Изобретение относится к области акустики, в частности к методике определения шума автотранспортного средства. Проводят серию измерений шума автотранспортного средства, движущегося по мерному участку в режиме разгона, с регистрацией запоминающим устройством полученных значений, включая значения оборотов коленвала двигателя и уровней шума, и в результате получают зависимости значений общих уровней шума и оборотов коленвала двигателя от положения на мерном участке. На стенде с беговыми барабанами проводят серию измерений газодинамического шума выхлопа и структурного шума глушителей в диапазоне оборотов коленвала двигателя от величины, соответствующей холостому ходу, до величины, соответствующей номинальной частоте вращения, а также экспериментально определяют поправки для корректировки структурного шума глушителей. Уровни структурного шума наносятся на диаграмму со значениями уровней внешнего шума автотранспортного средства путем соотнесения оборотов коленвала двигателя при стендовых и дорожных испытаниях с учетом поправки на расстояние, определяющей зависимость величин измеренного уровня шума от расстояния между источником шума и регистрирующим микрофоном. Получают диаграммы значений уровней шума, содержащие как общие уровни шума, так и ⅓ октавные спектры. Технический результат – повышение точности измерений. 5 ил.
Способ оценки шума, излучаемого через систему выпуска отработавших газов как одного из источников внешнего шума, автотранспортного средства, находящегося в движении, заключающийся в проведении серии дорожных и стендовых испытаний и последующем вычислении доли внешнего шума, генерируемого и излучаемого через систему выпуска отработавших газов, отличающийся тем, что проводят измерения уровней внешнего шума автотранспортного средства, движущегося по мерному участку в режиме разгона, с регистрацией запоминающим устройством полученных значений, включая значения оборотов коленвала двигателя и уровней шума с заданным шагом положения автотранспортного средства на мерном участке, затем проводят стендовые измерения шума системы выпуска отработавших газов в ближнем поле при установке на беговых барабанах того же автотранспортного средства при работе двигателя в режиме полной нагрузки в диапазоне оборотов коленвала двигателя от величины, соответствующей холостому ходу, до величины, соответствующей номинальной частоте вращения, при этом, для исключения фоновых шумов, результаты замеров корректируются с учетом экспериментально определяемых поправок, затем пересчитываются с учетом поправки на ослабление сигнала по мере удаления от источника и поправки на расстояние, зависящей от положения автотранспортного средства (а следовательно, и отдельных его агрегатов - источников шума) на мерном участке и определяемой по формуле где S - расстояние между источниками шума (глушителями или излучающим срезом выхлопной трубы) и микрофонной линией, затем полученные значения уровней шума системы выпуска отработавших газов, структурного и газодинамического, соотносятся со значениями оборотов коленвала двигателя, зарегистрированными при движении автотранспортного средства в режиме разгона, и получают значения уровней шума каждого источника системы выпуска отработавших газов (СВОГ) с заданным шагом положения автотранспортного средства (АТС) на мерном участке на тех же оборотах коленвала двигателя, что и при заезде по мерному участку, причем как общие уровни шума, так и 
октавные спектры в каждом положении АТС на мерном участке.
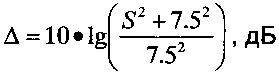
Изобретение относится к области акустики автотранспортных средств (далее АТС), в частности - к способам измерения внешнего шума АТС, и может быть использовано для идентификации шума, производимого системой выпуска отработавших газов (далее - СВОГ), и определения его вклада в общий уровень шума АТС. В связи с постоянно растущим числом АТС, вредное воздействие транспортного шума признано одной из самых широко распространенных экологических проблем современности. В настоящее время ведущими мировыми производителями АТС ведется активная работа по снижению шума, излучаемого в окружающую среду. В связи с введением новой методики измерений внешнего шума R-51-03, шум от СВОГ становится наиболее весомым источником внешнего шума (наряду с шумом шин) - как газодинамическая, так и структурная составляющие, а также все большее значение приобретает его измерение и нормирование. В этой связи, актуальной задачей является разработка экономичного, технологичного и достоверного способа измерения шума, направленного на идентификацию и эффективную оценку той части общего шума АТС, находящегося в движении, которая излучается СВОГ. Известны различные способы и технические решения для их реализации, направленные на решение вышеуказанной задачи, например, «Способ измерения внешнего шума автотранспортного средства Баженова», описанный в патенте РФ №2392603, 6МПК G01M 17/007, G01M 15/00, публ. 20.06.2010 г., заключающийся: - в выполнении предварительной серии проездов АТС в режиме разгона на различных передачах относительно неподвижного микрофона с одновременным измерением излучаемого при проезде АТС шума и последующим выбором максимального значения; - в выполнении, на том же мерном участке, первого дополнительного проезда АТС в режиме разгона на передаче, соответствующей максимальному уровню шума, зарегистрированному в предварительной серии проездов, и записи спектрограммы внешнего шума АТС на запоминающее устройство; - в расчете характерных частот агрегатов автомобиля и нанесении их на спектрограмму, записанную в процессе первого дополнительного проезда; - в выполнении второго дополнительного проезда АТС с записью спектрограммы шума, причем перед выполнением второго дополнительного проезда измерительный микрофон устанавливают на АТС; - в нанесении на спектрограмму шума, записанную в результате второго дополнительного проезда, расчетных значений характерных частот агрегатов автомобиля; - в идентификации источников шума по результатам второго дополнительного проезда и их ранжировании по результатам первого дополнительного проезда АТС. Недостатком указанного способа является низкая точность идентификации источников шума, т.к. значения характерных частот, являющихся определяющими в общих уровнях шума источников, будут кратными частоте вращения коленвала двигателя и одинаковыми для двигателя и систем газообмена. Известен так же «Способ измерения внешнего шума автомобиля», описанный в патенте РФ №2262085, 7МПК G01M 17/00, G01M 17/007, публ. 10.10.2005 г., заключающийся в проведении предварительной серии измерений внешнего шума, АТС, укомплектованного исследуемой СВОГ, в проведении дополнительной серии измерений внешнего шума АТС, укомплектованного, кроме исходной СВОГ, дополнительным глушителем и в определении по разнице полученных результатов вклада СВОГ во внешнее звуковое поле АТС. Указанный способ имеет несколько недостатков. Во-первых, дополнительно присоединенный глушитель может отрицательно повлиять на динамику автомобиля - следовательно - невозможно оценить, чем вызвано снижение внешнего шума - изменением динамики АТС или снижением шума выпуска. Во-вторых - рассматриваемый способ позволяет косвенно оценить газодинамическую составляющую шума СВОГ, в то время как структурный шум глушителей, который так же является значительным источником внешнего шума, не оценивается. В качестве прототипа, как наиболее близкого по совокупности отличительных признаков, выбран «Способ определения шума, излучаемого глушителями системы выпуска автомобильных двигателей», описанный в патенте РФ №2292537, МПК G01M 15/00, G01M 17/007, G01M 19/00, публ. 27.01.2007 г., заключающийся в определении в лабораторных условиях спектра снижения шума глушителем путем подачи на вход глушителя акустического шума, в измерении шума внутри системы выпуска АТС в районе ее стыка с глушителем при движении автомобиля по мерному участку в режиме, соответствующем максимальному уровню внешнего шума АТС, в определении спектра шума внутри системы выпуска и вычислении разности между спектром шума внутри системы выпуска и спектром снижения шума глушителем, полученным в лабораторных условиях, а также в последующем вычислении, по полученной разности, интегрального уровня шума с вычетом из него величины поправки, соответствующей затуханию шума на интересующем расстоянии. Рассматриваемый способ так же имеет несколько недостатков. Во-первых, озвучивание СВОГ в лабораторных условиях происходит при температуре около 20°С, тогда как рабочий диапазон температур глушителей СВОГ 300…600°С. Во-вторых, в этом способе так же не учитывается структурная составляющая шума СВОГ. Задача, на решение которой направлено применение предлагаемого изобретения заключается в получении технологичного, достоверного и экономичного способа идентификации шума, производимого СВОГ, в общем внешнем шуме АТС, находящегося в движении. Предлагаемый расчетно-экспериментальный способ, на основании совокупных данных, полученных при стендовых испытаниях АТС, позволяет получить значения уровней шума как газодинамической, так и структурных составляющих каждого элемента СВОГ, в любом положении (позиции на мерном участке) АТС на нормируемом режиме разгона. Указанная задача решается при техническом оснащении, соответствующем известным требованиям, изложенным в действующих нормативных документах, в том числе, в ГОСТ 31333-2006 (ИСО 362-1:2007), Правилах ЕЭК ООН 51, Директиве ЕС 540-2014. Предлагаемый способ предусматривает следующие этапы. 1. Измерение внешнего шума АТС в дорожных условиях: - подготовка измерительного оборудования и испытательной площадки с мерным участком; - проведение измерений уровней шума АТС, движущегося по мерному участку в режиме разгона, согласно методик Правил ЕЭК ООН 51; - запись запоминающим устройством полученных значений, включая значения скорости АТС, частот вращения коленчатого вала двигателя и уровней шума с заданным шагом положения АТС на мерном участке; - получение зависимостей значений общих уровней шума и оборотов коленвала двигателя от положения на мерном участке; 2. Измерение шума в лабораторных условиях на стенде с беговыми барабанами: - подготовка измерительного оборудования и установка шумоизолирующих экранов; - замеры газодинамического шума выпуска и структурного шума глушителей при работе двигателя с полной нагрузкой в диапазоне оборотов коленвала двигателя, перекрывающих диапазоны оборотов коленвала двигателя, соответствующих разгону АТС на исследуемых передачах при дорожных испытаниях; - экспериментальное определение поправок для корректировки структурного шума глушителей; - получение зависимостей значений общих уровней структурного и газодинамического шума, как функции оборотов коленвала двигателя. 3 Расчетная часть: - нанесение уровней шума источников (структурный шум глушителей и газодинамический шум выпуска) на диаграмму с уровнями внешнего шума АТС, путем соотнесения оборотов коленвала двигателя при стендовых и дорожных испытаниях, с учетом поправки на расстояние, определяющей зависимость изменения уровня шума от расстояния между источником шума и регистрирующим микрофоном. - получение диаграммы значений уровней шума, излучаемого каждым из источников СВОГ в каждой заданной метками позиции мерного участка. Особенности и преимущества предлагаемого способа поясняются следующим детальным описанием и иллюстрациями, на которых: на фиг. 1 изображена схема установки микрофонов и шумоизолирующих экранов при измерениях шума СВОГ в ближнем поле, в стендовых условиях на беговых барабанах, вид сбоку и вид снизу; на фиг. 2 представлена диаграмма - пример определения корректирующих поправок при определении структурного шума глушителей СВОГ; на фиг. 3 представлен график поправки на расстояние Δ - зависимости изменения значений уровня шума от расстояния между исследуемым источником шума АТС и микрофоном; на фиг. 4 изображена схема испытательной площадки с мерным участком и измерительным оборудованием для проведения испытаний АТС в движении; на фиг. 5 представлен пример итоговой диаграммы с внешним шумом АТС и корректированным шумом источников СВОГ в каждом положении АТС. Реализация заявляемого способа осуществляется следующим образом. Для примера рассмотрим СВОГ с двумя глушителями, дополнительным глушителем (далее ДГ) и основным глушителем (далее ОГ), как источниками структурного шума и одной выхлопной трубой ОГ, как источником газодинамического шума. Исследуемое АТС 1 неподвижно закрепляют на динамометрическом стенде с беговыми барабанами 2. АТС работает в режиме полной нагрузки в диапазоне оборотов коленвала двигателя от величины, соответствующей холостому ходу, до величины, соответствующей номинальной частоте вращения. На АТС устанавливают шумоизолирующие экраны 5 и микрофоны 6 и 7 (Фиг. 1). При стендовых испытаниях газодинамическая составляющая шума выхлопа замеряется в 0.25 м от свободного среза выхлопной трубы ОГ 3. Зона замера шума выхлопа дополнительно изолируется при помощи шумоизолирующего экрана 5. При измерении структурной составляющей шума глушителей 3 и 4 микрофоны 6 устанавливаются напротив середины каждого глушителя, в 0.25 м от его корпуса, перпендикулярно его поверхности, на высоте не менее 0.2 м от поверхности пола камеры. На поверхность пола под глушителями и микрофонами для уменьшения отражения звука от пола укладываются листы шумопоглощающего материала (не показаны). Зоны замера структурного шума дополнительно изолируются от шумового излучения двигателя и вращающихся передних колес при помощи шумопоглощающих экранов 5, закрепляемых под днищем АТС. Глушители между собой так же разделяются шумоизолирующими экранами 5. Для учета вклада в структурный шум глушителей «фона» от работающего двигателя (силового агрегата) и шума шин, проводятся замеры в нижней части мотоотсека при помощи «опорного» микрофона 7. Поправки для пересчета уровней звука других источников шума АТС в точки замеров структурного шума глушителей 3 и 4 определяются экспериментально, так как звуковое поле под днищем автомобиля нельзя считать свободным звуковым полем, а источники звука - точечными. Для этого проводятся замеры шума во всех точках установки микрофонов 6, как при замерах структурного шума глушителей 3 и 4, при неработающем двигателе и нейтральной передаче коробки передач АТС 1. Передние колеса АТС 1 приводятся во вращение при помощи управляемых стендом беговых барабанов 2 на режиме равномерного набора оборотов барабанов 2, соответствующем исследуемому диапазону оборотов коленвала двигателя. В данном случае шум, генерируемый в результате контакта вращающихся колес и поверхности беговых барабанов используется как источник широкополосного шума. Пример корректирующих поправок (ослабления звука при удалении от источника) представлен на диаграмме фиг. 2, из которой видно, что уровни шума, замеренные в точках оценки структурного шума двигателя, снижаются при достижении точки замера корпусного шума ДГ 4, в среднем на 16 дБ, а при достижении точки ОГ 3 - еще на 7 дБ. Эти значения и принимаются для расчета соответствующих корректирующих поправок. Таким образом, корректированный, с учетом фона, шум для ОГ 3 определяется по формуле: а для ДГ 4 по формуле: где Lк_ог - корректированный уровень корпусного шума основного глушителя; Lз_ог - замеренный уровень корпусного шума основного глушителя; Lк_дг - корректированный уровень корпусного шума дополнительного глушителя; Lз_дг - замеренный уровень корпусного шума дополнительного глушителя; Lз_дв - замеренный уровень корпусного шума двигателя. В результате стендовых испытаний СВОГ получаем уровни газодинамического шума выхлопа и структурного шума глушителей как функцию от оборотов коленвала двигателя. Для дорожных испытаний готовится испытательная площадка с мерным участком, который представляет собой горизонтальную прямолинейную поверхность с твердым и ровным покрытием, акустические характеристики которого позволяют в условиях свободного звукового поля исключить возникновение между источником звука и микрофоном шумовых помех, превышающих 1 дБ. Мерный участок обозначается на испытательной площадке линиями (фиг. 4): АА' - линией фиксации положения передней части 8 движущегося АТС 1; ВВ' - линией фиксации положения задней части 9 движущегося АТС 1; СС' - осевой линией, совпадающая с продольной осью движущегося АТС 1; РР' - линией, на которой расположены микрофоны 10, установленные с обеих сторон от линии СС' на расстоянии 7,5 м и направленные друг на друга на высоте 1,2 м над горизонтальной поверхностью. Общая длина мерного участка составляет 20 метров плюс габаритная длина АТС 1 за линией ВВ'. Линии АА' и ВВ' расположены соответственно на 10 м впереди и позади линии РР'. Измерительные приборы (микрофоны 10, тахометр для контроля оборотов коленвала двигателя (не показан), система GPS-GLONAS 11 для контроля скорости АТС и его положения на мерном участке) посредством высокоскоростного соединения, связаны с запоминающим устройством 12, и далее - с компьютером 13. Проводится серия измерений уровней шума АТС 1, в режиме разгона, при котором АТС 1 движется по прямой линии, по направлению к мерному участку, таким образом, чтобы плоскость продольного сечения АТС 1 находилась как можно ближе к линии СС'. В момент, когда передняя часть 8 АТС 1 пересекает линию АА', производится полное и максимально быстрое нажатие педали подачи топлива (не показана) до упора и удержание ее в этом положении до тех пор, пока задняя часть 9 АТС 1 не пересечет линию ВВ'. Одновременно с этим, на запоминающем устройстве 12 производят запись полученных значений, включающих значения оборотов коленвала двигателя АТС 1 и уровней шума с заданным шагом положения АТС 1 на мерном участке. Затем значения уровней каждого из источников шума СВОГ (структурного и газодинамического), полученные при стендовых испытаниях, пересчитываются в точку замера внешнего шума АТС 1 при дорожных испытаниях (по методике R51) и соотносятся со значениями оборотов коленвала двигателя АТС 1, зарегистрированными при движении в режиме разгона. Полученный результат корректируется с учетом поправки Δ (см. фиг. 3), определяющей зависимость изменения уровня шума от расстояния между источником шума и микрофонами 10 и рассчитываемой по формуле: где S - расстояние между источниками шума (глушителями и излучающим срезом выхлопной трубы) и микрофонной линией РР', м; 7.5 - расстояние от продольной линии СС' (оси АТС) до измерительных микрофонов, м. Таким образом, получают значения уровней шума каждого источника СВОГ с заданным шагом положения АТС на мерном участке на тех же оборотах коленвала двигателя, что и при заезде по мерному участку, причем как общие уровни шума, так и ⅓ октавные спектры. Достоинством заявляемого способа является то, что его использование позволяет получить достоверные показатели уровня шума СВОГ на нормируемых режимах движения в каждом положении АТС на мерном участке и соответственно определять и ранжировать долю вклада шума каждого из источников шума СВОГ в общий уровень внешнего шума АТС. Данный способ успешно апробирован при исследовании и доводке автомобилей в ПАО АВТОВАЗ.

