патент
№ RU 2562831
МПК H01J25/02
Номер заявки
2014126050/07
Дата подачи заявки
27.06.2014
Опубликовано
10.09.2015
Страна
RU
Как управлять
интеллектуальной собственностью
Реферат

Изобретение относится к технике генерации мощных электромагнитных импульсов и может быть использовано в импульсной радиолокации и при испытаниях технических средств на воздействие мощных импульсных электромагнитных полей. Технический результат - увеличение эмиссии электронов, что позволяет повысить мощность генератора ЭМИ. Генератор электромагнитных импульсов содержит фотокатод и сетчатый параболоидный анод, подключенные к первому источнику напряжения, и импульсный источник сферической волны излучения, который установлен внутри сетчатого параболоидного анода софокусно ему, дополнительно содержит сетчатый параболоидный динод, соосный и софокусный параболоидному аноду, расположенный между фотокатодом и сетчатым параболоидным анодом, и второй источник напряжения, подключенный к фотокатоду и к сетчатому параболоидному диноду. 1 ил.

Формула изобретения

Генератор электромагнитных импульсов, содержащий фотокатод и сетчатый параболоидный анод, подключенные к первому источнику напряжения, и импульсный источник сферической волны излучения, который установлен внутри сетчатого параболоидного анода софокусно ему, отличающийся тем, что дополнительно содержит сетчатый параболоидный динод, соосный и софокусный параболоидному аноду, расположенный между фотокатодом и сетчатым параболоидным анодом, и второй источник напряжения, подключенный к фотокатоду и к сетчатому параболоидному диноду.

Описание

[1]

Изобретение относится к технике генерации мощных электромагнитных импульсов и может быть использовано в импульсной радиолокации и при испытаниях технических средств на воздействие мощных импульсных электромагнитных полей.

[2]

Известен генератор электромагнитных импульсов (ЭМИ) [1], содержащий импульсный лазер, плоский фотокатод и параллельный ему сетчатый анод, подключенные к источнику напряжения.

[3]

Этот генератор работает следующим образом. К промежутку между фотокатодом и анодом прикладывается напряжение. Импульсный лазер продуцирует импульс света, который направляется на некоторую мишень для создания вблизи ее поверхности слоя лазерной плазмы, конвертирующей импульс света в импульс рентгеновского излучения. Если предварительно ориентировать фотокатод и анод так, чтобы рентгеновское излучение освещало бы фотокатод под некоторым углом φ<90°, то по поверхности фотокатода побежит волна электронной эмиссии со скоростью, и большей скорости света с (υ=c/sin φ>с). Эмиттированные электроны, ускоряясь в промежутке «фотокатод - анод», проходят сквозь сетчатый анод и попадают в свободное от внешнего электрического поля эквипотенциальное пространство. Волна инжекции электронов в эквипотенциальное пространство, бегущая вдоль анодной сетки со сверхсветовой скоростью, является источником сверхширокополосного ЭМИ, причем направленность электромагнитного излучения обеспечивается черенковским характером формирования интерфереционной картины излучения.

[4]

Учитывая, что лазерная плазма, образованная узким пучком когерентного света, фактически является точечным источником рентгеновского излучения, то угол падения рентгеновских квантов на плоский фотокатод на разных его участках различный, поэтому и направление черенковского излучения по мере прохождения волны инжекции вдоль плоского анода меняется.

[5]

Таким образом, главным недостатком известного генератора ЭМИ является широкая диаграмма направленности излучения, что ограничивает его применение, например в импульсной радиолокации.

[6]

Наиболее близким по технической сущности заявляемому генератору является генератор ЭМИ, описанный в [2] (прототип). Этот генератор ЭМИ содержит импульсный или импульсно-периодический лазер, фотокатод с отверстием для ввода лазерного излучения и сетчатый параболоидный анод, подключенные к источнику напряжения, и рассеиватель лазерного излучения в виде зеркального параболоида вращения, который установлен внутри анодного параболоида соосно и софокусно ему, причем отверстие в фотокатоде выполнено по оси параболоидов.

[7]

Принцип действия известного генератора ЭМИ основан на следующей последовательности процессов: генерация мощного импульса или последовательности импульсов света субнаносекундного диапазона длительности с помощью лазера, преобразование лазерного луча в сферически расходящуюся волну света при отражении лазерного луча от параболоидного зеркала, освещение фотокатода этой сферической волной света с целью инициирования поверхностной волны фотоэмиссии электронов, бегущей по фотокатоду в направлении от его оси со скоростью υ>с, ускорение эмитированных электронов в диодном промежутке «фотокатод - анод» и их последующая инжекция сквозь сетчатый анод внутрь эквипотенциальной полости, охватываемой анодом. Тогда в этой полости возбуждается волна инжекции электронов в задиодное полупространство, бегущая вдоль анодной сетки также со сверхсветовой скоростью, которая является источником ЭМИ. Узкая направленность при излучении ЭМИ здесь обеспечивается как черенковским характером генерации излучения, так и оптическим свойством анодного параболоида вращения, заключающимся в том, что волна, испущенная сферически симметричным источником из его фокуса, отразившись от поверхности параболоида, имеет плоский фронт.

[8]

Недостатком прототипа является малая эмиссия электронов и, как следствие, малая мощность генератора ЭМИ, поскольку мощность генератора ЭМИ ограничена эмиссионной способностью фотокатода. Эмиссионной способности фотокатода недостаточно, например, чтобы кроме источника ЭМИ, обусловленного волной инжекции электронов, задействовать в генераторе ЭМИ второй источник сверхсветового электромагнитного излучения, который в свою очередь обусловлен бегущей вдоль сеточного анода волной пространственного заряда виртуального катода, образующегося в задиодном полупространстве внутри эквипотенциальной полости параболоидного анода вблизи его поверхности при высоких плотностях тока инжекции электронов.

[9]

Техническим результатом изобретения является увеличение эмиссии электронов, что позволяет повысить мощность генератора ЭМИ.

[10]

Технический результат достигается тем, что генератор электромагнитных импульсов, содержащий фотокатод и сетчатый параболоидный анод, подключенные к первому источнику напряжения, и импульсный источник сферической волны излучения, который установлен внутри сетчатого параболоидного анода софокусно ему, дополнительно содержит сетчатый параболоидный динод, соосный и софокусный параболоидному аноду, расположенный между фотокатодом и сетчатым параболоидным анодом, и второй источник напряжения, подключенный к фотокатоду и к сетчатому параболоидному диноду.

[11]

На чертеже изображена схема конструктивного выполнения предлагаемого генератора ЭМИ. На чертеже приняты следующие обозначения:

[12]

1 - импульсный источник сферической волны излучения;

[13]

2 - фотокатод;

[14]

3 - сетчатый параболоидный динод;

[15]

4 - источник напряжения для электропитания динода;

[16]

5 - сетчатый параболоидный анод;

[17]

6 - источник напряжения для электропитания анода, стрелками показан ход сферической волны излучения.

[18]

Генератор ЭМИ содержит импульсный источник 1 сферической волны излучения, например плазменного типа, работающий в коротковолновой части видимого и ультрафиолетовой части спектра, фотокатод 2, изготовленный из материала с максимальным квантовым выходом, соответствующим спектру импульсного источника 1 сферической волны излучения, сетчатый параболоидный динод 3, изготовленный из электропроводящего материала с диэлектрическим покрытием, обладающим высоким коэффициентом вторичной электронной эмиссии, источник напряжения 4 для электропитания динода 3, подключенный к фотокатоду 2 и сетчатому параболоидному диноду 3, сетчатый параболоидный анод 5, изготовленный из электропроводящего материала с пониженным динатронным эффектом, источник напряжения 6 для электропитания анода 5, подключенный к фотокатоду 2 и сетчатому параболоидному аноду 5, причем импульсный источник 1 сферической волны излучения установлен внутри параболоида сетчатого параболоидного анода 5 софокусно ему, сетчатый параболоидный динод 3 расположен между фотокатодом 2 и сетчатым параболоидным анодом 5 соосно и софокусно сетчатому параболоидному аноду 5, источники напряжения электропитания динода 4 и анода 6 могут быть взаимозаменяемы с необходимой переустановкой уровней напряжения.

[19]

Генератор ЭМИ работает следующим образом.

[20]

К промежуткам «фотокатод - динод» и «фотокатод - анод» от источников напряжения 4 и 6 соответственно прикладываются постоянные или импульсные напряжения положительной полярности относительно фотокатода 2, причем напряжение источника 6 выше напряжения источника 4. Источником 1 генерируется импульс или последовательность импульсов сферической волны излучения субнаносекундного диапазона длительности. Сферически симметрично расширяясь, волна излучения достигает поверхности фотокатода 2, при этом точки касания волнового фронта по мере набегания сферической волны на фотокатод 2 движутся по направлению от оси фотокатода 2 вдоль его образующей, причем угол падения света на поверхность фотокатода 2 отличен от 90°. В результате такого процесса освещения фотокатода 2 инициируется поверхностная волна фотоэмиссии электронов, бегущая вдоль поверхности фотокатода 2 в направлении от его оси со скоростью υ>с. Эмулированные электроны ускоряются в промежутке «фотокатод - динод» и, двигаясь по силовым линиям электрического поля, налетают на сетчатый динод 3, взаимодействуют с материалом его поверхности и выбивают из нее вторичные электроны с коэффициентом размножения первичных электронов много большим единицы. Вторичные электроны, концентрируясь вблизи сетчатого динода 3, захватываются электрическим полем промежутка «динод - анод», ускоряются в этом промежутке до субрелятивистских скоростей, проходят сквозь сетчатый параболоидный анод 5 и инжектируются в его эквипотенциальную параболоидную полость. В результате в этой полости вблизи поверхности сетчатого параболоидного анода 5 возбуждается волна инжекции электронов в полупространство, бегущая вдоль анодной сетки от оси сетчатого параболоидного анода 5 к его периферии так же, как и волна фотоэмиссии, со сверхсветовой скоростью. Эта волна в соответствии с эффектом Черенкова сбрасывает часть своей энергии в окружающее пространство посредством излучения, генерируя ЭМИ. Накладываясь друг на друга, распределенные по поверхности сетчатого параболоидного анода 5 парциальные источники ЭМИ интерферируют между собой в его эквипотенциальном пространстве, формируя в выходном сечении сетчатого параболоидного анода 5 результирующий ЭМИ.

[21]

Количественная оценка эффекта предлагаемого технического решения может быть осуществлена следующим образом.

[22]

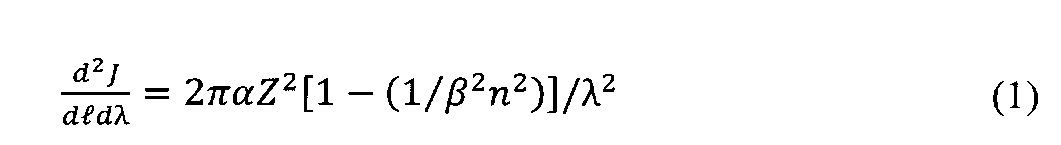
В соответствии с изложенным в [3] при движении заряженной частицы со сверхсветовой скоростью υ возникающее по длине ее трека l излучение характеризуется спектральным распределением его интенсивности J вида

[23]

[24]

где λ - длина волны в спектре излучения;

[25]

α=e2/hc=1/137 - постоянная тонкой структуры;

[26]

е - заряд электрона;

[27]

h - постоянная Планка;

[28]

с - скорость света в свободном пространстве;

[29]

Z - заряд частицы в единицах заряда электрона;

[30]

β=υ/c=[1-1/(1+Е/m0с2)2]1/2 - относительная скорость частицы;

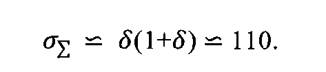
[31]

Е - энергия частицы;

[32]

m0 - масса покоя частицы;

[33]

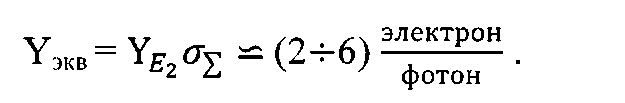
n - коэффициент преломления среды, в которой движется частица.

[34]

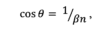
С учетом того что испускание черенковского излучения происходит в конусе с углом раствора 20, удовлетворяющим соотношению

[35]

[36]

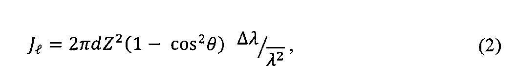
заменяя в (1)1/βn на cos θ и интегрируя его по λ в пределах некоторого спектрального участка Δλ=λ21, для которого λ1≤λ≤λ2, получаем выражение для интенсивности излучения на единицу длины трека частицы в «окне» Δλ

[37]

[38]

где λ¯=λ1λ2 - средняя пропорциональная длина волн для наблюдаемого участка спектра Δλ.

[39]

В эквипотенциальном пространстве сетчатого параболоидного анода 5, в котором происходит генерирование и формирование ЭМИ, в каждой точке поверхности анода 5 справедливо равенство

[40]

cosθ=sinφ

[41]

как для двух углов, дополняющих друг друга до π/2.

[42]

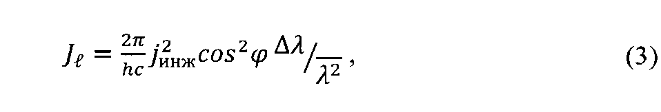
Если при этом, вычисляя Jl, рассматривать не трек одного электрона, а принимать во внимание ленту электронов шириной 1 см, то выражение (2) для удельной интенсивности на 1 см длины их трека переходит в

[43]

[44]

где jинж - плотность тока инжекции электронов через сетчатый анод 5.

[45]

Из (3) видно, что интенсивность ЭМИ пропорциональна квадрату плотности тока инжекции электронов в эквипотенциальное пространство сетчатого параболоидного анода 5. Линейность между плотностью анодного тока и потоком инициирующего лазерного излучения в генераторе ЭМИ, как во всяком подобном вакуумном фотоэлементе, сохраняется только в определенных пределах. Максимальный линейный ток фотоэлемента определяется двумя основными факторами: свойствами фотокатода и влиянием объемного заряда электронов в межэлектродных промежутках. Практика создания фотоэлементов, работающих с импульсными излучениями, показывает [4 - табл. 3.4, 5 - табл. 2], что максимальные плотности отбираемого с фотокатода электрического тока, достигаемые в линейном режиме, составляют в зависимости от конкретной разработки 3-15 А/см2. В то же время, из оценок, сделанных в [2], следует, что для включения дополнительного механизма генерации ЭМИ, связанного со сверхсветовым движением виртуального задиодного катода (точнее со сверхсветовым расширением слоя объемного электронного заряда), необходимо при межэлектродном промежутке «фотокатод - анод» величиной 1 см иметь плотность тока инжекции электронов сквозь сетчатый анод более 100 А/см2. Такая плотность тока в вакуумном диодном промежутке может быть достигнута только в нелинейном режиме интенсивного образования прикатодной электронной плазмы, которая, медленно расширяясь, постепенно заполняет промежуток. При этом ускорение электронов приложенным к диодному промежутку напряжением и формирование электронного потока инжекции сквозь анод происходит до момента перекрытия этого промежутка плазмой.

[46]

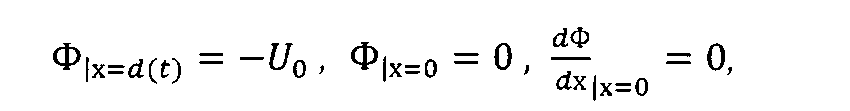
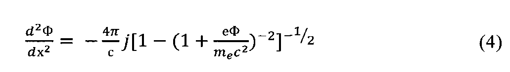
Плотность электронного тока j в плоском диоде, поперечные размеры которого намного превосходят продольный, в процессе его перекрытия плазмой определяется из решения уравнения Пуассона (в системе СГС) для потенциала Ф в диодном промежутке [6]

[47]

[48]

с граничными условиями

[49]

[50]

где d(0) - расстояние между электродами.

[51]

В предельных случаях нерелятивистского, eUo<<mec2, и ультрарелятивистского, eUo>>mec2, потока имеем следующие решения уравнения (4)

[52]

[53]

где d(t)=d(0)-υ0t, υ0 - скорость расширения прикатодной электронной плазмы.

[54]

Плотность тока в (4) ограничена действием только пространственного заряда электронов, кроме того, считается, что эмиссионная способность катода неограниченно велика и на выражениях (5) никак не сказывается. Полагая, что эмиссия не носит взрывного характера, т.е. за время действия импульса, приложенного к диодному промежутку напряжения, оценим плотность тока j в нерелятивистском случае при характерных значениях d(0)=1 см, Uo=100 кВ. Подстановка в (5) заданных величин дает плотность тока j70 А/см2. Если длительность импульса питающего напряжения Uo невелика и его удается повысить, например до 200 кВ, то j возрастает до 200 А/см2, что уже соответствует плотности тока инжекции через сеточный анод, обеспечивающей формирование задиодного виртуального катода.

[55]

Препятствием к переходу вакуумного диода на основе фотокатода в режим ограничения тока пространственным зарядом при плотностях токов 200 А/см2 и более является низкая эмиссионная способность фотокатода.

[56]

Как известно [7], применяемый в прототипе [2] в качестве источника инициирующего излучения мощный твердотельный неодимовый лазер на иттриево-алюминиевом гранате (Nd - YAG), способный работать как в моноимпульсном, так и импульсно-периодическом режимах, имеет длину волны излучения λ1=1064 нм. Для увеличения энергии единичного кванта первую гармонику этого излучения преобразуют во вторую с λ2=532 нм, которая соответствует зеленой части видимого спектра и обладает большей эмиссионной способностью при взаимодействии с материалом фотокатода. Наиболее эффективными фотокатодами в этой области спектра являются фотокатоды на основе антимонидов щелочных металлов [8], в частности бищелочные (K2CsSb, Na2KSb) и многощелочные (Cs Na2 KSb) фотокатоды. Их квантовый выход Y для квантов с энергией Е2=hc/λ22,3 эВ в соответствии со спектральными характеристиками многощелочных фотокатодов [9, рис 25.16] составляет

[57]

[58]

Энергия, излучаемая Nd - YAG - лазерами за импульс длительностью Δtл10 нс, в импульсно-периодическом режиме с частотой повторения не менее 100 Гц (частотой, минимально необходимой в целях использования генератора ЭМИ в радиолокации), равна [7]

[59]

[60]

Этой энергии соответствует импульсная мощность лазера Рл107 Вт, которая без введения дополнительных каскадов усиления является константой конструктивной реализации лазера и не зависит от длительности лазерного импульса.

[61]

Тогда, если принять во внимание, что площадь поверхности фотокатода Sк, на которую падает сферическая волна излучения, в мощном генераторе ЭМИ приближается к Sk0,5 м2, предельное значение эмиссионного тока, снимаемого с 1 см2 поверхности фотокатода 2, определится из выражения

[62]

[63]

Поскольку во время импульса инжекции насыщения в задиодную область для поддержания плотности прикатодной электронной плазмы необходимо, чтобы выполнялось соотношение

[64]

jэм>jинж>100 А/см2,

[65]

то значения jэм50 А/см2 (которое при наличии процессов, вызывающих временную усталость фотокатода, со временем будет только понижаться) явно недостаточно для выхода генератора ЭМИ на максимальную мощность и обеспечения его эксплуатационной устойчивости.

[66]

Усиливающее действие сетчатого параболоидного динода 3, выводящее генератор ЭМИ на максимальную мощность, основано на явлении вторичной электронной эмиссии, возникающей в результате бомбардировки поверхности сетчатого параболоидного динода 3 первичными электронами. Для этого в предлагаемом генераторе ЭМИ, благодаря соотношениям размеров промежутков «фотокатод - динод» и «динод - анод» и приложенных к промежуткам напряжений от двух самостоятельных источников 4 и 6, напряженность электрического поля, устанавливаемая в промежутке «фотокатод - динод», несколько превышает напряженность электрического поля промежутка «динод - анод». Поэтому несмотря на несплошное исполнение сетчатого параболоидного динода 3 в виде металлической сетки этим промежуточным электродом перехватываются практически все первичные электроны, движущиеся от фотокатода 2 в сторону сетчатого параболоидного анода 5. Вместо них после взаимодействия с поверхностью сетчатого параболоидного динода 3 рождаются вторичные электроны, которые образуют насыщенную придинодную электронную плазму. Эта плазма становится источником электронов для промежутка «динод - анод», в котором они ускоряются до энергии, достаточной для образования в задиодном пространстве электронного слоя, называемого виртуальным катодом. Процесс нарастания тока в промежутке «динод - анод» запускается автоматически после того, как потенциал сетчатого параболоидного динода 3 понижается по отношению к потенциалу сетчатого параболоидного анода 5 до определенного уровня под влиянием придинодной плазмы вторичных электронов. При этом увеличивается относительная экранировка сетчатого параболоидного динода 3 вторичными электронами, и электрическое поле промежутка «динод - анод», возрастая пропорционально понижению потенциала сетчатого параболоидного динода 3, усиливает ток в этом промежутке.

[67]

Механизм формирования слоя придинодной электронной плазмы заключается в следующем.

[68]

Первичные электроны с энергией Еро2, выходящие с поверхности фотокатода в прикатодную область, ускоряются в промежутке «фотокатод - динод» до энергии Ер1=еUд, где Uд - потенциал динода, и бомбардируют поверхность динода. Выбитые из динода вторичные электроны после повторных соударений с ним теряют свою энергию, рождая низкоэнергетичные электроны, которые образуют придинодный слой электронной плазмы.

[69]

Т.к. назначение сетчатого параболоидного динода 3 - усиление потока первичных электронов, он выполняется из материалов, которые относятся к эффективным эмиттерам вторичных электронов. Основной характеристикой вторично-эмиссионных свойств вещества является зависимость коэффициента вторичной эмиссии σ от энергии первичных электронов Ер. Как следует из [10], коэффициент σ складывается из коэффициента δ «так называемых» истинно вторичных электронов с ES≤50 эВ, коэффициента η неупруго отраженных электронов с ES>50 эВ и коэффициента r упруго отраженных электронов с ESр, так что

[70]

σ=δ+η+r,

[71]

где все слагаемые определяются отношением числа соответствующих вторичных электронов к числу первичных.

[72]

При энергиях ускоренных первичных электронов от 2 кэВ до 10 кэВ, которые в системе электродов «фотокатод - динод - анод» совместимы по ускоряющему режиму динода с потенциалом на аноде 100 кВ и выше, если исключить эксплуатационно ненадежные полупроводниковые покрытия, к наиболее эффективным и устойчивым в этом диапазоне энергии относятся эмиттеры вторичных электронов на основе пленочных диэлектрических покрытий CsBr, KBr, CsJ, наносимых на медь или алюминий и их сплавы. Для этих веществ глубина зоны выхода медленных вторичных электронов λ наибольшая и достигает 1000 , и, соответственно коэффициент, вторичной эмиссии для них достаточно велик и составляет σ10 [11]. Кроме того, если учесть, что интеграл под кривой распределения вторичных электронов по энергиям [12] уже при энергии первичных электронов 1,2 кэВ распределяется, примерно, пополам между диапазонами энергий вторичных электронов 0-50 эВ и 50- Ер эВ, то это означает, что конверсия энергии быстрых неупруго- и упругоотраженных электронов дает, по крайней мере, удвоение медленных.

[73]

Действительно, в предлагаемом генераторе ЭМИ все энергетичные отраженные электроны, двигаясь в электрическом поле промежутка «фотокатод - динод» по различным (после отражения) траекториям, обязательно вернутся на динод, причем часть из них под углами падения, отличными от нормального. Однако это не ведет к уменьшению вторичной эмиссии, а наоборот повышает ее, т.к. согласно [13] при наклонном падении электроны проникают внутрь твердого тела на меньшую глубину, теряя энергию в «ближнем» приповерхностном слое. В результате возрастает вероятность выхода вторичных электронов из тела. Основанный на таком представлении расчет приводит к приближенной формуле

[74]

[75]

где В и γ - константы, φ - угол падения электронов.

[76]

Экспериментальные зависимости σ(Ер), полученные в [14] для ряда веществ при различных углах падения электронов φ, подтверждают увеличение выхода вторичных электронов при возрастании угла φ. Если на этих зависимостях положить Ер=const, то экспериментальные данные удовлетворительно совпадут с приведенным приближенным соотношением между σ и φ. В целом эти данные говорят об увеличении σ, приблизительно, вдвое при углах φ>70°. Таким образом, можно сделать вывод о том, что энергетичная компонента вторичных электронов с ES>50 эВ после конверсии в истинно вторичные электроны с ES≤50 эВ дает не меньший вклад в придинодную электронную плазму, чем низкоэнергетичная компонента, образовавшаяся после первого взаимодействия с динодом ускоренных первичных электронов.

[77]

В связи с этим, даже без учета размножения конвертируемых электронов при взаимодействии с динодом, суммарный коэффициент вторичной эмиссии σΣ возрастает после конверсии энергетичной компоненты электронов, по крайней мере, до значения σΣ20. С учетом же однократного размножения конвертируемых электронов имеем

[78]

[79]

Еще одним фактором, влияющим на коэффициент вторичной эмиссии является электрическое поле. Если в объеме диэлектрического вторичного эмиттера создать достаточно сильное электрическое поле, направленное вглубь эмиттера, то возможно значительное увеличение коэффициента вторичной эмиссии по сравнению с наблюдаемым в отсутствии поля. Как показывают исследования зависимостей коэффициента вторичной эмиссии от потенциала коллектора (анода) пористых диэлектрических слоев MgO и NaCl [15], при изменении напряженности электрического поля в промежутке «мишень - коллектор» («динод - анод») от 100 кВ/см до 900 кВ/см коэффициент безинерционной вторичной эмиссии возрастает, примерно, в 3 раза. Эти данные позволяют утвердительно говорить об дополнительном увеличении σ в предлагаемом генераторе ЭМИ еще в 2 раза при увеличении напряжения на промежутке «динод - анод» размером 1 см, например со 100 кВ до 500 кВ при импульсном питании.

[80]

В итоге максимальное значение коэффициента вторичной электронной эмиссии в предлагаемом генераторе ЭМИ будет находиться в диапазоне

[81]

[82]

и изменяться в зависимости от эффективности размножения энергетичной компоненты вторичных электронов. При этом эквивалентный квантовый выход, определяющий насыщенность придинодной электронной плазмы, увеличится до значений

[83]

[84]

Потенциальная насыщенность электронной плазмы при повышении анодного напряжения, например до 500 кВ, дает возможность в соответствии с законом получать плотности тока инжекции электронов в эквипотенциальное параболоидное анодное пространство предлагаемого генератора ЭМИ до 800 А/см2.

[85]

Спектр излучения ЭМИ генератора, как видно из (3), смещен в коротковолновую область. Поэтому важно оценить, когда инерционность процесса вторичной электронной эмиссии будет ограничивать инициирующую функцию импульсного источника возбуждения генератора. Для этого необходимо получить представление о постоянной времени вторичной электронной эмиссии τВЭ, которой ставят в соответствие промежуток времени от момента удара первичного пучка электронов о мишень до момента установления у поверхности мишени вторичного тока.

[86]

Нижний предел τВЭ, для низкоэнергетичной компоненты вторичных электронов в диэлектриках расчетно оценивается временем а для энергетичной компоненты - временем с в диапазоне энергий Ер=(0,1÷10) кэВ [16]. Оценка верхнего предела τВЭ производилась в основном экспериментально. Наиболее достоверной выглядет оценка, полученная из сравнения импульса первичного тока длительностью (16±2)·10-12 с и результирующего импульса вторичного тока длительностью (18±2)·10-12 с. Откуда следует, что [17]. К этим оценкам необходимо добавить составляющую постоянной времени τВЭ, связанную с размножением части вторичных электронов в промежутке «фотокатод - динод». Для этого, пренебрегая диаграммой выхода энергетичных вторичных электронов с поверхности мишени, будем считать

[87]

[88]

где - время торможения электрона, вылетающего с поверхности динода в электрическом поле промежутка «фотокатод - динод»;

[89]

е, mе - заряд и масса электрона;

[90]

w¯e - средняя энергия электрона;

[91]

Епр - напряженность электрического поля в промежутке «фотокатод - динод».

[92]

При средней энергии электрона в диапазоне энергий (0,1÷10) кэВ, равной 1 кэВ, и напряженности поля, например 200 кВ/см, имеем а В результате оценка обобщенного значения постоянной вторичной эмиссии, характеризующей процессы размножения первичных фотоэмиссионных электронов при их взаимодействии с динодом, дает величину

[93]

[94]

Этот результат показывает, что при длительности импульсов источника сферической волны излучения Δtл≥10-10 с импульсная характеристика процесса вторичной электронной эмиссии на диноде не будет вносить ограничений в интенсивность ЭМИ на выходе генератора; такие ограничения возникнут при длительностях лазерных импульсов Для уменьшения подобных ограничений амплитуды ЭМИ необходимо пропорционально повышать напряжения на диноде и аноде.

[95]

Таким образом, предлагаемое техническое решение позволяет в генераторе электромагнитных импульсов увеличить эмиссию электронов в (40÷220) раз по сравнению с прототипом, что дает возможность увеличить плотность тока инжекции электронов сквозь сеточный анод в (3÷5) раз и, соответственно, импульсную мощность на выходе генератора в (10÷20) раз, а также создать в генераторе условия, при которых начинает действовать дополнительный источник электромагнитного излучения, обусловленный волной пространственного заряда виртуального катода, бегущей вдоль поверхности анода внутри его эквипотенциальной параболоидной полости.

[96]

Литература

[97]

1. Bessarab A.V., Gaydash V.A., Jidkov N.V. et al. Investigation of the macroscopic Cherenkov EMP source produced by obliquetly incident X-ray pulse. Book of abstracts of 11th International conference on high-power electromagnetics. EUROEM 98, TelAviv, Israel, June 14-19, p. 57.

[98]

2. Бессараб A.B., Дубинов A.E., Лазарев Ю.Н. и др. Генератор электромагнитных импульсов. Патент РФ №2175154, приоритет 15.11.1999, опубл. БИ №29, 2001.

[99]

3. Веретенников А.И., Горбачев В.М., Предеин Б.А. Методы исследования импульсных излучений. М., Энергоатомиздат, 1985, стр. 77.

[100]

4. Веретенников А.И., Горбачев В.М., Предеин Б.А. Методы исследования импульсных излучений. М., Энергоатомиздат, 1985, стр. 75.

[101]

5. Средства диагностики однократного импульса излучения. Сб. трудов НИИИТ, М., ИздАТ, 1999, стр. 26.

[102]

6. Рухадзе А.А., Богданкевич Л.С., Росинский С.Е., Рухлин В.Г. Физика сильноточных релятивистских электронных пучков. М., Атомиздат, 1980, стр. 6-7.

[103]

7. Справочник по лазерной технике. М., Энергоатомиздат, 1991, стр. 69.

[104]

8. Физические величины. Справочник. М., Энергоатомиздат, 1991, стр. 576-577.

[105]

9. Физические величины. Справочник. М., Энергоатомиздат, 1991, стр. 578.

[106]

10. Бронштейн И.М., Фрайман Б.С. Вторичная электронная эмиссия. М., Наука, 1969, стр. 15-16.

[107]

11. Бронштейн И.М., Фрайман Б.С. Вторичная электронная эмиссия. М., Наука, 1969, стр. 252, 255.

[108]

12. Бронштейн И.М., Фрайман Б.С. Вторичная электронная эмиссия. М., Наука, 1969, стр. 13.

[109]

13. Бронштейн И.М., Фрайман Б.С. Вторичная электронная эмиссия. М., Наука, 1969, стр. 294-295.

[110]

14. Бронштейн И.М., Фрайман Б.С. Вторичная электронная эмиссия. М., Наука, 1969, стр. 296-297.

[111]

15. Бронштейн И.М., Фрайман Б.С. Вторичная электронная эмиссия. М., Наука, 1969, стр. 285-286.

[112]

16. Бронштейн И.М., Фрайман Б.С. Вторичная электронная эмиссия. М., Наука, 1969, стр. 320-321.

[113]

17. Бронштейн И.М., Фрайман Б.С. Вторичная электронная эмиссия. М., Наука, 1969, стр. 323.

Как компенсировать расходы
на инновационную разработку
Похожие патенты