патент
№ RU 2628851
МПК F02C7/00
Номер заявки
2016141780
Дата подачи заявки
25.10.2016
Опубликовано
22.08.2017
Страна
RU
Как управлять
интеллектуальной собственностью
Чертежи 
1
Реферат

Изобретение относится к энергетике. Газотурбинная установка, содержащая соединенные по ходу рабочего тела цикла Брайтона компрессор, камеру сгорания и турбину, выходной вал которой соединен с электрогенератором, статорные обмотки которого соединены с энергосистемой, дополнительно снабжена электрическим нагревателем и блоком питания электрического нагревателя, при этом электрический нагреватель расположен последовательно в контуре для нагрева рабочего тела цикла Брайтона, силовые входы электрического нагревателя соединены с силовыми выходами блока питания электрического нагревателя, силовой вход блока питания электрического нагревателя соединен с цепью статорной обмотки электрогенератора. Изобретение позволяет повысить надежность работы газотурбинной установки. 3 з.п. ф-лы, 1 ил.

Формула изобретения

1. Газотурбинная установка, содержащая соединенные по ходу рабочего тела цикла Брайтона компрессор, камеру сгорания и турбину, выходной вал которой соединен с электрогенератором, статорные обмотки которого соединены с энергосистемой, отличающаяся тем, что она снабжена электрическим нагревателем и блоком питания электрического нагревателя, при этом электрический нагреватель расположен последовательно в контуре для нагрева рабочего тела цикла Брайтона, силовые входы электрического нагревателя соединены с силовыми выходами блока питания электрического нагревателя, силовой вход блока питания электрического нагревателя соединен с цепью статорной обмотки электрогенератора.

2. Газотурбинная установка по п. 1, содержащая регенеративный теплообменник, отличающаяся тем, что электрический нагреватель расположен последовательно в контуре для нагрева рабочего тела цикла Брайтона после регенеративного теплообменника перед камерой сгорания.

3. Газотурбинная установка по п. 1 или 2, отличающаяся тем, что она снабжена регулятором дополнительного нагрева рабочего тела контура, задатчиком мощности дополнительного нагрева рабочего тела контура, датчиком мощности силового входа блока питания электрического нагревателя, блоком регулирования расхода топлива, регулятором мощности электрогенератора, задатчиком мощности электрогенератора, датчиком мощности электрогенератора, при этом управляющий вход блока питания электрического нагревателя соединен с выходом регулятора дополнительного нагрева рабочего тела контура, кроме того выход этого регулятора соединен с первым входом регулятора мощности электрогенератора, первый вход регулятора дополнительного нагрева рабочего тела контура соединен с датчиком мощности силового входа блока питания электрического нагревателя, второй вход регулятора соединен с задатчиком мощности дополнительного нагрева рабочего тела контура, второй вход регулятора мощности электрогенератора соединен с выходом задатчика мощности электрогенератора, а третий вход регулятора мощности электрогенератора соединен с выходом датчика мощности электрогенератора, выход регулятора соединен с входом блока регулирования расхода топлива, выход которого соединен с управляющим входом камеры сгорания.

4. Газотурбинная установка по одному из пп. 1- 3, содержащая выключатель в статорной цепи электрогенератора, отличающаяся тем, что выключатель снабжен датчиком положения выключателя, выход которого соединен с входом задатчика мощности дополнительного нагрева рабочего тела контура.

Описание

[1]

Предлагаемая газотурбинная установка относится к области электроэнергетики и может быть использована на газотурбинных (ГТУ) и парогазовых (ПТУ) установках тепловых электрических станций (ТЭС).

[2]

Известен аналог - газотурбинная установка (Цанев С.В. Газотурбинные и парогазовые установки тепловых электростанций / С.В. Цанев, В.Д. Буров, А.Н. Ремезов. - М.: Изд-во МЭИ, 2002), содержащая соединенные по ходу рабочего тела цикла Брайтона компрессор, камеру сгорания и турбину, выходной вал которой соединен с электрогенератором со статорными обмотками, соединенными с энергосистемой. При этом ГТУ выполнена с использованием регенерации тепла уходящих газов ГТУ или без регенерации.

[3]

Недостатком устройства-аналога является то, что он не обеспечивает соответствия вырабатываемой электрической мощности внешней переменной нагрузке согласно графику нагрузки энергосистемы из-за термической инертности первичного источника энергии - ГТУ. Быстрые колебания внешней переменной нагрузки требуют столь быстрых же колебаний температурного режима элементов ГТУ, что вызывает деградацию установки, что в свою очередь снижает ее срок эксплуатации.

[4]

Известен прототип - газотурбинная установка (патент РФ №2224901, F02C 7/10, авторы Степанов А.Ю., Ануров Ю.М., Сударев Б.В., Тараканов А.Б., Ширманов В.М., публикация 27.02.2004), содержащая соединенные по ходу рабочего тела цикла Брайтона компрессор, камеру сгорания и турбину, выходной вал которой соединен с электрогенератором со статорными обмотками, соединенными с энергосистемой. При этом ГТУ выполнен с использованием регенерации тепла уходящих газов.

[5]

Так как устройство-прототип по сути аналогичен устройству-аналогу, то недостатки устройства-прототипа те же, т.е., оно не обеспечивает соответствия вырабатываемой электрической мощности внешней переменной нагрузке согласно графику нагрузки энергосистемы из-за термической инертности первичного источника энергии - ГТУ. Быстрые колебания внешней переменной нагрузки требуют столь быстрых же колебаний температурного режима элементов ГТУ, что вызывает деградацию установки, что в свою очередь снижает ее срок эксплуатации.

[6]

Техническая задача заключается в повышении маневренности установки при ее упрощении в целом и, как следствие, повышении надежности и увеличении сроков эксплуатации газотурбинной установки.

[7]

Технический эффект, используемый при решении технической задачи, состоит в сохранении неизменными параметров цикла Брайтона газотурбинной установки при любых нормальных и аварийных режимах в энергосистеме и достигается тем, что известная газотурбинная установка, содержащая соединенные по ходу рабочего тела цикла Брайтона компрессор, камеру сгорания и турбину, выходной вал которой соединен с электрогенератором, статорные обмотки которого соединены с энергосистемой, дополнительно снабжена электрическим нагревателем и блоком питания электрического нагревателя, при этом электрический нагреватель расположен последовательно в контуре для нагрева рабочего тела цикла Брайтона, силовые входы электрического нагревателя соединены с силовыми выходами блока питания электрического нагревателя, силовой вход блока питания электрического нагревателя соединен с цепью статорной обмотки электрогенератора.

[8]

Кроме того, в газотурбинной установке, содержащей регенеративный теплообменник, электрический нагреватель расположен последовательно в контуре для нагрева рабочего тела цикла Брайтона после регенеративного теплообменника перед камерой сгорания.

[9]

Кроме того, газотурбинная установка снабжена регулятором дополнительного нагрева рабочего тела контура, задатчиком мощности дополнительного нагрева рабочего тела контура, датчиком мощности силового входа блока питания электрического нагревателя, блоком регулирования расхода топлива, регулятором мощности электрогенератора, задатчиком мощности электрогенератора, датчиком мощности электрогенератора, при этом управляющий вход блока питания электрического нагревателя соединен с выходом регулятора дополнительного нагрева рабочего тела контура, кроме того выход этого регулятора соединен с первым входом регулятора мощности электрогенератора, первый вход регулятора дополнительного нагрева рабочего тела контура соединен с датчиком мощности силового входа блока питания электрического нагревателя, второй вход регулятора соединен с задатчиком мощности дополнительного нагрева рабочего тела контура, второй вход регулятора мощности электрогенератора соединен с выходом задатчика мощности электрогенератора, а третий вход регулятора мощности электрогенератора соединен с выходом датчика мощности электрогенератора, выход регулятора соединен с входом блока регулирования расхода топлива, выход которого соединен с управляющим входом камеры сгорания.

[10]

Кроме того, в газотурбинной установке, содержащей выключатель в статорной цепи электрогенератора, выключатель снабжен датчиком положения выключателя, выход которого соединен с входом задатчика мощности дополнительного нагрева рабочего тела контура.

[11]

Предлагаемое устройство схематично представлено на Фиг. 1.

[12]

На Фиг. 1 представлена упрощенная схема газотурбинной установки электрической станции, содержащей контур рабочего тела цикла Брайтона, при включении электрического нагревателя последовательно в контур для нагрева рабочего тела цикла Брайтона после регенеративного теплообменника перед камерой сгорания.

[13]

Согласно Фиг. 1 газотурбинная установка, содержащая соединенные по ходу рабочего тела цикла Брайтона компрессор 1, камеру сгорания 2 и турбину 3, выходной вал которой соединен с электрогенератором 4, статорные обмотки которого соединены с энергосистемой 5, дополнительно снабжена электрическим нагревателем 6 и блоком 7 питания электрического нагревателя, при этом электрический нагреватель 6 расположен последовательно в контуре для нагрева рабочего тела цикла Брайтона, силовые входы электрического нагревателя 6 соединены с силовыми выходами блока 7 питания электрического нагревателя, силовой вход блока 7 питания электрического нагревателя соединен с цепью статорной обмотки электрогенератора 4.

[14]

Электрический нагреватель 6 выполнен, например, в виде выпускаемых в мире карбидкремниевых нагревателей, представляющий собой набор цилиндрических стержней сплошного (тип КЭН Б по ГОСТ 16139-76) или трубчатого (КЭН В) сечения диаметром 4-110 мм, длиной рабочей теплоизлучающей части от 60 до 2440 мм и общей длиной нагревателя до 3280 мм (Полонский Ю.А., Захаренков В.К. Карбидкремневые электронагреватели для электрических печей сопротивления. Известия Академии Наук, Энергетика. 1999. №3, стр. 119-127). / Для подвода тока к нагревателям с помощью металлических гибких шин их "холодные" концы выполняются из материалов, имеющих удельное электрическое сопротивление в 10-100 раз меньше, чем сопротивление рабочей части. Блок питания 7 может быть выполнен в виде переключателя, применяемого в трансформаторах с регулированием напряжения под нагрузкой (РПН) (Вольдек А.И. Электрические машины. Учебник для студентов высш. техн. учебн. заведений. Изд. 2-е, перераб. и доп. Л., "Энергия", 1974. стр. 307-308), в виде регулируемого выпрямителя (Розанов Ю.К. Силовая электроника: учебник для вузов / Ю.К Розанов, М.В. Рябчицкий, А.А. Квасюк. 2-е изд., стереотипное. - М.: Издательский дом МЭИ. 2009. - 632.: ил., стр. 210-261) или в виде трехфазного тиристорного регулятора (там же, стр. 293-295).

[15]

В газотурбинной установке, содержащей регенеративный теплообменник 8, электрический нагреватель 6 расположен последовательно в контуре для нагрева рабочего тела цикла Брайтона после регенеративного теплообменника 8 перед камерой сгорания 2. Следует отметить, что при применении ГТУ в составе ПТУ регенеративный теплообменник 8 не нужен, так как отходящие газы после газовой турбины поступаю в котел-утилизатор (см. раздел "Парогазовые установки с котлом-утилизатором" в книге: Цанев С.В. Газотурбинные и парогазовые установки тепловых электростанций / С.В. Цанев, В.Д. Буров, А.Н. Ремезов. - М.: Изд-во МЭИ, 2002).

[16]

Газотурбинная установка снабжена регулятором 9 дополнительного нагрева рабочего тела контура (выполненного, например, в виде регулятора пропорционального или пропорционально-интегрального типа), задатчиком 10 мощности дополнительного нагрева рабочего тела контура (выполненного, например, в виде источника постоянного сигнала), датчиком 11 мощности силового входа блока питания электрического нагревателя 6, блоком 12 регулирования расхода топлива, регулятором 13 мощности электрогенератора, задатчиком 14 мощности электрогенератора, датчиком 15 мощности электрогенератора, при этом управляющий вход блока 7 питания электрического нагревателя 6 соединен с выходом регулятора 9 дополнительного нагрева рабочего тела контура, кроме того выход этого регулятора 9 соединен с первым входом регулятора 13 мощности электрогенератора, первый вход регулятора 9 дополнительного нагрева рабочего тела контура соединен с датчиком 11 мощности силового входа блока питания 7 электрического нагревателя 6, второй вход регулятора 9 соединен с задатчиком 10 мощности дополнительного нагрева рабочего тела контура, второй вход регулятора 13 мощности электрогенератора соединен с выходом задатчика 14 мощности электрогенератора, а третий вход регулятора 13 мощности электрогенератора соединен с выходом датчика 15 мощности электрогенератора, выход регулятора 13 соединен с входом блока 12 регулирования расхода топлива, выход которого соединен с управляющим входом камеры сгорания 2.

[17]

Кроме того, в газотурбинной установке, содержащей выключатель 16 в статорной цепи электрогенератора 4, выключатель 16 снабжен датчиком 17 положения выключателя, выход которого соединен с входом задатчика 10 мощности дополнительного нагрева рабочего тела контура.

[18]

Рассмотрим три режима работы газотурбинной установки по Фиг. 1.

[19]

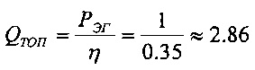
Первый режим - нормальный, например номинальный, при котором выключатель 16 находится во включенном состоянии и ГТУ работает на энергосистему 5. Примем, что электрогенератор 4 работает с cosϕ=1. Соответственно в относительных единицах мощность электрогенератора 4 составляет ту же величину, т.е. РЭГ=cosϕ=1. Мощность электрического нагревателя 6 нулевая, т.е. ΔРЭН=0. Примем также, что КПД всей ГТУ составляет η=0.35. Тогда полный секундный расход топлива (т.е. полная тепловая мощность, которую развивает топливо при сгорании) при этом в относительных единицах составляет . Очевидно, что нормальный секундный перерасход топлива (из-за η=0.35) в относительных единицах составляет ΔQ=QТОПЭГ=2.86-1=1.86. Эта мощность с отходящими газами сбрасывается или в регенеративный теплообменник 8 или в котел-утилизатор (на Фиг. 1 не показан).

[20]

Второй режим - аварийный. Предположим, в энергосистеме 5 произошла какая-то авария, при которой выключатель 16 был переведен в выключенное состояние. При этом датчик 17 положения выключателя 16 формирует сигнал о выключенном состоянии выключателя 16. Этот сигнал поступает на вход задатчика 10 мощности дополнительного нагрева рабочего тела контура, который формирует сигнал, поступающий на второй вход регулятора 9 дополнительного нагрева рабочего тела контура. Одновременно на первый вход регулятора 9 дополнительного нагрева рабочего тела контура поступает сигнал с датчика 11 мощности силового входа блока 7 питания нагревателя. По этим двум сигналам регулятор 9 дополнительного нагрева рабочего тела контура включает блок 7 питания нагревателя на полную мощность электрогенератора 4, что, соответственно в относительных единицах, составляет ту же доаварийную величину РЭГ=cosϕ=1. При этом мощность дополнительного нагрева рабочего тела контура (газа) электрическим нагревателем 6 равна ΔРЭНЭГ=1. Одновременно по сигналу регулятора 9 блок 12 регулирования расхода топлива, выход которого соединен с управляющим входом камеры 2 сгорания, снижает секундный расход топлива на ту же величину и реальный расход топлива в этом режиме составляет ΔQТОП=QТОПЭГ=2.86-1=1.86. Очевидно, экономия секундного расхода топлива составляет ΔРЭНЭГ=1.

[21]

В таком экономичном режиме теплосиловая установка может работать сколь угодно долго вплоть до восстановления нормального режима энергосистемы при сохранении неизменными (по температуре, давлению и расходу) параметров цикла Брайтона ГТУ. При восстановлении нормального режима энергосистемы 5, т.е. при включении выключателя 16 ГТУ сразу же на себя возьмет всю номинальную нагрузку, т.к. не требуется время на разогрев устройства. Очевидно, предложение позволяет исключить возможность полного "погасания" электростанций при тяжелых, аварийных потерях устойчивости в энергосистеме, как это было, например, в энергосистемах США, в частности аварии в Нью-Йоркской системе 9.11.1965 г., когда 2/3 США полностью "погасло" на несколько суток (Веников В.А. Переходные электромеханические процессы в электрических системах. Изд. 2-е, переработ. и доп. Учебник для электроэнергетич. специальностей вузов. М., "Высшая школа". 1970., стр. 462). В принципе, сюда же можно отнести особые нормальные отключения электростанций в соответствии с графиком нагрузки энергосистемы на субботние, воскресные и праздничные дни.

[22]

Третий режим - любой между указанными выше двумя режимами. Такие режимы возникают в энергосистемах ежесуточно в периоды ночных провалов графиков нагрузки. Например, оператор задает с помощью задатчика 14 какую-то мощность электрогенератора 4. Затем оператор в пределах этой мощности с помощью задатчика 10 задает мощность дополнительного нагрева рабочего тела контура. В остальном устройство работает аналогично вышеописанному.

[23]

Изобретение позволяет сохранить неизменными параметры цикла Брайтона газотурбинной установки при любых нормальных и аварийных режимах в энергосистеме, что, как следствие, повышает надежность работы ГТУ и ПТУ. При этом нет необходимости в использовании резервного источника энергии, наравне с дизельным генератором, при аварийном обесточивании станции. Высокая маневренность ГТУ позволяет использовать ее и для регулирования частоты в энергосистеме. Упрощение теплосиловой установки в целом сокращает сроки ее окупаемости.

Как компенсировать расходы
на инновационную разработку
Похожие патенты