с/х животных (таблица 1). Анализ минерального состава кормовой добавки показал наличие в ней особо важных минеральных элементов для различных производственных групп животных (таблица 2). Для обеспечения требуемых микробиологических показателей качества полученная кормовая добавка подвергается стерилизации, что позволяет отказаться от дорогостоящего процесса сушки применяемой при получении, например, кормовой муки. По заявляемому способу все полученные отходы от разделки краба измельчаются и подвергаются ферментолизу, без разделения сырья на жидкую фракцию и жом, как проводятся в аналогах, что обусловливает возможность переработки их не только на береговых предприятиях, но и на судах ввиду отсутствия потребности в реактивах (кислота, щелочь) при деминерализации жома кислотой и отделения белка растворами щелочи. По внешнему виду кормовая добавка - это суспензия светло-розового цвета, содержащая взвешенные частицы. В связи с этим ее рекомендуется вносить в сухие растительные комбикорма для сельскохозяйственных животных с целью балансирования их по аминокислотному и минеральному составу. Главным достоинством кормовой добавки является: - соответствие суточной потребности по основным питательным веществам для с/х животных; - сокращение расхода кормов и дополнительный прирост живой массы за счет содержания хитина в добавке; - хорошая усвояемость белковой части кормовой добавки, свидетельствующая ее высокой кормовой ценности; - низкая себестоимость по сравнению с кормовой мукой. Способ осуществления представлен на рисунке 2. Пример 1. Отходы крабового производства измельчают на волчке с диаметром отверстий 7 мм. Измельченные отходы помещают в ферментер и добавляют пресную воду при соотношении отходы:вода 1:1 и нагревают смесь до температуры 40±2°C с последующим внесением протеиназы в количестве 0,05% к массе смеси и проведением ферментолиза, в течение 55 мин. Затем ферментированные отходы нагревают до температуры 98°C и выдерживают в течение 15 мин. Весь процесс ведут при постоянном перемешивании. По окончании полуфабрикат охлаждают до 80±2°C, гомогенизируют при 10000 об/мин в течение 100 с, полученную кормовую добавку фасуют и упаковывают. Пример 2. После разделки краба карапакс с абдоменом и внутренностями измельчают на волчке с диаметром отверстий 3 мм. Измельченные отходы помещают в ферментер и добавляют пресную воду при соотношении отходы:вода 1:1 и нагревают смесь до температуры 60±2°C с последующим внесением протеиназы в количестве 1% к массе смеси и проведением ферментолиза, в течение 15 мин. Затем ферментированные отходы нагревают до температуры 97°C и выдерживают в течение 20 мин. Весь процесс ведут при постоянном перемешивании. По окончании полуфабрикат охлаждают до 80±2°C, гомогенизируют при 20000 об/мин в течение 45 с, полученную кормовую добавку фасуют и упаковывают.