патент
№ RU 2367980
МПК G01T1/40

УСТРОЙСТВО ДЛЯ РЕГИСТРАЦИИ ИОНИЗИРУЮЩИХ ИЗЛУЧЕНИЙ

Авторы:
Морозов Олег Сергеевич
Номер заявки
2008106329/28
Дата подачи заявки
21.02.2008
Опубликовано
20.09.2009
Страна
RU
Как управлять
интеллектуальной собственностью
Чертежи 
4
Реферат

Изобретение относится к области измерительной техники, а именно к измерению ионизирующих излучений с помощью сцинтилляционного детектора, и может быть использовано для стабилизации чувствительности сцинтилляционного детектора в области спектрометрии ионизирующих излучений (α, β, γ, n) для радиационных мониторов ядерных материалов (ЯМ) и/или радиоактивных веществ (РВ). Технический результат - стабилизация чувствительности во всех условиях эксплуатации в течение всего срока службы (при старении и наработке сцинтиллятора и ФЭУ). Устройство для регистрации ионизирующего излучения содержит сцинтиллятор 2, сопряженный с фотоэлектронным умножителем 3, выход которого соединен с усилителем 4, и микропроцессор 11, первый выход которого подключен через генератор импульсов тока 12 к светодиоду 13, второй выход подключен к первому входу схемы сравнения 10, вход - к датчику температуры, светодиод 13 сопряжен со сцинтиллятором 2, а дискриминатор нижнего уровня 5 включен между выходом усилителя 4 и входом аналого-цифрового преобразователя 6, выход которого подключен к входам первого и второго ключа, управляющий вход второго ключа 8 подключен к четвертому выходу микропроцессора 11, третий выход которого подключен ко второму входу генератора импульсов тока 12, первый выход микропроцессора 11 подключен к управляющему входу первого ключа 7, выход которого через первый интегратор 9 подключен ко второму входу схемы сравнения 10, выход которой через высоковольтный источник питания 15 и второй интегратор 16 подключен к электродам фотоэлектронного умножителя 3, при этом длина волны излучения светодиода меньше длины волны люминесценции сцин

Формула изобретения

1. Устройство для регистрации ионизирующего излучения, содержащее высоковольтный источник питания, аналого-цифровой преобразователь, сцинтиллятор, сопряженный с фотоэлектронным умножителем, выход которого соединен с усилителем, и микропроцессор, первый выход которого подключен через управляющий вход генератора импульсов тока к светодиоду, а второй выход подключен к первому входу схемы сравнения, при этом вход подключен к датчику температуры, отличающееся тем, что в устройство введены дискриминатор нижнего уровня, два интегратора и два ключа, при этом светодиод сопряжен со сцинтиллятором, а дискриминатор нижнего уровня включен между выходом усилителя и входом аналого-цифрового преобразователя, выход которого подключен к входам первого и второго ключа, при этом выход второго ключа является выходом устройства, а его управляющий вход подключен к четвертому выходу микропроцессора, третий выход которого подключен ко второму входу генератора импульсов тока, причем первый выход микропроцессора подключен к управляющему входу первого ключа, выход которого через первый интегратор подключен ко второму входу схемы сравнения, выход которой через высоковольтный источник питания и второй интегратор подключен к электродам фотоэлектронного умножителя.

2. Устройство по п.1, отличающееся тем, что длина волны излучения светодиода меньше длины волны люминесценции сцинтиллятора.

3. Устройство по п.1, отличающееся тем, что между светодиодом и сцинтиллятором установлен синий светофильтр.

4. Устройство по п.1, отличающееся тем, что первый и второй ключи управляются микропроцессором в противофазе при регистрации ионизирующего излучения или синхронно при проведении технического обслуживания устройства.

5. Устройство по п.1, отличающееся тем, что постоянная времени интегрирования второго интегратора превышает постоянную времени первого интегратора.

6. Устройство по п.1, отличающееся тем, что микропроцессор компенсирует температурную зависимость световыхода светодиода через генератор импульсов тока.

Описание

[1]

Изобретение относится к области измерительной техники, а именно к измерению ионизирующих излучений с помощью сцинтилляционного детектора, и может быть использовано для стабилизации чувствительности сцинтилляционного детектора в области спектрометрии ионизирующих излучений (α, β, γ, n) для радиационных мониторов ядерных материалов (ЯМ) и/или радиоактивных веществ (РВ).

[2]

При эксплуатации сцинтилляционных детекторов наблюдаются изменения характеристик как фотоэлектронного умножителя (ФЭУ), так и сцинтиллятора, связанные с изменением температуры окружающей среды (температурная нестабильность) и старением (длительная эксплуатация и хранение).

[3]

Известно устройство для регистрации ионизирующих излучений (см., например, патент РФ №2059263, кл. G01T 1/40, 1996), обеспечивающее стабильность чувствительности сцинтилляционного детектора во всех условиях эксплуатации и содержащее контрольный источник ионизирующего излучения, электромагнитный привод экрана и спектрометр, в состав которого входит сцинтиллятор, фотоэлектронный умножитель и схема стабилизации, состоящая из двух интеграторов, блока сравнения, ключа, триггера Шмитта, регулирующего элемента, преобразователя напряжения, высоковольтного выпрямителя.

[4]

Недостатком этого устройства является увеличение фонового счета детектора, обусловленное излучением контрольного источника, что приводит к увеличению порога обнаружения излучения, например, радиационного монитора ЯМ и РВ.

[5]

В устройстве, реализующем способ дифференциальной стабилизации спектрометрического тракта сцинтилляционного блока детектирования гамма-излучения по реперному пику (см. пат. РФ №2225017, кл. G01T 1/40, 2004), реперным пиком ионизирующего излучения является экран, закрывающий сцинтиллятор и создающий пик характеристического рентгеновского излучения при поглощении исследуемого излучения или фона.

[6]

Недостатком данного устройства является значительная продолжительность проведения калибровки устройства, что недопустимо при пороговых измерениях, характерных для радиационных мониторов, когда время измерения ограничено, например, временем прохода/проезда объекта контроля через радиационный монитор. Кроме того, при наличии экрана на сцинтилляторе увеличивается фон в области 80 кэВ и уменьшается чувствительность устройства к гамма-квантам с энергией, лежащей вблизи К-края поглощения введенного экрана. Кроме того, способ и устройство не могут быть применены при детектировании других видов ионизирующего излучения (α, β, n), которые не возбуждают характеристического излучения.

[7]

В устройствах, использующих светодиод в качестве опорного (контрольного) источника, фон излучения не изменяется.

[8]

Известен портативный радиометр-спектрометр гамма-излучения (см. пат. РФ, №2158938 RU, кл. G01T 1/40, 2000), содержащий два канала регистрации ядерных излучений, при этом гамма-канал состоит из сцинтиллятора, сопряженного с фотоэлектронным умножителем, выход которого через усилитель и аналого-цифровой преобразователь связан с микропроцессорной системой, имеющей выходы на дисплей и ЭВМ. Гамма-канал имеет систему стабилизации, включающую светодиод, сопряженный с фотоэлектронным умножителем и соединенный с импульсным генератором тока, вход которого связан с выходом микропроцессорной системы, каскад усиления, управляемый микропроцессорной системой, и цифровой датчик температуры, выход которого связан с микропроцессорной системой.

[9]

Это устройство принято за прототип.

[10]

При использовании этого устройства не обеспечивается стабилизация чувствительности пары сцинтиллятор - ФЭУ из-за изменения световыхода сцинтиллятора, обусловленного старением сцинтиллятора, т.е. изменением конверсионной эффективности и прозрачности сцинтиллятора при длительной эксплуатации прибора, что особенно важно для радиационных мониторов, работающих круглосуточно. Кроме того, в данном устройстве импульсы от светодиода проходят на выход устройства совместно с исследуемым излучением, что увеличивает фон и порог обнаружения. С другой стороны, импульсы ФЭУ, обусловленные его шумами и исследуемым излучением, попадают в канал обратной связи и могут сбить работу системы стабилизации.

[11]

Предложенное устройство решает задачу стабилизации чувствительности во всех условиях эксплуатации в течение всего срока службы (при старении и наработке сцинтиллятора и ФЭУ).

[12]

Это достигается тем, что в устройстве для регистрации ионизирующего излучения, содержащем высоковольтный источник питания, аналого-цифровой преобразователь, сцинтиллятор, сопряженный с фотоэлектронным умножителем, выход которого соединен с усилителем, и микропроцессор, первый выход которого подключен через управляющий вход генератора импульсов тока к светодиоду, а второй выход подключен к первому входу схемы сравнения, при этом вход подключен к датчику температуры, в устройство введены дискриминатор нижнего уровня, два интегратора и два ключа, при этом светодиод сопряжен со сцинтиллятором, а дискриминатор нижнего уровня включен между выходом усилителя и входом аналого-цифрового преобразователя, выход которого подключен к входам первого и второго ключа, при этом выход второго ключа является выходом устройства, а его управляющий вход подключен к четвертому выходу микропроцессора, третий выход которого подключен ко второму входу генератора импульсов тока, причем первый выход микропроцессора подключен к управляющему входу первого ключа, выход которого через первый интегратор подключен ко второму входу схемы сравнения, выход которой через высоковольтный источник питания и второй интегратор подключен к электродам фотоэлектронного умножителя, при этом длина волны излучения светодиода меньше длины волны люминесценции сцинтиллятора, между светодиодом и сцинтиллятором установлен синий светофильтр, первый и второй ключи управляются микропроцессором в противофазе при регистрации ионизирующего излучения или синхронно при проведении технического обслуживания устройства, постоянная времени интегрирования второго интегратора превышает постоянную времени первого интегратора, а микропроцессор компенсирует температурную зависимость световыхода светодиода через генератор импульсов тока.

[13]

Анализ известных решений не выявил признаков, сходных с отличительными признаками заявленного устройства. Это позволяет сделать вывод о соответствии заявленного устройства критерию новизны.

[14]

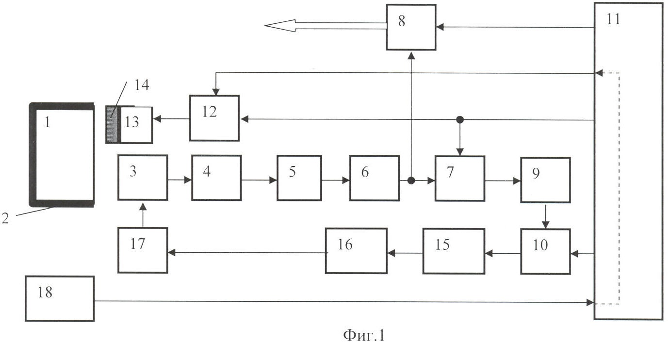
Изобретение поясняется чертежами, где на фиг.1 показана функциональная схема предлагаемого устройства, на фиг.2 показано распространение и преобразование света от светодиода в сцинтилляторе и его сбор на фотокатод фотоэлектронного умножителя, на фиг.3 показаны спектры испускания светодиода до фильтра (пунктир) и после него (штрихпунктир), люминесценции сцинтиллятора при возбуждении ионизирующим излучением (точки) и фильтрованным светом светодиода (сплошная), на фиг.4 - температурные зависимости отклика ФЭУ на свет светодиода (штрихпуктир) и сцинтиллятора (пунктир), а также чувствительности устройства при наличии стабилизации к ионизирующему излучению (сплошная толстая) и свету светодиода (сплошная тонкая), а также зависимость тока через светодиод, при которой обеспечивается температурная стабилизация световыхода светодиода (точки).

[15]

Устройство (фиг.1) содержит сцинтиллятор 1, боковые поверхности которого покрыты отражателем 2, за исключением выходного окна, через которое свет от сцинтиллятора 2 попадает на фотокатод фотоэлектронного умножителя (ФЭУ) 3, выход которого через усилитель 4 и дискриминатор нижнего уровня 5 соединен с аналого-цифровым преобразователем (АЦП) 6, выход которого подключен к первому ключу 7 и ко второму ключу 8, выход которого является спектрометрическим выходом устройства. Выход первого ключа 7 через первый интегратор 9 подключен к первому входу схемы сравнения 10, второй вход которой подключен к опорному напряжению Uoп, регулируемому микропроцессором 11 со второго выхода. Первый выход микропроцессора 11 соединен с управляющими входами первого ключа 7 и генератора импульсов тока 12, выход которого соединен со светодиодом 13, который освещает внутренний объем сцинтиллятора 1 через светофильтр 14. Выход схемы сравнения 10 через высоковольтный источник питания 15 и второй интегратор 16 подключен к делителю напряжения 17, через который осуществляется питание ФЭУ 3. Выход термодатчика 18 подключен к управляющему входу микропроцессора 11, третий выход которого соединен с входом генератора импульсов тока 12. Управляющий вход второго ключа 8 подключен к четвертому выходу микропроцессора 11.

[16]

Устройство работает следующим образом.

[17]

При включении напряжения питания микропроцессор 11 открывает первый ключ 7 и синхронно запускает с заданным периодом генератор импульсов тока 12, импульсы с которого включают светодиод 13, свет от которого с эффективной длиной волны λо проходит через синий светофильтр 14, пропускающий световые кванты с длиной волны λф менее λофо), освещает объем сцинтиллятора 1 и возбуждает люминесценцию сцинтиллятора 1 с характерной длиной волны высвечивания λ1, большей чем λф (λ1>λф). Возможные пути распространения света показаны на фиг.2, где показано для примера появление двух квантов люминесценции в центрах люминесценции 19 и 20: центр 19 поглотил непосредственно падающий на него фильтрованный свет светодиода 13, а центр 20 поглотил отраженный отражателем 2 фильтрованный свет светодиода 13. Далее свет от люминесценции сцинтиллятора 1, отражаясь от отражателя 2 или непосредственно из центров люминесценции, попадает на фотокатод ФЭУ 3 через выходное окно сцинтиллятора 1, не закрытое отражателем 2.

[18]

Далее (см. фиг.1) ФЭУ 3 преобразовывает люминесценцию сцинтиллятора 1, обусловленную светодиодом 13, в электрический сигнал, который усиливается усилителем 4 и через дискриминатор нижнего уровня 5, отсекающий шумы ФЭУ 3, поступает на АЦП 6, в котором амплитуда импульса с усилителя 4 преобразуется в цифровой код, который через открытый первый ключ 7 поступает на первый интегратор 9. По окончании импульса света от светодиода 13 первый ключ 7 закрывается, и импульсы с ФЭУ 3 (от излучения) не поступают в первый интегратор 9. В первом интеграторе 9 происходит усреднение амплитуд импульсов от светодиода 13, пришедших за время τ1, и определяется среднее значение амплитуды Асв импульсов, обусловленных светодиодом 13. Это значение передается на первый вход схемы сравнения 10, которая сравнивает его с опорным напряжением Uoп, программно задаваемым микропроцессором 11 по второму входу схемы сравнения 10. Температура измеряется датчиком температуры 14, расположенным вблизи ФЭУ 3 и сцинтиллятора 1, и передается на вход микропроцессора 11 для коррекции амплитуды импульса тока через светодиод 13 с генератора импульсов тока 12 от третьего выхода микропроцессора 11 в зависимости от температуры внешней среды, окружающей ФЭУ 3 и сцинтиллятор 1.

[19]

Если среднее значение импульсов от светодиода Асв не равно опорному напряжению Uoп (например, больше опорного напряжения), то схема сравнения 10 выдает разностный сигнал на высоковольтный источник питания 15, который через второй интегратор 16, работающий с постоянной времени τ2, соответственно изменяет напряжение (уменьшает напряжение) на делителе напряжения 17, через который осуществляется питание ФЭУ 3. В результате выходной сигнал с ФЭУ 3 от светодиода 13 изменяется таким образом (уменьшается), что разница между новым значением среднего напряжения Асв1 и опорным напряжением Uoп уменьшается (то есть организуется обратная отрицательная связь). При наличии расхождения между напряжением Асв1 и опорным напряжением Uoп от микропроцессора 11 схема сравнения 10 вновь дает сигнал рассогласования до тех пор, пока средняя амплитуда импульсов, обусловленных светодиодом 13, не станет равной заданному опорному напряжению Uoп. Это соответствует установлению номинальной чувствительности к ионизирующему излучению пары, состоящей из ФЭУ 3 и сцинтиллятора 1.

[20]

Постоянная времени τ2 второго интегратора 16 выбирается значительно больше, чем постоянная времени τ1 в первом интеграторе, т.е. τ2>>τ1, чтобы обеспечить апериодическое приближение напряжения питания ФЭУ 3 к номинальному значению. Постоянная времени τ1 зависит от частоты импульсов светодиода 13 и энергетического разрешения ФЭУ 3. Для уменьшения потери импульсов из-за просчетов частота импульсов светодиода 13 обычно не превышает частоту фоновых импульсов пары ФЭУ 3-сцинтиллятор 1. Этому способствует также введенный дискриминатор нижнего уровня 5. Для сцинтиллятора средних размеров частота фоновых импульсов составляет около 100 имп/с, при энергетическом разрешении ФЭУ 3, равном δе=10%, для обеспечения уровня стабилизации не хуже 1% необходимо набрать не менее 100 импульсов. В этом случае время усреднения первого интегратора 9 составит около 1 с, т.е. τ1=1 с, тогда постоянная времени второго интегратора 16 составит τ2=10τ1, т.е 10 с, что легко обеспечивается и соответствует минимальному времени подачи напряжения питания на ФЭУ 3 для его стабильной работы.

[21]

Для того чтобы чувствительность пары ФЭУ 3-сцинтиллятор 1 не изменялась при изменении характеристик сцинтиллятора, таких как прозрачность и конверсионная эффективность, светодиод освещает весь объем сцинтиллятора 1 с эффективной длиной волны λо, как показано на фиг.3. В этом случае свет от светодиода 13, распространяясь по объему сцинтиллятора 1, поглощается центрами люминесценции 19, 20, которые, возвращаясь в основное состояние, излучают свет с длиной волны λ1o, который, отражаясь от стенок сцинтиллятора 1 и отражателя 2, собирается на фотокатоде ФЭУ 3, что обеспечивает однородное освещение фотокатода ФЭУ 3, идентичное освещению ФЭУ 3 при регистрации сцинтилляций от ионизирующего излучения. Для повышения эффективности преобразования свечения светодиода 13 в люминесценцию сцинтиллятора 1 между сцинтиллятором 1 и светодиодом 13 установлен синий светофильтр 14, который смещает спектр свечения светодиода 13 в синюю область, как показано на фиг.3. В результате спектр высвечивания сцинтиллятора еще больше приближается к спектру люминесценции от ионизирующего излучения (см. фиг.3). Таким образом, вспышка света от светодиода 13 полностью имитирует возбуждение сцинтиллятора 1 ионизирующим излучением, падающим на него с внешней поверхности, как по объему возбуждения, так и по длине волны света (спектру люминесценции), освещающего фотокатод ФЭУ 3 и, следовательно, обеспечивается стабилизация чувствительности пары ФЭУ 3 и сцинтиллятора 1 при изменении конверсионной эффективности и прозрачности сцинтиллятора 1, что не обеспечивается прототипом.

[22]

При измерении температуры внешней среды термодатчик 18 выдает сигнал на вход микропроцессора 11, который изменяет ток через светодиод 13, управляя генератором импульсов тока 12 таким образом, чтобы чувствительность пары ФЭУ 3-сцинтиллятор 1 установилась равной номинальному значению Асв ном при регистрации как импульса светодиода, так и ионизирующего излучения (см. фиг.4), в результате схема сравнения 10 выдает сигнал рассогласования, и цикл установления номинальной чувствительности повторяется по указанному выше циклу при включении питания. Зависимость тока через светодиод 13 от температуры I=f(T) измеряется при изготовлении устройства путем построения графической (табулированной) зависимости при постоянном отношении отклика пары ФЭУ 3-сцинтиллятор 1 на ионизирующее излучение заданной энергии (например, на гамма-квант с энергией 662 кэВ) к отклику на импульс света от светодиода 13. Табулированные значения I и T (функциональная зависимость I=f(T)) вводятся в энергетически независимую память микропроцессора 11 и используются им в дальнейшем при работе устройства в качестве узловых точек, между которыми микропроцессор рассчитывает интерполированные значения тока I(T) через светодиод 13.

[23]

Постоянство отношения отклика на ионизирующее излучение и на импульс светодиода 3 может быть обеспечено для трех режимов коррекции:

[24]

а) термостабилизация световыхода светодиода 13,

[25]

б) термостабилизация световыхода пары светодиод 13-сцинтиллятор 1,

[26]

в) термостабилизация суммарного отклика с трех элементов: светодиод 13-сцинтиллятор 1-ФЭУ 3.

[27]

Первый вариант более предпочтителен благодаря более простой и предсказуемой зависимости световыхода светодиода 13 от температуры - обычно линейная с градиентом минус (0.1-1)%/°С. В этом случае температурные изменения характеристик ФЭУ 3 и сцинтиллятора 1 отрабатываются системой автоматической стабилизации чувствительности по опорному импульсу светодиода 13, а ток через светодиод 13, поддерживающий постоянство его световыхода, может быть определен по формуле (показан на фиг.4 пунктиром):

[28]

[29]

где IT, Io - ток через диод при температуре T и начальной To,

[30]

jT, Jo - световыход светодиода 3 при температуре T и начальной To,

[31]

k - температурный коэффициент (градиент).

[32]

На фиг.4 показаны температурные зависимости отклика ФЭУ 3 на свет светодиода 13 (штрихпунктир) и сцинтиллятора 1 (пунктир), а также чувствительности пары ФЭУ 3-сцинтиллятор 1 после введения стабилизации к свету светодиода 13 (сплошная тонкая) и ионизирующему излучению (сплошная толстая), а также тока через светодиод 13 (точки). Как видно из фиг.4, чувствительность пары ФЭУ 3 - сцинтиллятор 1 к ионизирующему изучению (измеренная от реперного источника) при стабилизации не зависит от температуры, при этом не изменяется и амплитуда импульса от светодиода 13, что говорит о действии цепи стабилизации с учетом датчика температуры 6. Без датчика 6 амплитуда импульса от светодиода 13 не изменялась бы, но изменялась бы амплитуда от реперного ионизирующего излучения.

[33]

После того как установилась номинальная чувствительность, т.е Асвсв ном, микропроцессор 11 с четвертого выхода открывает закрытый до этого момента времени второй ключ 8 в противофазе с первым ключом 7, в результате на выход ключа 8 и устройства импульсы от светодиода 13 не проходят, а проходят только импульсы от ионизирующего излучения, которые не проходят на выход ключа 7, и поэтому не вызывают сбоя системы стабилизации чувствительности. Таким образом, обеспечено сохранение фонового счета при наличии контрольных импульсов стабилизации. В зависимости от мощности микропроцессора 11 функции узлов АЦП 6, двух ключей 7 и 8, первого интегратора 9, схемы сравнения 10, высоковольтного источника питания 15 (в части низковольтных цепей) и генератора импульсов тока 12 могут быть переданы микропроцессору 11.

[34]

При проведении технического обслуживания проверяется положение пика от реперной линии ионизирующего излучения в режиме регистрации ионизирующего излучения и положение пика от светодиода 13 в режиме контроля, для перехода в который микропроцессор 11 устанавливает второй ключ 8 в открытое состояние после окончания процесса стабилизации одновременно с открыванием первого ключа 7, что обеспечивает прохождение на выход устройства только импульсов от светодиода 13, а потому и максимальное соотношение сигнал/фон на выходе устройства при измерении импульса от светодиода 13.

[35]

Таким образом предложенное устройство для регистрации ионизирующего излучения стабилизирует чувствительность во всех условиях эксплуатации в течение всего срока службы при старении и наработке сцинтиллятора и ФЭУ.

Как компенсировать расходы
на инновационную разработку
Похожие патенты