Изобретение относится к комплексному соединению золотохлористоводородной кислоты с L-лизином, обладающему рентгеноконтрастными свойствами. Комплексное соединение может быть использовано для диагностики ранних опухолевых образований, в том числе для диагностики болезни Марека у птицы. 2 пр.
Комплексное соединение золотохлористоводородной кислоты с L-лизином, обладающее рентгеноконтрастными свойствами, которое может быть использовано для диагностики ранних опухолевых образований, в том числе для диагностики болезни Марека у птицы.
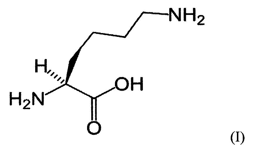
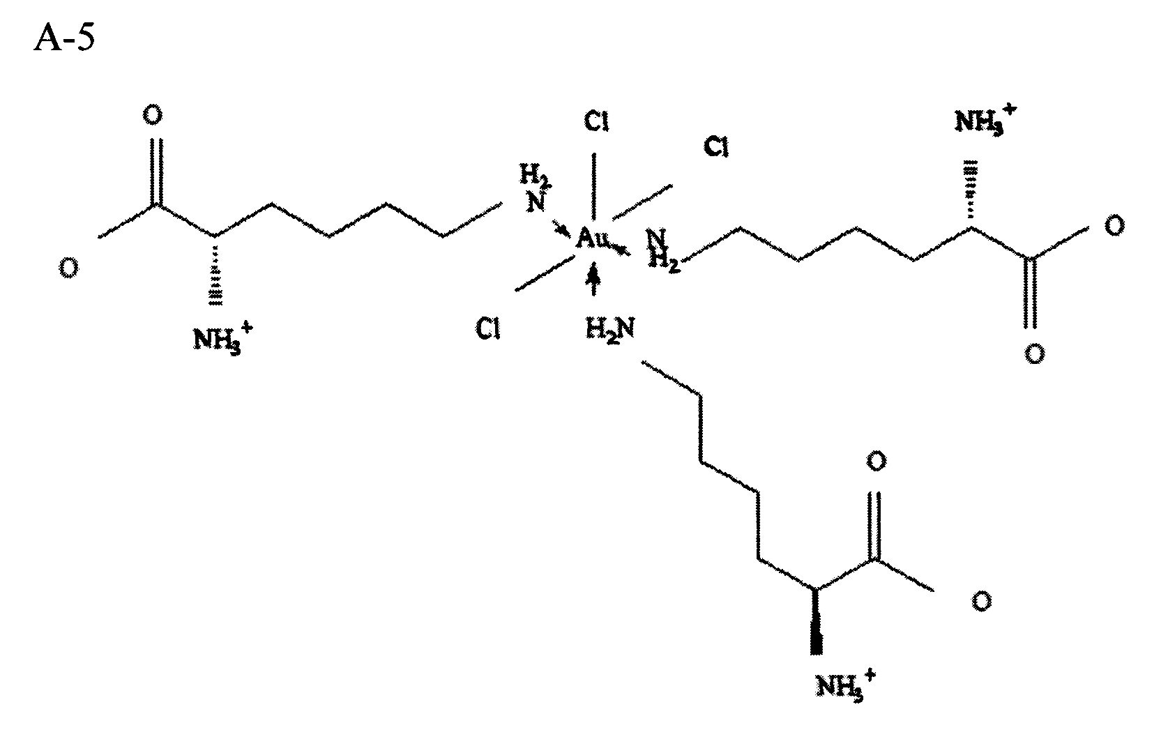
Область техники Изобретение относится к области ветеринарии, конкретно к рентгеноконтрастным комплексным соединениям золотохлористоводородной кислоты (ЗХК) с L-лизином, которые могут быть использованы для диагностики болезни Марека у птицы. Уровень техники Болезнь Марека - хронически протекающая вирусная болезнь птицы отряда куриных, характеризующаяся неопластическими процессами в паренхиматозных органах и воспалением периферической нервной системы. Возбудитель болезни - ДНК-содержащий вирус - Herpesvirus galli-2 из рода Herpesvirus семейства Herpetoviridae В. Впервые болезнь описал венгерский исследователь Марек (1907) под названием полиневрита. В последующие годы ее стали регистрировать в различных странах под другими названиями (нейролимфоматоз, паралич птиц, неврит, инфекционный нейрогрануло-матоз и др.). Кроме параличей и парезов у птиц были обнаружены лимфоидные опухоли во внутренних органах, преимущественно в яичнике, и по этому признаку болезнь стали называть висцеральным лимфоматозом (Паппенгеймер и др., 1926). В 1960 г. было рекомендовано эту болезнь назвать в честь первооткрывателя болезнью Марека. В СССР болезнь Марека установлена в 1930 г. Ее изучали Л.М. Крапивнер, И.И. Касьяненко, В.П. Иванов, Р.Н. Коровин и др. Основной профилактической мерой от болезни является соблюдение ветеринарно-санитарных требований в инкубаторе и птичниках, проведение тщательной дезинфекции и дезинвазии перед завозом нового поголовья. Малопродуктивную и подозреваемую в заболевании птицу выбраковывают и уничтожают. Рекомендуется вести отбор линий кур, устойчивых к болезни Марека. В неблагополучных хозяйствах вводят ограничения. При поражении 5-10% поголовья классической формой болезни Марека целесообразно убивать всю неблагополучную группу птицы. Осуществляют профилактический перерыв в воспроизводстве стада с полной санацией птичников и оборудования. В настоящее время методы лечения болезни отсутствуют, поэтому во избежание больших потерь приоритетным направлением в данной области является разработка методов своевременной и эффективной диагностики болезни Марека у птиц. В ГОСТ 25586-83 «Птица сельскохозяйственная. Методы лабораторной диагностики болезни Марека», 1983, описываются методы диагностики болезни Марека. Согласно ГОСТ 25586-83 диагностика болезни Марека состоит из патологоанатомического метода (определение соответствующих патизменений), гистологического метода и серологического методов. Данная диагностика рассчитана на возникновение классических вспышек в свободном от возбудителя хозяйстве. Известен патент RU 2329060 С2, (дата публикации 20.07.2008), который относится к области получения диагностического антигена вируса болезни Марека для лечения птиц. В документе CN 103235129 А1, (дата публикации 07.08.2013), описана тест-полоска, которая используется для одностадийного быстрого обнаружения и диагностики вируса болезни Марека у птиц. При изготовлении тест-полоски используется коллоидное золото. Также известен ряд препаратов золота, применяемых в медицине для лечения ревматоидного артрита: ауранофин, кризанол, натрия ауротиомалат. Также известен ряд лекарственных препаратов на основе комплексов золота. Первые сведения о применении золота для лечения болезней содержатся в древней китайской медицине и относятся к 2500 г. до н.э. В средние века некоторые соединения золота считались целебными против проказы. Систематические исследования соединений золота в качестве лекарственных препаратов начались с работ Коха, который в 1890 г. обнаружил, что цианиды золота ингибируют рост туберкулезных палочек и других патогенных организмов. В 1917 г. для лечения туберкулеза начали применять комплекс золота с тиоглюкозой, который имеет практическое значение и до настоящего времени, но уже используется для лечения ревматоидного артрита. В 1927 г. обнаружено, что во время лечения туберкулеза соединениями золота у больных, страдающих ревматизмом, уменьшаются боли в суставах. В современной химиотерапии соединения золота употребляются в основном для лечения ревматоидного артрита наряду с другими противовоспалительными препаратами. Документ RU 92006432 А1 (дата публикации 10.09.1996) описывает комплексные соединения благородных металлов с аминокислотами, например золота с цистеином - гидроксотрихлороаурата (III) диаминцистеинозолота (III), проявляющего антимикробную активность. Соединение получено взаимодействием золотохлористоводородной кислоты с моногидратом бисцистеиномонохлорозолота (I) в определенных условиях. Документ UA 102589 С2 (дата публикации 25.07.2013) относится к химическим способам получения наночастиц металлов. Приготовленный коллоидный раствор может быть использован, в частности, в медицине для создания биологически активных веществ. Коллоидный раствор наночастиц золота и аминокислот включает в себя наночастицы золота и аминокислоту в качестве стабилизатора наночастиц в водной среде. В качестве аминокислоты может быть использован лизин. Комплексы золота с лизином не описаны. Документ CN 102793931 А1 (дата публикации 28.11.2012) принятый за прототип, относится к медицине, а именно к препарату, включающему наночастицы золота и полипептид, соединенный с наночастицами золота, где полипептид включает в себя одну или несколько аминокислотных последовательностей. Ни один из источников не описывает использование комплексов золота с L-лизином для диагностики болезни Марека у птицы. Таким образом, целью настоящего изобретения является создание новых рентгеноконтрастных комплексных соединений золотохлористоводородной кислоты (ЗХК) с L-лизином, которые могут быть использованы для диагностики болезни Марека у птицы, а также преодоление недостатков уровня техники. Раскрытие изобретения Для достижения поставленной цели впервые для диагностики болезни Марека предложен препарат, основанный на комплексе аминокислоты L-лизина и золотохлористоводородной кислоты (ЗХК). Полученные комплексы обладают рентгеноконтрастными свойствами и могут быть использованы для диагностики болезни Марека у птицы. Техническим результатом изобретения является получение новых комплексных соединений золотохлористоводородной кислоты (ЗХК) с L-лизином, которые обладают рентгеноконтрастными свойствами и которые являются эффективными при использовании для диагностики болезни Марека у птиц. Результатом также является создание простого и экологически безопасного способа получения препаратов на основе золота с высоким выходом конечного продукта для использования в ветеринарии, расширение арсенала средств для диагностики болезни Марека у птиц. В широком смысле рентгеноконтрастные вещества - это вещества, используемые в рентгенодиагностике. Применяются для улучшения визуализации внутренних органов и анатомических структур при лучевых методах исследования (рентгеновской компьютерной томографии и рентгенографии). Золотохлорстоводородная кислота - H[AuCl4] (тетрахлорауроновая кислота, тетрахлороаурат (III) водорода), имеет вид желто-оранжевых кристаллов, гигроскопична, может находится в виде тригидрата или тетрагидрата, растворима в спиртах, простых и сложных эфирах, кетонах, ацетонитриле, сильный электролит, имеет растворимость 350 г HAuCl4 / 100 г воды (25°С). L-лизин (2,6-диаминогексановая кислота, C6H14N2O2) - алифатическая аминокислота с выраженными свойствами основания, незаменимая аминокислота, входящая в состав практически любых белков. Имеет следующую структурную формулу (I): Диагностика болезни Марека с использованием синтезированного препарата Так как при недуге появляются опухоли, то процесс ее раннего обнаружения является основой технологии диагностики. Рост опухоли привлекает более значительное количество составных частей белковых клеток, в том числе аминокислот. Наиболее значительным из числа привлеченных аминокислот для роста опухоли является лизин. По некоторым данным количество лизина в составе клетки белка оценивается в диапазоне 58-68% массы на фоне других незаменимых аминокислот. При подаче в организм полученного комплекса (ЗХК + L-лизин) происходит «встраивание» препарата в состав клетки белка при происходящем обменном процессе. На фоне естественного обменного процесса рост опухоли, особенно на ранней стадии развития, имеет более высокую потребность в аминокислотах, в том числа лизина. Вместе с этим, молекула препарата маркирована частицей золота и при анализе на томографе, рентгене и других подобных агрегатах заметна благодаря большой разнице в показателях рентгеноконтрастности. Осуществление изобретения Предложен способ создания препарата для диагностики болезни Марека у птицы на основе комплекса золота с L-лизином. Проведена наработка опытных образцов новых соединений и разработана схема выпаивания золотосодержащим комплексом кур, зараженных болезнью Марека. С целью наработки образцов золотохлористоводородной кислоты с L-лизином проведено изучение научной литературы по методам их синтеза. Установлено, что в настоящее время отсутствуют научные публикации по синтезу комплексных соединений золотохлористоводородной кислоты с аминокислотами. В связи с этим, учитывая особенности свойств трехвалентного золота (возможность образования 6-координационных комплексов), нами были разработаны методы синтеза двух видов соединений золотохлористоводородной кислоты с L-лизином. Синтезирован комплекс золотохлористоводородной кислоты с тремя молекулами L-лизина (1:3) А-5, комплекс золотохлористой кислоты с двумя молекулами L - лизина (1:2) А-4, а также ионное соединение золотохлористоводородной кислоты с одной молекулой L-лизина (1:1) А-6, т.е. компоненты берутся в стехиометрических количествах. Изучены ИК-спектры полученных соединений. Указанные три комплекса могут иметь α и β - стереоструктуры и соответственно получается шесть комплексных соединений золотохлористоводородной кислоты с L-лизином. Возможность получения других комплексов золотохлористоводородной кислоты с L-лизином авторам не известна. Наработаны 7 образцов (1:3) А-5 по 2 г и 10 образцов (1:1) А-6 по 2 г. Далее приводятся конкретные примеры синтеза комплексов согласно изобретению. Пример 1 Получение Трихлораурат(III)-3-L-2,6-диаминогексаноат (А-5) Сначала 5 г (0,012 моль) золотохлористоводородной кислоты (ЗХК) растворяют в 5 мл дистиллированной воды. Затем 5,5 г (0,036 моль) L-лизина растворяют в 5 мл дистиллированной воды и подкисляют 8-10 мл концентрированной соляной кислоты до рН 1,0. К раствору L-лизина в колбе с мешалкой при температуре от 0 до +5°С постепенно при непрерывном перемешивании приливают раствор ЗХК. Из полученного раствора при температуре 35-45°С под вакуумом отгоняют воду до начала кристаллизации массы. Массу охлаждают до 20°С и приливают при перемешивании 15 мл диэтилового эфира. Образовавшуюся суспензию отфильтровывают и осадок сушат на воздухе до постоянного веса. Получают 10,0 г комплекса ЗХК с L-лизином (А-5), комплекс имеет вид желтых блестящих кристаллов. Выход продукта составляет 95,0%. ИК-спектр, v, см-1: 3248, 3154, 3080 (N Н), 2548, 2484 (валентные колебания N+); 1732 (С=O аминокислоты). Полученное вещество соответствует брутто формуле C18H13AuCl4N6O6. Структурная формула комплекса (А-5) приведена ниже: Пример 2 Получение Тетрахлораурат(III)-3-L-2,6-диаминогексаноат (А-6) Сначала 8,6 г (0,02 моль) ЗХК растворяют в 8 мл дистиллированной воды. Затем 3,1 г (0,02 моль) L-лизина растворяют в 4 мл дистиллированной воды и подкисляют 4 мл концентрированной соляной кислоты до рН 1,0. К раствору L-лизина в колбе с мешалкой при температуре от 0 до +5°С постепенно при непрерывном перемешивании приливают раствор ЗХК. Из полученного раствора при температуре 35-45°С под вакуумом отгоняют воду до начала кристаллизации массы. Массу охлаждают до 20°С и приливают при перемешивании 20 мл диэтилового эфира. Образовавшуюся суспензию отфильтровывают и осадок сушат на воздухе до постоянного веса. Получают 10,2 г комплекса ЗХК с L-лизином (А-6), полученный комплекс находится в виде желтого кристаллического порошка. Выход продукта составляет 89,0%. ИК-спектр, v, см-1: 3248, 3166, 3106 (N Н), 2510(валентные колебания N+); 1736 (С=O аминокислоты). Полученное вещество соответствует брутто формуле C6H15AuCl4N2O2. Структурная формула комплекса (А-6) приведена ниже: Биологические и фармакологические исследования Проведены исследования биологической и фармакологической активности полученных соединений. Было обнаружено, что соединение золота с L-лизином обладают рентгеноконтрастными свойствами, позволяющими диагностировать очаги заболевания внутренних органов и тканей у сельскохозяйственных животных. Соединениями А-5 и А-6 проведена выпойка кур, у которых предварительно диагностирована болезнь Марека, с учетом метаболизма аминокислот и времени прохождения корма по организму и выведения веществ выделительной системой. На томографе фирмы Philips проведена томография замороженных органов кур, получавших комплекс лизина с золотом не менее 200 мг на голову, каждая птица получила дозу золота порядка 100 мг. В ходе эксперимента были выявлены следующие результаты: 1) подтверждена высокая рентгеноконтрастность комплекса лизина с золотом (2400-2800); 2) определены уровни рентгеноконтрастности органов у кур: Необходимо отметить, что отбор органов также проводился на 4-е сутки после выпойки. Присутствие комплекса лизина с золотом в органах выявлено не было. Это может быть вызвано тем, что комплекс лизина с золотом равномерно распределяется по организму. В этом случае данный томографический агрегат, из-за своей низкой разрешающей способности, не выявил наличие отдельных молекул комплекса лизина с золотом, которые равномерно распределены в органах и тканях. Томография с более высокой разрешающей способностью может эффективно выявить скопление рентгеноконтрастных молекул в определенной зоне (черные точки). В связи с этим был проведен анализ органов кур атомно-эмиссионной спектрометрией с индуктивно-связанной плазмой (АЭС с ИСП), который дал исчерпывающие показатели. Это подтверждает безопасность предложенного метода диагностики. Таким образом, были созданы новые рентгеноконтрастные комплексные соединений золотохлористоводородной кислоты (ЗХК) с L-лизином, которые являются эффективными при использовании для диагностики болезни Марека у птицы. Способ получения комплекса прост и экологически безопасен, характеризуется высоким выходом конечного продукта.





- легкие: 125 (из-за наличия воздуха); - почки: 18-25; - фолликулы: 28-47; - селезенка: 51-58; - печень: 30-35; - грудные мышцы: 24-26.