патент
№ RU 2590757
МПК C22B34/12

СПОСОБ УПРАВЛЕНИЯ ПРОЦЕССОМ ВАКУУМНОЙ СЕПАРАЦИИ ГУБЧАТОГО ТИТАНА

Авторы:
Яковлев Владимир Викторович
Номер заявки
2014146351/02
Дата подачи заявки
18.11.2014
Опубликовано
10.07.2016
Страна
RU
Как управлять
интеллектуальной собственностью
Реферат

Изобретение относится к цветной металлургии и может быть использовано при управлении процессом очистки губчатого титана от примесей с помощью вакуумной сепарации. Способ включает многозонный нагрев аппарата сепарации, установленного в печь с нагревателями, измерение датчиками температуры ее значений в каждой зоне печи, сравнение измеренных значений температуры с заданными значениями для каждой зоны печи, поддержание заданной температуры посредством включения и выключения нагревателей печи по результатам упомянутого сравнения. Температуру каждой зоны печи измеряют одновременно двумя датчиками, при этом в качестве измеренных значений температуры используют контрольные значения температуры каждой зоны. Контрольные значения температуры каждой зоны печи рассчитываются по разнице температур, измеренных обоими датчиками, с определением их максимального и минимального значения с учетом коэффициента смещения температуры. По полученному контрольному значению температуры выявляют отклонения от заданных значений и регулируют температуру каждой зоны печи. Использование изобретения позволяет повысить срок службы аппарата сепарации и увеличить выход качественного титана.

Формула изобретения

Способ контроля и регулирования температуры процесса вакуумной сепарации губчатого титана, включающий установку аппарата сепарации в печь с нагревателями, многозонный нагрев аппарата, измерение и сравнение сигналов датчиков температуры с заданными для каждой зоны печи значениями, поддержание температуры путем включения и выключения нагревателей, отличающийся тем, что в каждой зоне печи измеряют одновременно основную и дополнительную температуры и определяют контрольное значение температуры каждой зоны печи по следующей формуле:
,
где Tmin - минимальная разница температур основной и дополнительной, °C,
Tmax - максимальная разница температур основной и дополнительной, °C,
к - коэффициент смещения температуры по разнице температур основной и дополнительной, %,
по полученному контрольному значению температуры выявляют отклонения от заданных значений и регулируют температуру каждой зоны печи, полученные данные собирают в системе сбора информации и диспетчерского управления, выявляют отклонения от заданных значений и осуществляют сигнализацию о нарушениях в виде цветовых указателей в реальном масштабе времени в графическом и табличном виде с использованием мнемосхем и анимации.

Описание

[1]

Изобретение относится к области цветной металлургии, а именно к получению губчатого титана магниетермическим восстановлением тетрахлорида титана, в частности к управлению процессом очистки губчатого титана от примесей вакуумной сепарацией.

[2]

Известен способ управления процессом вакуумной сепарации губчатого титана (кн. Титан. - Гармата В.А. и др. - М.: Металлургия, 1983, стр. 407-414), включающий многозонный нагрев аппарата сепарации, установленного в печи с нагревателями, измерение датчиками температуры ее значений в каждой зоне печи, сравнение измеренных значений температуры с заданными значениями для каждой зоны и поддержание заданной температуры посредством включения и выключения нагревателей печи по результатам упомянутого сравнения. Температуру процесса измеряют при помощи хромель-алюмелевых термопар, установленных в трех зонах печи, регулирование температуры проводят включением и отключением соответствующих зон нагревателей. Для управления процессом вакуумной сепарации используют машину централизованного контроля и управления.

[3]

Недостатками данного способа являются низкая точность измерения температуры и инерционность системы регулирования температуры процесса вакуумной сепарации.

[4]

Известен способ управления процессом вакуумной сепарации губчатого титана (пат. РФ №1797288, опубл. 27.09.1996 г.), включающий многозонный нагрев аппарата сепарации, установленного в печи с нагревателями, измерение датчиками температуры ее значений в каждой зоне печи, сравнение измеренных значений температуры с заданными значениями для каждой зоны и поддержание заданной температуры посредством включения и выключения нагревателей печи по результатам упомянутого сравнения. Измерение потребляемой мощности каждой зоны нагрева аппарата и поддержание температуры в указанных зонах нагрева осуществляют двухпозиционным регулятором путем изменения подводимой мощности, при этом периодически определяют среднее на заданный интервал времени значение потребляемой мощности для каждой из зон нагрева реакционной массы и подводят напряжение в пределах цикла 0,1-30,0 с импульсами со скважинностью, обратно пропорциональной величине среднего за заданный интервал времени значения потребляемой мощности. Мощность, потребляемую каждой зоной нагрева, измеряют приборами и преобразуют в импульсные сигналы, которые поступают в вычислительный блок. Способ позволяет повысить производительность аппарата за счет повышения температуры зон нагрева и снизить расход электроэнергии.

[5]

Недостаток способа состоит в том, что измеряемая в процессе регулирования температуры потребляемая зонами нагрева мощность усредняется при достаточно больших интервалах времени. Это не позволяет оперативно контролировать длительность и момент окончания процесса, в результате чего снижается производительность аппарата и увеличивается расход электроэнергии. Кроме того, для измерения потребляемой мощности необходимы дополнительные измерительные приборы, что усложняет систему управления.

[6]

Известен способ управления процессом вакуумной сепарации губчатого титана в аппаратах с многозонным нагревом реакционной массы (пат. РФ №2153017, опубл. 20.07.2000 г.), по количеству общих признаков принятый за ближайший аналог-прототип и включающий многозонный нагрев аппарата сепарации, установленного в печи с нагревателями, измерение датчиками температуры ее значений в каждой зоне печи, сравнение измеренных значений температуры с заданными значениями для каждой зоны и поддержание заданной температуры посредством включения и выключения нагревателей печи по результатам упомянутого сравнения. Перед началом процесса задают настроечные параметры регуляторов температуры каждой зоны нагрева, в ходе процесса по результатам сравнений сигналов датчиков температуры и заданных значений формируют непрерывные выходные сигналы регуляторов температуры и изменяют подводимую мощность нагрева каждой из зон аппарата пропорционально величинам текущих значений выходных сигналов соответствующих регуляторов температуры. Способ управления процессом вакуумной сепарации губчатого титана позволяет повысить производительность аппарата за счет повышения температуры зон нагрева и снизить расход электроэнергии.

[7]

Недостатком данного способа является то, что измерение температуры в одной из зон печи одним датчиком приводит к неточности измерения температуры и к искажению информации, Так, при снижении температуры (при выходе из строя датчика температуры) регулятор автоматически начинает включать нагреватели печи, что приводит к перегреву аппарата сепарации и снижению срока его службы. Кроме того, это приводит к повышенному расходу электроэнергии и к созданию аварийной ситуации из-за нарушения технологического регламента ведения процесса. Губчатый титан получают низкого качества, увеличивается процент выхода бракованного губчатого титана.

[8]

Технический результат направлен на устранение недостатков прототипа и позволяет повысить срок службы аппарата сепарации за счет более достоверного измерения температуры одновременно двумя датчиками в каждой зоне печи, повысить выход качественного титана за счет стабилизации технологического режима и управления процессом вакуумной сепарации губчатого титана.

[9]

Задачей, на которую направлено изобретение, является повышение срока службы аппарата сепарации, повышение выхода качественного титана и снижение выхода брака.

[10]

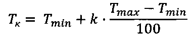
Технический результат достигается тем, что в предложенном способе управления процессом вакуумной сепарации губчатого титана, включающем многозонный нагрев аппарата сепарации, установленного в печи с нагревателями, измерение датчиками температуры ее значений в каждой зоне печи, сравнение измеренных значений температуры с заданными значениями для каждой зоны и поддержание заданной температуры посредством включения и выключения нагревателей печи по результатам упомянутого сравнения, новым является то, что температуру каждой зоне печи измеряют одновременно двумя датчиками, при этом в качестве измеренных значений температуры используют контрольные значения температуры каждой зоны, рассчитанные по формуле:

[11]

[12]

где:

[13]

Tmin - минимальная разница температур, измеренная обоими датчиками, °C,

[14]

Tmax - максимальная разница температур, измеренная обоими датчиками, °C,

[15]

k - коэффициент смещения температуры по разнице температур, измеренной обоими датчиками, k =75%.

[16]

Измерение температуры каждой зоны печи одновременно двумя датчиками позволяет производить управление температурой процесса вакуумной сепарации губчатого титана и за счет снижения отклонений температуры каждой зоны печи от заданных значений повысить срок службы аппарата сепарации. За счет стабилизации температуры каждой зоны печи повысить выход качественного губчатого титана и тем самым снизить выход бракованного губчатого титана. Использование контрольных значений температуры каждой зоны печи и расчет их по предложенному математическому выражению (формулы) позволяет производить управление температурой процесса вакуумной сепарации губчатого титана и за счет снижения отклонений температуры каждой зоны печи от заданных значений повысить срок службы аппарата сепарации. За счет стабилизации температуры каждой зоны печи повысить выход качественного губчатого титана и тем самым снизить выход бракованного губчатого титана.

[17]

Что позволяет повысить срок службы аппарата сепарации, повысить выход качественного титана и снизить количество брака.

[18]

Проведенный заявителем анализ уровня техники, включающий поиск по патентным и научно-техническим источникам информации и выявление источников, содержащих сведения об аналогах заявленного изобретения, позволил установить, что заявитель не обнаружил источник, характеризующийся признаками, тождественными (идентичными) всем существенным признакам изобретения. Определение из перечня выявленных аналогов прототипа как наиболее близкого по совокупности признаков аналога позволил установить совокупность существенных по отношению к усматриваемому заявителем техническому результату отличительных признаков в заявленном способе управления процессом вакуумной сепарации губчатого титана, изложенных в пунктах формулы изобретения. Следовательно, заявленное изобретение соответствует условию "новизна".

[19]

Для проверки соответствия заявленного изобретения условию "изобретательский уровень" заявитель провел дополнительный поиск известных решений, чтобы выявить признаки, совпадающие с отличительными от прототипа признаками заявленного способа. В заявленном изобретении имеется новая совокупность признаков, выразившаяся в новом алгоритме измерения температуры процесса и в новых условиях осуществления управления процессом вакуумной сепарации губчатого титана. Следовательно, заявленное изобретение соответствует условию "изобретательский уровень".

[20]

Промышленную применимость предлагаемого изобретения подтверждает следующий пример осуществления способа управления процессом вакуумной сепарации губчатого титана.

[21]

В процессе получения губчатого титана магниетермическим восстановлением тетрахлорида титана получают губчатый титан в виде реакционной массы с примесями магния и хлорида магния. Процесс вакуумной сепарации предназначен для удаления из губчатого титана (реакционной массы) неизрасходованного в процессе восстановления магния и оставшегося в процессе сливов хлорида магния. Он основан на способности магния и хлорида магния интенсивно испаряться при высокой температуре в условиях глубокого вакуума и конденсироваться в твердом виде в охлаждаемой части реторты-конденсатора. Собранный аппарат устанавливают в печь сепарации типа СШВ (печь сопротивления шахтная вакуумная). Печь состоит из трех зон, в каждой из которых установлены электрические нагреватели. Печь присоединяют к вакуум-блоку, открывают вентиль вакуум-провода и начинают откачку из аппарата воздуха и паров магния и хлорида магния до абсолютного давления в аппарате с начала возгонки не более 15 кПа. Одновременно откачивают воздух из шахтного пространства печи СШВ до абсолютного давления в печи (контрвакуума) 5-15 кПа для предотвращения сжатия реторты-реактора при высокой температуре, включают обогрев реторты-реактора с реакционной массой и подачу воды через узел охлаждения оборотной реторты-конденсатора. Пары хлористого магния и магния возгоняются и конденсируются в реторте-конденсаторе, стенки которой охлаждают водой. В период разогрева из реакционной массы удаляется большая часть магния и хлористого магния. Оставшийся в порах губчатого титана магний и хлористый магний удаляют на стадии высокотемпературной выдержки. На этой стадии в печи поддерживают постоянную высокую температуру 1030°C, а в аппарате создают глубокий вакуум до 0,133 Па продолжительность выдержки составляет около 70% от длительности всего процесса сепарации. Ведение процесса вакуумной сепарации требует поддержания постоянных заданных в технологическом режиме параметров и режимов, отклонение от нормы приводит к нарушениям ведения процесса и ухудшению качества губчатого титана. Перед началом процесса сепарации в регулятор-контроллер вводят заданные значения (Тз) температуры трех зон нагрева, равные 1030°C, и настроечные параметры: время интегрирования 1 минута, коэффициент пропорциональности 40, а также вводят заданные периоды следования импульсов, равные 1 минуте. Мощность нагревателя каждой зоны аппарата равна 130 кВт. Контроль и регулирование температуры в ходе процесса сепарации осуществляется распределенной автоматической системой управления. В каждой зоне печи СШВ устанавливают по два термопреобразователя типа ТХА. С термопреобразователей сигнал термоЭДС подают на клеммные блоки, затем сигнал преобразуют в преобразователе в электрический сигнал, который поступает в регулятор температуры - в контроллер типа ControlLogix. Регулирование температуры в автоматическом режиме осуществляют контроллером на основании задания температуры «Тз» и контрольного значения температуры «Тк». Контрольное значение температуры определяют в зависимости от алгоритма контроля:

[22]

[23]

где:

[24]

Tmin - минимальная разница температур, измеренная обоими датчиками, °C,

[25]

Tmax - максимальная разница температур, измеренная обоими датчиками, °C,

[26]

k - коэффициент смещения температуры по разнице температур, измеренной обоими датчиками, k =75%.

[27]

На любой стадии проведения процесса можно определить алгоритм выбора контрольного значения температуры при помощи панели диалога «Пульт управления печи» на мониторе, нажатие на которую вызывает панель диалога «Алгоритм контроля зоны». Выходной сигнал с регулятора-контроллера поступает на импульсатор (широтно-импульсный модулятор) и далее управляющий сигнал -24 В через кабель подается на клеммные блоки, далее на промежуточное реле и после в электрическую часть схемы управления печью СШВ. При нормализации температуры управляющий сигнал отключается. Значение температуры и заданных параметров процесса (уставки) записываются на ПЭВМ - сервере Experion, а также отображаются на видеокадрах монитора.

[28]

Таким образом, предложенный способ управления процессом вакуумной сепарации губчатого титана позволяет повысить срок службы аппарата сепарации, увеличить выход качественного титана и уменьшить количество брака за счет осуществления управления процессом вакуумной сепарации губчатого титана, поддержания контрольных значений параметров температуры на основе анализа оперативной информации о текущем состоянии технологического процесса.

Как компенсировать расходы
на инновационную разработку
Похожие патенты