Изобретение относится к области радиотехники и может быть использовано в различной приемо-передающей радиоаппаратуре. Технический результат заключается в повышении уровня мощности выделяемой гармоники перестраиваемых генераторов по отношению к выходной мощности колебаний их основной частоты. Перестраиваемый автогенератор гармоники выполнен на биполярном транзисторе, включенном по схеме с общей базой. В генераторе используются последовательно соединенные между собой индуктивности 19, 20, 21, 22 и конденсаторы 23, 24, 26, 25, соответственно. Вторые обкладки конденсаторов подключены к шине, а общие точки каждой пары элементов соединены с клеммами источников подачи напряжений питания на электроды транзистора 34 и управления варикапом 39. Устройство содержит три контура: эмиттерный, базовый и коллекторный. Эмиттерный контур включает параллельное соединение индуктивности 20 и суммарной емкости последовательно включенных варикапа и конденсатора 35. Базовый контур включает индуктивность 40 и конденсаторы 36, 37. Коллекторный контур включает последовательно соединенные индуктивность 41 и конденсатор 38. Коллекторный контур соединен с 50-омным выходом через конденсатор 29. 10 ил.
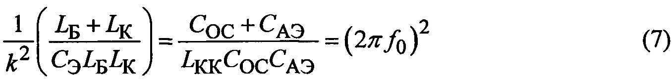
Перестраиваемый автогенератор гармоники, содержащий транзистор 34, включенный по схеме с общей базой, последовательно соединенные между собой индуктивности и конденсаторы под номерами 19 и 23, 20 и 24, 21 и 26, 22 и 25 соответственно, где вторые обкладки всех конденсаторов 23 - 26 подключены к общей шине, а общие точки каждой пары элементов соединены с клеммами 30 и 32, 31, 33 источников подачи напряжения управления варикапом 39 и напряжений питания на электроды транзистора 34, причем катод варикапа 39 подключен к свободному выводу индуктивности 19, а также к конденсатору 35, индуктивность 41, присоединенные одной обкладкой к общей шине конденсаторы 36 и 38, последовательно соединенные конденсатор 37 и индуктивность 40, общая точка которых подключена к свободному выводу индуктивности 21, а сами они включены между общей шиной и базой транзистора 34, эмиттер и коллектор которого соединены соответственно со свободными выводами индуктивностей 20 и 22, вывод последней из них дополнительно подключен через конденсатор 29 к выходу устройства, отличающийся тем, что вторая обкладка конденсатора 35 подключена к эмиттеру транзистора 34, а анод варикапа 39 - к общей шине, вторая обкладка конденсатора 36 подключена к базе транзистора 34, а вторая обкладка конденсатора 38 - к индуктивности 41, другой вывод которой соединен с коллектором транзистора 34, и величины основных элементов автогенератора гармоник удовлетворяют следующему соотношению: где ƒ0 - основная частота генерации устройства, k=2, 3, … - номер выделяемой гармоники, CАЭ - емкость перехода коллектор-эмиттер выбранного транзистора 34, CОС - эквивалентная емкость работающих на основной частоте последовательно соединенных эмиттерного и базового контуров: эмиттерный контур образован индуктивностью 20 и емкостями варикапа 39 и конденсатора 35, базовый контур - индуктивностью 40 и конденсаторами 36 и 37, LКК - эквивалентная индуктивность последовательно соединенных базового и коллекторного контуров, последний образован индуктивностью 41 и конденсатором 38 и работает на основной частоте, CЭ - эквивалентная емкость эмиттерного контура, связанного при работе на k-й гармонике основного колебания с коллекторным контуром при помощи конденсатора САЭ, LБ -эквивалентная индуктивность базового контура, работающего на k-й гармонике основного колебания, LК - эквивалентная индуктивность коллекторного контура, связанного при помощи конденсатора САЭ с эмиттерным контуром в процессе работы на k-й гармонике основного колебания.
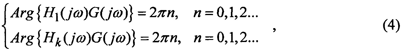
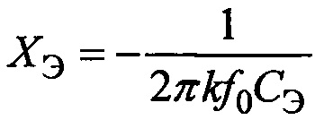
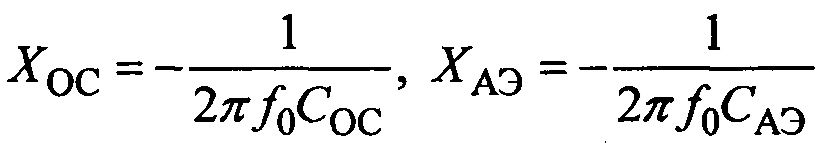
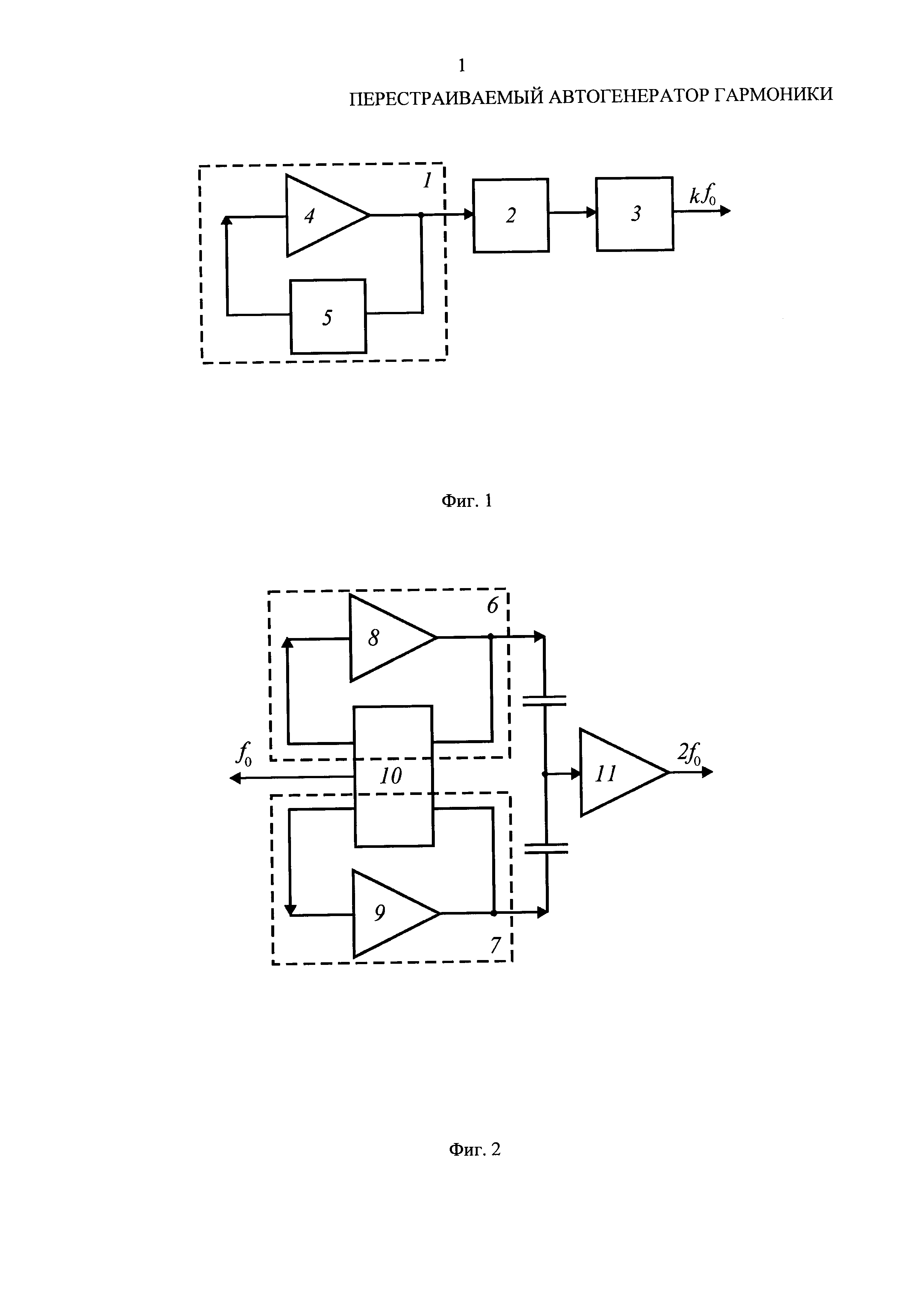
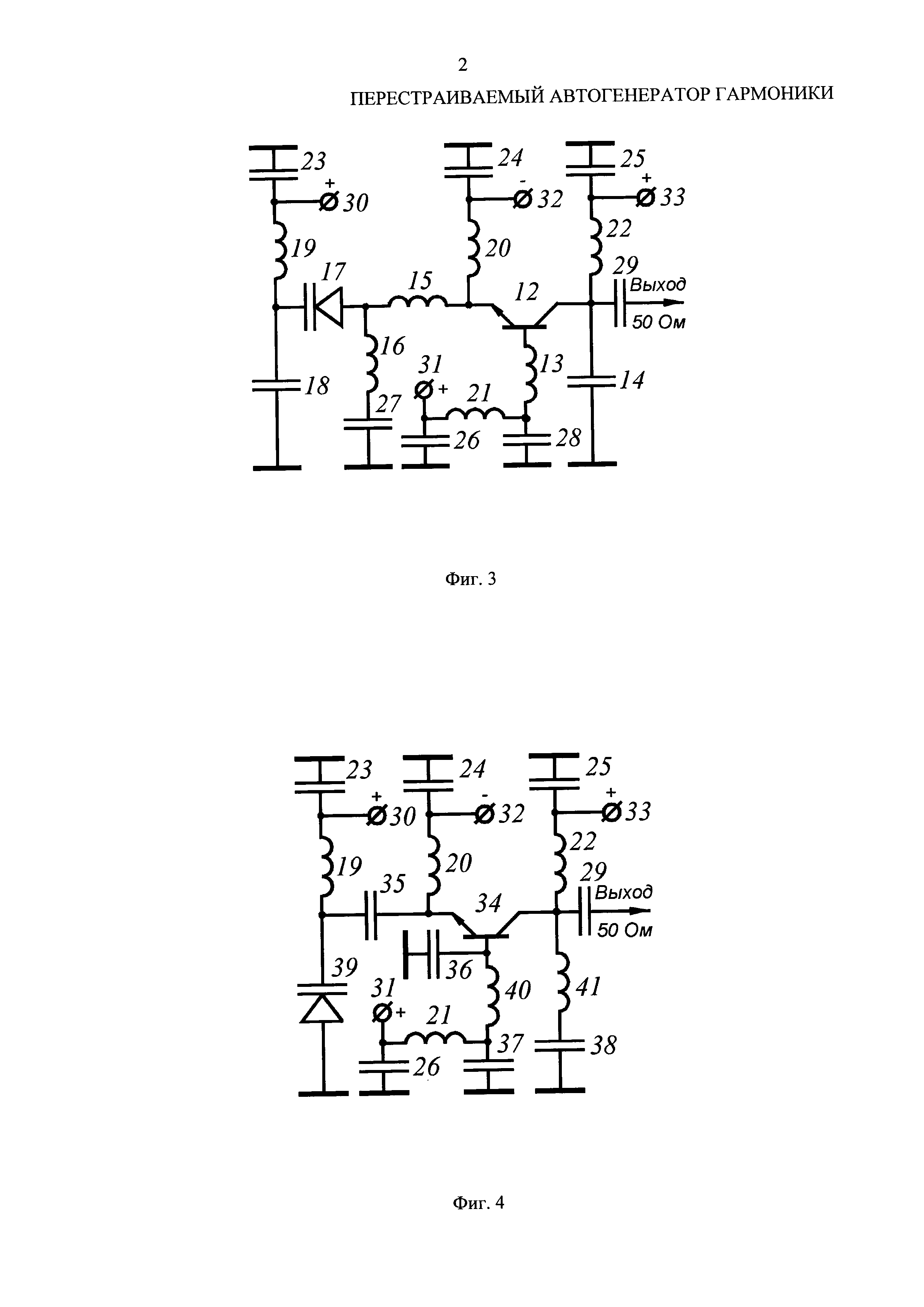
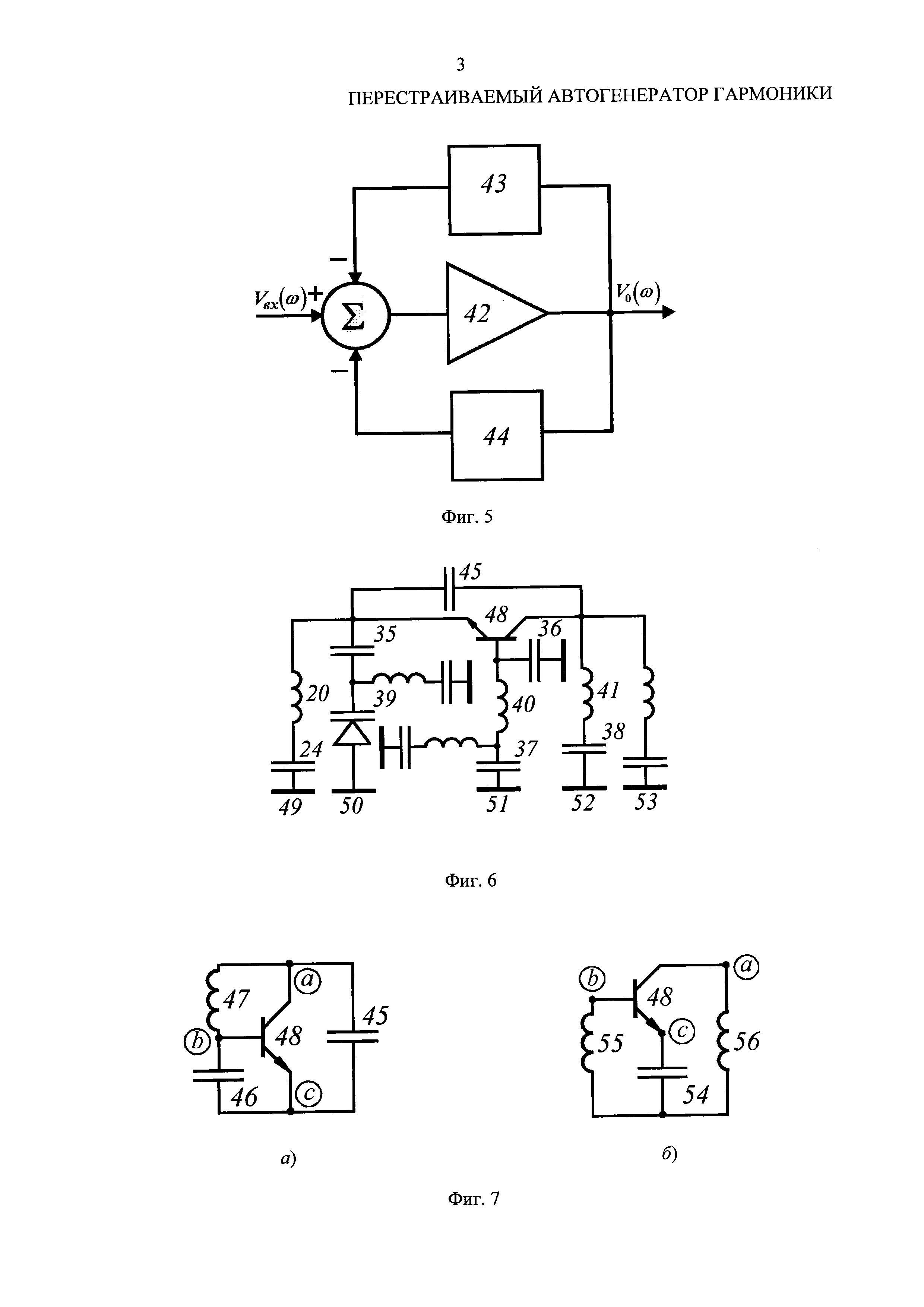
Предлагаемое устройство относится к области радиотехники и может быть использовано в различной приемо-передающей радиоаппаратуре, работающей вплоть до СВЧ диапазона. В частности, это устройство относится к СВЧ генераторам, управляемым напряжением (ГУН), которые одновременно формируют колебания основной частоты и частоты k-ой гармоники и предназначены для работы в современных синтезаторах частот. Известен автогенератор гармоники СВЧ (См. Малышев, В.А. Автогенератор гармоники СВЧ / В.А. Малышев, С.П. Бровченко // Авторское свидетельство СССР № SU 1054864 А. - Опубл. 15.11.83 в БИ №42). Данное устройство, блок-схема которого изображено на фиг. 1, состоит из автогенератора (АГ) 1 на транзисторе, включенного по схеме с общей базой, фильтра холостого хода (ФХХ) 2 и фильтра выделяемой гармоники (ФВГ) 3. Автогенератор 1 представлен в виде обобщенной схемы, содержащей активный 4 и пассивный 5 элементы, которые описывается комплексными коэффициентами передачи G(jω) и H1(jω). Нелинейный режим работы АГ приводит к генерации колебаний основной частоты и ее гармоник. По отношению к выходной мощности основного («несущего») колебания типовые уровни мощностей второй и третьей гармоник обычно находятся в пределах - (10-20) и - (20-35) дБн, соответственно (См., например, фиг. 5-28 и 5-29 в [1]). В данном устройстве реализуется режим «холостого хода» по основной частоте ƒ0, а при помощи фильтра ФВГ выделяется выходная мощность k-ой гармоники - kƒ0. Применение фильтра 3 приводит здесь к повышению выходной мощности гармоники на (30 - 40)%, так как при наличии ненагруженного контура в коллекторной цепи транзистора происходит не только прямое, но и промежуточное преобразование мощности первой гармоники в мощность выделяемой гармоники. Недостатком данного аналога является относительно невысокий уровень мощности выделяемой гармоники. Известен интегрированный с микрополосковой антенной СВЧ автогенератор (См. Любченко, В.Е. Генерация гармоник в схеме микрополосковой антенны-генератора, интегрированной с волноводом, встроенным в диэлектрическую подложку / В.Е. Любченко, В.И. Калинин, В.Д. Котов, Д.Е. Радченко, С.А. Телегин, Е.О. Юневич // Журнал Радиоэлектроники. - №2. - 2016). Данное устройство соответствует блок-схеме на фиг. 1, где функции фильтров ФХХ и ФВГ выполняет волновод, который для первой гармоники является запредельным, а вторая гармоника в нем распространяется беспрепятственно. Данный аналог имеет такой же недостаток - относительно невысокий уровень мощности выделяемой гармоники. Известен СВЧ автогенератор гармоники (См. Yabuki, Н. New type of push-push oscipliers for the frequency synthesizer / H. Yabuki, M. Sagawa, M. Makimoto // IEEE MTT-S Int. Microwave Symp. Dig. - 1992. - P. 1085 - 1088). Его блок-схема изображена на фиг. 2. Данное устройство содержит два выхода колебаний на основной ƒ0 и удвоенной 2ƒ0 частотах. Оно состоит из двух АГ 6 и 7, где активные элементы 8, 9 работают на общую резонансную систему 10, основными элементами которой являются связанные первый и второй отрезки длинных микрополосковых линий. При идентичных режимах работы транзисторов в АГ 6 и 7 и точном подключении их нагрузки к средней точке первого отрезка длинной линии происходит сложение четных гармонических составляющих и устройство работает как умножитель частоты на два [2]. При этом с выхода второго отрезка длинной линии выделяется колебание основной частоты ƒ0 мощностью -5 дБм. Вместе с тем, на другом выходе устройства выходная мощность второй гармоники 2ƒ0 составляет всего лишь -9 дБм даже с использованием усилителя 11. Недостатком данного устройства, а также других, аналогичных ему «push-push» генераторных систем [3, 4], является относительно низкий уровень мощности гармоники. Наиболее близким к предлагаемому техническим решением является СВЧ генератор, управляемый напряжением (См. Obregon, J. Ultrabroadband electronically tunable oscillators / J. Obregon, P. G. Marechal, Y. Le Tron, R. Funck // Proceedings of the 11th European Microwave Conference, 7-11 Sept., 1981, Amsterdam, Netherlands. - 1981. - P. 475 - 479). Генератор (См. фиг. 3) выполнен на биполярном транзисторе 12, включенном по схеме с общей базой. На его входе реализуется необходимое для генерации колебаний отрицательное сопротивление. Так, в выбранной модели транзистора [5], где его база нагружена на индуктивность 13, а коллектор - на емкость 14, цепь эмиттера транзистора, представляет собой сумму проводимостей, образованных эквивалентными отрицательным сопротивлением и емкостью. Для компенсации последней во входной цепи используется дополнительные индуктивные элементы 15 и 16. Вместе с ними в процессе компенсации емкости в диапазоне частот участвуют также емкости варикапа 17 и конденсатора 18. Генератор на фиг. 3 содержит индуктивные 19-22 и емкостные 23-28 элементы развязки СВЧ цепей по питанию, а также разделительный конденсатор 29 на 50-Омном выходе. Для подачи запирающего напряжения на варикап 17 используется клемма 30, а для ввода напряжений питания на электроды транзистора - клеммы 31-33. Недостатком устройства - прототипа является относительно невысокий уровень мощности выделяемой гармоники. Технический эффект, на достижение которого направлено предлагаемое решение, заключается в повышении уровня мощности выделяемой k-ой гармоники перестраиваемых генераторов по отношению к выходной мощности их колебаний основной частоты (k≥2). Этот эффект достигается тем, что в перестраиваемом автогенераторе гармоник, содержащем транзистор 34, включенный по схеме с общей базой, последовательно соединенные между собой индуктивности и конденсаторы под номерами 19 и 23, 20 и 24, 21 и 26, 22 и 25, соответственно, где вторые обкладки всех конденсаторов 23-26 подключены к общей шине, а общие точки каждой пары элементов соединены с клеммами 30 и 32, 31, 33 источников подачи напряжения управления варикапом 39 и напряжений питания на электроды транзистора 34, причем катод варикапа 39 подключен к свободному выводу индуктивности 19, а также к конденсатору 35, индуктивность 41, присоединенные одной обкладкой к общей шине конденсаторы 36 и 38, последовательно соединенные конденсатор 37 и индуктивность 40, общая точка которых подключена к свободному выводу индуктивности 21, а сами они включены между общей шиной и базой транзистора 34, эмиттер и коллектор которого соединены соответственно со свободными выводами индуктивностей 20 и 22, вывод последней из них дополнительно подключен через конденсатор 29 к выходу устройства, согласно изобретению вторая обкладка конденсатора 35 подключена к эмиттеру транзистора 34, а анод варикапа 39 - к общей шине, вторая обкладка конденсатора 36 подключена к базе транзистора 34, а вторая обкладка конденсатора 38 - к индуктивности 41, другой вывод которой соединен с коллектором транзистора 34, и величины основных элементов автогенератора гармоник удовлетворяют следующему соотношению: где ƒ0 - основная частота генерации устройства, k=2, 3, … - номер выделяемой гармоники, САЭ - емкость перехода коллектор-эмиттер выбранного транзистора 34, CОС - эквивалентная емкость работающих на основной частоте последовательно соединенных эмиттерного и базового контуров: эмиттерный контур образован индуктивностью 20 и емкостями варикапа 39 и конденсатора 35, базовый контур - индуктивностью 40 и конденсаторами 36 и 37, LКК - эквивалентная индуктивность последовательно соединенных базового и коллекторного контуров, последний образован индуктивностью 41 и конденсатором 38 и работает на основной частоте, CЭ - эквивалентная емкость эмиттерного контура, связанного при работе на k-ой гармонике основного колебания с коллекторным контуром при помощи конденсатора САЭ, LБ эквивалентная индуктивность базового контура, работающего на k-ой гармонике основного колебания, LК - эквивалентная индуктивность коллекторного контура, связанного при помощи конденсатора САЭ с эмиттерным контуром в процессе работы на k-ой гармонике основного колебания. Принципиальная схема предложенного устройства представлена на фиг. 4. Перестраиваемый автогенератор гармоники выполнен на биполярном транзисторе 34, включенном по схеме с общей базой. В СВЧ диапазоне основными частотозадающими элементами являются емкость транзисторного перехода «коллектор-эмиттер» CКЭ, емкости конденсаторов 35-38, варикапа 39 и индуктивности 40 и 41. Кроме этого устройство содержит индуктивные 19-22 и емкостные 23-26 элементы развязки СВЧ цепей по питанию, которые также могут незначительно влиять на частоты, в большей степени, основного и, в меньшей степени, гармонических колебаний. В силу особенностей работы устройства учтем влияние лишь одного развязывающего элемента 20, влиянием других пренебрежем. Генератор подключен к 50-Омному выходу через разделительный конденсатор 29. Для подачи запирающего напряжения на варикап 39 используется клемма 30, а для ввода напряжений питания на электроды транзистора - клеммы 31 - 33. Предложенное устройство работает следующим образом. Оценим принципиальные возможности одновременной генерации колебаний основной частоты и ее k-ой гармоники. Для этого на фиг. 5 рассмотрим обобщенную модель колебательной системы, где один усилительный элемент 42 с коэффициентом передачи G(jω) работает одновременно на два контура (43 и 44) с коэффициентами передач H1(jω) и Hk(jω), причем один настроен для генерации колебания основной частоты, а другой - для генерации ее k-ой гармоники. Для данного случая установим связь входного Vвх(ω) и выходного V0(ω) напряжений в виде: Из уравнения (1) следует, что даже когда Vвх(ω)=0, выходное напряжение V0(ω) колебательной системы на фиг. 5 может быть ненулевым при следующих условиях: Полученные условия (2) и (3) обобщают критерий Баркхаузена [3, 4] для любых случаев, когда колебательные системы одновременно генерируют колебания основной частоты и ее k-ой гармоники. Для частного случая, когда генерация имеет место, как на основной частоте, так и на ее гармонике, то есть когда справедлива следующая система: кратность 2π в выражении (3) сохраняется и условие (3) тоже автоматически выполняется. Таким образом, полученные выражения (2) и (3) подтверждают возможность одновременной генерации колебаний основной частоты и ее k-ой гармоники. Другими словами, если создать условия (4) для генерации колебаний на основной частоты и на ее k-ой гармонике, то на данных частотах возможно получение колебаний с приблизительно равными уровнями их выходных мощностей. Такое равенство уровней можно достичь, если коэффициенты передач активной и пассивной цепей на фиг. 5, а также динамический диапазон по выходной мощности выбранного транзистора будут мало отличаться друг от друга на основной частоте и на ее k-ой гармонике. Реализуем описанные возможности в предложенном на фиг. 4 устройстве. Поясним работу данного генератора, используя упрощенную схему, которая приведена на фиг. 6. В упрощенной модели генератора выделяются две трехточечные схемы: треугольная (См. фиг. 7а)) и звездообразная (См. фиг. 7б)). Треугольная схема представляет собой обычную схему емкостной трехточки, точки которой отмечены буквами а, в и с. Звездообразная схема получена в работе [6] из типовой треугольной схемы индуктивной трехточки на основе общих взаимных условий эквивалентных преобразований треугольника сопротивлений в звезду и наоборот - преобразования сопротивлений звезды в треугольник. В звездообразной схеме на фиг. 7б) точки отмечены также буквами а, в и с, а в качестве центральной точки звезды используется корпус прибора. Треугольная трехточечная схема генератора на фиг. 6 реализуется, если под элементами 45, 46 и 47 на фиг. 7а) понимать следующие реактивности. Элемент 45 образован емкостью перехода «активного элемента» 48 - САЭ или емкостью «коллектор-эмиттер» транзистора СКЭ. Элемент 46 представляет собой емкость «обратной связи» - СОС или эквивалентную емкость работающих на основной частоте последовательно соединенных эмиттерного и базового контуров (см. фиг. 6). Эмиттерный контур здесь образован индуктивностью 20 и емкостями варикапа 39 и конденсаторов 24, 35, а базовый контур - индуктивностью 40 и конденсаторами 36, 37. Элемент 47 на фиг. 7а) является индуктивностью «колебательного контура» LKK, которая представляет собой эквивалентную индуктивность последовательно соединенных базового и коллекторного контуров (см. фиг. 6). Причем коллекторный контур образован индуктивностью 41 и конденсатором 38 и работает на основной частоте. В этом случае частота генерации находится из условия: ХАЭ+ХОС+ХКК=0 [7], где ХКК=2πƒ0LКК, Звездообразная трехточечная схема генератора на фиг. 6 реализуется, если под элементами 54-56 на фиг. 7б) понимать следующие реактивности. Элементом 54 является эквивалентная емкость СЭ эмиттерного контура, связанного при работе на k-ой гармонике основного колебания с коллекторным контуром при помощи конденсатора СКЭ на фиг. 6. Элементы 55, 56 представляют собой эквивалентную индуктивность LБ базового контура, работающего на k-ой гармонике основного колебания, и, соответственно, эквивалентную индуктивность LК коллекторного контура, связанного при помощи конденсатора СКЭ на фиг. 6 с эмиттерным контуром в процессе работы на k-ой гармонике основного колебания. Для звездообразной схемы генератора его частота kƒ0 находится из условия: ХКХЭ+ХЭХБ+ХКХБ=0 [8], где Если автогенератор гармоник работает на высоких частотах, то для соблюдения соотношений (5) и (6) необходимо выполнить дополнительные условия, при которых точки подключения «земляных» контактов 49, 50, 51, 52 и 53 к общей шине на фиг. 6 должны быть расположены как можно ближе друг к другу. В противном случае конструктивные индуктивности, которые имеют место между указанными точками, должны быть учтены при расчетах величин элементов, входящих в формулы (5) и (6). Одновременное выполнение условий (5) и (6) предполагает, что знак реактивности эквивалентных сопротивлений базового контура, работающего на основной частоте и ее k-ой гармонике, должен быть принципиально разным: отрицательным на основной частоте и положительным на k-ой гармонике. Другими словами, на основной частоте и ее k-ой гармонике эквивалентное сопротивление базового контура должно носить емкостной и индуктивный характер, соответственно. Таким образом, при выборе номиналов частотозадающих элементов в соответствии с формулами (5) и (6) или в соответствии с выражением: реализуются условия одновременной генерации колебаний основной частоты и ее k-ой гармоники. В результате генерации на данных частотах можно ожидать повышение уровня выходной мощности k-ой гармоники, по крайней мере, до уровня выходной мощности колебания основной частоты. Причем указанный положительный эффект достигается здесь без обязательной настройки различных (ненагруженных, нагруженных, запредельных и других) контуров на выходах аналогичных автогенераторов гармоник. Пример конкретного выполнения устройства. Рассмотрим перестраиваемый автогенератор гармоник, который одновременно генерирует колебания на основной частоте и на второй гармонике (k=2) в окрестностях частот 5 и 10 ГГц. В соответствии со схемой на фиг. 4 генератор реализован по гибридно-интегральной технологии на поликоровой подложке размером 10×12.5×0.5 мм, которая расположена в корпусе с габаритными размерами 12.5×20×5 мм (см. фиг. 8). Данный генератор выполнен на кремниевом биполярном транзисторе 34 типа 2Т648А-5, который в схеме с общей базой работает до 12 ГГц, то есть имеет гарантированный техническими условиями [9] коэффициент усиления колебаний, как на основной частоте, так и на ее гармонике. Из приведенной в технических условиях [9] эквивалентной схемы корпусного транзистора используем лишь емкость перехода коллектор-эмиттер СКЭ=0.1 пФ, поскольку другие паразитные конструктивные элементы в кристалле транзистора отсутствуют. В качестве диода с переменной емкостью 39 использован кристалл кремниевого варикапа 2В174А9, емкость которого меняется в диапазоне от 0.7 до 2.5 пФ. В рассматриваемом генераторе в качестве емкостных элементов используются керамические чип конденсаторы К10-71 с минимально возможными размерами и следующими номиналами: ≈0.2 пФ (для элементов 35, 36), 1.5 пФ (для элементов 37, 38), 47 пФ (для элементов 23 - 26), 15 пФ (для элемента 29). В качестве индуктивных элементов 19-22 в схеме на фиг 4 использованы золотые проволочки толщиной 15 мкм и длиной от 4.5 до 5.5 мм с расчетными величинами индуктивностей от 5.5 до 6.5 нГн. Величины индуктивных элементов 40 и 41 (в виде 15 мкм золотых проволочек) являются также расчетными и составляют ≈0.6 и ≈2.5 нГн, соответственно. Используя в формулах (5)-(7) выбранные и расчетные величины элементов схемы на фиг. 4, проведены оценки основной частоты и ее второй гармоники. Их величины составляют 5.6 и 10.2 ГГц. При проведении частотных оценок учитывались паразитные индуктивности между точками подключения «земляных» контактов 49, 50, 51, 52 и 53 к общей шине. Разработанное устройство генерирует колебания основной частоты (≈4.91 ГГц) и второй гармоники (≈9.82 ГГц) общей мощностью ≈5 дБм при коллекторном напряжении питания +6 В и токе потребления ~25 мА. При изменении управляющего напряжения от 0 до 12 В частота второй гармоники меняется от 9.75 до 10 ГГц. Для рассматриваемого макета, работающего при управляющем напряжении +2.5 В, на фиг 9 приведен спектр его выходного колебания, который получен с помощью анализатора спектра FSUP-26 (ROHDE&SCHWARZ). Из фиг. 9 видно, что уровень второй гармоники приблизительно на 5 дБ выше уровня выходной мощности колебания основной частоты, что экспериментально подтверждает заявленный положительный эффект. Таким образом, приведенный пример конкретной реализации перестраиваемого автогенератора гармоник, подтверждает возможность получения повышенных уровней мощности выделяемой k-ой гармоники по отношению к выходной мощности колебаний основной частоты (k≥2). Теоретически на основной частоте и на ее k-ой гармонике возможно получение колебаний с приблизительно равными уровнями их выходных мощностей. Экспериментально установлено, что уровни выходной мощности колебаний с частотой k-ой гармоники могут быть и относительно выше. Источники информации 1. R&S FSUP Signal source analyzer / Quick start guide // Rohde & Schwarz GmbH & Co. -Germany, Munich. - 2011. 2. Гребенников, A.B. Октавные автогенераторы УВЧ диапазона на МДП-транзисторах / А.В. Гребенников, В.В. Никифоров // Полупроводниковая электроника в технике связи; под ред. И.Ф. Николаевского. - М.: Радио и Связь. - 1986. - Вып. 26. - С. 188-194. 3. Rohde, U.L. The design of modern microwave oscillators for wireless applications / U.L. Rohde, A.K. Poddar, G. Bock. - New Jersey, USA: John Wiley & Sons, Inc., 2005. - 543 p. 4. Grebennikov, A. RF and microwave transistor oscillator design / A. Grebennikov. - Chichester, England: John Wiley & Sons, Ltd, 2007. - 441 p. 5. Marechal, P.G. 1.5 to 4.5 GHz varactor-tuned transistor oscillator / P.G. Marechal, J. Obregon // Proceedings of the 9-th European Microwave Conference, 1979, Brighton, U.K. - 1979. - P. 621-624) 6. Баранов, A.B. Частные и обобщенные эквивалентные трехточечные схемы СВЧ автогенераторов / А.В. Баранов // Электронная техника. Сер. 1. СВЧ - техника. - 2017. - Вып. 1(532). - С. 18-25. 7. Радиопередающие устройства / Под ред. М.В. Благовещенского, Г.М. Уткина. - М.: Радио и связь, 1982. - 408 с. 8. Баранов, А.В. Управляемая напряжением система двух взаимно синхронизированных СВЧ автогенераторов / А.В. Баранов // Материалы XIX координационного научно-технического семинара по СВЧ технике, п. Хахалы Нижегородской обл., (05-07). 09.2017. - Нижний Новгород, 2017. - С. 55-57. 9. Приборы полупроводниковые бескорпусные. Транзистор 2Т 648 А-5. Частные технические условия аАО. 339.266 ТУ/Д1. - 1981.




, и равна:
, ХК=2πkƒ0LК, ХБ = 2πkƒ0LБ, и равна:
