патент
№ RU 2461820
МПК G01N29/04

СПОСОБ ОПРЕДЕЛЕНИЯ ПРОЧНОСТНЫХ ХАРАКТЕРИСТИК ПОЛИМЕРНЫХ КОМПОЗИЦИОННЫХ МАТЕРИАЛОВ

Авторы:
Мурашов Виктор Васильевич Бойчук Александр Сергеевич Далин Михаил Альбертович
Все (4)
Номер заявки
2011118703/28
Дата подачи заявки
11.05.2011
Опубликовано
20.09.2012
Страна
RU
Как управлять
интеллектуальной собственностью
Чертежи 
5
Реферат

Использование: для определения прочностных характеристик полимерных композиционных материалов. Сущность изобретения заключается в том, что в полимерном композиционном материале контролируемого изделия с помощью излучающего преобразователя возбуждают импульсы ультразвуковых колебаний, принимают импульсы ультразвуковых колебаний приемным преобразователем, установленным на поверхности контролируемого изделия на заданном расстоянии от излучающего преобразователя с той же или с противоположной стороны стенки контролируемого изделия, измеряют спектр прошедшего в полимерном композиционном материале контролируемого изделия импульса, с учетом которого определяют прочностные характеристики полимерного композиционного материала, при этом дополнительно осуществляют возбуждение и прием импульсов ультразвуковых колебаний в полимерном композиционном материале образцов-свидетелей после их изготовления и измеряют спектры импульсов, прошедших в полимерном композиционном материале этих образцов-свидетелей, после чего образцы-свидетели подвергают механическим, тепловым и иным повреждающим воздействиям, имитирующим эксплуатационные нагрузки, повторно возбуждают и принимают импульсы ультразвуковых колебаний в полимерном композиционном материале образцов-свидетелей и измеряют спектры импульсов, прошедших в полимерном композиционном материале этих образцов-свидетелей после повреждающих воздействий, а прочностные характеристики полимерного композиционного материала контролируемого изделия определяют по определенной корреляционной связи. Технический результат: повышение точности и достовер�

Формула изобретения

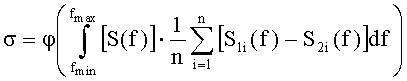
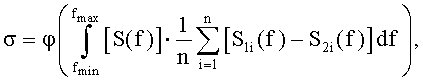
1. Способ определения прочностных характеристик полимерных композиционных материалов, заключающийся в том, что в полимерном композиционном материале контролируемого изделия с помощью излучающего преобразователя возбуждают импульсы ультразвуковых колебаний, принимают импульсы ультразвуковых колебаний приемным преобразователем, установленным на поверхности контролируемого изделия на заданном расстоянии от излучающего преобразователя с той же или с противоположной стороны стенки контролируемого изделия, измеряют спектр прошедшего в полимерном композиционном материале контролируемого изделия импульса, с учетом которого определяют прочностные характеристики полимерного композиционного материала, отличающийся тем, что дополнительно осуществляют возбуждение и прием импульсов ультразвуковых колебаний в полимерном композиционном материале образцов-свидетелей после их изготовления и измеряют спектры импульсов, прошедших в полимерном композиционном материале этих образцов-свидетелей, после чего образцы-свидетели подвергают механическим, тепловым и иным повреждающим воздействиям, имитирующим эксплуатационные нагрузки, повторно возбуждают и принимают импульсы ультразвуковых колебаний в полимерном композиционном материале образцов-свидетелей и измеряют спектры импульсов, прошедших в полимерном композиционном материале этих образцов-свидетелей после повреждающих воздействий, а прочностные характеристики полимерного композиционного материала контролируемого изделия определяют по следующей корреляционной связи:

где σ - прочностная характеристика полимерного композиционного материала; φ - знак корреляционной связи; S(f) - спектр импульса ультразвуковых колебаний, прошедшего в полимерном композиционном материале контролируемого изделия; S1i(f) - спектры импульсов ультразвуковых колебаний, прошедших в полимерном композиционном материале образцов-свидетелей после их изготовления; S2i(f) - спектры импульсов ультразвуковых колебаний, прошедших в полимерном композиционном материале образцов-свидетелей, подвергшихся повреждающим воздействиям; n - число образцов-свидетелей; i - порядковый номер измерений; fmin и fmax - граничные частоты спектрального диапазона.

2. Способ по п.1, отличающийся тем, что количество образцов-свидетелей должно быть не менее трех.

3. Способ по п.1, отличающийся тем, что измерения спектров импульсов ультразвуковых колебаний проводят при нормировании всех сигналов по площади под сигналом.

Описание

[1]

Изобретение относится к области диагностики полимерных композиционных материалов (ПКМ), в частности к области оценки механических свойств материалов в монолитных и клееных конструкциях после изготовления и различных периодов их эксплуатации неразрушающими методами, и может быть использовано для определения прочностных характеристик (прочности при сдвиге, при сжатии, при растяжении и т.п.) ПКМ (угле-, стекло-, органопластиков и других подобных материалов) в авиационной, судостроительной и других отраслях машиностроения.

[2]

Известен способ, позволяющий оценить прочность клеевых соединений конструкций ультразвуковым эхо-импульсным методом (А.И.Горбунов. Контроль прочности склеивания ультразвуковым эхо-методом. - Дефектоскопия, 1968, №2, с.42-50).

[3]

Данный способ использует корреляционную связь между прочностью склеивания и характеристическим импедансом клея (произведением плотности клея и скорости звука в нем). Характеристический импеданс определяется по коэффициенту отражения продольной волны на границе раздела «верхний слой - клей» и коэффициенту отражения на границе раздела «клей - внутренний слой». Коэффициенты отражения определяют по амплитудам первых полуволн недетектированного отраженного сигнала по экрану эхо-импульсного дефектоскопа. Высокая погрешность оценки прочности клеевых соединений этим способом, связанная с нестабильностью свойств верхних слоев конструкций из ПКМ, не позволяет применять его для оценки прочности клеевых соединений конструкций из ПКМ в авиастроении.

[4]

Также известен ультразвуковой способ вынужденных колебаний, реализуемый в резонансном режиме, который применялся для неразрушающей оценки прочности клеевых соединений и конструкций из слоистых материалов. Данный способ контроля основан на корреляционной связи прочности соединения слоев материала с резонансными характеристиками нагруженного на контролируемую конструкцию пьезопреобразователя (Schliekelmann R.I. Non-destructive testing of bonded joints. - Nondestructive testing, April 1975, v.8, №2, р.100-103).

[5]

Результаты использования данного способа контроля, представленные исследователями разных стран, весьма противоречивы. Лучшие результаты получены при использовании частотного варианта способа, когда устанавливается корреляционная связь резонансной частоты системы «преобразователь - конструкция» с прочностью склеивания на сдвиг. Для успешного применения этого способа необходимо выполнение определенных требований, предъявляемых к клеям, связующим и технологии склеивания, что зачастую невозможно.

[6]

Также известен акустико-эмиссионный способ оценки прочностных характеристик слоистых композитов, основанный на корреляционной связи между прочностью и параметрами звуковых волн, излучаемых конструкцией в процессе нагрузки, например количеством и частотой импульсов акустической эмиссии, амплитудой сигнала и т.п. (Березин А.В., Козинкина А.И. Анализ накопления повреждений в слоистых композитах методом акустической эмиссии с учетом напряженно-деформированного состояния. - Сб. XIII ВНТК: Неразрушающие физические методы и средства контроля. - Санкт-Петербург, 1993, с.113).

[7]

К недостаткам этого метода относятся необходимость нагружения конструкции, сложность аппаратуры неразрушающего контроля и малая достоверность контроля, обусловленная многочисленными мешающими факторами (влиянием на результаты контроля формы и конфигурации конструкции, толщин в различных ее зонах, наличия переходных зон, макроструктуры материала и т.п.).

[8]

Кроме того, известен способ определения физико-механических характеристик материалов, заключающийся в том, что на поверхности контролируемого изделия с помощью преобразователя возбуждают упругие колебания, принимают с той же поверхности прошедшие по толщине изделия отраженные эхо-сигналы этих колебаний и по параметрам принятого сигнала определяют пористость, плотность и механические свойства материала изделия, а пористость, плотность и механические свойства материала определяют по полной мощности шумовой компоненты рассеянного назад акустического сигнала, рассчитываемой по формуле где S(f) - измеренный спектр сигнала, отраженного от пор и структуры материала; - сглаженный на интервале Δf=fmax-fmin спектр ультразвукового сигнала; f - частота; fmax и fmin - границы частотного диапазона.

[9]

Возбуждение упругих колебаний осуществляют лазерным оптико-акустическим преобразователем широкополосным сигналом в спектральном диапазоне 0,1-20 МГц импульсами с энергией 1-10 мДж, длительностью не более 0,05 мкс и частотой повторения не менее 10 Гц (пат. РФ №2214590).

[10]

Недостатком данного способа является низкая точность определения прочностных характеристик ПКМ, обусловленная тем, что импульс ультразвуковых колебаний в материале проходит очень малый путь, равный удвоенной толщине объекта контроля. В течение короткого времени прохождения ультразвукового сигнала в контролируемом материале происходит незначительное изменение параметров сигнала, что не позволяет на фоне мешающих факторов получить достаточную (для практического применения этого способа) точность определения прочностных характеристик.

[11]

Наиболее близким аналогом, взятым за прототип, является способ определения физико-механических характеристик ПКМ, заключающийся в том, что два преобразователя располагаются на поверхности объекта контроля с одной или с разных сторон контролируемой конструкции на определенном расстоянии друг от друга, с помощью которых возбуждают и принимают импульсы ультразвуковых колебаний и измеряют параметры прошедших в материале сигналов, с учетом которых определяют физико-механические характеристики материала (стандарт Е1495-94 Американского общества испытаний материалов ASTM).

[12]

Рассматриваемый способ контроля сочетает в себе признаки метода прохождения и реверберационного метода. При прохождении акустических сигналов в плоскости конструкции ввиду многократных отражений, трансформации продольных волн в поперечные и обратно и интерференции УЗ-импульсов принятые сигналы имеют нерегулярную форму, подобную сигналам в акустико-эмиссионном способе неразрушающего контроля. Благодаря многократному прохождению УЗ-импульсов через объект контроля возможно обнаружение не выявляемых традиционными методами многочисленных мелких дефектов, влияющих на эксплуатационные свойства материала - пористости, микротрещин, начальных стадий усталостных разрушений и т.п., которые определяют прочность материала.

[13]

Способ-прототип позволяет оценивать такие структурные неоднородности, которые определяют физико-механические характеристики материала и в то же время влияют на поглощение и рассеяние ультразвука. Количественно затухание оценивается критерием, который в иностранной литературе называют stress wave factor (SWF). Для оценки результатов контроля данным способом вычисляется количественный критерий SWF. Американский стандарт (Nondestructive Testing Handbook. 2-nd ed. V.7: Ultrasonic Testing // American Society for Nondestructive Testing, 1991. - 893 p.) содержит следующие рекомендации по применению разновидностей критерия SWF.

[14]

Амплитудный критерий, определяемый как SWF=Umax, эффективен при обнаружении микротрещин в ПКМ после растягивающей нагрузки. Амплитудный критерий представлен амплитудой (точнее, размахом) информативного сигнала Umax.

[15]

Счетный критерий с заданным пороговым уровнем, определяемый по формуле , где U1 - пороговое напряжение для i-го уровня; Ci, Ci+1 - число превышений i-го и (i+1)-го уровней; Up - максимальное напряжение сигнала, применяют для выявления ударных разрушений в объекте контроля из ПКМ и оценки прочности клеевых соединений. В первом (простейшем) случае пороговый уровень принимают равным нулю, во втором - определенному значению, превышающему уровень шумов.

[16]

При контроле с использованием амплитудного критерия информативным параметром диагностики является амплитуда принятого сигнала, а при контроле с использованием счетного критерия - число превышений заданного уровня сигналов.

[17]

Энергетические критерии SWF используют интегральную оценку энергии информативного сигнала. Относительная энергия сигнала определяется интегралом , где t1 и t2 - границы временного интервала; U(t) - напряжение.

[18]

Через преобразование Фурье энергия сигнала U(t) представляется в виде где f1 и f2 - границы интервала частот; s(f) - спектральная плотность сигнала.

[19]

Энергетические критерии SWF наиболее эффективны для оценки начальных стадий разрушения материала, в частности микротрещин и усталостных повреждений в углепластиках. В отличие от счетного критерия энергетические критерии не требуют установки пороговых напряжений, однако необходимо устанавливать границы временного и частотного интервалов.

[20]

Недостатками данного способа определения прочностных характеристик ПКМ являются малые точность и достоверность полученных результатов ввиду того, что способ-прототип не позволяет при прозвучивании материала получить информацию о тех спектральных составляющих, которые несут информацию только о структуре материала и при этом не связаны с конструктивными особенностями объекта контроля. Способ-прототип не позволяет также определить значения прочностных характеристик материала, а лишь дает возможность выявить структурные неоднородности, которые определяют физико-механические характеристики материала.

[21]

Технической задачей изобретения является создание способа, позволяющего повысить точность и достоверность определения прочностных характеристик ПКМ.

[22]

Для решения поставленной задачи предложен способ определения прочностных характеристик полимерных композиционных материалов, заключающийся в том, что в полимерном композиционном материале контролируемого изделия с помощью излучающего преобразователя возбуждают импульсы ультразвуковых колебаний, принимают импульсы ультразвуковых колебаний приемным преобразователем, установленным на поверхности контролируемого изделия на заданном расстоянии от излучающего преобразователя с той же или с противоположной стороны стенки контролируемого изделия, измеряют спектр прошедшего в полимерном композиционном материале контролируемого изделия импульса, с учетом которого определяют прочностные характеристики полимерного композиционного материала, отличающийся тем, что дополнительно осуществляют возбуждение и прием импульсов ультразвуковых колебаний в полимерном композиционном материале образцов-свидетелей после их изготовления и измеряют спектры импульсов, прошедших в полимерном композиционном материале этих образцов-свидетелей, после чего образцы-свидетели подвергают механическим, тепловым и иным повреждающим воздействиям, имитирующим эксплуатационные нагрузки, повторно возбуждают и принимают импульсы ультразвуковых колебаний в полимерном композиционном материале образцов-свидетелей и измеряют спектры импульсов, прошедших в полимерном композиционном материале этих образцов-свидетелей после повреждающих воздействий, а прочностные характеристики полимерного композиционного материала контролируемого изделия определяют по следующей корреляционной связи:

[23]

[24]

где σ - прочностная характеристика полимерного композиционного материала; φ - знак корреляционной связи; S(f) - спектр импульса ультразвуковых колебаний, прошедшего в полимерном композиционном материале контролируемого изделия; S1i(f) - спектры импульсов ультразвуковых колебаний, прошедших в полимерном композиционном материале образцов-свидетелей после их изготовления; S2i(f) - спектры импульсов ультразвуковых колебаний, прошедших в полимерном композиционном материале образцов-свидетелей, подвергшихся повреждающим воздействиям; n - число образцов-свидетелей; i - порядковый номер измерений; fmin и fmax - граничные частоты спектрального диапазона.

[25]

Количество образцов-свидетелей должно быть не менее трех.

[26]

Измерения спектров импульсов ультразвуковых колебаний в предложенном способе проводят при нормировании всех цифровых сигналов по площади под сигналом, что позволяет исключить влияние на результаты определения прочностных характеристик ПКМ качества акустического контакта преобразователей с контролируемой конструкцией.

[27]

Способов неразрушающего контроля прочностных характеристик ПКМ в конструкциях без их разрушения именно после различных периодов их эксплуатации из источников информации не известно, а известные способы не достаточно точны и достоверны. Это прежде всего связано с выбором параметра диагностики ПКМ (акустических характеристик материалов), определяемого в конструкциях неразрушающими способами, который должен находиться в тесной корреляционной связи с искомыми прочностными характеристиками материала.

[28]

Для реализации предложенного способа использован принципиально новый параметр диагностики, включающий косвенную информацию о состоянии материала конструкции (S(f) - спектр импульса ультразвуковых колебаний, прошедшего в материале конструкции), косвенную информацию о состоянии материала образцов-свидетелей сразу же после их изготовления (S1i(f) - спектры импульсов ультразвуковых колебаний, прошедших в материале образцов-свидетелей после их изготовления), косвенную информацию о состоянии материала образцов-свидетелей после повреждающих воздействий на них (S2i(f) - спектры импульсов ультразвуковых колебаний, прошедших в материале образцов-свидетелей, подвергшихся повреждающим воздействиям).

[29]

Наиболее тесная корреляция прочностных характеристик ПКМ в конструкциях без их разрушения в условиях эксплуатации изделий наблюдается именно с предложенным параметром диагностики. Способ позволяет учесть смоделированные на образцах-свидетелях изменения структуры материала в результате повреждающих воздействий и отстроиться от информации, не связанной с состоянием структуры (например, от информации, определяемой конструктивными особенностями объекта контроля) за счет введения в параметр диагностики акустической характеристики материала - спектральной весовой функции W(f):

[30]

.

[31]

На фиг.1 показана временная развертка сигналов (импульсов), прошедших в образце-свидетеле на участке между излучающим и приемным преобразователями после изготовления образца-свидетеля.

[32]

На фиг.2 показана временная развертка сигналов, прошедших в образцах-свидетелях на том же участке после повреждающих воздействий на них.

[33]

На фиг.3 показаны спектры сигналов, прошедших в образце после его изготовления (пунктирная кривая) и после повреждающего воздействия (сплошная кривая).

[34]

На фиг.4 показана спектральная весовая функция, являющаяся статистической разницей спектров сигналов в образцах-свидетелях до и после повреждающих воздействий.

[35]

На фиг.5 показан спектр сигнала, прошедшего в контролируемой конструкции.

[36]

На фиг.6 представлен график, полученный в результате перемножения спектра сигнала, прошедшего в контролируемой конструкции и спектральной весовой функции.

[37]

Именно этот график обладает информационной ценностью, т.к. он характеризует степень поврежденности материала в зоне между преобразователями. Интеграл спектральной функции, изображенной на фиг.6, взятый в определенном частотном диапазоне, представляет собой параметр диагностики.

[38]

При плохом качестве акустического контакта и особенно, когда не удается добиться повторяемости условий съема информативных сигналов, необходимо проводить нормирование всех цифровых сигналов по площади под кривой сигнала. При отсутствии такого нормирования амплитуда сигнала, прошедшего в материале после эксплуатации изделия, может, например, оказаться больше амплитуды сигнала, прошедшего в материале до эксплуатации, хотя очевидно, что по мере накопления повреждений в материале амплитуда сигнала должна уменьшаться.

[39]

Нормирование сигналов U1i(f) и U2i(f) по площади под сигналом проводим следующим образом.

[40]

1) Проводим детектирование цифровых сигналов U1i(f) и U2i(t). В результате детектирования все отрицательные отсчеты становятся положительными.

[41]

2) Вычисляем площадь под детектированными сигналами U1i(t) и U2i(t): и , где U1i(t) - i-й отсчет сигнала U1, a U2i(t) - i-й отсчет сигнала U2.

[42]

3) Делим каждое значение отсчета сигналов U1 и U2 на соответствующее значение вычисленных площадей S1 и S2. Каждый отсчет сигналов U1 и U2 при этом уменьшится на соответствующее постоянное значение S1 и S2: Sn1i=U1i/S1 и Sn2i=U2i/S2.

[43]

Таким образом, исключается влияние качества акустического контакта на результаты вычисления параметра диагностики и, следовательно, повышается достоверность определения прочностных характеристик полимерных композиционных материалов в изделиях без их разрушения в условиях эксплуатации.

[44]

Величина интеграла произведения спектра импульса ультразвуковых колебаний, прошедших в материале в зоне контроля, и средней разницы спектров импульсов ультразвуковых колебаний, прошедших в материале образцов-свидетелей до и после повреждающих воздействий, имитирующих эксплуатационные нагрузки (спектральной весовой функции) в диапазоне от 0,1 до 8,0 МГц, является параметром диагностики и находится, как достоверно установлено, в тесной корреляционной связи с прочностными характеристиками ПКМ. Прочность определяется по графику, где по оси ординат отложены значения прочности в мегапаскалях, а по оси абсцисс - параметр диагностики в условных единицах (В2/с), рассчитанный по первичным параметрам контроля.

[45]

Примеры осуществления способа

[46]

Пример 1. Определение прочности при сдвиге подвергнувшегося эксплуатационным нагрузкам изделия из углепластика ВКУ-17КЭ0,1, содержащего в своем составе углеродный армирующий наполнитель (лента ЭЛУР-П) и полимерную матрицу (модификация клея ВК-36). При формовании изделия при том же температурно-временном режиме были отформованы стандартные прямолинейные образцы-свидетели в виде плит размером в плане 150×150 мм, толщиной 10 мм. После неразрушающих испытаний образцы-свидетели были подвергнуты механическим, тепловым и другим повреждающим воздействиям, имитирующим эксплуатационные нагрузки.

[47]

Способ был реализован по предложенному изобретению, включающему возбуждение и прием импульсов ультразвуковых колебаний, прошедших в контролируемом материале, с помощью прямых широкополосных преобразователей (излучающего и приемного), установленных на поверхности объекта контроля с одной его стороны на определенном расстоянии друг от друга, фиксацию временных разверток и определение путем преобразования Фурье по компьютерной программе Mathcad спектров сигналов, прошедших в следующих объектах контроля на участке между преобразователями: в материале контролируемой детали, в материале образцов-свидетелей после их изготовления и в материале тех же образцов-свидетелей, подвергшихся механическим, тепловым и другим повреждающим воздействиям, имитирующим эксплуатационные нагрузки.

[48]

Возбуждение упругих колебаний осуществлено с помощью прямого преобразователя широкополосным сигналом в спектральном диапазоне 0,1-8,0 МГц импульсами длительностью 147,5 мкс с частотой повторения 16 Гц. Прием импульсов, прошедших в объектах контроля на участке между преобразователями, осуществлен с помощью прямого широкополосного преобразователя.

[49]

Рассчитав интеграл произведения спектра импульса ультразвуковых колебаний, прошедших в материале детали в зоне контроля, и средней разницы спектров импульсов ультразвуковых колебаний, прошедших в материале образцов-свидетелей до и после повреждающих воздействий, имитирующих эксплуатационные нагрузки, то есть спектральной весовой функции, в диапазоне от 0,1 до 8,0 МГц, получим значение параметра диагностики, который является мерой прочности при сдвиге материала контролируемого изделия. Измеренный таким образом параметр диагностики равен 0,25 В2/с.

[50]

Прочность при сдвиге, определенная по ранее построенному графику корреляционной связи прочности при сдвиге в углепластике ВКУ-17КЭ0,1 с определенным неразрушающим методом параметром диагностики, равна 48,5 МПа. Прочность при сдвиге, определенная разрушающим методом (испытания по методу короткой балки) путем вырезки образца из зоны контроля, обмера его размеров и испытания на машине типа Инстрон, равна 45,2 МПа, что позволяет сделать заключение о высокой точности предложенного способа определения прочности соединения деталей интегральной конструкции из полимерных композиционных материалов.

[51]

Пример 2. Определяли прочность при сжатии стеклопластика ВПС-37К10, отформованного из препрега на основе эпоксидной клеевой композиции и стеклоткани. При формовании изделия при том же температурно-временном режиме были отформованы стандартные прямолинейные образцы-свидетели в виде плиты размером в плане 150×150 мм, толщиной 10 мм. После неразрушающих испытаний образцы-свидетели были подвергнуты механическим, тепловым и другим повреждающим воздействиям, имитирующим эксплуатационные нагрузки.

[52]

Способ был реализован в соответствии со способом, описанным в примере 1, но отдельные параметры были изменены - измерения спектров импульсов ультразвуковых колебаний проводились при нормировании всех сигналов по площади под сигналом.

[53]

Измеренное значение параметра диагностики равнялось 0,17 В2/с. Прочность при сжатии была определена по ранее построенному тарировочному графику и составила 987,5 МПа. Разрушающий метод, основанный на вырезке образца и механических его испытаниях на машине типа FPZ 100/1, дал значение 1007,2 МПа.

[54]

Пример 3 - прототип. Определяли прочность при сдвиге в изделии из углепластика ВКУ-17КЭ0,1 - то же, что и в примере 1.

[55]

Способ был реализован в соответствии со способом, принятым за прототип. Данный способ основан на возбуждении и приеме с помощью двух преобразователей, располагаемых на поверхности объекта контроля с одной или с разных его сторон на определенном расстоянии друг от друга, импульсов ультразвуковых колебаний и измерении параметров прошедших в материале сигналов, по которым определяли физико-механические характеристики материала.

[56]

В качестве параметра диагностики применен энергетический критерий SWF, который использует интегральную оценку энергии информативного сигнала. Для реализации способа-прототипа по результатам неразрушающих и разрушающих испытаний был построен график связи прочности при сжатии и критерия SWF. Рассчитанное значение критерия SWF по измеренному значению напряжения информативного сигнала позволило получить параметр диагностики, равный 5,78 В, что по графику соответствует значению прочности 52,1 МПа. Значение прочности, определенное разрушающим методом (см. пример 1), равно 45,2 МПа.

[57]

Графики связи акустических характеристик (параметров диагностики) и прочностных характеристик материалов во всех примерах получены путем компьютерной обработки экспериментальных данных по специальным программам Mathcad и Excel. Массив данных включал параметры диагностики (интеграл произведения спектра импульса ультразвуковых колебаний, прошедших в материале детали в зоне контроля, и средней разницы спектров импульсов ультразвуковых колебаний, прошедших в материале образцов-свидетелей до и после повреждающих воздействий, имитирующих эксплуатационные нагрузки, то есть спектральной весовой функции, в примерах 1 и 2 и критерия SWF - в примере 3) и значения прочности при сдвиге (в примерах 1 и 3) и прочности при сжатии (в примере 2).

[58]

Сравнение результатов неразрушающего контроля детали из углепластика ВКУ-17КЭ0,1 предложенным способом (пример 1) и способом-прототипом (пример 3) с результатом разрушающих испытаний позволяет сделать вывод о более высокой точности предложенного способа, так как погрешность предложенного способа в абсолютных величинах составила 3,3 МПа, а погрешность способа-прототипа 6,9 МПа.

[59]

Следует обратить особое внимание на то, что из всех физико-механических характеристик, определяемых в ПКМ, прочностные характеристики являются наиболее важными, т.к. именно они определяют в первую очередь работоспособность, надежность и ресурс конструкции.

[60]

Таким образом, предложенный способ определения прочностных характеристик ПКМ в конструкциях без их разрушения в условиях производства и эксплуатации изделий позволяет повысить точность и достоверность контроля конструкций ответственного назначения и, таким образом, повысить надежность летательных аппаратов и других изделий ответственного назначения.

Как компенсировать расходы
на инновационную разработку
Похожие патенты