патент
№ RU 2309788
МПК B01D59/00

СПОСОБ ОДНОВРЕМЕННОГО ОБОГАЩЕНИЯ ОКСИДА АЗОТА (II) ИЗОТОПАМИ 18О, 17О, 15N

Авторы:
Левин Евгений Владимирович Иванов Владимир Петрович Немчинов Валерий Михайлович
Все (13)
Правообладатель:
Все (3)
Номер заявки
2005136387/15
Дата подачи заявки
23.11.2005
Опубликовано
10.11.2007
Страна
RU
Как управлять
интеллектуальной собственностью
Чертежи 
5
Реферат

[106]

Изобретение относится к атомной, медицинской, сельскохозяйственной и другим отраслям промышленности и может быть использовано при производстве стабильных изотопов азота и кислорода. Низкотемпературные разделительные дистилляционные колонны заполняют оксидом азота (II) исходного состава. В колоннах создают противоточные жидкостной и газовый циркуляционные потоки оксида азота (II). Газовый поток питания оксидом азота (II) исходного состава подают в промежуточную по высоте точку первой колонны. Отборы газовых потоков осуществляют из верхних и нижних частей колонн. Отбор газового потока из нижней части первой колонны подают в промежуточную по высоте точку второй колонны. Отбор газового потока из верхней части второй колонны подают в промежуточную по высоте точку третьей колонны. Поддерживают равенство подаваемых в каждую колонну газовых потоков сумме отбираемых из нее газовых потоков. Один из отборов газовых потоков третьей колонны подают в промежуточную по высоте точку дополнительной низкотемпературной разделительной дистилляционной колонны. Отборы газовых потоков из нижних частей всех колонн начинают с запаздыванием относительно отборов газовых потоков из их верхних частей. Изобретение обеспечивает одновременное получение изотопов18О,17O и15N при любых скоростях реакций химического изотопного обмена. Уменьшается продолжительность пусковых переходных периодов. 13 з.п. ф-лы, 6 ил.

Формула изобретения

1. Способ одновременного обогащения оксида азота (II) изотопами18О,17О и15N, включающий заполнение низкотемпературных разделительных дистилляционных колонн оксидом азота (II), создание в колоннах противоточных жидкостного и газового циркуляционных потоков оксида азота (II), подачу газового потока питания оксидом азота (II) исходного состава в промежуточную по высоте точку первой колонны, отбор газового потока из верхней части первой колонны, отбор газового потока из нижней части первой колонны и подачу его в промежуточную по высоте точку второй колонны, отбор газового потока из нижней части второй колонны, отбор газового потока из верхней части второй колонны и подачу его в промежуточную по высоте точку третьей колонны, отборы газовых потоков из верхней и нижней частей третьей колонны, поддержание равенства подаваемых в каждую колонну газовых потоков сумме отбираемых из нее газовых потоков, отличающийся тем, что один из отборов газовых потоков третьей колонны подают в промежуточную по высоте точку дополнительной низкотемпературной разделительной дистилляционной колонны, из верхней и нижней частей которой осуществляют отборы газовых потоков, а отборы газовых потоков из нижних частей всех колонн начинают с запаздыванием относительно отборов газовых потоков из их верхних частей.

2. Способ по п.1, отличающийся тем, что в промежуточную по высоте точку дополнительной колонны подают отбор газового потока из нижней части третьей колонны.

3. Способ по п.1, отличающийся тем, что в промежуточную по высоте точку дополнительной колонны подают отбор газового потока из верхней части третьей колонны.

4. Способ по п.1, отличающийся тем, что часть периода времени, когда отборы газового потока из нижних частей второй, третьей и дополнительной колонн не начинают и производят с запаздыванием относительно отборов газовых потоков из их верхних частей, в промежуточные по высоте точки этих колонн подают оксид азота (II) исходного состава.

5. Способ по п.2, отличающийся тем, что одновременно с началом отбора газового потока из нижней части второй колонны временно прекращают отбор газового потока из ее верхней части, а подачу газового потока из верхней части второй колонны в промежуточную по высоте точку третьей колонны начинают одновременно с повторным началом отбора газового потока из верхней части второй колонны.

6. Способ по п.3, отличающийся тем, что отбор газового потока из верхней части второй колонны подают в промежуточную по высоте точку третьей колонны с запаздыванием после его начала, а отбор газового потока из верхней части третьей колонны начинают подавать в промежуточную по высоте точку дополнительной колонны одновременно с началом отбора газового потока из нижней части третьей колонны.

7. Способ по п.4, отличающийся тем, что после прекращения подачи потока оксида азота (II) исходного состава в промежуточные по высоте точки второй, третьей и дополнительной колонн отборы газового потока из верхних частей этих колонн прекращают, после чего начинают подачу отбора газового потока из нижней части первой колонны в промежуточную по высоте точку второй колонны, одновременно прекращают отбор газового потока из верхней части первой колонны, одновременно начинают отбор газового потока из верхней части второй колонны и подают его в промежуточную по высоте точку третьей колонны, одновременно начинают отбор газового потока из верхней части третьей колонны, после чего с различными задержками по времени начинают отбор газового потока из верхней части первой колонны, отборы газового потока из нижних частей второй и третьей колонн, отбор газового потока из нижней части третьей колонны одновременно с его началом подают в промежуточную по высоте точку дополнительной колонны, одновременно начинают отбор газового потока из верхней части дополнительной колонны и с задержкой по времени начинают отбор газового потока из ее нижней части.

8. Способ по п.4, отличающийся тем, что после прекращения подачи потока оксида азота (II) исходного состава в промежуточные по высоте точки второй, третьей и дополнительной колонн отборы газового потока из верхних частей этих колонн прекращают, после чего начинают подачу отбора газового потока из нижней части первой колонны в промежуточную по высоте точку второй колонны, одновременно прекращают отбор газового потока из верхней части первой колонны, одновременно начинают отбор газового потока из верхней части второй колонны и подают его в промежуточную по высоте точку третьей колонны, одновременно начинают отбор газового потока из верхней части третьей колонны и подают его в промежуточную по высоте точку дополнительной колонны, одновременно начинают отбор газового потока из верхней части дополнительной колонны, после чего с различными задержками по времени начинают отбор газового потока из верхней части первой колонны и отборы газового потока из нижних частей второй, третьей и дополнительной колонн.

9. Способ по п.6, отличающийся тем, что отбор газового потока из нижней части второй колонны начинают со значения, более низкого, чем значение, обеспечивающее требуемые разделительные характеристики установки в стационарном состоянии, и постепенно увеличивают до указанного значения.

10. Способ по п.9, отличающийся тем, что изменение величины отбора из нижней части второй колонны производят пропорционально величине концентрации молекулярного компонента15 N18О в потоке этого отбора.

11. Способ по п.6, отличающийся тем, что отбор газового потока из нижней части третьей колонны начинают со значения, более высокого, чем значение, обеспечивающее требуемые разделительные характеристики установки в стационарном состоянии, и постепенно уменьшают до указанного значения.

12. Способ по п.11, отличающийся тем, что изменение величины отбора из нижней части третьей колонны производят пропорционально величине концентрации молекулярного компонента14N18О в потоке этого отбора.

13. Способ по одному из пп.6, 9, 10-12, отличающийся тем, что по истечении времени требуемого накопления молекулярного компонента15N17O в объеме второй колонны подачу отбора газового потока из нижней части первой колонны в промежуточную по высоте точку второй колонны прекращают, одновременно в промежуточную по высоте точку второй колонны начинают подачу оксида азота (II) исходного состава, одновременно прекращают отбор газового потока из верхних частей второй, третьей и дополнительной колонн, одновременно прекращают отбор газового потока из нижних частей третьей и дополнительной колонн, с задержкой по времени прекращают отбор газового потока из нижней части второй колонны и одновременно прекращают подачу оксида азота (II) исходного состава в промежуточную по высоте точку этой колонны, с дополнительной задержкой по времени отбор газового потока из нижней части первой колонны подают в промежуточную по высоте точку второй колонны, одновременно начинают все отборы газовых потоков во второй, третьей и дополнительной колоннах, одновременно отборы газовых потоков из верхних частей второй и третьей колонн подают соответственно в промежуточные по высоте точки третьей и дополнительной колонны, далее величины отборов газового потока из всех колонн не изменяют до очередного достижения требуемого накопления молекулярного компонента15N17O в объеме второй колонны, далее все операции повторяют в той же последовательности.

14. Способ по п.13, отличающийся тем, что накопление молекулярного компонента15N17O в объеме второй колонны определяют по результатам измерений во времени величины концентрации этого компонента в отборах газовых потоков из колонны и в газовом потоке отбора из нижней части первой колонны.

Описание

[1]

Изобретение относится к области разделения изотопных смесей и может быть использовано при производстве стабильных изотопов азота и кислорода, а также в атомной, медицинской, сельскохозяйственной и других отраслях промышленности, где применяются изотопно-модифицированные соединения на основе атомов кислорода и азота.

[2]

Для одновременного разделения изотопов кислорода и азота широко используют способ низкотемпературной дистилляции оксида азота (II) в последовательно соединенных противоточных колоннах. Элементарный изотопный разделительный эффект существует за счет различий давления насыщенных паров у разных изотопных модификаций молекул оксида азота (II) и является достаточно высоким для экономически выгодной практической реализации способа при производстве десятков килограмм в год изотопной продукции.

[3]

Способ реализуют следующим образом. Дистилляционные колонны заполняют оксидом азота (II) исходного состава. Как правило, для заполнения колонн используют оксид азота природного или близкого к нему изотопного состава. В отдельных случаях для заполнения используют предварительно обогащенный оксид азота. В процессе заполнения в колоннах создают и далее поддерживают непрерывное во времени замкнутое противоточное течение жидкого и газообразного оксида азота, что служит для многократного умножения элементарного разделительного эффекта. Для этого в верхней части колонн постоянно осуществляют конденсацию поднимающихся вверх паров оксида азота, а в нижней части колонн производят постоянное испарение текущего сверху жидкого оксида азота. Для увеличения площади контакта фаз в колоннах используют насадку с высокой удельной поверхностью или устройства тарельчатого типа.

[4]

В промежуточную по высоте точку одной из колонн подают газовый поток питания оксидом азота исходного изотопного состава. Для этого используют оксид азота природного изотопного состава или, в большинстве случаев, почти полностью восстановленные по изотопному составу обедненные отвалы текущего разделительного производства. Восстановление производят за счет реакций химического изотопного обмена при контакте обедненного газообразного оксида азота с азотной кислотой. Из верхней части этой колонны отбирают поток газообразного оксида азота (поток отвала), обедненный по целевым изотопным компонентам. Этот поток либо утилизируют, либо после изотопного восстановления используют в качестве питания той же колонны. Из нижней части колонны также отбирают поток газообразного оксида азота, обогащенный целевыми изотопными компонентами (см., например, T.R.Mills et al., Sep. Scie. and Techn., 24(5&6), pp.415-428, 1989).

[5]

Разделяемая изотопная смесь является шестикомпонентной, а большая часть целевых молекулярных компонентов имеет промежуточные величины давления насыщенных паров. За счет этого целевые компоненты достигают максимума обогащения в дистилляционной колонне также в промежуточных по ее высоте точках. Так, в одиночной дистилляционной колонне, питаемой оксидом азота исходного изотопного состава, при реализации чисто дистилляционного процесса концентрация изотопа18О в отборе из ее нижней части теоретически не может превысить 99,6%. На практике труднодостижимой является величина концентрации 99%. Предельное значение концентрации изотопа17О составляет величину около 15%. Концентрация изотопа15N не может превысить 64%. Одновременное достижение предельного высокого обогащения по всем трем целевым изотопам невозможно. В тех случаях, когда на фоне чисто дистилляционного процесса самопроизвольно или искусственно возбуждается химический изотопный обмен, скорость которого пропорциональна концентрации примеси в виде диоксида азота NO2, концентрация изотопа15N может быть увеличена одновременно с концентрацией изотопа18О, но при этом изотоп17О с заметно высоким обогащением получен быть не может.

[6]

Для одновременного получения продуктов с высоким обогащением по трем целевым изотопам18О,17О и15N используют метод непрерывного последовательного разделения смеси в двух и более дистилляционных колоннах. Отбираемый из нижней части первой колонны газовый поток подают в промежуточную по высоте точку следующей колонны, в которой из верхней и нижней частей также осуществляют отборы газовых потоков, каждый из которых обогащен различными целевыми компонентами (см., например, Asashi Kitamoto and Masami Shimizu, in Proceedings International Conference on Stable Isotopes and Isotopic Effects, Carry Ie Rouct (France), 1999).

[7]

При недостаточном обогащении могут быть использованы последующие дополнительные колонны. Для сохранения материального баланса и поддержания стационарности процесса используют поддержание равенства подаваемых в каждую колонну газовых потоков сумме отбираемых из нее газовых потоков. Теоретически для одновременного получения изотопов15N и18О с концентрацией более 98% и изотопа17О с концентрацией до 40% и выше достаточно трех колонн.

[8]

Наиболее близким по технической сути является способ обогащения оксида азота (II) изотопами18О,17О и15N, включающий заполнение низкотемпературных разделительных дистилляционных колонн оксидом азота (II), создание в колоннах противоточных жидкостного и газового циркуляционных потоков оксида азота (II), подачу газового потока питания оксидом азота (II) исходного состава в промежуточную по высоте точку первой колонны, отбор газового потока из верхней части первой колонны, отбор газового потока из нижней части первой колонны и подачу его в промежуточную по высоте точку второй колонны, отбор газового потока из нижней части второй колонны, отбор газового потока из верхней части второй колонны и подачу его в промежуточную по высоте точку третьей колонны, отборы газовых потоков из верхней и нижней частей третьей колонны, поддержание равенства подаваемых в каждую колонну газовых потоков сумме отбираемых из нее газовых потоков (см., например, заявку на изобретение RU №2001132921, кл. B01D 59/28, 2003 г.). Схема коммутации газовых потоков между колоннами в известном способе приведена на фиг.1.

[9]

Используя газовый поток питания первой колонны оксидом азота (II) исходного состава, близкого к природному (концентрация изотопа18О около 0,2%, изотопа17О около 0,037% и изотопа15N в интервале 0,32-0,365%), при реализации данного способа в отборе газового потока из нижней части второй колонны может быть получен изотоп18О с концентрацией до 99%, в отборе газового потока из нижней части третьей колонны изотоп15N с концентрацией до 99%, а в отборе газового потока из верхней части третьей колонны изотоп17О с концентрацией более 40%.

[10]

Однако указанный способ обладает рядом недостатков.

[11]

Первым недостатком является то, что для одновременного получения трех высокообогащенных целевых изотопов в рассматриваемом способе необходимо использование рабочего вещества оксида азота (II) очень высокой чистоты, практически не содержащего примесей диоксида азота NO2. При наличии примесей диоксида азота в рабочем веществе начинаются реакции химического изотопного обмена, приводящие к перераспределению изотопов между молекулами оксида азота (II) и нарушающие основной дистилляционный процесс разделения изотопов. Даже в случае использования исходного рабочего вещества очень высокой чистоты реакции химического изотопного обмена могут начаться вследствие неконтролируемых реакций диспропорционирования оксида азота (II) с образованием диоксида азота:

[12]

[13]

В результате, при масштабах производства в несколько десятков килограммов изотопной продукции в год на трех колоннах выделение высокообогащенного изотопа17O становится невозможным в течение длительного времени, измеряемого несколькими годами. Если химический изотопный обмен отсутствует, изотоп17O выделяется в виде молекулярной композиции14N17O в верхней части третьей колонны. При наличии изотопного обмена основное количество изотопа17О перераспределяется в молекулярную композицию15N17O, которая, если не производить специальных мероприятий по сокращению продолжительности переходных процессов, медленно накапливается в промежуточной по высоте области второй колонны. По истечении 2-3-х лет эта молекулярная композиция начинает накапливаться в объеме третьей колонны и по истечении последующих 1-2 лет его концентрация может заметно повыситься в газовом потоке, отбираемом из нижней части этой колонны. Параллельно с трудностями выделения высокообогащенного изотопа17О при наличии изотопного обмена заметно (до 20-30%) снижается количество производимого высокообогащенного изотопа18О.

[14]

Вторым недостатком является то, что для обеспечения высоких обогащений по целевым изотопам при использовании трех разделительных колонн требуется задание очень высокой точности поддержания малых величин газовых потоков, отводимых с концов колонн, и соответственно высокой точности поддержания величин потоков, подаваемых в колонны в виде питания. Это связано с тем, что каждая из колонн должна эксплуатироваться в режиме, близком к предельному по обогащению определенных компонентов. Для этого во второй и третьей колоннах необходимо подавать питание со строго заданным изотопным составом, который, в свою очередь, достигается строго заданными величинами отборов газовых потоков на предыдущих колоннах. Для известного способа с использованием трех колонн требуемая точность находится на уровне не хуже 1%. Например, при суммарной производительности по трем изотопам в виде оксида азота (II) около 50 кг/год величины газовых потоков, отводимых из нижних частей всех трех колонн, и потоков, отводимых из верхних частей второй и третьей колонн, лежат в диапазоне от 1,0 до 0,05 нормальных см3/с. Соответственно, абсолютная точность поддержания потоков должна быть не хуже диапазона ±(0,01-0,0005) нормальных см3/с. Достижение подобной точности для современных средств автоматизации является предельно трудной задачей.

[15]

Третьим недостатком известного способа, относящегося также ко всем двухфазным методам разделения изотопов, является то, что длительности пусковых переходных периодов, в течение которых достигается требуемое обогащение по целевым изотопным компонентам, очень велики и могут составить от нескольких месяцев до нескольких лет. Для их сокращения в течение переходного процесса всегда требуются специальные режимы изменения во времени величин отбираемых газовых потоков, которые, в свою очередь, определяются конкретной схемой организации способа разделения. При получении одного целевого компонента из многокомпонентной смеси изотопов использование специальных режимов может сократить переходный период до 2-3-х месяцев. При одновременном обогащении нескольких компонентов (в настоящем случае -трех) способ задания режимов изменения во времени величин отбираемых газовых потоков из опубликованных данных не известен. Его конкретизация весьма существенна, что, например, следует из приведенного выше примера по длительности переходных периодов при получении изотопа17О. Если не использовать специальные режимы, высокообогащенный изотоп кислород17О не может быть получен в течение 3-5 лет.

[16]

Задачей изобретения является обеспечение стабильного одновременного производства высокообогащенных изотопов18О,17O и15N методом низкотемпературной дистилляции оксида азота (II).

[17]

Техническими результатами изобретения являются:

[18]

- обеспечение возможности одновременного производства изотопов18О,17O и15N при любых скоростях реакций химического изотопного обмена на фоне основного дистилляционного процесса разделения;

[19]

- снижение требований по точности поддержания газовых потоков оксида азота (II), отводимых из верхних и нижних частей дистилляционных колонн;

[20]

- снижение продолжительности пусковых переходных периодов.

[21]

Указанные задача и технические результаты достигаются тем, что в способе обогащения оксида азота (II) изотопами18О,17О и15N на трех дистилляционных колоннах, включающем заполнение низкотемпературных разделительных дистилляционных колонн оксидом азота (II), создание в колоннах противоточных жидкостного и газового циркуляционных потоков оксида азота (II), подачу газового потока питания оксидом азота (II) исходного состава в промежуточную по высоте точку первой колонны, отбор газового потока из верхней части первой колонны, отбор газового потока из нижней части первой колонны и подачу его в промежуточную по высоте точку второй колонны, отбор газового потока из нижней части второй колонны, отбор газового потока из верхней части второй колонны и подачу его в промежуточную по высоте точку третьей колонны, отборы газовых потоков из верхней и нижней частей третьей колонны, поддержание равенства подаваемых в каждую колонну газовых потоков сумме отбираемых из нее газовых потоков, обогащенную смесь, производимую в третьей дистилляционной колонне, подвергают разделению в дополнительной колонне. Для этого один из отборов газовых потоков третьей колонны подают в промежуточную по высоте точку дополнительной низкотемпературной разделительной дистилляционной колонны, из верхней и нижней частей которой осуществляют отборы газовых потоков, а начало отборов газовых потоков из нижних частей всех колонн производят с запаздыванием относительно начала отборов газовых потоков из их верхних частей.

[22]

Разделение обогащенной смеси в дополнительной колонне позволяет снизить требуемую точность поддержания величин газовых потоков, отводимых из колонн. Снижение требований к точности поддержания газовых потоков достигается тем, что использование разделения в дополнительной колонне обуславливает менее жесткие требования к ее разделительным характеристикам по сравнению с требованиями в предыдущих трех колоннах (третья разделительная колонна уже производит высокообогащенную смесь, более тонкое дополнительное разделение которой не требует жесткого задания величин выходящих газовых потоков). Поэтому одновременно могут быть снижены требования по точности для всех предыдущих колонн, задавая более низкий средний уровень точности поддержания потоков во всех колоннах. Кроме того, в случае присутствия изотопного обмена на фоне основного дистилляционного процесса использование дополнительного разделения смеси позволяет сохранить производительность всей разделительной установки по целевым изотопам18O и15N и минимизировать потери производительности по изотопу17О. Начало отборов газовых потоков из нижних частей всех колонн с запаздыванием относительно начала отбора газовых потоков из их верхних частей позволяет в несколько раз сократить продолжительность пускового переходного периода для каждого целевого изотопа.

[23]

В тех случаях, когда химический изотопный обмен на фоне основного дистилляционного процесса отсутствует, в промежуточную по высоте точку дополнительной колонны, в соответствии с п.2, формулы изобретения, подают отбор газового потока из нижней части третьей колонны (см, последнюю, шестую фазу последовательности коммутации газовых потоков на фиг.2). При этом в отборе газового потока из верхней части дополнительной колонны получают требуемое количество высокообогащенного изотопа15N, а в отборе газового потока из ее нижней части дополнительное количество высокообогащенного изотопа18О, что повышает производительность разделительной установки по этому изотопу (основное количество высокообогащенного изотопа18О, как и в известном способе, получают в отборе газового потока из нижней части второй колонны). Изотоп17O, как и в известном способе, получают в отборе газового потока из верхней части третьей колонны.

[24]

В тех случаях, когда эффективная скорость химического изотопного обмена такова, что он заметно искажает характер массопереноса, формируемого основным дистилляционным процессом, в промежуточную по высоте точку дополнительной колонны, в соответствии с п.3. формулы изобретения, подают отбор газового потока из верхней части третьей колонны (см. последнюю, шестую фазу последовательности коммутации газовых потоков на фиг.3). При этом целевые продукты получают в других потоках по сравнению со случаем отсутствия изотопного обмена: В отборе газового потока из нижней части второй колонны получают часть высокообогащенных изотопов18О и15N в виде молекулярной композиции15N18O. Оставшуюся часть высокообогащенного изотопа18О получают в отборе газового потока из нижней части третьей колонны, а оставшуюся часть высокообогащенного изотопа15N получают в отборе газового потока из нижней части дополнительной колонны. Целевой изотоп17O накапливается в объеме второй колонны и его выделение в обогащенном виде требует специальных мероприятий, которые описаны ниже.

[25]

В обоих случаях сокращение продолжительности пусковых переходных периодов достигается тем, что отборы газовых потоков из нижних частей всех колонн начинают с запаздыванием относительно начала отбора газовых потоков из их верхних частей (см. фиг.2, фиг.3). Для дополнительного сокращения продолжительности пусковых переходных периодов используют специальные мероприятия, характер которых определяется отсутствием или наличием химического изотопного обмена, а именно.

[26]

В тех случаях, когда химический изотопный обмен отсутствует в соответствии с п.5 формулы изобретения одновременно (здесь и далее «одновременность» операций включения-выключения потоков не носит абсолютного значения. Под «одновременностью» подразумевается интервал времени, превышение которого может привести к заметным изменениям количества рабочего вещества на определенных участках колонн, в основном в области испарителей внизу колонн. Например, если испаритель содержит 100 г жидкости, а потоки отборов и питания колонны заданы на уровне 0,1 г/мин, то одновременные изменения потоков допускают погрешности по времени около 50 минут, что не приведет к изменению количества жидкости в испарителе более чем на 5%.) с началом отбора газового потока из нижней части второй колонны временно прекращают отбор газового потока из ее верхней части, а подачу газового потока из верхней части второй колонны в промежуточную по высоте точку третьей колонны начинают одновременно с повторным началом отбора газового потока из верхней части второй колонны (см. третью и четвертую фазы последовательности коммутации газовых потоков на фиг.2). При этом отбор газового потока из нижней части первой колонны подают в промежуточную по высоте точку второй колонны сразу после его начала. Как только во вторую колонну начали подавать газовый поток из первой колонны, из ее верхней части начинают отбор газового потока, который может быть подан в систему сбора полупродуктов до повторного начала этого отбора (см. фиг.2). Временное прекращение отбора газового потока из верхней части второй колонны позволяет ускорить рост концентрации изотопа18О и дополнительно сократить пусковой переходный период для получения высокообогащенного продукта с этим изотопом.

[27]

Когда химический изотопный обмен вносит заметные изменения в основной дистилляционный процесс, в соответствии с п.6. формулы изобретения, отбор газового потока из верхней части второй колонны начинают подавать в промежуточную по высоте точку третьей колонны с запаздыванием после его начала, а отбор газового потока из верхней части третьей колонны начинают подавать в промежуточную по высоте точку дополнительной колонны также с запаздыванием после его начала и одновременно с началом отбора газового потока из нижней части третьей колонны (см. вторую - пятую фазы последовательности коммутации газовых потоков на фиг.3). Использование запаздывания подачи потоков в промежуточные точки третьей и дополнительной колонн приводит к тому, что в эти колонны в виде питания поступают изотопные смеси с меньшим содержанием нецелевых изотопов14N и16О (за время запаздывания эти потоки значительно обедняются наиболее летучей молекулярной композицией14N16O) и служит для дополнительного сокращения пусковых переходных периодов. В течение периодов запаздывания отборы газовых потоков из верхних частей второй и третьей колонн могут быть поданы в систему сбора полупродуктов.

[28]

Последний случай, связанный с наличием химического изотопного обмена, имеет варианты оптимизации. Так, в соответствии с п.9 формулы изобретения, если эффективная скорость изотопного обмена имеет промежуточные по величине значения, отбор газового потока из нижней части второй колонны целесообразно начинать со значения ниже номинального, постепенно увеличивая его до номинального значения (здесь и далее под «номинальными значениями» подразумеваются значения потоков, которые обеспечивают требуемые разделительные характеристики и производительности установки, работающей в стационарном состоянии, т.е. после завершения всех переходных процессов, по всем изотопным продуктам. Номинальное значение каждого потока определяется расчетным путем (см., например, Розен A.M. Теория разделения изотопов в колоннах. - М.: Атомиздат, 1960. -438 с.), постоянно и для каждой колонны имеет свое численное значение. Для случаев отсутствия или наличия изотопного обмена в дистилляционных колоннах номинальные значения потоков разные). Дополнительно, в соответствии с п.11 формулы изобретения отбор газового потока из нижней части третьей колонны целесообразно начинать со значения выше номинального, постепенно уменьшая его до номинального значения. Закон изменения указанных отборов газовых потоков для удобства управления можно регулировать в зависимости от изменения концентраций некоторых изотопных компонентов, которые поддаются прямому измерению. Например, в соответствии с п.10 формулы изобретения, изменение величины отбора из нижней части второй колонны можно производить пропорционально величине концентрации молекулярного компонента15N18O в потоке этого отбора, а в соответствии с п.12 формулы изобретения изменение величины отбора из нижней части третьей колонны можно производить пропорционально величине концентрации молекулярного компонента14N18О в потоке этого отбора.

[29]

Если же эффективная скорость изотопного обмена велика и приближается к предельной, при которой дальнейшее увеличение содержания двуокиси азота и, следовательно, скорости изотопнообменных реакций не влияет на характер массопереноса в колоннах, дополнительная оптимизация продолжительности переходных периодов не дает заметного результата и вышеуказанные отборы газовых потоков следует сразу задавать номинальной величиной.

[30]

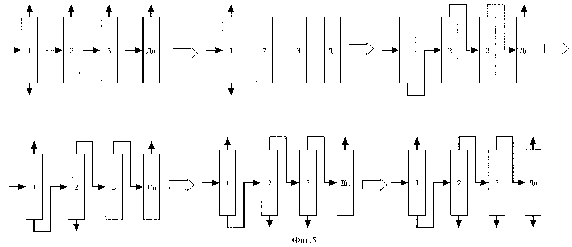
Как правило, на практике в первой колонне в каскаде из четырех колонн можно производить высокообогащенную изотопную продукцию. Для этого достаточно уменьшить величину отбора газового потока из ее нижней части. Поток отбора из нижней части колонны может содержать изотоп18О с концентрацией до 99% в молекулярных модификациях15N18O и14N18O. Изотоп17O с заметным обогащением в этом режиме получен быть не может. В тех случаях, когда химический изотопный обмен отсутствует, концентрация изотопа15N в отборе также мала и составляет величину порядка 2%. Если эффективная скорость химического изотопного обмена велика, концентрация изотопа15N может достигать нескольких десятков процентов. При эксплуатации первой колонны в таком «одиночном» режиме вторую, третью и дополнительную колонны целесообразно перевести в режим накопления целевых изотопов (см. фиг.5, фиг.6). Для этого, в соответствии с п.4. формулы изобретения, в течение того времени, когда отборы газового потока из нижних частей второй, третьей и дополнительной колонн не производят, из верхних частей этих колонн производят отборы, а в промежуточные по высоте точки колонн подают оксид азота (II) исходного состава (см. первую и вторую фазы последовательности коммутации газовых потоков на фиг.4 и фиг.5). Режим накопления может быть использован в течение требуемого по различным технологическим причинам времени, например при продолжительных тестовых испытаниях колонн или в тех случаях, когда временно представляет интерес только изотопная продукция в виде изотопа18О. Режим накопления также выгоден тем, что дальше, при переводе каскада из четырех колонн на одновременное производства всех трех целевых изотопов, переходные периоды могут быть заметно сокращены по сравнению со случаем, когда режим накопления не используют.

[31]

Для перевода каскада колонн из режима накопления в режим производства трех изотопов используют специальные мероприятия, способы реализации которых определяются отсутствием или наличием химического изотопного обмена, а именно.

[32]

В тех случаях, когда химический изотопный обмен на фоне основного дистилляционного процесса отсутствует, в соответствии с п.7. формулы изобретения после прекращения подачи потока оксида азота (II) исходного состава в промежуточные по высоте точки второй, третьей и дополнительной колонн отборы газового потока из верхних частей этих колонн прекращают. Далее начинают подачу отбора газового потока из нижней части первой колонны в промежуточную по высоте точку второй колонны и одновременно на время прекращают отбор газового потока из верхней части первой колонны. Это служит для того, чтобы произвести ускоренное установление требуемого изотопного состава в нижней части первой колонны за счет вытеснения высокообогащенных наименее летучих молекулярных компонентов. При подаче отбора газового потока из нижней части первой колонны в промежуточную по высоте точку второй колонны одновременно начинают отбор газового потока из верхней части второй колонны и подают его в промежуточную по высоте точку третьей колонны, где одновременно начинают отбор газового потока из ее верхней части. В целях сокращения переходных периодов отборы газового потока из нижних частей второй и третьей колонн некоторое время не производят. Далее с различными задержками по времени начинают отбор газового потока из верхней части первой колонны и отборы газового потока из нижних частей второй и третьей колонн. Как только отбор газового потока из нижней части третьей колонны начат, его сразу подают в промежуточную по высоте точку дополнительной колонны, где одновременно начинают отбор газового потока из ее верхней части. В целях сокращения переходного периода отбор газового потока из нижней части дополнительной колонны начинают с задержкой после начала отбора из ее верхней части. По окончании указанных мероприятий каскад колонн приведен в стационарное рабочее состояние для производства трех целевых изотопов (см. фиг.4).

[33]

В тех случаях, когда эффективная скорость химического изотопного обмена заметно велика и он искажает характер массопереноса, формируемого основным дистилляционным процессом, в соответствии с п.8. формулы изобретения операции идентичны за исключением того, что после начала отбора газового потока из нижней части первой колонны и его подачи в промежуточную по высоте точку второй колонны, одновременно начинают отборы газовых потоков из верхних частей второй, третьей и дополнительной колонн. С их началом отборы из верхних частей второй и третьей колонн начинают подавать в промежуточные по высоте точки последующих колонн. В целях сокращения переходных периодов отборы газовых потоков из верхней части первой колонны и из нижних частей второй, третьей и дополнительной колонн начинают с различными задержками по времени. По окончании указанных мероприятий каскад колонн приведен в стационарное рабочее состояние для производства трех целевых изотопов (см.фиг.5).

[34]

В тех случаях, когда эффективная скорость химического изотопного обмена заметно велика и он искажает характер массопереноса, формируемого основным дистилляционным процессом (в частности, при реализация процесса в соответствии с п.п.3, 6, 8 формулы изобретения), целевой изотоп17O накапливается в объеме второй колонны и его выделение в обогащенном виде требует специальных мероприятий, реализацию которых осуществляют использованием операций, представленных в п.13 формулы изобретения (см. фиг.6). Для этого определяют время достижения требуемого накопление молекулярного компонентаl5N17O в объеме второй колонны. Как правило, требуемое накопление должно соответствовать условию, что жидкостная задержка во второй колонне должна на 65-75% состоять из компонента15N17O. Проще и надежнее всего этот момент времени можно определить в соответствии с п.14 формулы изобретения по результатам измерений во времени величины концентрации15N17O в отборах газовых потоков из колонны и в газовом потоке отбора из нижней части первой колонны (по балансу между поступающим во вторую колонну и отводимым из нее количеством компонентом15N17О).

[35]

По достижении требуемого накопления молекулярного компонента15N17O в объеме второй колонны подачу отбора газового потока из нижней части первой колонны в промежуточную по высоте точку второй колонны прекращают. Сам отбор газового потока из нижней части первой колонны не прекращают, сохраняя его номинальное значение и подавая, например, в приемник полупродуктов тем самым изотопный состав в этом потоке остается неизменным во времени. Одновременно с прекращением подачи этого потока в промежуточную по высоте точку второй колонны в эту точку начинают подачу оксида азота (II) исходного состава, а отбор газового потока из ее верхней части прекращают. При этом в верхней части второй колонны идет накопление более летучих молекулярных компонентов (14N16O,14N17O,15N16O и14N18О), которые вытесняют к низу колонны целевой компонент15 N17О и повышают его концентрацию в отборе газового потока из нижней части второй колонны. Одновременно с прекращением подачи отбора газового потока из нижней части первой колонны в промежуточную по высоте точку второй колонны прекращают отборы газового потока из верхних и нижних частей третьей и дополнительной колонн. Это связано с тем, что источник питания третьей колонны (отбор газового потока из верхней части второй колонны) с этого момента времени перестал существовать, что в силу поддержания материальных балансов вынуждает прекратить вышеуказанные отборы. С этого момента времени третья и дополнительная колонны начинают эксплуатировать в «закрытом» режиме (без внешних потоков), при котором количество каждого изотопного компонента в объеме колонн не изменяется во времени, а по высоте колонн происходит незначительное дополнительное разделение. В верхних частях увеличивается концентрация более летучих компонентов (14N16O и14 N17O), а в нижних частях увеличивается концентрация менее летучих компонентов (15N18О и15N17O). После того, как в отборе газового потока из нижней части второй колонны получен высокообогащенный компонент15N17O, каскад колонн необходимо перевести в исходное состояние. Перевод в исходное состояние производят с помощью операций, минимизирующих продолжительности переходных периодов. Для этого прекращают подачу газового потока исходного состава в промежуточную по высоте точку второй колонны. Поскольку отбор газового потока из верхней части второй колонны на этот момент времени не производят, в силу условий материального баланса одновременно прекращают отбор газового потока из нижней части колонны. Вторая колонна, как третья и дополнительная колонны, находится в «закрытом» режиме разделения. Далее, через определенный промежуток времени осуществляют непосредственно перевод каскада колонн в исходное состояние. Для этого отбор газового потока из нижней части первой колонны подают в промежуточную по высоте точку второй колонны, одновременно начинают все отборы газовых потоков во второй, третьей и дополнительной колоннах и одновременно отборы газовых потоков из верхних частей второй и третьей колонн подают соответственно в промежуточные по высоте точки третьей и дополнительной колонны. После этого каскад колонн переведен в штатное рабочее состояние и величины отборов газового потока из всех колонн не изменяют до очередного достижения требуемого накопления молекулярного компонента15N17O в объеме второй колонны. Далее с целью очередного извлечения изотопа17О все операции повторяют в той же последовательности.

[36]

Патентуемый способ поясняется прилагаемыми схемами, представленными на следующих фигурах:

[37]

Фиг.1 Схема коммутации газовых потоков между колоннами в известном способе.

[38]

Фиг.2 Схема и последовательность коммутации газовых потоков между колоннами при отсутсвии изотопного обмена.

[39]

Фиг.3 Схема и последовательность коммутации газовых потоков между колоннами при наличии изотопного обмена.

[40]

Фиг.4 Схема перевода каскада колонн из режима производства одного изотопа18О в первой колонне и режима накопления в остальных колоннах в режим производства трех изотопов18О,17O и15N при отсутствии изотопного обмена.

[41]

Фиг.5 Схема перевода каскада колонн из режима производства одного изотопа18О в первой колонне и режима накопления в остальных колоннах в режим производства трех изотопов18О,17О и15N при наличии изотопного обмена.

[42]

Фиг.6 Схема и последовательность коммутации газовых потоков между колоннами для выделения обогащенного изотопа17O при наличии изотопного обмена.

[43]

На чертежах цифрами обозначены колонны (первая, вторая, третья), стрелками - газовые потоки, дп - дополнительная колонна.

[44]

Конкретные примеры осуществления поясняют сущность патентуемого изобретения.

[45]

Способ реализуется в каскаде из четырех дистилляционных колонн. Последовательность операций для случая отсутствия изотопного обмена следующая (реализация п.1 и п.п.2, 4, 5, 7 формулы изобретения):

[46]

- Колонны заполняют оксидом азота (II) с изотопным составом, близким к природному содержанию, и создают противоточные жидкостные и газовые циркуляционные потоки оксида азота (II) (далее NO).

[47]

- В промежуточную по высоте точку первой колонны непрерывно подают газовый поток питания оксидом азота (II) исходного состава. За счет того, что питающую смесь формируют отбором газового потока из верхней части первой колонны после восстановления ее изотопного состава, в питающей смеси существует незначительный дефицит по содержанию целевого изотопа15N (концентрация на уровне 0,32% вместо 0,365% для природного содержания).

[48]

- Номинальное значение потока питающей смеси составляет 18 тонн NO в год.

[49]

- Из нижней части первой колонны осуществляют отбор газового потока и подают его в промежуточную по высоте точку второй колонны в виде потока питания. Номинальное значение отбора газовой смеси из нижней части первой колонны составляет P1=52 кг NO в год.

[50]

- Из верхней части первой колонны осуществляют отбор газового потока. Значение этого потока, как и всех остальных потоков, подаваемых и отводимых из колонн, определяется из условия поддержания равенства подаваемых в каждую колонну газовых потоков сумме отбираемых из нее газовых потоков.

[51]

- Из нижней части второй колонны осуществляют отбор газового потока. Номинальное значение отбора составляет Р2=21,3 кг NO в год.

[52]

- Из верхней части второй колонны осуществляют отбор газового потока и подают его в промежуточную по высоте точку третьей колонны в виде потока питания. Номинальное значение отбора составляет W2=30,7 кг NO в год.

[53]

- Из верхней части третьей колонны осуществляют отбор газового потока. Номинальное значение отбора составляет W3=4,0 кг NO в год.

[54]

- Из нижней части третьей колонны осуществляют отбор газового потока и подают его в промежуточную по высоте точку дополнительной колонны в виде потока питания (использование п.2 формулы изобретения). Номинальное значение отбора составляет Р3=26,7 кг NO в год.

[55]

- Из верхней части дополнительной колонны осуществляют отбор газового потока с номинальным значением W4=25,4 кг NO в год.

[56]

- Из нижней части дополнительной колонны осуществляют отбор газового потока с номинальным значением Р4=1,3 кг NO в год.

[57]

В стационарном состоянии, после завершения всех переходных процессов, способ позволяет достигнуть следующих значений концентраций изотопных компонентов: В отборе Р2 изотоп18О с концентрацией не ниже 98%, в отборе W3 изотоп17 O с концентрацией не ниже 40%, в отборе W4 изотоп15N с концентрацией не ниже 98% и в отборе P4 изотоп18О с концентрацией не ниже 96%. Для устойчивого поддержания получаемых значений концентраций изотопной продукции требуется поддержание величин потоков Р и W с точностью 2,5-3%.

[58]

При реализации аналогичного способа с использованием только трех разделительных колонн точность поддержания потоков Р и W должна составлять не менее 1%. Уменьшение точности поддержания потоков патентуемого изобретения позволяет реализовать способ разделения более доступными и дешевыми средствами автоматики, увеличить продолжительность непрерывной реализации процесса в несколько раз и, кроме того, за счет снижения требований задания величин потоков, в отдельных случаях производить дополнительную изотопную продукцию в количестве до 1 кг в год.

[59]

При реализации приведенных выше операций способа для достижения стационарного режима обогащения требуется значительное время, связанное с медленными процессами массопереноса и накопления в колоннах. Если не использовать дополнительные мероприятия, направленные на ускорение процессов накопления отдельных изотопных компонентов, время установления по всем трем целевым изотопам составляет не менее 1,5-2 года. Для сокращения этого времени отборы газовых потоков из нижних частей всех колонн начинают с запаздыванием относительно отборов газовых потоков из их верхних частей (использование п.1. формулы изобретения). В первой колонне время запаздывания составляет 15-25 суток. Во второй колонне - 50-60 суток. В третьей колонне - 70-80 суток. В дополнительной колонне - 50-60 суток.

[60]

Дополнительное (на 5-10 суток) сокращение времени достижения стационарного состояния реализуют, если одновременно с началом отбора газового потока из нижней части второй колонны временно, на 10-15 суток, прекращают отбор газового потока из ее верхней части, а подачу газового потока из верхней части второй колонны в промежуточную по высоте точку третьей колонны начинают одновременно с повторным началом отбора газового потока из верхней части второй колонны (использование п.5 формулы изобретения).

[61]

В совокупности, при реализации мероприятий по п.п. 1, 2, 5 формулы изобретения плановая производительность по высокообогащенным изотопным компонентам достигается по следующему графику:

[62]

- изотоп18O-80 сут;

[63]

- изотоп17O - 140 сут;

[64]

- изотоп15N - 200 сут.

[65]

В тех случаях, когда в течение ограниченного времени, определяемого различными технологическими условиями (например, при продолжительных тестовых испытаниях колонн или когда временно представляет интерес только изотопная продукция в виде изотопа18О), первую колонну требуется перевести в режим производства высокообогащенного изотопа18О, а затем перевести каскад колонн в режим одновременного производства всех трех изотопов (в штатный режим), используют операции, определяемые п.4. формулы изобретения. Для этого в нижней части первой колонны задают отбор продукта на уровне P1=21 кг NO в год. Отборы газового потока из нижних частей второй, третьей и дополнительной колонн не производят, а в промежуточные по высоте точки каждой из этих колонн подают оксид азота (II) исходного сотава потоком величиной около 500 кг NO в год. Из верхних частей каждой из этих колонн производят отборы газового потока величиной 500 кг NO в год. За счет переходных процессов в отборах газового потока из верхних частей этих колонн концентрации целевых изотопов длительное время оказываются ниже концентраций питания и реализуется режим накопления целевых изотопов в объеме колонн. При этом скорость накопления изотопа18О в объеме каждой колонны составляет около 0,5 кг/год, изотопа17O - около 50 г/год и изотопа15N - около 0,6 кг/год.

[66]

Предварительно обогащенный изотопный состав во второй, третьей и дополнительной колоннах в дальнейшем позволяет сократить переходные периоды при переводе каскада колонн в штатный режим производства всех трех изотопов. Операцию перевода в случае отсутствия изотопного обмена осуществляют в соответствии с п.7 формулы изобретения, а именно.

[67]

Первоначально прекращают подачу потока оксида азота (II) исходного состава в промежуточные по высоте точки второй, третьей и дополнительной колонн. Одновременно с этим на некоторое время (в масштабе технологических потребностей) прекращают отборы газового потока из верхних частей этих колонн. Затем увеличивают до величины 52 кг NO в год и начинают подачу отбора газового потока из нижней части первой колонны в промежуточную по высоте точку второй колонны. Одновременно прекращают отбор газового потока из верхней части первой колонны, одновременно начинают отбор газового потока из верхней части второй колонны и подают его в промежуточную по высоте точку третьей колонны, одновременно начинают отбор газового потока из верхней части третьей колонны. После этого с задержкой по времени в 30-50 суток начинают отбор газового потока из верхней части первой колонны. С задержкой по времени в 20-40 суток начинают отбор газового потока из нижней части второй колонны и с задержкой по времени в 45-65 суток начинают отбор газового потока из нижней части третьей колонны. Отбор газового потока из нижней части третьей колонны одновременно с его началом подают в промежуточную по высоте точку дополнительной колонны, одновременно начинают отбор газового потока из верхней части дополнительной колонны и с задержкой по времени в 45-60 суток начинают отбор газового потока из ее нижней части. При реализации указанных мероприятий плановая производительность по высокообогащенным изотопным компонентам достигается по следующему графику:

[68]

- изотоп18О - 40 сут;

[69]

- изотоп17O - 100 сут;

[70]

- изотоп15N - 140 сут.

[71]

Перевод каскада из режима получения изотопа18О в первой колонне и режима накопления в остальных колоннах в режим производства всех трех изотопов оказывается заметно (примерно на 40 суток) более экономичным по времени по сравнению со случаем, когда режим накопления не используют.

[72]

Последовательность операций для случая присутствия изотопного обмена на фоне основного дистилляционного процесса разделения следующая (реализация п.1 и п.п.3, 4, 6, 8-14 формулы изобретения).

[73]

- Колонны заполняют оксидом азота (II) с изотопным составом, близким к природному содержанию, и создают противоточные жидкостные и газовые циркуляционные потоки оксида азота (II) (далее NO).

[74]

- В промежуточную по высоте точку первой колонны непрерывно подают газовый поток питания оксидом азота (II) исходного состава.

[75]

- Номинальное значение потока питающей смеси составляет 18 тонн NO в год.

[76]

- Из нижней части первой колонны осуществляют отбор газового потока и подают его в промежуточную по высоте точку второй колонны в виде потока питания. Номинальное значение отбора газовой смеси из нижней части первой колонны составляет P1=40 кг NO в год.

[77]

- Из верхней части первой колонны осуществляют отбор газового потока.

[78]

- Из нижней части второй колонны осуществляют отбор газового потока. Номинальное значение отбора составляет Р2=15 кг NO в год.

[79]

- Из верхней части второй колонны осуществляют отбор газового потока и подают его в промежуточную по высоте точку третьей колонны в виде потока питания. Номинальное значение отбора составляет W2=25 кг NO в год.

[80]

- Из верхней части третьей колонны осуществляют отбор газового потока и подают его в промежуточную по высоте точку дополнительной колонны в виде потока питания (использование п.3 формулы изобретения). Номинальное значение отбора составляет W3=18 кг NO в год.

[81]

- Из нижней части третьей колонны осуществляют отбор газового потока. Номинальное значение отбора составляет Р3=7 кг NO в год.

[82]

- Из верхней части дополнительной колонны осуществляют отбор газового потока с номинальным значением W4=6 кг NO в год.

[83]

- Из нижней части дополнительной колонны осуществляют отбор газового потока с номинальным значением P4=12 кг NO в год.

[84]

В квазистационарном состоянии после завершения всех переходных процессов способ позволяет достигнуть следующих значений концентраций изотопных компонентов. В отборе Р2 изотоп18О и изотоп15N с концентрацией не ниже 98%, в отборе P3 изотоп18О с концентрацией не ниже 98%, в отборе P4 изотоп15N с концентрацией не ниже 98%. Изотоп17O длительное время медленно накапливается в объеме второй колонны и для его извлечения используют дополнительные операции.

[85]

При реализации приведенных выше операций способа для достижения стационарного режима обогащения требуется значительное время, связанное с медленными процессами массопереноса и накопления в колоннах. Если не использовать дополнительные мероприятия, направленные на ускорение процессов накопления отдельных изотопных компонентов, время установления по всем трем целевым изотопам составляет не менее 2-3 лет. Для сокращения этого времени отборы газовых потоков из нижних частей всех колонн начинают с запаздыванием относительно отборов газовых потоков из их верхних частей (использование п.1. формулы изобретения). В первой колонне время запаздывания составляет 10-15 суток. Во второй колонне - 25-90 суток (конкретное время определяется текущей скоростью изотопного обмена). В третьей колонне - 65-75 суток. В дополнительной колонне - 20-25 суток.

[86]

Дополнительное (на 15-25 суток) сокращение времени достижения высоких обогащений реализуют, если отбор газового потока из верхней части второй колонны подают в промежуточную по высоте точку третьей колонны с запаздыванием примерно на 25-35 суток после его начала, а отбор газового потока из верхней части третьей колонны начинают подавать в промежуточную по высоте точку дополнительной колонны также с запаздыванием одновременно с началом отбора газового потока из нижней части третьей колонны (использование п.6 формулы изобретения).

[87]

Кроме того, дальнейшее сокращение времени достижения высоких обогащений может быть оптимизировано в зависимости от скорости изотопного обмена. Если эффективная скорость изотопного обмена велика и приближается к предельной, при которой дальнейшее увеличение содержания двуокиси азота и, следовательно, скорости изотопно-обменных реакций не влияет на характер массопереноса в колоннах, дополнительная оптимизация продолжительности переходных периодов не дает заметного результата. Если эффективная скорость изотопного обмена имеет промежуточные по величине значения, возможны варианты дополнительной оптимизации продолжительности переходных периодов. Для этого, в соответствии с п.9 формулы изобретения, отбор газового потока из нижней части второй колонны целесообразно начинать со значения Р2=7 кг NO в год, постепенно, в течение 100-400 суток увеличивая его до номинального значения Р2=15 кг NO в год. Также, в соответствии с п.11 формулы изобретения, отбор газового потока из нижней части третьей колонны целесообразно начинать со значения Р3=14 кг NO в год, постепенно, в течение 50-400 суток уменьшая его до номинального значения. Р3 =7 кг NO в год. Продолжительности указанных интервалов времени зависят от конкретной скорости изотопного обмена. Закон изменения указанных отборов газовых потоков для удобства управления можно регулировать в зависимости от изменения концентраций некоторых изотопных компонентов, которые поддаются прямому измерению. Например, в соответствии с п.10. формулы изобретения, изменение величины отбора из нижней части второй колонны можно производить пропорционально величине концентрации молекулярного компонента15N18O в потоке этого отбора, а в соответствии с п.12. формулы изобретения изменение величины отбора из нижней части третьей колонны можно производить пропорционально величине концентрации молекулярного компонента14N18О в потоке этого отбора. Концентрации измеряют массоспектрометрическим методом.

[88]

В совокупности, при реализации указанных мероприятий примерно половинная производительность по высокообогащенным изотопным компонентам достигается по следующему графику:

[89]

- изотоп18O - 75 сут;

[90]

- изотоп15N - 75 сут.

[91]

А плановая производительность - по графику:

[92]

- изотоп18О - 150 сут;

[93]

- изотоп15N - 180 сут.

[94]

Для извлечения изотопа17O используют следующие операции (см. п.13 формулы изобретения), а именно.

[95]

По истечении времени требуемого накопления молекулярного компонента15N17O в объеме второй колонны, которое в среднем оценивается в 2 года, прекращают подачу отбора газового потока из нижней части первой колонны в промежуточную по высоте точку второй колонны. Одновременно в промежуточную по высоте точку второй колонны начинают подачу оксида азота (II) исходного состава потоком Р2=40 кг NO в год и одновременно прекращают отбор газового потока из верхних частей второй, третьей и дополнительной колонн. Одновременно прекращают отбор газового потока из нижних частей третьей и дополнительной колонн. С задержкой по времени в 10-15 сут прекращают отбор газового потока из нижней части второй колонны и одновременно прекращают подачу оксида азота (II) исходного состава в промежуточную по высоте точку этой колонны. Далее, с дополнительной задержкой по времени в 20-25 суток отбор газового потока из нижней части первой колонны Р1=40 кг NO в год подают в промежуточную по высоте точку второй колонны, одновременно начинают все отборы газовых потоков во второй, третьей и дополнительной колоннах, одновременно отборы газовых потоков из верхних частей второй и третьей колонн подают соответственно в промежуточные по высоте точки третьей и дополнительной колонны. Вся операция занимает 30-40 суток. Далее величины отборов газового потока из всех колонн не изменяют до очередного достижения требуемого накопления молекулярного компонента15N17O в объеме второй колонны. В течение первых 10-15 суток, когда на питание второй колонны подают оксид азота (II) исходного состава, в ее отборе получают изотоп17O с переменным во времени составом. Максимальное значение концентрации изотопа составляет 80% и более, а среднее по времени значение составляет требуемые 40%. Проще и надежнее всего момент времени достижения требуемого накопления молекулярного компонента15N17О в объеме второй колонны можно определить в соответствии с п.14 формулы изобретения по результатам массоспектрометрических измерений величины концентрации15N17О в отборах газовых потоков из колонны и в газовом потоке отбора из нижней части первой колонны. По результатам измерений рассчитывается динамика накопления во времени как баланс между поступающим во вторую колонну и отводимым из нее количеством компонентов15N17О. Требуемое накопление должно соответствовать условию, что жидкостная задержка во второй колонне должна на 65-75% состоять из компонента15N17O. После этого производят извлечения изотопа17O с использованием операций, регламентируемых п.13 формулы изобретения.

[96]

В случае наличия изотопного обмена, первую колонну иногда требуется использовать в режиме производства высокообогащенного изотопа18 О, а затем перевести каскад колонн в режим одновременного производства всех трех изотопов (в штатный режим). Для этого используют операции, определяемые п.4. и п.8. формулы изобретения. Перевод в режим производства высокообогащенного изотопа18О достигают тем, что в нижней части первой колонны задают отбор продукта на уровне Р1=21 кг NO в год. Отборы газового потока из нижних частей второй, третьей и дополнительной колонн не производят, а в промежуточные по высоте точки каждой из этих колонн подают оксид азота (II) исходного сотава потоком величиной около 500 кг NO в год. Из верхних частей каждой из этих колонн производят отборы газового потока величиной 500 кг NO в год.

[97]

Операцию перевода в штатный режим в соответствии с п.8. формулы изобретения осуществляют следующим образом.

[98]

После прекращения подачи потока оксида азота (II) исходного состава в промежуточные по высоте точки второй, третьей и дополнительной колонн отборы газового потока из верхних частей этих колонн также на некоторое время прекращают. После этого начинают подачу отбора газового потока из нижней части первой колонны в промежуточную по высоте точку второй колонны, одновременно прекращают отбор газового потока из верхней части первой колонны, одновременно начинают отбор газового потока из верхней части второй колонны и подают его в промежуточную по высоте точку третьей колонны, одновременно начинают отбор газового потока из верхней части третьей колонны и подают его в промежуточную по высоте точку дополнительной колонны, одновременно начинают отбор газового потока из верхней части дополнительной колонны. После чего с задержкой по времени 30-50 суток начинают отбор газового потока из верхней части первой колонны. С задержкой по времени 25-90 суток начинают отбор газового потока из нижней части второй колонны. С задержкой 65-75 суток начинают отбор газового потока из нижней части третьей колонны и с задержкой 20-25 суток начинают отбор газового потока из нижней части дополнительной колонны.

[99]

При реализации указанных мероприятий примерно половинная производительность по высокообогащенным изотопным компонентам достигается по следующему графику:

[100]

- изотоп18О - 65 сут;

[101]

- изотоп15N - 65 сут.

[102]

А плановая производительность - по графику:

[103]

- изотоп18О - 140 сут;

[104]

- изотоп15N - 170 сут.

[105]

Для извлечения изотопа17О используют описанные выше операции, соответствующие п.13 формулы изобретения.

Как компенсировать расходы
на инновационную разработку
Похожие патенты