патент
№ RU 2572800
МПК A61K38/21

НОВЫЙ СОСТАВ, СОДЕРЖАЩИЙ КОНЪЮГАТ ПЭГ И ИНТЕРФЕРОН-АЛЬФА-2БЕТА, ОБЛАДАЮЩИЙ СНИЖЕННОЙ БОЛЕЗНЕННОСТЬЮ ПРИ ВВЕДЕНИИ

Авторы:
Грязнова Анна Валерьевна Скрипкин Алексей Юрьевич Яковлев Александр Олегович
Все (5)
Номер заявки
2014138150/15
Дата подачи заявки
22.09.2014
Опубликовано
20.01.2016
Страна
RU
Как управлять
интеллектуальной собственностью
Чертежи 
6
Реферат

Группа изобретений относится к медицине и касается композиции для подкожного введения, содержащей ПЭГинтерферон альфа и вспомогательные вещества, в частности, динатрия эдетата дигидрат, натрия ацетата тригидрат, уксусную кислоту ледяную, осмотический агент. Группа изобретений также касается способа получения указанной композиции; набора, включающего заполненный указанной композицией шприц или флакон и инструкцию по применению. Группа изобретений обеспечивает сниженную болезненность при введении композиции. 4 н. и 11 з.п. ф-лы, 7 пр., 5 ил., 13 табл.

Формула изобретения

1. Композиция для подкожного введения, обладающая сниженной болезненностью, содержащая на 1 мл:
Активное вещество:
Конъюгат ПЭГинтерферон альфа-2b формулы:

где m=4 или 5,

а n принимает такое значение, что молекулярная масса ПЭГ равна 20 кДа10-3000 мкг

Вспомогательные вещества:
Натрия ацетата тригидрат0,001-5 мг
Уксусная кислота ледянаядо рН 4,0-6,0
Осмотический агент1-100 мг
Динатрия эдетата дигидрат0,001 до 0,9 мг
Вода для инъекцийдо 1,0 мл

2. Композиция по п. 1, отличающаяся тем, что осмотический агент выбран из группы, включающей натрия хлорид, трегалозы дигидрат, сахарозу, сорбитол, маннитол, производные моно- и дисахаридов.

3. Композиция по п. 1, обладающая противовирусной, антипролиферативной и иммуномодулирующей активностью.

4. Композиция по п. 1 для применения в качестве лекарственного средства для лечения вирусных и онкологических заболеваний и заболеваний, сопровождающихся первичными или вторичными иммунодефицитными состояниями.

5. Композиция по п. 4, отличающаяся тем, что вирусное заболевание представляет собой гепатит С или гепатит В.

6. Композиция по п. 4, отличающаяся тем, что онкологическое заболевание представляет собой миелолейкоз.

7. Композиция по п. 4, отличающаяся тем, что онкологическое заболевание представляет собой меланому.

8. Способ получения композиции для подкожного введения по п. 1, включающий:
- приготовление концентрата, содержащего натрия ацетат дигидрат, ледяную уксусную кислоту, осмотический агент, динатрия эдетат дигидрат и воду для инъекций;
- добавление конъюгата ПЭГинтерферон альфа-2b формулы:

где m=4 или 5,
а n принимает такое значение, что молекулярная масса ПЭГ равна 20 кДа;
- фильтрацию полученного раствора;
- упаковку полученного раствора в единицы дозирования.

9. Способ получения композиции для подкожного введения по п. 8, отличающийся тем, что указанная стадия фильтрации представляет собой стерилизующую фильтрацию.

10. Способ получения композиции для подкожного введения по п. 8, отличающийся тем, что единицы дозирования представляют собой предварительно заполненные шприцы, флаконы или автоинжекторы.

11. Единица дозирования, содержащая состав по п. 1, в виде заполненного раствором шприца или флакона.

12. Набор, включающий единицу дозирования по п. 11 и инструкцию по применению, предназначенный для профилактики или лечения заболеваний, сопровождающихся первичными или вторичными иммунодефицитными состояниями, онкологических заболеваний, вирусных заболеваний.

13. Набор по п. 12, отличающийся тем, что вирусное заболевание представляет собой гепатит С или гепатит В.

14. Набор по п. 12, отличающийся тем, что онкологическое заболевание представляет собой миелолейкоз.

15. Набор по п. 12, отличающийся тем, что онкологическое заболевание представляет собой меланому.

Описание

[1]

Предпосылки изобретения

[2]

Введение

[3]

Интерфероны (ИФН) - это группа биологически активных белков или гликопротеидов, продуцируемых различными клетками в ответ на вирусную инфекцию или при воздействии на клетки некоторых химических и биологических веществ (Isaacs&Lindeman, 1957; Pestka et al., 2007). Связывание ИФН с клеточными рецепторами приводит к индукции синтеза целого ряда внутриклеточных белков, которые опосредуют противовирусное, иммуномодулирующее и антипролиферативное действие ИФН (Pestka et al., 2004; Bekisz, 2004).

[4]

Гены различных ИФН человека были клонированы и экспрессированы в бактериальных и животных клетках, в результате были получены и очищены многие рекомбинантные ИФН (Pestka et al., 2004; Pestka, 2007). Лекарственные препараты, содержащие рекомбинантные ИФН, применяются в клинической практике для лечения целого ряда вирусных, онкологических и иммунных заболеваний (Pestka et al., 2004; Chevaliez&Pawlotsky, 2009).

[5]

В настоящее время препараты на основе ИФН применяются в клинической практике для лечения целого ряда вирусных, онкологических и иммунных заболеваний (Pestka et al., 2004). Наиболее широкое использование препараты ИФН получили для лечения вирусных гепатитов (Chevaliez&Pawlotsky, 2009), представляющих одну из наиболее серьезных социальных проблем. В настоящее время в мире насчитывается около 350 млн хронически больных гепатитом В и 170 млн больных гепатитом С (Marcellin, 2009). Заболевание гепатитом С в большинстве случаев приобретает хроническое течение с формированием тяжелых исходов - цирроза печени и гепатоцеллюлярной карциномы (Modi&Liang, 2008). По данным ВОЗ, с 1961 года в США и странах Западной Европы хронические гепатиты и циррозы печени, как причина смерти, переместились с 10 на 5 место (Marcellin, 2009). Известно также применение препаратов, содержащих ИФН-альфа, для лечения ряда лейкозов и солидных опухолей, в том числе рецидивирующей меланомы (Bukowski et al., 2002; Decantris et al., 2002; Qintas-Cardama et al., 2006).

[6]

Эффективность действия препаратов нативных ИФН ограничена быстрым всасыванием из подкожных тканей, большим объемом распределения, относительно низкой стабильностью, коротким периодом полувыведения, высокой иммуногенностью и токсичностью (Wills, 1990). В результате, в течение нескольких часов после введения наблюдается быстрое падение концентрации ИФН в плазме крови, при этом интерферон не определяется в плазме уже через 24 ч после инъекции (Chatelut et al., 1999). Снижение концентрации интерферона создает условия для возобновления репликации вируса и увеличения концентрации вирусных частиц (Lam et al., 1997). Поэтому возникает необходимость частых введений препарата для достижения эффективных терапевтических концентраций в плазме крови, что приводит к возникновению дозозависимых побочных эффектов. Вследствие указанных особенностей монотерапия хронического гепатита С (ХГС) ИФН-2b в течение 12 мес приводила к устойчивому вирусологическому ответу всего у 15-20% пациентов, у больных с генотипом Iв и высокой вирусологической нагрузкой эффективность препарата не наблюдалась вовсе (Mc Hutchinson et al., 1998).

[7]

Терапевтическая эффективность ИФН может быть повышена при использовании препаратов пролонгированного действия, в частности - «ПЭГилированных» ИФН (Manns et al., 2001; Hadziyannis et al., 2004; Zeuzem et al., 2001).

[8]

Получение ПЭГилированных ИФН заключается в химическом связывании молекулы интерферона с полимером - монометоксиполиэтиленгликолем (мПЭГ), состоящим из повторяющихся субъединиц этиленоксида с метоксигруппой на одном конце и гидроксильной группой - на другом. Молекула мПЭГ может иметь различную молекулярную массу и стереохимическую структуру (линейная или разветвленная). Для проведения реакции ПЭГилирования гидроксильную группу на конце мПЭГ активируют различными реактивными функциональными группами. Активированный мПЭГ может ковалентно связываться с белком в одном или в нескольких местах, что зависит от природы активированной группы и условий реакции (Zalipsky&Hums, 1997; Roberts et al., 2002).

[9]

ПЭГилирование ИФН приводит к улучшению фармакокинетики, увеличению времени полувыведения из крови, снижению колебаний концентрации в крови, снижению иммуногенности и токсичности, увеличению активности in vivo (при снижении активности in vitro); увеличению стабильности (Glue et al., 2000; Reddy et al., 2001).

[10]

Из уровня техники известны различные коньюгаты ПЭГ-ИФН.

[11]

Известен коньюгат ПЭГ-ИФН-2а с линейным ПЭГ с молекулярной массой 1-5000 Да (Патент U.S. 5382657, 1995), коньюгаты ПЭГ-ИФН-2b, полученные при конъюгации нативного ИФН-2b с линейным (патент RU 2311930, 2004) или разветвленным (патент RU 2382048, 2008) производными мПЭГ с молекулярной массой 13-17 кДа, и коньюгат ПЭГ-ИФН-2b, полученный при связывании нативного ИФН-2b с разветвленным триазиновым производным мПЭГ с молекулярной массой 7,5-35 кДа (Патент RU 2298560, 2004). Также известен коньюгат ПЭГ-ИФН-2а, полученый при конъюгации ИФН-2а с разветвленным ПЭГ с молекулярной массой 40 кДа (патент RU 2180595, 1997). Также известен конъюгат ПЭГилированного интерферона-а-2b, представляющий собой один позиционный изомер с монометоксиполиэтиленгликолем, присоединенным к N-концевому цистеину, с молекулярной массой ПЭГ от 20 до 40 кДа (патент RU 2447083).

[12]

Составы, содержащие ПЭГилированные интерфероны

[13]

В настоящее время на фармацевтическом рынке присутствует несколько видов лекарственных препаратов ПЭГилированных интерферонов.

[14]

Так состав лекарственного препарата «Пегасис» (производитель Хоффманн-Ля Рош, Франция), согласно инструкции по медицинскому применению, включает на 0,5 мл:

[15]

Активное вещество:

[16]

ПЭГинтерферона альфа-2а (40 кДа)135 мкг или 180 мкг

[17]

Вспомогательные вещества:

[18]

Натрия хлорид4,0 мг
Бензиловый спирт5,0 мг
Натрия ацетата тригидрат1,31 мг,
Уксусная кислота ледяная0,0231 мг
Полисорбат80-0,025 мг
Натрия ацетат раствор 10%до pH 6,0
Уксусная кислота 10%до pH 6,0
Вода для инъекцийдо 0,5 мл.

[19]

Еще один препарат на основе ПЭГ-ИФН содержит «ПэгИнтрон» (Шеринг-Плау, Бельгия) содержит:

[20]

Активное вещество:

[21]

ПЭГинтерферон альфа-2бета в виде лиофилизированного порошка 50, 80, 100, 120 мкг

[22]

Вспомогательные вещества:

[23]

Натрия гидрофосфат, натрия дигидрофосфат, сахароза, полисорбат 80, вода для инъекций.

[24]

Наиболее близким аналогом данного изобретения можно рассматривать лекарственный препарат «Альгерон», имеющий следующий состав:

[25]

Действующее вещество: ПЭГилированный интерферон альфа-2b (цепэгинтерферон альфа-2b) в качестве активного вещества 200 мг/мл

[26]

Вспомогательные вещества:

[27]

Натрия ацетата тригидрат 2,617 мг/мл
Уксусная кислота ледяная до pH 5,0
Натрия хлорид 8,0 мг/мл
Полисорбат80 0,05 мг/мл
Динатрия эдетата тригидрат 0,056 мг/мл
Вода для инъекций до 1,0 мл.

[28]

В инструкции по медицинскому применению сообщается о побочных действиях, выраженных следующими наиболее часто встречающимися симптомами: сухой кашель, боли в суставах, мышечные боли, сухость и шелушение кожи, кожный зуд и сыпь, воспаление в месте введения и другие.

[29]

Препараты интерферона и его аналогов или производных, в т.ч. и ПЭГилированных, вводятся только посредством инъекции через шприц или специальное устройство - инжектор (шприц-ручка).

[30]

Зачастую любые инъекционные препараты, вводимые подкожно, могут вызывать реакции в месте введения в виде болезненности, покраснения, отека, инфильтратов и даже некрозов. Опыт применения препаратов, изменяющих течение рассеянного склероза (интерфероны бета для подкожного введения), свидетельствует о высоком влиянии переносимости в месте введения, удобства и простоты постановки инъекций на долгосрочную приверженность к терапии или комплаэнтность (степень соответствия между поведением пациента и рекомендациями, полученными от врача). Эффективность интерферонов носит дозозависимый характер и в значительной степени может снижаться при пропусках инъекций пациентом. Большинство пациентов сообщают, что пропускали инъекции по разным причинам: реакции в месте введения, забывчивость, боязнь игл, боязнь иных побочных реакций, поездки. Более половины пациентов, отказавшихся от лечения по собственному желанию, делают это в течение первых 3,5 месяцев от начала терапии. Эффективности интерфероновых препаратов при лечении рассеянного склероза лимитирована 30%, ключевой стратегией повышения эффективности терапии является повышение комплаэнтности.

[31]

Наибольшее влияние реакции в месте введения оказывают на:

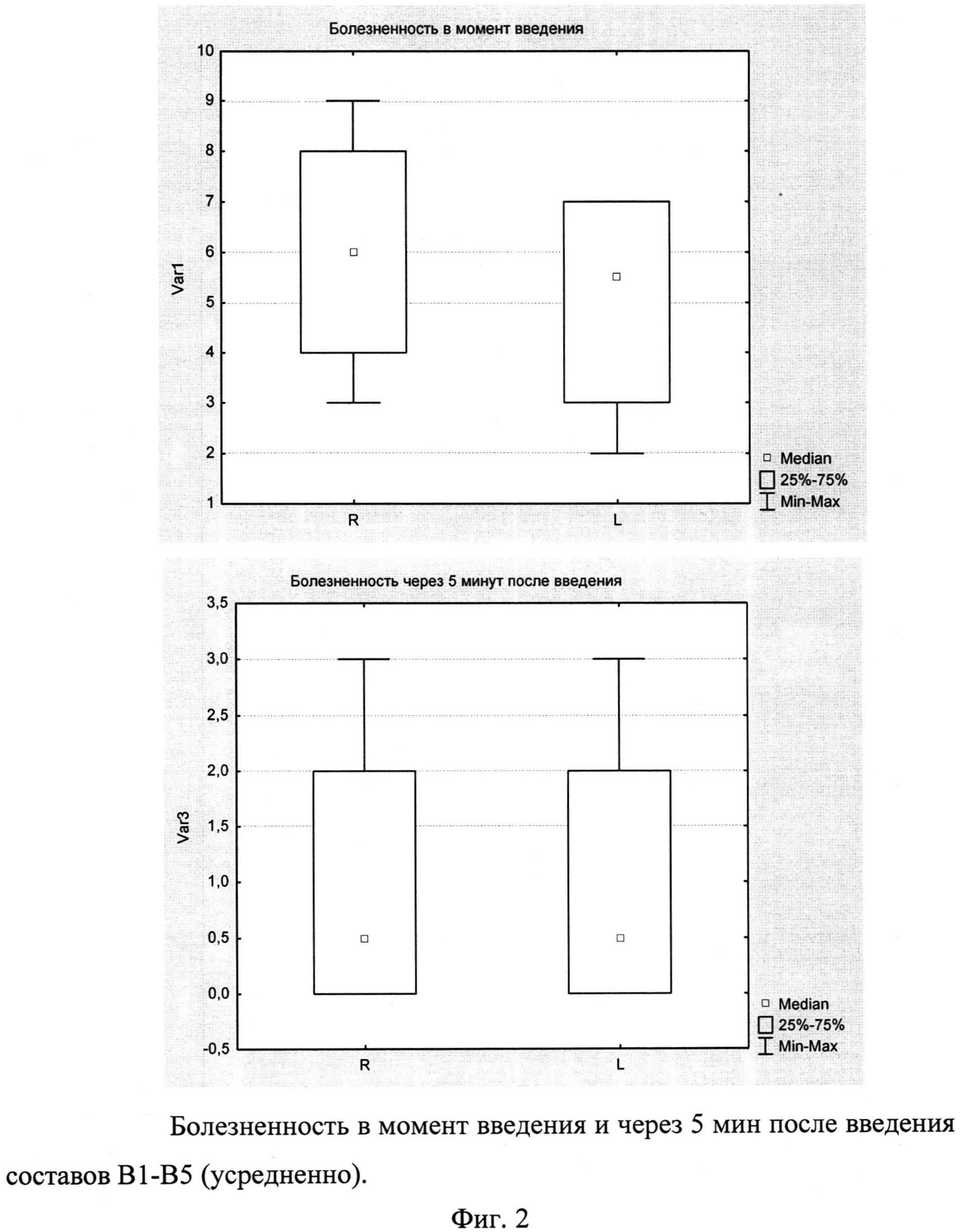
[32]

- препараты, имеющие длительный и непрерывный цикл терапии;

[33]

- препараты, вводимые пациентом самостоятельно в амбулаторных условиях;

[34]

- препараты, применяемые в педиатрической практике.

[35]

Препараты, обладающие лучшей переносимостью в месте введения, имеют преимущества при долгосрочной терапии:

[36]

- лучший профиль безопасности влияет на осознанный выбор препарата пациентом и/или врачом (увеличение числа пациентов, принимающих препарат);

[37]

- более высокая приверженность пациентов, принимающих препарат (более высокая комплаэнтность), что в свою очередь ведет к удержанию большего числа пациентов на терапии за счет уменьшения отказов, и повышение эффективности терапии за счет применения препарата без пропусков, а следовательно, в адекватных дозах;

[38]

- лучшая переносимость ассоциирована с более высоким уровнем качества жизни пациента и меньшими затратами на терапию пациентов.

[39]

Кроме того, при проведении клинических испытаний препаратов ПЭГилированных интерферонов также сообщалось о побочных эффектах при их введении и применении. Так, при применении интерферонов и их производных самые частые наблюдаемые побочные эффекты - это слабость, анорексия, тремор, лихорадка, реакции в месте инъекции, депрессия. Также достаточно распространены более тяжелые побочные эффекты, которые могут приводить к отмене препарата: тошнота и рвота, головная боль и боли в спине.

[40]

Кроме описанных побочных эффектов, пациенты испытывают болезненные ощущения при введении препаратов интерферона. Обычно это выражается в неприятных реакциях кожи: волчаночно-подобный синдром, воспаления, болезненные ощущения и зуд в месте инъекции. Эти ощущения могут сохраняться продолжительное время, что, в свою очередь, может приводить к отказу от лечения со стороны пациента. При введении ПЭГилированного интерферона-альфа-2бета сообщается о высыпаниях в виде эритематозных везикул в месте инъекции, аллергических реакциях и воспалениях.

[41]

Таким образом, существует потребность в создании нового лекарственного препарата, содержащего ПЭГ-ИФН-альфа-2 бета, который обладал бы сниженной болезненностью при введении и сниженными побочными эффектами при применении.

[42]

Настоящее изобретения предлагает фармацевтическую композицию для подкожного введения, содержащую ПЭГ-ИФН-альфа-2бета и вспомогательные вещества, которая обладает сниженной болезненностью при введении.

[43]

Описание фигур:

[44]

Фиг. 1 - Показана визуально-аналоговая шкала боли (ВАШ) с градуировкой в баллах.

[45]

Фиг. 2 - Показаны баллы ВАШ при введении композиций В1-В5 (усредненно).

[46]

Фиг. 3 - Показаны баллы ВАШ при введении композиций D2 и D3.

[47]

Фиг. 4 - Показаны баллы ВАШ при введении композиций А1-А5, С1-С5, D1 (усредненно).

[48]

Фиг. 5 - Показаны баллы ВАШ при введении композиций, аналогичной по составу препарату «Альгерон», и композиции К.

[49]

Описание изобретения

[50]

Согласно настоящему изобретения, предложена композиция для подкожного введения, обладающая сниженной болезненностью, содержащая на 1 мл:

[51]

Активное вещество:

[52]

Конъюгат ПЭГинтерферон альфа-2b формулы:

[53]

[54]

где m=4 или 5, а n принимает такое значение, что молекулярная масса ПЭГ равна 20 кДа10-3000 мкг

[55]

Вспомогательные вещества:

[56]

Натрия ацетата тригидрат0,001-5 мг
Уксусная кислота ледянаядо pH 4,0-6,0
Осмотический агент1-100 мг
Динатрия эдетата дигидрат0,001 до 0,9 мг
Вода для инъекцийдо 1,0 мл.

[57]

При этом осмотический агент, содержащийся в указанной композиции, выбран из группы, включающей натрия хлорид, трегалозы дигидрат, сахарозу, сорбитол, маннитол, производные моно- и дисахаридов.

[58]

Кроме того, согласно изобретению, композиция обладает противовирусной, антипролиферативной и иммуномодулирующей активностью.

[59]

Согласно еще одному варианту реализации, композиция, согласно изобретению, может применяться в качестве лекарственного средства для лечения вирусных и онкологических заболеваний и заболеваний, сопровождающихся первичными или вторичными иммунодефицитными состояниями. При этом вирусное заболевание может представлять собой гепатит С или гепатит В, а онкологическое заболевание может представлять собой миелолейкоз, в частности, меланому.

[60]

Также, согласно настоящему изобретению, предложен способ получения композиции для подкожного введения, включающий:

[61]

- приготовление концентрата, содержащего натрия ацетат дигидрат, ледяную уксусную кислоту, осмотический агент, динатрия эдетат дигидрат и воду для инъекций;

[62]

- добавление конъюгата ПЭГинтерферон альфа-2b формулы:

[63]

[64]

где m=4 или 5,

[65]

а n принимает такое значение, что молекулярная масса ПЭГ равна 20 кДа,

[66]

- фильтрацию полученного раствора;

[67]

- упаковку полученного раствора в единицы дозирования.

[68]

При этом, согласно изобретению, стадия фильтрации может представлять собой стерилизующую фильтрацию.

[69]

В еще одном варианте реализации, способ получения композиции для подкожного введения предполагает упаковку полученного раствора в единицы дозирования, которые могут представлять собой предварительно заполненные шприцы, флаконы или автоинжекторы.

[70]

В еще одном варианте реализации, согласно изобретению, предложен набор, включающий единицу дозирования и инструкцию по применению, предназначенный для профилактики или лечения заболеваний, сопровождающихся первичными или вторичными иммунодефицитными состояниями, онкологических заболеваний, вирусных заболеваний. При этом указанное вирусное заболевание может представлять собой гепатит С или гепатит В, а онкологическое заболевание может представлять собой миелолейкоз, в частности, меланому.

[71]

Подробное описание изобретения

[72]

Задача настоящего изобретения состоит в получении новой композиции для подкожной инъекции, содержащей конъюгат ПЭГ-ИФН-альфа-2бета, обладающей противовирусной, антипролиферативной и иммуномодулирующей активностью (активность ИФН-альфа), при этом данная композиция обладает сниженной болезненность и лучшей переносимостью при введении.

[73]

Данная задача решается с помощью подбора качественного и количественного состава композиции для подкожной инъекции, при котором наблюдается существенное снижение болезненности и повышение переносимости препарата при введении.

[74]

Авторы настоящего изобретения неожиданно обнаружили, что при введении состава с определенным соотношением вспомогательных веществ наблюдается снижение побочных эффектов и уменьшение болезненных ощущений при введении. В частности, было замечено, что при содержании натрия ацетата тригидрата в композиции ПЭГинтерферон альфа более 5 мг/мл наблюдается резкое увеличение болезненности при введении. И в то же время, при содержании натрия ацетата тригидрата менее 5 мг/мл в композиции ПЭГинтерферона альфа наблюдается улучшенная переносимость пациентами при введении и снижение болезненности и воспаления в месте инъекции.

[75]

Таким образом, настоящее изобретение предлагает композицию, содержащую в качестве активного вещества конъюгат ПЭГ-ИФН-альфа-2бета и в качестве вспомогательных веществ натрия ацетата тригидрат в концентрации не более 5 мг/мл, уксусную кислоту ледяную, осмотический агент, динатрия эдетата дигидрат и воду для инъекций в следующих соотношениях:

[76]

Активное вещество:

[77]

Конъюгат ПЭГинтерферон альфа-2b формулы:

[78]

[79]

где m=4 или 5,

[80]

а n принимает такое значение, что молекулярная масса ПЭГ равна 20 кДа10-3000 мкг

[81]

Вспомогательные вещества:

[82]

Натрия ацетата тригидрат как буферный агент0,001-5 мг
Уксусная кислота ледянаядо pH 4,0-6,0
Осмотический агент1-100 мг
Динатрия эдетата дигидрат0,001-0,9 мг
Вода для инъекцийдо 1,0 мл,

[83]

при этом данная композиция обладает сниженной болезненностью и лучшей переносимостью при введении.

[84]

Как известно из предшествующей практики получения инъекционных форм, вспомогательные вещества могут быть выбраны из буферных агентов, осмотических агентов, стабилизаторов, антиоксидантов, разбавителей, растворителей и консервантов.

[85]

В качестве буферных агентов могут использоваться различные агенты, такие, как по меньшей мере одно вещество, выбранное из группы, включающей натрия ацетата тригидрат, натрия/калия гидро- и/или дигидрофосфат, натрия или аммония ацетат, цитратный, водородкарбонатный, фосфатный буферы.

[86]

В качестве осмотических агентов могут быть использованы маннитол, натрия хлорид, трегалозу дигидрат, сахарозу, арабитол, сорбитол, глицерин, производные моно- и дисахаридов, лактоза, декстран.

[87]

В качестве стабилизаторов могут применяться полисорбаты, ЭДТА, поливинилпирролидоны, декстраны, ЧСА, эфиры пара-оксибензойной кислоты, спирты (например, бензиловый спирт), фенолы.

[88]

Как разбавители могут использоваться вода и фармацевтически приемлемые спирты.

[89]

Кроме того, согласно настоящему изобретению, композиции могут применяться в лечении лечения вирусных и онкологических заболеваний и заболеваний, сопровождающихся первичными или вторичными иммунодефицитными состояниями. Вирусные заболевания могут представлять собой гепатит С или гепатит В. Онкологические заболевания могут представлять собой миелолейкоз, меланому.

[90]

Способ получения данной композиции включает стадии приготовления концентрата, содержащего натрия ацетат дигидрат, ледяную уксусную кислоту, осмотический агент, динатрия эдетат дигидрат и воду для инъекций, и дальнейшее добавление к нему активного вещества, конъюгата ПЭГинтерферон альфа-2b, фильтрацию полученного раствора и упаковку полученного раствора в единицы дозирования. Однако, из технологии известны и другие способы приготовления композиций для подкожного введения. Компоненты могут смешиваться в различных пропорциях, дробно или полностью, а также добавляться в различной последовательности или одновременно. Фильтрация раствора может представлять собой стерилизующую фильтрацию, например, через глубинные или мембранные фильтры. Размер пор фильтров может быть различным, подходящим для процесса стерилизации. Предпочтительно размер пор выбирается не более 0,22 мкм. Более подробную информацию можно найти в руководствах по технологии инъекционных препаратов, в частности. Handbook of pharmaceutical manufacturing formulations.

[91]

Единицы дозирования, согласно традиционной технологии, могут представлять собой шприцы, флаконы или автоинжекторы, предварительно заполненные раствором композиции, согласно изобретению. Шприцы, флаконы или автоинжекторы могут иметь любой объем и быть изготовлены из любого подходящего для этого материала (стекло, полимерный материал), который предполагает герметическое хранение данного состава в течение длительного времени.

[92]

Набор для применения пациентом амбулаторно или в медицинском учреждении может включать единицу дозирования, содержащую композицию, согласно настоящему изобретению, и инструкцию по применению данной композиции. Данный набор может применяться в лечении лечения вирусных и онкологических заболеваний и заболеваний, сопровождающихся первичными или вторичными иммунодефицитными состояниями. Вирусные заболевания могут представлять собой гепатит С или гепатит В. Онкологические заболевания могут представлять собой миелолейкоз, меланому.

[93]

Настоящее изобретение проиллюстрировано примерами, приведенными ниже, которые не предназначены для ограничения изобретения.

[94]

Примеры

[95]

Пример 1

[96]

Получение конъюгата ПЭГ-ИФН-альфа-2бета

[97]

Конъюгат ПЭГ-ИФН-альфа-2бета формулы

[98]

[99]

где m=4 или 5, а n принимает такое значение, что молекулярная масса ПЭГ равна 20 кДа, получали по методике, описанной в патенте RU 2447083.

[100]

Пример 2

[101]

Получение композиций, согласно изобретению, для подкожного введения

[102]

Готовили концентрат для получения конечной композиции, включающий натрия ацетат тригидрат, осмотический агент, динатрия эдетат дигидрат, и воду для инъекций, доводили ледяной уксусной кислотой до pH 4,0-6,0. Далее к концентрату добавляли конъюгат ПЭГ-ИФН формулы

[103]

где m=4 или 5, а n принимает такое значение, что молекулярная масса ПЭГ равна 20 кДа. Далее полученный раствор фильтровали и разливали во флаконы или шприцы. Флаконы укупоривали резиновой пробкой и обкатывали колпачками. Шприцы запаивали. Обе дозированные формы контролировали на включение механических частиц.

[104]

Описанным выше способом были получены композиции, имеющие следующие составы: (указаны в Таблице 1).

[105]

Таблица 1.
Состав композиций согласно изобретению
КомпонентСодержание в 1 мл
Активное вещество№1-1№1-2№1-3№1-4№1-5
ПЭГинтерферон альфа-2бета10-100 мкг200-500 мкг500-1000 мкг2000 мкг3000 мкг
Вспомогательные вещества:
Натрия ацетата тригидрат0,001-5 мг0,001-5 мг0,001-5 мг0,001-5 мг0,001-5 мг
Уксусная кислота ледянаядо pH 4,0-6,0до pH 4,0-6,0до pH 4,0-6,0до pH 4,0-6,0до pH 4,0-6,0
Маннитол/Натрия хлорид/Трегалозы тригидрат/Сахароза/Сорбитол/ Производные моно- и дисахаров (использовали один из предложенных компонентов)1-100 мг1-100 мг1-100 мг1-100 мг1-100 мг
1-100 мг1-100 мг1-100 мг1-100 мг1-100 мг
1-100 мг1-100 мг1-100 мг1-100 мг1-100 мг
1-100 мг1-100 мг1-100 мг1-100 мг1-100 мг
1-100 мг1-100 мг1-100 мг1-100 мг1-100 мг
1-100 мг1-100 мг1-100 мг1-100 мг1-100 мг
Динатрия эдетата дигидрат0,001-3 мг0,001-3 мг0,001-3 мг0,001-3 мг0,001-3 мг
Вода для инъекцийдо 1,0 млдо 1,0 млдо 1,0 млдо 1,0 млдо 1,0 мл

[106]

Все полученные растворы имели цвет от прозрачного до светло-желтого и были стабильны при получении и при хранении в течение 6 мес.

[107]

Пример 4

[108]

Упаковка в контейнер лекарственного средства, содержащего композицию, согласно изобретению

[109]

Лекарственное средство, включающее эффективное количество заявляемой композиции, полученной согласно примеру 2, разливали в стерильных условиях по 0,5, 0,8, 1,0 и 1,2 мл (для дозировки 10-100 мкг/мл), по 0,5, 0,6, 0,75 и 0,9 мл (для дозировки 200-500 мкг/мл), по 0,5, 0,6, 0,8, 1,0 и 1,2 мл (для дозировки 500-1000 мкг/мл) в шприцы из нейтрального стекла I гидролитического класса, с впаянными иглами, покрытыми защитными эластичными или жесткими колпачками, укупоренные наконечниками на поршни из бутилкаучука, ламинированного фторполимером. Композиции с концентрацией ПЭГинтерферона альфа-2бета свыше 1000 мкг/мл разливали во флаконы, укупоривали резиновыми пробками, обжатыми алюминиевыми колпачками.

[110]

Пример 5

[111]

Набор, включающий упакованное в контейнеры лекарственное средство, содержащее заявленную композицию

[112]

Набор содержит по 1 или 4 шприца в комплекте с поршнем (1 или 4 соответственно)/флакона в контурной ячейковой упаковке из пленки полимерной вместе с инструкцией по применению, которые помещают в пачку из картона.

[113]

Пример 6

[114]

Композиции, используемые для оценки болевых ощущений при введении.

[115]

Все композиции получали согласно примеру 2.

[116]

Для методики оценки были выбраны композиции со следующим составом:

[117]

[118]

Таблица 3.
Состав композиций, используемых для исследования болезненности при введении
Шифр композицииВ1В2B3В4В5
ПЭГинтерферон альфа-2бета50 мкг250 мкг500 мкг2000 мкг3000 мкг
Натрия ацетата тригидрат0,04 мг0,1 мг0,9 мг1,2 мг5 мг
Уксусная кислота ледянаяДо pH 4,0-6,0До pH 4,0-6,0До pH 4,0-6,0До pH 4,0-6,0До pH 4,0-6,0
Маннитол1 мг25 мг54 мг70 мг100 мг
Динатрия эдетата дигидрат1,00 мг1,20 мг1,35 мг1,50 мг2,00 мг
Вода для инъекцийДо 1 млДо 1,0 млДо 1,0 млДо 1,0 млДо 1,0 мл

[119]

Таблица 4.
Состав композиций, используемых для исследования болезненности при введении
Шифр композицииС1С2C3С4С5
ПЭГинтерферон альфа-2бета50 мкг250 мкг500 мкг2000 мкг3000 мкг
Натрия ацетата тригидрат0,04 мг0,1 мг0,9 мг1,2 мг5 мг
Уксусная кислота ледянаяДо pH 4,0-6,0До pH 4,0-6,0До pH 4,0-6,0До pH 4,0-6,0До pH 4,0-6,0
Трегалозы тригидрат1 мг20 мг50 мг70 мг100 мг
Динатрия эдетата дигидрат0,10 мг0,15 мг0,20 мг0,30 мг0,40 мг
Вода для инъекцийДо 1 млДо 1,0 млДо 1,0 млДо 1,0 млДо 1,0 мл

[120]

Таблица 5.
Состав композиций, используемых для исследования болезненности при введении
Шифр композицииD1D2D3D4D5
ПЭГинтерферон альфа-2бета50 мкг250 мкг500 мкг2000 мкг3000 мкг
Натрия ацетата тригидрат0,04 мг0,1 мг0,9 мг1,2 мг5 мг
Уксусная кислота ледянаяДо pH 4,0-6,0До pH 4,0-6,0До pH 4,0-6,0До pH 4,0-6,0До pH 4,0-6,0
Сахароза1 мг20 мг50 мг70 мг100 мг
Динатрия эдетата дигидрат0,10 мг0,8 мг0,9 мг1,20 мг1,45 мг
Вода для инъекцийДо 1 млДо 1,0 млДо 1,0 млДо 1,0 млДо 1,0 мл

[121]

Пример 7

[122]

Методика оценки

[123]

В исследовании приняло участие 30 добровольцев. В ходе испытания добровольцам проводились подкожные инъекции в объеме 1.0 мл в область плеча (по одному образцу справа и слева). Инъекции проводились с соблюдением всех необходимых правил асептики и антисептики, опытным специалистом с применением одинаковых немаркированных инсулиновых шприцев с применением игл для подкожных инъекций 30G. Перед инъекцией исследуемые композиции имели температуру, близкую к комнатной, введение иглы осуществлялось в кожную складку под углом 90° с последующим медленным введением композиции.

[124]

Оценивалась болезненность в момент введения и через 5 минут после введения по ВАШ (визуально-аналоговая шкала боли). Также регистрировались любые другие реакции в месте введения, включая гиперемию, образование инфильтратов, чувство жжения. Стандартный бланк оценки находится в приложении 1. Рецептуры использованных композиций представлены в приложениях №№2-5.

[125]

Визуально-аналоговая шкала боли (ВАШ) представлена на Фиг. 1.

[126]

Результаты исследований:

[127]

Проведено изучение болезненности и местно-раздражающего действия композиций, содержащих ПЭГинтерферон альфа-2бета, имеющих составы, как указано в таблицах 2-5.

[128]

Исследование композиций В4-В5 и D5 было завершено досрочно на малом числе добровольцев в связи с чрезмерной болезненностью данных составов.

[129]

Среднее значение болезненности в момент введения для композиции В3 составляло 6 баллов (9-3). Данный показатель для композиции D4, В1-В2 составил 5 баллов (7-2). Болезненность через 5 минут после введения этих композиций имела значение 1 балл (0-3). Гиперемии, отека либо других реакций в месте введения не наблюдалось.

[130]

[131]

Исследование показало высокую болезненность вводимых составов. В связи с неудовлетворительными результатами были исследованы другие композиции.

[132]

Данные представлены на Фиг. 2.

[133]

По результатам проведенного исследования выявлено, что композиции А1-А5, С1-С5, D1-D3 обладают наименьшей болезненностью в месте введения по сравнению с другими исследуемыми композициями.

[134]

Болезненность в момент введения для композиций А5 и С1-С5 была сопоставима и имела среднее значение 0,44 (0-2) и 0,5 (0-2) соответственно. Через 5 минут средняя болезненность для композиций А5 имела значение 0,1 (0-1), С1-С5-0 (0).

[135]

При оценке местно-раздражающего действия при применении композиций D2 и D3 легкие реакции в месте введения выявлены у 4-х испытуемых из 9. В противоположность при введении композиций С1-С5 у одного испытуемого из 8 наблюдался легкий зуд, гиперемия продолжительностью 15 минут. Таким образом, при сопоставимых показателях боли по ВАШ композиции С1-С5 обладают меньшим местно-раздражающим действием.

[136]

[137]

Для дальнейшего изучения можно рекомендовать составы А1-А5, С1-C5 и D1-D3.

[138]

Физиологический раствор (состав А) показал умеренную болезненность в месте введения, медиана боли по ВАШ в момент введения составила 2,0.

[139]

Составы вызывали легкие транзиторные реакции в месте введения. Четких различий по данному показателю не выявлено. У одного испытуемого после введения композиции А5 длительно сохранялся дискомфорт в месте введения.

[140]

Таблица 8.
Болезненность при введении физ.раствора.
nОписание
ВАШ в момент введенияВАШ через 5 минутДругие реакции
Состав А92,0 [1;5]0[1;5]- неприятное ощущение 30 секунд
Физ. р-р2,5 (0-5)1,0(0-7)- ощущение распирания после 0,5 мл
- легкая гиперемия

[141]

Следует отметить, что препарат для длительного применения не должен обладать болезненностью, влияющей на повседневную активность и мешать повседневной деятельности. Для препаратов с высокой частотой инъекций и длительностью терапии нецелесообразно применять буферный состав с болезненностью более 3 баллов по ВАШ.

[142]

В исследовании приняло участие 18 добровольцев. Медиана болезненности в момент введения для композиции D2 имела значение 4.0 [3.0;5.0] и 0 [0;3.0] для композиции D3. Значения имели статистически достоверные различия (MW-U test, p=0,015). Медиана болезненности через 5 минут после введения имела значение 0 [0:0] для каждой группы. Показатели болезненности через 5 минут не различались. Данные представлены на Фиг. 3.

[143]

Композиции вызывали легкие транзиторные реакции в месте введения, см. Таблицу 9. Четких различий по данному показателю не выявлено.

[144]

[145]

По результатам проведенных тестов композиция D2 обладает достоверно лучшей переносимостью по показателю интенсивности боли по ВАШ в момент введения. По показателям болезненности через 5 минут после введения и реакций в месте введения составы обладают хорошей переносимостью и не имеют значимых различий между собой.

[146]

Исследование композиций А1-А4, С1-С5, D1

[147]

В исследовании приняло участие 30 добровольцев. Сводные данные представлены в таблице, на диаграммах 9 и 10. Минимальной болезненностью обладала композиция А1. В большинстве случаев, ведение композиции не сопровождалось никакими ощущениями, испытуемые уточняли: вводится ли им состав или нет. При введении композиции D2, четыре испытуемых отметили интенсивную боль в месте введения (по 8 баллов ВАШ), 3 испытуемых отметили легкую болезненность в месте введения (указав 2 балла). Медиана болезненности по ВАШ для данной композиции составила 8 баллов, среднее значение - 5,4 балла. Композиции С5 и С4 имели значения 2,5 [2;3.5], 3,0 [2;3] соответственно. При проведении дисперсионного анализа Краскелла-Уолллиса при сравнении показателей 4-х групп значения статистически достоверно различались, р=0,0001. Медианный тест р=0,03.

[148]

Медиана болезненности через 5 минут после введения не различалась между группами. Составы вызывали легкие транзиторные реакции в месте введения, см. таблицу 10. Хуже переносились композиции С4 и С5.

[149]

Таблица 10.
Болезненность при введении композиций А1-А5, С1-С5, D1.
NОписание
ВАШ в момент введенияВАШ через 5 минутДругие реакции
А1100 [0;0]0 [0;0]отсутствовали
А2-А5, С1-С382,5 [2;3.5]0[0;1,0]- легкое чувство растирания
- легкий дискомфорт в месте введения
D178,0 [2;8]0[0;1,0]- неприятные, ломящие ощущения в руке
- чувство онемения руки
- легкая гиперемия 3×1 см.
- резкая боль в момент введения
С4, С553,0 [2;3]0 [0;0]- легкий зуд

[150]

По результатам проведенных исследований, состав А1 обладает достоверно лучшей переносимостью по показателю интенсивности боли по ВАШ в момент введения. По показателям болезненности через 5 минут после введения и реакций в месте введения составы обладают хорошей переносимостью и не имеют значимых различий между собой.

[151]

Однако, все композиции А1-А5, С1-С5 и D1-D3 могут применяться при длительном лечении, т.к. при их введении баллы ВАШ не превышают 3.

[152]

Пример 8

[153]

Определение болезненности при введении композиции, аналогичной препарату «Альгерон»

[154]

В исследовании участвовало 30 добровольцев. Были исследованы композиции, имеющие состав, аналогичный препарату «Альгерон», и содержащие полисорбат-80. Состав указан в Таблицах 11 (альтернативная композиция, содержащая полисорбат-80) и Таблице 12 (состав композиции аналогичен препарату «Альгерон», выбранному в качестве прототипа).

[155]

Таблица 11.
Состав композиции, содержащей полисорбат-80.
Состав композиции К
Натрия ацетата тригидрат0,23 мг
Натрия хлорид8,0 мг
полисорбат 808 мг
ЭДТА, мг0,05 мг
Уксусная кислота ледянаядо pH 5,0
Вода для инъекцийдо 0,5 мл
Таблица 12.
Состав композиции, аналогичной препарату «Альгерон», выбранному в качестве прототипа.
Состав композиции, аналогичной препарату «Альгерон»/Альг
Натрия ацетата тригидрат2,617 мг
Натрия хлорид8,0 мг
полисорбат 800,05 мг
ЭДТА, мг0,056 мг
Уксусная кислота ледянаядо pH 5,0
Вода для инъекцийдо 0,5 мл

[156]

Данные составы выявили высокую болезненность в момент введения, и побочные эффекты, проявившиеся в течение 5 минут после введения, в связи, с чем исследование болезненности данных составов завершено досрочно на малом числе добровольцев.

[157]

Среднее значение болезненности в момент введения для композиции Альг составило 6 баллов (9-3). Данный показатель для композиции К составил 5 баллов балла (7-2). Болезненность через 5 минут после введения имела значение для композиции Альг - 1 балл (0-3), для композиции К - 1 балл (0-3). Наблюдалась значительная гиперимия, отеки, зуд или воспаление в месте введения у 10 добровольцев из 30.

[158]

Таблица 13.
Результаты по исследованию болезненности композиций К и Альг
Композиция АльгДругие реакции
В момент введенияЧерез 5 минут
190Зуд
- Покраснение и отек
273- Воспаление
351Покраснение, зуд
430Покраснение
Композиция КДругие реакции
В момент введенияЧерез 5 минут
171- Неприятные ощущение (ломота, дискомфорт)
273- Воспаление, зуд
340- Легкий зуд, покраснение на короткое время
420- Зуд, покраснение

[159]

Результаты схематично представлены на Фиг. 5А и 5В.

[160]

Список использованной литературы:

[161]

Патент RU 2311930, 2004;

[162]

Патент RU 2382048, 2008;

[163]

Патент RU 2298560, 2004;

[164]

Патент RU 2180595, 2005;

[165]

Патент US 5,951,974, 1999;

[166]

Патент RU 2447083, 2010;

[167]

Bekisz, J., Schmeisser, П., Hemandez, J., Goldman, N.D., Zoon K.C., (2004), "Human Interferons Alpha, Beta and Omega". Growth Factors, Vol. 22 (4), pp. 243-251

[168]

Bukowski R., Emstoff M.S., Gore M.E., Nemunaitis J.J., Amato R., Gupta S.K., Tendler C.L. (2002) ".Pegylated interferon alfa-2b treatment for patients with solid tumors: a phase I/II study", Clin. OncoL, 2002; 20(18):3841-3849.

[169]

Chatelut E., Rostaing L., Gregoire N., Payen J.L., Pujol A., Izopet J., Houin G., Canal P.A. (1999) "Pharmacokinetic model for alpha interferon administered subcutaneously". Br. J. Clin. Pharmacol.; 47: 365-371.

[170]

Chevaliez S., Pawlotsky J.M., 2009, "Interferons and their use in persistent viral infections".

[171]

Decatris M., Santhanam S., O′Byme К (2002). "Potential of interferon-alpha in solid tumours: part I", BioDrugs. 2002; 16(4):261-81.

[172]

Glue P., Fang J.W., Rouzier-Panis R., et al. (2000) "Pegylated interferon-alpha2b: pharmacokinetics, pharmacodynamics, safety, and preliminary efficacy data". Clin. Pharmacol. Ther.; 68: 556-67.

[173]

Isaacs, A. and Lindenmann, J. (1957), "Virus interference: the interferon", Proc. R. Soc. Med, 147: 258-267.

[174]

Lam N.P., Pitrak D., Speralakis R., Lau A.H, Wiley Т.Е., Layden T.J. (1997), "Effect of obesity on pharmacokinetics and biologic effect of interferon-alpha in hepatitis C", Dig. Dis. Sci.; 42(1): 178-85.

[175]

Manns M.P., McHutchison J.G., Gordon S.C., et al. (2001) "Peginterferon alfa-2b plus ribavirin compared with interferon alfa-2b plus ribavirin for initial treatment of chronic hepatitis C: a randomized trial". Lancet, 358: 958-65.

[176]

Marcellin P. (2009) "Hepatitis В and hepatitis С in2009". Liver International, 29(sl): 1-8

[177]

McHutchinson J., Gordon S.C., Schiff E.R. et al, (1998), "Interferon alfa-2b alone or in combination with ribavirin as initial treatment for chronic hepatitis C" N. Engl. J. Med. Vol. 339, 21, 1485-1492.

[178]

Modi A.A., Liang T.J. (2008), "Hepatitis C: a clinical review". Oral. Dis., v. 14(1):10-4

[179]

Pestka, S., Krause, C.D., Walter M.R (2004), "Interferons, interferon-like cytokines, and their receptors", Immunological Reviews, 202: 8-32.

[180]

Pestka, S. (2007). "The interferons: 50 years after their discovery, there is much more to leam", J. Biol. Chem., 13; 282(28):20047-51.

[181]

Pestka, S. (2007). "Purification and cloning of interferon alpha", Curr Top Microbiol Immunol.; 316:23-37.

[182]

Quintas-Cardama A., Kantarjian H.M., Giles F., Verstovsek S. (2006), "Pegylated interferon therapy for patients with Philadelphia chromosome-negative myeloproliferative disorders". Semin Thromb Hemost., 2006; 32(4 Pt 2):409-16.

[183]

Reddy K.R., Wright T.L., Pockros P.J., Shiffman M., Everson G. et al, 2001, "Efficacy and safety of pegylated (40-kd) interferon a-2a compared with interferon a-2a in noncirrhotic patients with chronic hepatitis C", Hepatology, 33, 433-438.

[184]

Roberts M.J., Bentley M.D., Harris J.M. (2002)" Chemistry for peptide and protein PEGylation". Adv Drug Deliv Rev., 54(4):459-76

[185]

Wills R.J. "Clinical Pharmacology of interferons". Clin Pharmacokin. 1990; 19:390-399.

[186]

Youngster S., Wang Y.S., Grace M., Bausch J., Bordens R., Wyss D.F. (2002)." Structure, biology, and therapeutic implications of pegylated interferon alpha-2b" CurrPharmDes.; 8(24):2139-2157.

[187]

Zaiipsky S (1995). "Functionalized poly(ethylene glycol) for preparation of biologically relevant conjugates", Bioconj. Chem. 6, 150-165.

[188]

Zeuzem S., Heathcote J.E., Martin N., Nieforth K., Modi M. (2001), "Peginterferon alfa-2a (40 kDa) monotherapy: a novel agent for chronic hepatitis С therapy", Expert Opin Investig Drugs, 10(12):2201-2213.

[189]

Handbook of pharmaceutical manufacturing formulations. Volume 6. Sterile products/Sarfaraz K. Niazi, 2004.

Как компенсировать расходы
на инновационную разработку
Похожие патенты