патент
№ RU 2475917
МПК H02J3/18

СИСТЕМА АВТОМАТИЧЕСКОЙ КОМПЕНСАЦИИ РЕАКТИВНОЙ МОЩНОСТИ И ОТКЛОНЕНИЯ НАПРЯЖЕНИЯ С ШИРОТНО-ИМПУЛЬСНОЙ МОДУЛЯЦИЕЙ НА ВЫСОКОЙ СТОРОНЕ ТРАНСФОРМАТОРНОЙ ПОДСТАНЦИИ

Авторы:
Парабин Виктор Александрович Гнедин Павел Александрович Реутов Борис Федорович
Все (5)
Номер заявки
2011152340/07
Дата подачи заявки
22.12.2011
Опубликовано
20.02.2013
Страна
RU
Как управлять
интеллектуальной собственностью
Чертежи 
1
Реферат

Использование: в области электротехники. Технический результат заключается в повышении качества напряжения и улучшении энергетических и массогабаритных показателей подстанций. Устройство содержит вольтодобавочный трансформатор, который включен на высокой стороне подстанции и управляется от преобразователя амплитуды и фазы напряжения с промежуточным звеном постоянного тока. Преобразователь получает питание от нагрузки. Дискретной ступенью компенсации реактивной мощности является батарея косинусных конденсаторов сети. При большой индуктивности RL-нагрузки инвертор работает с опережающей фазой, дополняя действие конденсаторов, а при малой индуктивности - с отстающей фазой, нейтрализуя действие дискретной ступенью. 2 ил.

Формула изобретения

Система автоматической компенсации реактивной мощности и отклонения напряжения с широтно-импульсной модуляцией на высокой стороне трансформаторной подстанции, в состав которой входит силовой трансформатор с вторичной обмоткой, подключенной к нагрузке, и входные зажимы с батареей косинусных конденсаторов, предназначенные для подключения к сети, содержащая вольтодобавочный трансформатор и преобразователь со звеном постоянного тока, в состав которого входит рекуперативный выпрямитель с системой управления, индуктивно-емкостный фильтр и инвертор напряжения с синхронизированной с сетью системой управления, а также датчик реактивной мощности сети и датчик отклонения напряжения нагрузки, при этом вторичная обмотка вольтодобавочного трансформатора через тиристорный преобразователь со звеном постоянного тока подключена к нагрузке, отличающаяся тем, что первичные обмотки силового и вольтодобавочного трансформаторов соединены последовательно и подключены к сети, выход датчика реактивной мощности сети подключен к управляющему входу системы управления инвертором, выполненной с широтно-импульсной модуляцией и возможностью изменения направления регулирования фазы выходного напряжения инвертора по знаку управляющего сигнала, выход датчика отклонения напряжения нагрузки подключен к управляющему входу системы управления активным выпрямителем, выполненной с широтно-импульсной модуляцией и ограничением минимального уровня выпрямленного напряжения, в звено постоянного тока включен датчик тока, выход которого подключен к дополнительному управляющему входу системы управления активным выпрямителем, кроме этого активный выпрямитель выполнен с регулированием фазы его входного тока в функции выпрямленного тока, при этом система управления активным выпрямителем выполнена с возможностью опережающего регулирования фазы его входного тока в выпрямительном режиме и отстающего регулирования в инверторном режиме.

Описание

[1]

Изобретение относится к электротехнике, в частности к системам электроснабжения, и может быть использовано при создании трансформаторных подстанций с высокой эффективностью потребления и использования электроэнергии и стабильным напряжением у потребителей.

[2]

Наиболее близкой по технической сущности к заявляемой является система автоматической компенсации реактивной мощности и отклонения напряжения трансформаторной подстанции (Патент РФ №2056692, ТРАНСФОРМАТОРНО-ТИРИСТОРНЫЙ КОМПЕНСАТОР РЕАКТИВНОЙ МОЩНОСТИ, Кл.6 H02J 3/18, 20.03.96), которая взята за прототип.

[3]

Известная система автоматической компенсации реактивной мощности и отклонения напряжения трансформаторной подстанции включена на низкой стороне силового трансформатора подстанции и содержит датчик реактивной мощности сети и датчик отклонения напряжения нагрузки, вольтодобавочный трансформатор и синхронизированный с сетью преобразователь амплитуды и фазы напряжения с промежуточным звеном постоянного тока и двухсторонним обменом энергии. В состав преобразователя входит реверсивный выпрямитель, индуктивно-емкостный фильтр и инвертор напряжения. Регулирование амплитуды напряжения вольтодобавки производится реверсивным выпрямителем, а регулирование фазы инвертором.

[4]

К недостаткам прототипа следует отнести низкие коэффициенты мощности и полезного действия силового трансформатора подстанции при повышенном напряжении в сети, большие искажения тока, потребляемого реверсивным выпрямителем из вторичной цепи подстанции, вызывающие дополнительные потери в силовом и вольтодобавочном трансформаторах и снижающие коэффициент мощности в первичной цепи подстанции, а также большой вес и габаритные размеры вольтодобавочного устройства, обусловленные тем, что для компенсации среднестатистической фазы тока нагрузки, примерно равной 30 градусов, мощностью вольтодобавочного трансформатора и преобразователя со звеном постоянного тока только в раз меньше мощности силового трансформатора подстанции. При включении вольтодобавочного трансформатора в цепь с большими токами нагрузки требуются соединительные шины и кабели большого сечения, что также можно отнести к недостаткам устройства при оценке его материалоемкости и массогабаритных показателей.

[5]

Задачей изобретения является улучшение энергетических и массогабаритных показателей подстанции и качества напряжения у потребителей. В результате решения поставленной задачи массогабаритные показатели устройства улучшаются более чем в 2 раза. Энергетические показатели подстанции повышаются на 25-30%.

[6]

Решение поставленной задачи достигается тем, что предложена система автоматической компенсации реактивной мощности и отклонения напряжения с широтно-импульсной модуляцией на высокой стороне трансформаторной подстанции, в состав которой входит силовой трансформатор со вторичной обмоткой, подключенной к нагрузке и входные зажимы с батареей косинусных конденсаторов, предназначенные для подключения к сети, содержащей вольтодобавочный трансформатор и преобразователь со звеном постоянного тока, в состав которого входит рекуперативный выпрямитель с системой управления, индуктивно-емкостный фильтр и инвертор напряжения с синхронизированной с сетью системой управления, а также датчик реактивной мощности сети и датчик отклонения напряжения нагрузки, при этом вторичная обмотка вольтодобавочного трансформатора через тиристорный преобразователь со звеном постоянного тока подключена к нагрузке, при этом первичные обмотки силового и вольтодобавочного трансформаторов соединены последовательно и подключены к сети, выход датчика реактивной мощности сети подключен к управляющему входу системы управления инвертором, выполненной с широтно-импульсной модуляцией и возможностью изменения направления регулирования фазы выходного напряжения инвертора по знаку управляющего сигнала, выход датчика отклонения напряжения нагрузки подключен к управляющему входу системы управления активным выпрямителем, выполненной с широтно-импульсной модуляцией и ограничением минимального уровня выпрямленного напряжения, в звено постоянного тока включен датчик тока, выход которого подключен к дополнительному управляющему входу системы управления активным выпрямителем, кроме этого активный выпрямитель выполнен с регулированием фазы его входного тока в функции выпрямленного тока, при этом система управления активным выпрямителем выполнена с возможностью опережающего регулирования фазы его входного тока в выпрямительном режиме и отстающего регулирования в инверторном режиме.

[7]

Преимуществом предлагаемого устройства является прежде всего то, что достигается полная компенсация реактивной мощности на входе трансформаторной подстанции. Кроме этого достигнуто повышение коэффициентов мощности и полезного действия силового трансформатора и коэффициента искажения входного тока подстанции.

[8]

В устройстве два источника реактивной мощности - нерегулируемый (батарея 11 косинусных конденсаторов) и регулируемый (вольтодобавочный трансформатор 2 с вентильным преобразователем для четырехквадрантного регулирования величины и фазы добавочного напряжения). Такое сочетание в устройстве дискретной и плавной ступеней компенсации позволяет при сохранении диапазона полной компенсации реактивной мощности уменьшить мощность вольтодобавочного трансформатора и тиристорного преобразователя в 2 раза.

[9]

Монтаж вольтодобавочного устройства не на низкой, а на высокой стороне трансформаторной подстанции также можно отнести к снижению затрат и улучшению массогабаритных показателей. В этом случае сокращение расхода электротехнических материалов (соединительных шин и кабелей) и снижение трудоемкости монтажных работ значительно перекрывает дополнительные капитальные вложения, связанные с введением в устройство дискретной ступени компенсации реактивной мощности.

[10]

Что касается массогабаритных показателей элементов собственно дискретной ступени (батареи косинусных конденсаторов), то они могут быть улучшены применением активного выпрямителя с опережающим (отстающим) регулированием входного тока активного выпрямителя в режиме вольтодобавки (вольтовычета). Этот способ регулирования амплитуды добавочного напряжения наиболее органично сочетается с предложенной силовой схемой предлагаемой системы автоматической компенсации реактивной мощности и отклонения напряжения трансформаторной подстанции.

[11]

Сущность предлагаемого устройства поясняется нижеследующим описанием с прилагаемым к нему чертежами, где на фиг.1 приведена схема вольтодобавочного устройства с амплитудно-фазовым и широтно-импульсным регулированием для компенсации реактивной мощности трансформаторной подстанции, а на фиг.2 - векторная диаграмма напряжений и токов предлагаемого устройства.

[12]

Устройство (фиг.1) содержит следующие элементы: 1 и 2 - силовой и вольтодобавочный трансформаторы; 3 - инвертор напряжения с системой управления 4; 5 - реверсивный выпрямитель с системой управления 6, 7 - индуктивно-емкостный фильтр; 8 - датчиком тока; 9 - датчики отклонения напряжения нагрузки; 10 - датчик реактивной мощности сети; 11 - батарею косинусных конденсаторов; 12 - нагрузку.

[13]

Элементы вольтодобавочного устройства согласно схеме (фиг.1) соединены следующим образом. Первичные обмотки силового 1 и вольтодобавочного 2 трансформаторов соединены последовательно и подключены к сети. Вторичная обмотка силового трансформатора 1 подключена к нагрузке 12, к которой также через реверсивный выпрямитель 5, индуктивно-емкостный фильтр 7 и инвертор напряжения 3 подключена вторичная обмотка вольтодобавочного трансформатора 2. Управляющий вход системы 6 управления реверсивным выпрямителем 5 подключен к выходу датчика 9 отклонения напряжения нагрузки 12, а управляющий вход системы 4 управления инвертором напряжения 3 к выходу датчика 10 реактивной мощности сети. Батарея 11 косинусных конденсаторов по необходимости подключается к зажимам сети.

[14]

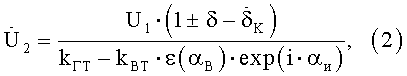
Устройство работает следующим образом. Преобразователь величины и фазы напряжения, выполненный на силовых интеллектуальных модулях, из напряжения нагрузки U2 формирует регулируемое напряжение , которое вольтодобавочным трансформатором 2 увеличивается в kBT раз и прибавляется к напряжению сети U1, образуя напряжение питания U1+kBT· силового трансформатора 1 и уменьшенное в kГТ раз напряжение нагрузки

[15]

[16]

Здесь kГТ и kBT - коэффициенты трансформации силового и вольтодобавочного трансформаторов; ε(αB) - степень регулирования напряжения; αB, αи - углы управления реверсивным выпрямителем и инвертором напряжения.

[17]

С учетом отклонений напряжения в сети ΔU1=δ·U1 и падение напряжения на трансформаторах

[18]

выражение (1)

[19]

запишется в виде

[20]

[21]

где δ - степень отклонения напряжения сети от номинального уровня; δК - относительное падение напряжения на трансформаторах.

[22]

Из выражения (2) и векторной диаграммы (фиг.2) видно, что вектор напряжения нагрузки регулируется по величине и фазе.

[23]

Регулирование амплитуды обеспечивает стабилизацию выходного напряжения подстанции.

[24]

Регулирование фазы вектора в сторону опережения при большой индуктивности RL - нагрузки и в сторону отставания при малых ее значениях в предположении для R-нагрузки (фиг.2) позволяет совместно батареей косинусных конденсаторов 11 обеспечить прямую полную компенсацию реактивной мощности на входных зажимах подстанции.

[25]

Эти действия производятся системой двухконтурного управления, построенной по принципу подчиненного регулирования. В устройстве регулирование αВ производится по отклонению напряжения на нагрузке, а регулирование величины и знака αИ по отклонению и направлению реактивной мощности сети. Причем при смене знака отклонение напряжения на нагрузке производится переключение αи на п-αи, а при смене направления реактивной мощности сети производится смена знака как у αИ, так и у п-αИ.

[26]

Наиболее целесообразной областью применения предлагаемого технического решения являются системы энергоснабжения промышленных предприятий, городских микрорайонов, предприятий агропромышленного и оборонного комплексов, тяговые подстанции электрофицированного транспорта.

Как компенсировать расходы
на инновационную разработку
Похожие патенты