патент
№ RU 2567402
МПК G01N30/00

СПОСОБ ОПРЕДЕЛЕНИЯ ИЗОТЕРМ СОРБЦИИ ГАЗОВ И ПАРОВ В МЕМБРАННЫХ МАТЕРИАЛАХ И УСТРОЙСТВО ДЛЯ ЕГО ОСУЩЕСТВЛЕНИЯ

Авторы:
Нижегородова Юлия Александровна Белов Николай Александрович Ямпольский Юрий Павлович
Все (4)
Номер заявки
2013154291/28
Дата подачи заявки
06.12.2013
Опубликовано
10.11.2015
Страна
RU
Как управлять
интеллектуальной собственностью
Чертежи 
2
Реферат

Изобретение относится к области определения сорбционных характеристик веществ, а именно к способам измерения величины сорбции и построения изотерм сорбции газа (пара) в различных мембранных материалах. Для определения изотерм сорбции газов и паров в мембранных материалах предварительно определяют количество газа (пара) в газовой фазе сорбционного объема. Далее проводят сорбцию газа (пара) мембранным материалом при заданном парциальном давлении газа (пара) до полного насыщения им мембранного материала и десорбцию газа (пара) потоком газа-носителя в хроматографический детектор. Сорбцию и десорбцию осуществляют в изотермических условиях в хроматографической петле, присоединенной к крану-дозатору. Используя полученную хроматограмму, рассчитывают количество сорбированного газа (пара), моль, по формулам:, V=V+V,, где, моль, - суммарное количество газа или пара в сорбционном объеме, определяемое из площади пика хроматограммы,- количество газа или пара, находящееся в пустом объеме Vпетли, заполненной мембранным материалом, и определяемое по уравнению состояния газа или пара, V, см, - суммарный сорбционный объем, рассчитываемый по уравнению состояния газа или пара из предварительного определенного количества газа или пара в газовой фазе сорбционного объема, V, см, - объем мембранного материала, m, г, - масса мембранного материала в сорбционном объеме, ρ, г/см, - плотность мембранного материала. Устройство для осуществления данного способа состоит из блока подготовки газов или паров, блока детектирования - детектора газового хроматографа и блока проведения сорбции-десорбции, выполненного в виде хроматографической петли,

Формула изобретения

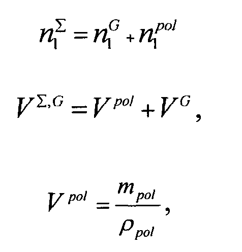
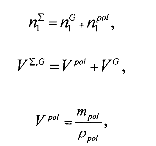
1. Способ определения изотерм сорбции газов и паров в мембранных материалах, включающий предварительное определение количества газа или пара в газовой фазе сорбционного объема, сорбцию газа или пара помещенным в сорбционный объем мембранным материалом с поддержанием заданного парциального давления газа или пара до полного насыщения мембранного материала газом или паром, десорбцию газа или пара путем сдувки его потоком газа-носителя в хроматографический детектор, расчет количества газа или пара, сорбированного мембранным материалом, с использованием полученной хроматограммы и повторение указанных операций при различных парциальных давлениях с получением изотерм сорбции газа или пара, отличающийся тем, что указанную сорбцию и десорбцию осуществляют в изотермических условиях в хроматографической петле, присоединенной к крану-дозатору, расчет количества сорбированного газа или пара n1pol, моль, осуществляют по формулам:

где n1, моль, - суммарное количество газа или пара в сорбционном объеме с мембранным материалом, определяемое из площади пика хроматограммы, n1G - количество газа или пара, находящееся в пустом объеме VG петли, заполненной мембранным материалом, и определяемое по уравнению состояния газа или пара, VΣ,G, см3, - суммарный сорбционный объем, рассчитываемый по уравнению состояния газа или пара из предварительного определенного количества газа или пара в газовой фазе сорбционного объема, Vpol, см3, - объем мембранного материала, mpol, г, - масса мембранного материала в сорбционном объеме, ρpol, г/см3, - плотность мембранного материала.

2. Устройство для определения изотерм сорбции газов и паров, состоящее из блока подготовки газов или паров, блока детектирования - детектора газового хроматографа и блока проведения сорбции-десорбции, отличающееся тем, что для осуществления способа по п.1 блок проведения сорбции-десорбции выполнен в виде хроматографической петли, присоединенной к шестиходовому крану-дозатору, выполненному с возможностью переключения в положение для сорбции газа или пара в мембранном материале и в положение для десорбции газа или пара потоком газа-носителя в блок детектирования.

Описание

[1]

Изобретение относится к области определения сорбционных характеристик веществ, а именно к способам измерения величины сорбции и построения изотерм сорбции газа (пара) в различных мембранных материалах.

[2]

Известны способы определения величины сорбции при некотором давлении сорбата или изотерм сорбции газов, т.е. зависимостей величин сорбции от давления сорбата. Первый из них, так называемый «pressure-decay method», осуществляется двумя способами: с использованием одного манометра и одного сорбционного калиброванного объема [1] или двух манометров и двух объемов (сорбционного и калибровочного) [2]. Первый способ, описанный в работе Лундберга и др. [1], отличается исключительной простотой проведения эксперимента, в ходе которого емкость известного объема с содержащимся сорбентом заполняется газом-сорбатом (до необходимого давления). Со временем, в результате сорбции газа, данное давление уменьшается до некоторого равновесного давления, которое фиксируется манометром, присоединенным к емкости, и в дальнейшем используется для расчетов величины сорбции. Недостатком данного метода является сложность оценки исходного количества газа (пара), введенного в сорбционный объем, вследствие продолжительного установления исходного давления в сорбционной системе. За время установления равновесия часть газа (пара) сорбируется в сорбенте, что препятствует точной оценки исходного количества газа (пара). Второй способ, описанный в работе Короса и Пола [2], позволил избавиться от этого вышеуказанного недостатка путем введения в газовую схему прибора второго калибровочного (известного) объема, а также датчика давления, с помощью которых и происходит определение исходного количества газа (пара), вводимого впоследствии в емкость с сорбентом.

[3]

Общим недостатком этих методов является их неудовлетворительная точность для определения величины сорбции при пониженных давлениях (менее 1 атм), большой размер образца и сложность используемой аппаратуры.

[4]

Известен другой способ определения изотерм сорбции [3]. Он основан на изотермической сорбции газа (пара) на/в сорбенте с последующей термической десорбцией в динамическом режиме, причем содержание сорбата в потоке газа-носителя (гелия) определяется на катарометре с использованием моста Уинстона (детекторе по теплопроводности (ДТП)) в газовых хроматографах. На первом этапе измерения для получения парциальных давлений сорбата (исследуемого газа, сорбированного в мембранном материале) ниже атмосферного в потоке газа-носителя формируется газовая смесь, которая продувается через сорбент, находящийся в блоке адсорбера при определенной температуре. Таким образом, в изотермических условиях происходит сорбция исследуемого газа на/в сорбенте. Выходящий из адсорбера поток газовой смеси попадает в ДТП, сигнал которого пропорционален содержанию сорбата в потоке. Временная зависимость этого сигнала определяет базовую линию детектора. На втором этапе температура в адсорбере повышается до определенного уровня, при котором концентрацию сорбата на/в сорбенте можно считать близкой к нулю (или на несколько порядков меньше, чем та, что была при изучаемой температуре). При этом сорбционное равновесие постепенно смещается в сторону десорбции газа (пара), что вызывает повышение концентрации сорбата в отходящем потоке. На хроматограмме (т.е. на временной зависимости сигнала детектора) появляется характерный хроматографический пик, площадь которого (за вычетом площади базовой линии) соответствует суммарному количеству десорбированного газа или, другими словами, количеству сорбата, содержавшемуся на/в сорбенте при температуре сорбции.

[5]

Для реализации этого способа используют устройство, в котором можно выделить блок подготовки газов, включающий дозаторы исследуемого газа и гелия и смесители потоков исследуемого газа и гелия, блок сорбции-десорбции и детектор, основанный на отличии теплопроводности в виде моста Уинстона, содержащего одно активное плечо - измерительную ячейку диффузионного типа с постоянной температурой чувствительного элемента - и три пассивных плеча (катарометр).

[6]

Данные способ и устройство по совокупности технических признаков и достигаемому техническому результату являются наиболее близкими к предложенному изобретению и могут быть выбраны в качестве наиболее близкого аналога (прототипа).

[7]

Основной недостаток данного способа и устройства заключается в том, что для его осуществления необходимо проводить циклы нагрева-охлаждения, которые могут изменять сорбционные свойства многих мембранных материалов; в связи с этим имеет место как усложнение эксперимента и самого устройства.

[8]

Задача изобретения заключается в разработке способа определения изотерм сорбции, в котором устранен этот недостаток, применимого при исследовании мембранных материалов, позволяющего работать с малыми образцами (от 50 мг), при пониженных давлениях газов, а также упрощении способа и устройства.

[9]

Решение поставленной задачи достигается способом определения изотерм сорбции газов и паров в мембранных материалах, включающим предварительное определение количества газа или пара в газовой фазе сорбционного объема, сорбцию газа или пара помещенным в сорбционный объем мембранным материалом с поддержанием заданного парциального давления газа или пара до полного насыщения мембранного материала газом или паром, десорбцию газа или пара путем сдувки его потоком газа-носителя в хроматографический детектор, расчет количества газа или пара, сорбированного мембранным материалом с использованием полученной хроматограммы и повторение указанных операций при различных парциальных давлениях с получением изотерм сорбции газа или пара, в котором указанную сорбцию и десорбцию осуществляют в изотермических условиях в хроматографической петле, присоединенной к крану-дозатору, расчет количества сорбированного газа или пара n1pol, моль осуществляют по формулам:

[10]

[11]

где n1, моль, - суммарное количество газа или пара в сорбционном объеме, определяемое из площади пика хроматограммы, n1G - количество газа или пара, находящееся в пустом объеме VG петли, заполненной мембранным материалом, и определяемое по уравнению состояния газа или пара, VΣ,G, см3, - суммарный сорбционный объем, рассчитываемый по уравнению состояния газа или пара из предварительного определенного количества газа или пара в газовой фазе сорбционного объема, Vpol, см3, - объем мембранного материала, mpol, г, - масса мембранного материала в сорбционном объеме, ρpol, г/см3, - плотность мембранного материала.

[12]

Для решения поставленной задачи предложено устройство для осуществления данного способа, состоящее из блока подготовки газов или паров, блока детектирования - детектора газового хроматографа и блока проведения сорбции-десорбции, выполненного в виде хроматографической петли, присоединенной к шестиходовому крану-дозатору. Кран выполнен с возможностью переключения в положение для сорбции газа или пара в мембранном материале и в положение для десорбции газа или пара потоком газа-носителя в блок детектирования.

[13]

Предложенный способ определения изотерм сорбции или величины сорбции газов и паров в мембранных материалах базируется на определении количества газа (пара), десорбированного из предварительно насыщенного им мембранного материала.

[14]

Предлагаемый способ позволяет усовершенствовать оба известных подхода путем насыщения мембранного материала (до состояния равновесия системы газ - исследуемый материал) в среде газа и детектирования количества сорбата изотермической десорбцией в хроматографический детектор. Данный метод осуществляется в несколько этапов. На первом этапе измеряется количество газа n1,G, которое помещается в объеме петли без исследуемого материала, для оценки ее «пустого» объема VΣ,G. Эта процедура может проводиться при различных парциальных давлениях р1 исследуемого газа. Объем VΣ,G, являющийся суммой объема петли и подсоединений, определяется по уравнению Клапейрона-Менделеева:

[15]

[16]

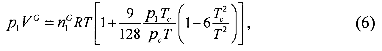
где R, Дж/(моль·К), - универсальная газовая постоянная, Т, К, - температура, при которой проводится процесс сорбции. В случае паров следует использовать уравнение состояния реальных газов [4].

[17]

На втором этапе мембранный материал известной массы mpol помещается в петлю, через которую до полного насыщения образца продувается исследуемый газ с известным парциальным давлением p1. Затем данный газ десорбируется газом-носителем в хроматографический детектор для определения суммарного количества газа n1 (фиг.1), находящегося в сорбционном объеме (петле), в том числе и количества газа n1pol, сорбированного в полимере.

[18]

[19]

где n1G - количество газа, находящееся в пустом объеме VG петли, или другими словами, в газовой фазе сорбционного объема.

[20]

Третий этап измерений заключается в оценке количества газа n1G, исходя из того, что суммарный сорбционный объем VΣ,G определяется выражением

[21]

[22]

где объем Vpol помещенного в петлю мембранного материала рассчитывается по уравнению

[23]

[24]

Здесь mpol - масса мембранного материала в сорбционном пространстве (петле), ρpol - плотность этого материала.

[25]

На основе уравнений (3) и (4) можно рассчитать количество газа в пустом объеме сорбционного пространства

[26]

[27]

Для пара и для газов при давлениях выше 1 атм следует применять любое из имеющихся уравнений состояния реального газа [4]. Наиболее удобным при расчетах оказывается уравнение Бертло [5, С.24].

[28]

[29]

где Tc, К, и рс, атм, - критические температура и давление рассматриваемого газа (пара).

[30]

Исходя из полученных данных о количестве сорбированного газа n1pol при различных его парциальных давлениях, можно построить изотерму сорбции газа и на ее основе рассчитать коэффициент растворимости газа в мембранном материале.

[31]

Измерения проводят на установке, схема которой представлена на фиг.2, где 1, 3 - баллоны с газом-носителем, 2, 4, 7 - краны регулирования потока газа, 5, 8 - 3-ходовые краны, 6 - баллон с исследуемым газом, 9 - хроматографическая колонка с твердым носителем, 10 - манометр для измерения давления на входе в колонку, 11 - шестиходовой кран, 12 - петля с исследуемым мембранным материалом, 13 - двухходовой кран, 14 - рабочая колонка, 15 - колонка сравнения, 16 - хромато графический детектор по теплопроводности, 17 - термостат.

[32]

Она состоит из трех основных блоков:

[33]

- блок подготовки газов (1-10);

[34]

- блок проведения сорбции-десорбции (11-13);

[35]

- блок детектирования (14-17).

[36]

Блок подготовки газов служит для задания необходимого парциального давления исследуемого газа (от 0.05 до 3.0 атм). Парциальное давление газа, равное атмосферному, создается потоком чистого газа, парциальное давление ниже атмосферного - путем разбавления исследуемого газа газом-носителем при атмосферном давлении с помощью кранов тонкой регулировки 4 и 7, парциальное давление выше атмосферного задается напуском чистого газа в петлю, выход которой изолирован краном 13 от атмосферы.

[37]

Блок детектирования представляет собой детектор газового хроматографа Кристаллюкс-4000М с ДТП. Исследуемый поток, выходящий из канала 2 крана-дозатора, поступает на его рабочую колонку 14, в то время как в колонке сравнения 15 устанавливается поток газа-носителя. На схеме обозначены и рабочая колонка, и колонка сравнения, которые могут не заполняться сорбентом, а служат лишь газотранспортными линиями.

[38]

Блок сорбции-десорбции - это хроматографическая петля, присоединенная к шестиходовому крану-дозатору 11 таким образом, чтобы обеспечивались два режима работы крана-дозатора согласно подсоединениям, приведенным на фиг.2. В процессе измерений в качестве петли применялись медная и стальная трубки длиной 50-120 мм и внутренним диаметром 2 мм.

[39]

Из газового баллона 1 с редуктором через кран 2 газ-носитель подают на вход 1 крана-дозатора, при положении I (соединены входы 1-2, 3-4, 5-6) которого газ-носитель проходит через петлю 12 (выход 6 и вход 3 на кране-дозаторе) и выходит из выхода 2, а при положении II (соединены входы 2-3, 4-5, 6-1) газ-носитель выходит напрямую из выхода 2; затем направляется через рабочую колонку 14 в хроматографический детектор 16.

[40]

Из газового баллона 6 исследуемый газ (сорбат) через кран 4, трехходовой кран 5, трубку 9 подают на вход 5 крана-дозатора 11. В положении I исследуемый газ проходит через петлю 12 (выход 6 и вход 3) и из выхода 4 попадает на кран 13 и далее в атмосферу. Давление выше 1 атм в петле устанавливается редуктором газового баллона 3 по манометру 10 при закрытом кране 13. При положении II крана-дозатора 11 вход 5 на кране-дозаторе напрямую соединяется с выходом 4. Кран 5 имеет два положения, в первом - соединены входы 1 и 2, а выход 3 изолирован, в другом - соединены входы 1 и 3, выход 2 изолирован. Аналогичным образом функционирует трехходовой кран 8.

[41]

Газовая линия из баллона 3 служит для получения парциальных давлений (ниже 1 атм) исследуемого газа в потоке путем смешения потоков газа-носителя и исследуемого газа из баллона 6 в хроматографической колонке 9. Требуемое давление устанавливают соответствующим отношением потоков. Для этого газ-носитель из баллона 3 поступает через кран 7 и трехходовой кран в атмосферу для установления необходимой объемной скорости потока (измерение объемной скорости потока происходит пенным расходомером, на рисунке не показан). Аналогичным образом краном 4 устанавливают требуемый поток исследуемого газа из баллона 6 через трехходовой кран 5 в атмосферу. После формирования требуемых объемных скоростей потоки исследуемого газа и газа-носителя смешивают в хроматографической колонке 9 поворотом трехходовых кранов 5 и 8. Потоком газа-носителя исследуемый газ выносится в рабочую колонку 14. Линия газа-носителя в колонку сравнения 15 не показана на рисунке. Детектор 16 регистрирует теплопроводность проходящего потока. Термостат 77 служит для поддержания изотермических условий.

[42]

Далее проводят те же манипуляции для случая исследуемого газа, с учетом того, что кран 13 открыт на атмосферу.

[43]

Примеры 1-4.

[44]

С целью верификации данных, получаемых предложенным методом, были измерены изотермы сорбции постоянных газов (азот, кислород, углекислый газ, метан) в поливинилтриметилсилане (ПВТМС), полимере, хорошо изученным ранее [6]. ПВТМС является аморфным полимером и отличается средним уровнем газопроницаемости (коэффициент проницаемости Р кислорода составляет около 40 Баррер).

[45]

Таблица 1
Изотермы сорбции газов в ПВТМС
N2 (27°C)О2 (27°С)CO2 (22°С)CH4
pсpсpсpс
2.53±0.061.05±0.102.4±0.11.20±0.201.01±0.052.2±0.31.01±0.061.38±0.23
2.09±0.050.87±0.092.0±0.11.00±0.150.75±0.041.6±0.20.76±0.051.04±0.18
1.72±0.040.71±0.071.78±0.090.88±0.130.50±0.031.1±0.20.50±0.040.70±0.15
1.40±0.030.57±0.061.36±0.070.67±0.110.25±0.030.5±0.10.25±0.040.36±0.14
1.00±0.030.41±0.041.00±0.070.50±0.090.13±0.030.26±0.130.13±0.040.19±0.14
0.45±0.020.19±0.020.47±0.070.25±0.09----
0.13±0.010.07±0.010.14±0.010.09±0.1----
с - концентрация газа в полимере, выраженная в см3 (н.у.)/см3 (полимер)/атм; p - давление газа, атм. Условия проведения экспериментов: медная трубка длиной 48 мм, внутренний диаметр 2 мм, масса полимера 0.052 г, плотность полимера - 0.86 г/см3, VgasG=0.362см3.

[46]

Примеры 5-7.

[47]

Предложенным методом были определены изотермы сорбции постоянных газов в высокопроницаемом аморфном аддитивном дитриметилсилилтрициклононене Ад-ПТЦН-Si2 (Р(O2)=3.4·103 Баррер).

[48]

Таблица 2
Изотермы сорбции газов в Ад-ПТЦН-512
N2 (29°С)О2 (25°С)CO2 (23°С)
pсpсpс
1.99±0.072.3±0.32.45±0.133.4±0.62.06±0.1015.8±2.1
1.68±0.051.9±0.22.04±0.112.8±0.41.66±0.0812.9±1.7
1.25±0.041.5±0.21.65±0.082.3±0.41.34±0.0610.5±1.4
0.87±0.031.1±0.11.35±0.071.9±0.30.99±0.057.8±1.0
0.64±0.020.77±0.090.99±0.051.3±0.20.47±0.034.0±0.6
0.44±0.010.53±0.060.52±0.050.7±0.20.12±0.021.2±0.5
0.11±0.010.16±0.030.13±0.050.2±0.2--
с - концентрация газа в полимере, выраженная в см3 (н.у.)/см3 (полимер)/атм; p - давление газа, атм. Условия проведения экспериментов: медная трубка длиной 92 мм, внутренний диаметр 2 мм, масса полимера 0.098 г, плотность полимера 0.81 г/см3, VgasG=0.422см3.

[49]

Примеры 8-10.

[50]

Предложенным методом были определены изотермы сорбции легких углеводородов в высокопроницаемом аморфном аддитивном дитриметилсилилтрициклононене Ад-ПТЦН-812.

[51]

Таблица 3
Изотермы сорбции легких углеводородов в Ад-ПТЦН-812
СН4 (25°С)C2H6 (23°С)C3H8 (23°С)
pсPсpс
2.43±0.176.9±1.32.38±0.1156±92.07±0.10120±18
2.02±0.145.6±1.02.01±0.0947±71.68±0.0898±15
1.75±0.124.8±0.81.70±0.0840±61.28±0.0672±11
1.35±0.093.6±0.61.31±0.0631±51.00±0.0456±8
0.99±0.062.7±0.41.00±0.0523±40.51±0.0228±4
0.50±0.041.3±0.30.50±0.0211±20.13±0.018±1
0.13±0.050.3±0.20.13±0.012.8±0.5

[52]

с - концентрация газа в полимере, выраженная в см3 (н.у.)/см3 (полимер)/атм; р - давление газа, атм. Условия проведения экспериментов: медная трубка длиной 92 мм, внутренний диаметр 2 мм, масса полимера 0.098 г, плотность полимера 0.81 г/см3, VgasG=0.422см3.

[53]

Примеры 11-14.

[54]

Предложенным методом были определены изотермы сорбции постоянных газов в среднепроницаемом перфторированном аморфном гомополимере - полигексафторпропилене (ПГФП) - (Р(O2)=124 Баррер).

[55]

Таблица 4
Изотермы сорбции газов в ПГФП
N2 (27.5°C)O2 (26°C)CO2 (27.5°С)СН4 (27.5°С)
pсpсpсpс
2.43±0.082.4±0.32.48±0.133.0±0.51.48±0.066.5±0.82.35±0.153.4±0.6
2.02±0.072.0±0.22.05±0.112.5±0.41.30±0.045.6±0.82.04±0.122.9±0.5
1.69±0.061.6±0.21.75±0.092.1±0.31.00±0.034.2±0.71.70±0.102.4±0.4
1.29±0.041.2±0.11.37±0.071.7±0.30.73±0.033.1±0.51.30±0.071.9±0.3
1.00±0.030.95±0.111.00±0.051.2±0.20.51±0.032.1±0.51.00±0.061.5±0.2
0.53±0.020.48±0.050.52±0.050.7±0.20.13±0.020.5±0.60.54±0.050.8±0.2
0.14±0.010.12±0.020.12±0.050.2±0.2--0.13±0.060.2±0.2

[56]

с - концентрация газа в полимере, выраженная в см3 (н.у.)/см3 (полимер)/атм; р - давление газа, атм. Условия проведения экспериментов: медная трубка длиной 92 мм, внутренний диаметр 2 мм, масса полимера 0.274 г, плотность полимера - 2.05 г/см3, VgasG=0.460см3.

[57]

В качестве примера графического представления изотерм сорбции на фиг.3 представлены изотермы сорбции кислорода в трех изученных полимерах. Как видно, в изученном интервале давлений (0-2.5 атм) полученные изотермы линейны, угол наклона зависимости характеризует коэффициенты растворимости кислорода в этих полимерах.

[58]

Сопоставление экспериментов, представленных в примерах, с прототипом данного изобретения позволяет выявить ряд преимуществ предлагаемого метода. Во-первых, отсутствие необходимости процедуры нагрева и охлаждения образца позволяет существенно упростить и ускорить измерения. Во-вторых, нагрев (иногда до высоких температур) является недопустимым при работе с полимерами, особенно с высокопроницаемыми полимерами, склонными к старению [7]. Известно, что скорость старения увеличивается при нагреве. Проведение экспериментов с периодическим нагревом и охлаждением будет приводить к необратимым изменениям свойств полимера.

[59]

Литература

[60]

1. Lundberg J.L., Wilk M.B., Huyett M.J. J. Polym. Sci., Polym. Phys. Ed., 1962, V.57, 275-299.

[61]

2. Koros W.J., Paul D.R. Design Considerations for Measurement of Gas Sorption in Polymers by Pressure Decay. J. Pol. Sci., Polym. Phys. Ed., 1976, V.14, 1903-1907.

[62]

3. Патент РФ №2150101 С1, МПК G01N 15/08, G01N 30/00, 27.05.2000. Способ определения удельной поверхности и устройство для его осуществления.

[63]

4. Р. Рид, Т. Шервуд. Свойства газов и жидкостей. Перевод с англ. под ред. проф. В.Б. Когана. Изд. «Химия», Л., 1971.

[64]

5. Д. Сталл, Э. Вестрам, Г. Зинке. Химическая термодинамика органических соединений. Перевод с англ. под ред. к.х.н. В.А. Левицкого и В.М. Сахарова. Изд. «Химия», М., 1971.

[65]

6. Волков В.В. Растворимость и диффузия газов и паров в поливинилтриметилсилане. Диссертация. М.: ИНХС им. А.В. Топчиева РАН, 1979 г.

[66]

7. Р.Н. Pfromm, The impact of physical aging of amorphous glassy polymers on gas separation membranes. In Book: Materials Science of Membranes for Gas and Vapor Separation, Ed. by Yu. Yampolskii, I. Pinnau, B.D. Freeman, Wiley, 2006.

Как компенсировать расходы
на инновационную разработку
Похожие патенты