патент
№ RU 2457902
МПК B01J23/02

КАТАЛИЗАТОР, СПОСОБ ЕГО ПОЛУЧЕНИЯ (ВАРИАНТЫ) И СПОСОБ ЖИДКОФАЗНОГО АЛКИЛИРОВАНИЯ ИЗОБУТАНА ОЛЕФИНАМИ C2-C4 В ЕГО ПРИСУТСТВИИ

Авторы:
Герзелиев Ильяс Магомедович
Номер заявки
2010137508/04
Дата подачи заявки
09.09.2010
Опубликовано
10.08.2012
Страна
RU
Как управлять
интеллектуальной собственностью
Реферат

Изобретение относится к области нефтехимии, в частности к получению катализатора на основе цеолитов для алкилирования изобутана олефинами, и может быть использовано в нефтеперерабатывающей промышленности. Описан катализатор алкилирования изобутана олефинами на основе цеолита, содержащий оксид алюминия и диоксид кремния при молярном отношении диоксид кремния : оксид алюминия, равном 2,8-7,0, оксиды натрия, редкоземельного элемента и оксиды активных металлов, который в качестве оксидов активных металлов содержит оксиды платины, и/или палладия, и/или рения, и/или родия, и/или галоген - хлор или фтор при следующем соотношении компонентов, % мас.: оксид натрия 0,26÷0,8, оксид кальция 0,8÷4,2, оксид редкоземельного элемента 12,0÷20,0, оксид платины, и/или оксид палладия, и/или оксид рения, и/или оксид родия 0,02÷2,0, и/или хлор 0,05÷0,8, и/или фтор 0,005÷0,5, цеолит с соотношением SiO2/Al2O3, равным 2,8÷7,0, остальное. Предложены также два варианта способа получения катализатора алкилирования изобутана олефинами С2-С4 на основе цеолита, включающего его обработку водными растворами солей кальция, редкоземельного элемента и аммония при повышенной температуре и давлении насыщенных паров в течение времени, необходимого для перевода цеолита в редкоземельный кальциевый цеолит, и нанесение на него оксидов активных металлов путем пропитки водными растворами, содержащими активные металлы, затем его промывку, сушку и прокаливание, в котором сначала осуществляют пропитку полученного редкоземельного кальциевого цеолита униполярной водой до прекращения выхода воздуха из пор цеолита, затем нанесение оксидов активных металлов: платины, и/или палладия, и/или

Формула изобретения

1. Катализатор алкилирования изобутана олефинами С24 на основе цеолита, содержащий оксид алюминия и диоксид кремния при молярном отношении диоксид кремния: оксид алюминия, равном 2,8÷7,0, оксиды натрия, кальция, редкоземельного элемента и оксиды активных металлов, отличающийся тем, что в качестве оксидов активных металлов он содержит оксиды платины, и/или палладия, и/или рения, и/или родия и/или галоген - хлор или фтор при следующем соотношении компонентов, мас.%:

оксид натрия0,26÷0,8
оксид кальция0,8÷4,2
оксид редкоземельного элемента12,0÷20,0
оксид платины
и/или оксид палладия
и/или оксид рения
и/или оксид родия0,02÷2,0
и/или хлор0,05÷0,8
и/или фтор0,005÷0,5
цеолит с соотношением
SiO2/Al2O3, равным 2,8÷7,0остальное

2. Катализатор по п.1, отличающийся тем, что он дополнительно содержит связующее предпочтительно гидроксид алюминия бемитной структуры в количестве 10÷50 мас.% по отношению к готовому катализатору.

3. Катализатор по п.1, отличающийся тем, что в качестве цеолита он содержит цеолит типа фожазит с молярным соотношением SiO2/Al2O3, равным 2,8÷7,0.

4. Способ получения катализатора по п.1, включающий обработку цеолита водными растворами солей кальция, редкоземельных элементов и аммония при повышенной температуре и давлении насыщенных паров в течение времени, необходимого для перевода цеолита в редкоземельный кальциевый цеолит и нанесение на него оксидов активных металлов путем пропитки водными растворами, содержащими активные металлы - платину или палладий, затем промывку и сушку, отличающийся тем, что перед нанесением активных металлов сначала осуществляют обработку полученного редкоземельного кальциевого цеолита униполярной водой до прекращения выхода воздуха из пор цеолита, затем нанесение оксидов активных металлов: платины, и/или палладия, и/или рения, и/или родия и/или галоген - хлор или фтор, взятых в количестве, обеспечивающих указанное содержание оксида соответствующего металла и галогена в готовом катализаторе, причем нанесение активных металлов и галогена проводят в две стадии: на первой стадии путем холодной пропитки при температуре не более 30°С, на второй - при температуре не менее 70°С, после чего осуществляют обработку органической кислотой в присутствии 30%-ного водного раствора перекиси водорода, а затем сушку, таблетирование и прокаливание.

5. Способ по п.4 отличающийся тем, что цеолит смешивают со связующим - предпочтительно гидроксидом алюминия бемитной структуры и раствором минеральной или органической кислоты, предпочтительно азотной, при рН в пределах равным 2÷4, полученную смесь упаривают, формуют методом экструзии, экструдаты провяливают, сушат и прокаливают.

6. Способ по п.4, отличающийся тем, что в качестве цеолита используют цеолит типа фожазит с молярным соотношением SiO2/Al2O3, равным 2,8÷7,0.

7. Способ по п.4, отличающийся тем, что обработку цеолита водными растворами солей кальция, редкоземельных элементов и аммония осуществляют при температуре 140÷220°С.

8. Способ по п.4, отличающийся тем, что в качестве водных растворов активных металлов используют платинохлористоводородную, или рениевую, или родиевую кислоту, или перренат аммония или хлорплатинат аммония, или хлористый родий или тетрааммиакат палладия.

9. Способ по п.4, отличающийся тем, что холодную пропитку проводят не менее 1 ч, а горячую в течение 0,5÷2 ч, предпочтительнее 0,75÷1,0 ч.

10. Способ по п.4, отличающийся тем, что нанесение галогена осуществляют из водного раствора соляной или фтористоводородной кислоты.

11. Способ по п.4, отличающийся тем, что обработку органической кислотой осуществляют из водного раствора щавелевой, уксусной, муравьиной или лимонной кислоты (или их смеси) предпочтительно в течение 0,25÷1,0 ч.

12. Способ получения катализатора по п.1, включающий обработку цеолита водными растворами солей кальция, редкоземельного элемента и аммония при повышенной температуре и давлении насыщенных паров в течение времени, необходимого для перевода цеолита в редкоземельный кальциевый цеолит и нанесение на него оксидов активных металлов путем пропитки водными растворами, содержащими активные металлы, затем промывку и сушку, отличающийся тем, что нанесение на редкоземельный кальциевый цеолит оксидов активных металлов - платины, и/или палладия, и/или рения, и/или родия и/или галогена-хлора или фтора, осуществляют из растворов, содержащих соответствующие металлы или галоген в униполярной воде, взятых в количестве, обеспечивающих указанное содержание оксида соответствующего металла в готовом катализаторе, причем нанесение активных металлов и галогена проводят в две стадии: на первой стадии путем холодной пропитки при температуре не более 30°С, на второй - при температуре не менее 70°С, после чего осуществляют обработку органической кислотой в присутствии 30%-ного водного раствора перекиси водорода, а затем сушку, таблетирование и прокаливание.

13. Способ по п.12, отличающийся тем, что пропитанный оксидами активных металлов цеолит смешивают со связующим - предпочтительно гидроксидом алюминия бемитной структуры и раствором минеральной или органической кислоты, предпочтительно азотной, при рН в пределах равным 2÷4, полученную смесь упаривают, формуют методом экструзии, экструдаты провяливают, сушат и прокаливают.

14. Способ по п.12, отличающийся тем, что в качестве цеолита используют цеолит типа фожазит с молярным соотношением SiO2/Al2O3, равным 2,8÷7,0.

15. Способ по п.12, отличающийся тем, что обработку цеолита водными растворами солей кальция, редкоземельных элементов и аммония осуществляют при температуре 140÷220°С.

16. Способ по п.12, отличающийся тем, что в качестве водных растворов активных металлов используют платинохлористоводородную, или рениевую, или родиевую кислоту, или перренат аммония или хлорплатинат аммония, или хлористый родий или тетрааммиакат палладия.

17. Способ по п.12, отличающийся тем, что холодную пропитку проводят не менее 1 ч, а горячую в течение 0,5÷2 ч, предпочтительнее 0,75÷1,0 ч.

18. Способ по п.12, отличающийся тем, что нанесение галогена осуществляют из водного раствора соляной или фтористоводородной кислоты.

19. Способ по п.12, отличающийся тем, что обработку органической кислотой осуществляют из водного раствора щавелевой, уксусной, лимонной кислоты или муравьиной (или их смеси) предпочтительно в течение 0,25÷1,0 ч.

20. Способ жидкофазного алкилирования изобутана олефинами С24 при повышенном давлении и температуре в присутствии цеолитного катализатора, отличающийся тем, что процесс ведут в присутствии катализатора по любому из пп.1÷3.

Описание

[1]

Изобретение относится к области нефтехимии, в частности к получению катализатора на основе цеолитов и способу алкилирования изобутана олефинами C2÷C4 в его присутствии, и может быть использовано в нефтеперерабатывающей промышленности.

[2]

В связи с возросшими требованиями к качеству автобензина (ограничение содержания ароматических углеводородов) резко возрос интерес к процессу алкилирования изобутана олефинами. Продукт процесса - алкилбензин состоит практически нацело из изопарафиновых углеводородов, в основном изооктанов (Σизо-C8). Алкилбензин не содержит ароматических углеводородов, однако обладает высоким октановым числом. Разработка технологии, пригодной для внедрения в промышленность, в первую очередь зависит от создания каталитической системы, проявляющей высокую активность, селективность в получении целевых продуктов и стабильность. В настоящее время для процесса алкилирования в промышленном масштабе в качестве катализаторов используются минеральные кислоты - серная и фтористоводородная. Однако их применение вызывает ряд проблем, связанных с их высокой токсичностью и коррозионно-активностью. В качестве альтернативных предложен широкий ассортимент катализаторов различного качественного и количественного состава, однако наиболее перспективны катализаторы на основе цеолитов, в которые для увеличения активности и селективности вводят различные модификаторы.

[3]

Наиболее близким по технической сущности и достигаемому результату является катализатор на основе цеолита типа фожазит для алкилирования изобутана олефинами С2÷С4, описанный в SU 1309383, B01J 29/12, С07В 37/00, 20.10.1996 г. Согласно известному техническому решению катализатор имеет следующий состав, % мас.: оксид натрия 0,26÷0,8; оксид редкоземельного элемента 12,0÷20,0; оксид кальция 0,8÷4,2; оксид платины или палладия 0,02÷1,2; оксид алюминия и диоксида кремния - остальное. Испытание КЦ при алкилировании изобутана этиленом при 90°С, скорости подачи сырья 1,3 ч-1 и длительности 7 ч показывает выход алкилата 190÷210% мас.

[4]

Недостатком катализатора является невысокая селективность по целевому продукту Σизо-C8 (суммарным изооктанам) - 67,4% мас. при алкилировании изобутана этиленом и бутенами, а при алкилировании изобутана пропиленом при 20°С и длительности 3 ч показывает низкий выход алкилата - 100% мас., в то время как селективность по целевому продукту Σизо-C8 (суммарным изооктанам) и вовсе составляет - 26,8% мас.

[5]

Задача предлагаемого технического решения заключается в разработке катализатора, проявляющего высокую стабильность в проведении процесса алкилирования изобутана олефинами С2÷С4 и проявляющего высокую активность и селективность по целевому продукту Σизо-C8, а также в разработке способа получения такого катализатора.

[6]

Поставленная задача решается тем, что предложен катализатор алкилирования изобутана олефинами С2÷С4 на основе цеолита, содержащий оксид алюминия и диоксид кремния при молярном отношении диоксид кремния : оксид алюминия, равном 2,8÷7,0, оксиды натрия, кальция, редкоземельного элемента и оксиды активных металлов, который в качестве оксидов активных металлов содержит оксиды платины, и/или палладия, и/или рения, и/или родия, а также галоген - хлор или фтор при следующем соотношении компонентов, % мас.:

[7]

оксид натрия0,26÷0,8
оксид кальция0,8÷4,2
оксид редкоземельного элемента12,0÷20,0
оксид платины,
и/или оксид палладия,
и/или оксид рения,
и/или оксид родия0,02÷2,0
и/или хлор0,05÷0,8
и/или фтор0,005÷0,5
цеолит с соотношением
SiO2/Al2O3, равным 2,8÷7,0остальное

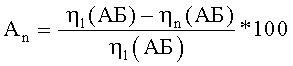
[8]

Предложенный катализатор может дополнительно содержать связующее, предпочтительно гидроксид алюминия бемитной структуры в количестве 10÷50% мас. по отношению к готовому катализатору, а в качестве цеолита он содержит цеолит типа фожазит с молярным соотношением SiO2/Al2O3, равным 2,8-7,0.

[9]

Поставленная задача решается также тем, что предложен способ получения катализатора алкилирования изобутана олефинами С2-C4 на основе цеолита, включающий его обработку водными растворами солей кальция, редкоземельного элемента и аммония при повышенной температуре и давлении насыщенных паров в течение времени, необходимого для перевода цеолита в редкоземельный кальциевый цеолит и нанесение на него оксидов активных металлов путем пропитки водными растворами, содержащими активные металлы, затем промывку и сушку, в котором перед нанесением активных металлов сначала осуществляют обработку полученного редкоземельного кальциевого цеолита униполярной водой до прекращения выхода воздуха из пор цеолита, затем нанесение оксидов активных металлов: платины, и/или палладия, и/или рения, и/или родия совместно с галогеном - хлором или фтором, взятых в количестве, обеспечивающем указанное содержание оксида соответствующего металла и галогена в готовом катализаторе, причем нанесение активных металлов и галогена проводят в две стадии: на первой стадии путем холодной пропитки при температуре не более 30°С, на второй - при температуре не менее 70°С, после чего осуществляют обработку органической кислотой в присутствии 30% водного раствора перекиси водорода, а затем сушку, таблетирование и прокаливание.

[10]

Частный случай реализации способа, когда цеолит смешивают со связующим - предпочтительно гидроксидом алюминия бемитной структуры и раствором минеральной или органической кислоты, предпочтительно азотной, при рН в пределах, равных 2÷4, полученную смесь упаривают, формуют методом экструзии, экструдаты провяливают, сушат и прокаливают.

[11]

В качестве цеолита используют цеолит типа фожазит с молярным соотношением SiO2/Al2O3, равным 2,8-7,0.

[12]

Обработку цеолита водными растворами солей кальция, редкоземельного элемента и аммония для получения редкоземельного кальциевого цеолита осуществляют при температуре 140÷220°С.

[13]

В качестве водных растворов активных металлов используют платинохлористоводородную, или рениевую, или родиевую кислоту, или тетрааммиакат палладия.

[14]

Холодную пропитку проводят не менее 1 часа, а горячую в течение 0,5-2 часов, предпочтительнее 0,75-1,0 часа.

[15]

Нанесение галогена осуществляют из водного раствора соляной или фтористоводородной кислоты.

[16]

В качестве органической кислоты используют водный раствор щавелевой, муравьиной, уксусной или лимонной кислоты или их смеси.

[17]

Поставленная задача решается тем, что предложен второй вариант реализации способа получения катализатора алкилирования изобутана олефинами С2÷С4 на основе цеолита, включающий его обработку водными растворами солей кальция, редкоземельного элемента и аммония при повышенной температуре и давлении насыщенных паров в течение времени, необходимого для перевода цеолита в редкоземельный кальциевый цеолит, и нанесение на него оксидов активных металлов путем пропитки водными растворами, содержащими активные металлы, затем промывку и сушку, в котором нанесение на редкоземельный кальциевый цеолит оксидов активных металлов - платины, и/или палладия, и/или рения, и/или родия и галогена - хлора или фтора осуществляют из растворов, содержащих соответствующие металлы или галоген в униполярной воде, взятых в количестве, обеспечивающем указанное содержание оксида соответствующего металла или галогена в готовом катализаторе, причем нанесение активных металлов и галогена проводят в две стадии: на первой стадии путем холодной пропитки при температуре не более 30°С, на второй - при температуре не менее 70°С, после чего осуществляют обработку органической кислотой в присутствии 30% водного раствора перекиси водорода, а затем сушку, таблетирование и прокаливание.

[18]

Пропитанный оксидами активных металлов цеолит в частном случае смешивают со связующим - предпочтительно гидроксидом алюминия бемитной структуры и раствором минеральной или органической кислоты, предпочтительно азотной, при рН в пределах, равных 2÷4, полученную смесь упаривают, формуют методом экструзии, экструдаты провяливают, сушат и прокаливают.

[19]

В качестве цеолита используют цеолит типа фожазит с молярным соотношением SiO2/Al2O3, равным 2,8÷7,0.

[20]

Обработку цеолита водными растворами солей кальция, редкоземельного элемента и аммония для получения редкоземельного кальциевого цеолита осуществляют при температуре 140÷220°С.

[21]

В качестве водных растворов активных металлов используют платинохлористоводородную, или рениевую, или родиевую кислоту, или тетрааммиакат палладия.

[22]

Холодную пропитку проводят не менее 1 часа, а горячую в течение 0,5-2 часа, предпочтительнее 0,75-1,0 часов.

[23]

Нанесение галогена осуществляют из водного раствора соляной или фтористоводородной кислоты.

[24]

В качестве органической кислоты используют водный раствор щавелевой, муравьиной, уксусной или лимонной кислоты или их смеси.

[25]

Поставленная задача решается также тем, что предложен способ жидкофазного алкилирования изобутана олефинами С2÷С4 при повышенном давлении и температуре, в котором процесс ведут в присутствии описанного катализатора, полученного любым из указанных способов.

[26]

Из уровня техники известен патент RU №2289475, B01J 2/256, опубл. 20.12.2006 г., в котором описан катализатор, содержащий в своем составе хлор и фтор, наряду с другими активными компонентами. Катализатор применяют для проведения каталитического крекинга с целью получения бензиновых фракций.

[27]

Однако катализатор для проведения процесса алкилирования изобутана олефинами С24, содержащий в своем составе галоген - хлор или фтор, из уровня техники не известен.

[28]

Технический результат, который может быть получен от предлагаемого изобретения, заключается в следующем:

[29]

- в увеличении стабильной активности работы катализатора;

[30]

- увеличении активности катализатора по конверсии олефинов, практически до 100% мас.;

[31]

- увеличении селективности катализатора в процессе жидкофазного алкилирования изобутана олефинами С2÷С4 по целевому продукту - изооктанам (изо-C8) до 75,7% мас.;

[32]

- увеличении выхода целевого продукта (алкилбензина) на 10÷15% мас.

[33]

Нижеследующие примеры иллюстрируют предлагаемое техническое решение, но никоим образом не ограничивают его.

[34]

Получение катализаторов и проведение реакции жидкофазного алкилирования в их присутствии.

[35]

Пример 1

[36]

Редкоземельный кальциевый цеолит получают по методике, описанной в патенте SU 936991, B01J 37/30, 23.06.1982 г. С этой целью 40 г порошкообразного цеолита типа фожазит с молярным соотношением SiO2/Al2O3, равным 4,0, загружают в автоклав и заливают раствором хлорида кальция (концентрация 60 г/л, количество 260 мл). Автоклав подогревают до 160°С и выдерживают 3 ч. По окончании обработки автоклав охлаждают, сливают отработанный раствор, заливают раствор промышленной смеси нитратов редкоземельных элементов (концентрация 30 г/л, количество 210 мл) и вновь подогревают до 160°С, выдерживают 3 часа и охлаждают.

[37]

После охлаждения и отделения маточного раствора цеолит промывают обессоленной водой (конденсатом). Лепешку цеолита сушат, прессуют в таблетки и прокаливают.

[38]

Затем полученный таким образом редкоземельный кальциевый цеолит обрабатывают сначала униполярной водой, которую получают в электрохимическом реакторе РЭХ-1 (установок типа СТЭЛ) (методика описана в Бахир В.М. Современные технические электрохимические системы для обеззараживания, очистки и активирования воды. - М.: ВНИИИМТ, 1999. - 84 с; - ил.). Униполярная вода подается с целью химического модифицирования поверхности хемосорбцией ионов водорода (Н+), интенсификации и равномерности процесса его дальнейшей пропитки активными компонентами, удаления из пор цеолита воздуха, а также для мягкого увлажнения цеолита, что предотвращает растрескивание катализатора, и для отмывки от пыли и крошки.

[39]

Далее навеску редкоземельно-кальциевого цеолита заливают смесью растворов активных металлов. В данном примере раствором нитрата аммония, тетрааммиаката палладия и хлорида родия (концентрация 0,05 г/л по палладию и 7,35 г/л по родию), в количестве, обеспечивающем полное покрытие гранул.

[40]

Нанесение активных металлов на редкоземельный кальциевый цеолит осуществляют в две стадии: на первой стадии проводят холодную пропитку при перемешивании 1 час при температуре 25°С. После проведения холодной пропитки на второй стадии пропиточный раствор нагревают до температуры 75°С и проводят пропитку редкоземельного кальциевого цеолита еще 1 час. Затем в пропиточный раствор добавляют 0,02 г щавелевой кислоты (расчете на безводную соль) в виде водного раствора с концентрацией 50 г/дм3 и 0,02 г перекиси водорода в виде 30% водного раствора. Обработку продолжают 0.25 часа при перемешивании, затем раствор сливают, катализатор сушат и прокаливают.

[41]

Затем раствор, практически не содержащий палладия, сливают, таблетки промывают конденсатом, сушат и прокаливают.

[42]

Получают катализатор следующего химического состава, % мас.:

[43]

Na2O - 0,5; La2O3 - 20,0; CaO - 1,4; PdO - 0,01; RhO - 1,5; Al2O3+SiO2 - остальное (SiO2/Al2O3=4,0).

[44]

Катализатор испытывают в реакции жидкофазного алкилирования изобутана (изобутановая фракция с содержанием изобутана - 99,5% мас., остальное н-бутан) этиленом с концентрацией 99,5 мас.% по основному веществу, при соотношении изо-С42"=17:1, температуре 90°С, объемной скорости подачи сырья 1,3 ч-1 и длительности работы катализатора 7 ч на лабораторной проточной установке.

[45]

Катализатор загружают в реактор таким образом, что над и под его слоем оказывается толченый кварц (фракция по размерам частиц на порядок выше фракции катализатора), служащий в качестве устройства, предотвращающего вынос катализатора с потоком. Верхний слой кварца также способствует равномерному распределению потока сырья на поверхности катализатора, и проводят проверку установки алкилирования на герметичность азотом при Р=1,5÷2,0 МПа.

[46]

После проверки на герметичность проводят испытания катализатора в процессе алкилирования изобутана олефинами С2÷С4.

[47]

Контакт только алкилирующего компонента - этилена с катализатором приводит к протеканию его олигомеризации на поверхности катализатора и быстрой дезактивации последнего. Чтобы избежать олигомеризации, реактор с готовым к использованию катализатором предварительно заполняют изобутаном.

[48]

По окончании заполнения системы изобутаном закрывают вентиль на изобутановой емкости и с помощью насоса начинают подачу в реактор сырьевой смеси из сырьевой емкости. В результате взаимодействия алкилируемого и алкилирующего компонентов в присутствии катализатора образуются жидкие продукты реакции и непрореагировавший избыточный изобутан, которые отбирают на выходе из реактора в охлаждаемую ловушку.

[49]

Жидкий продукт - алкилат подвергают стабилизации, а затем анализируют на хроматографе «Кристаллюкс-4000М» с помощью газоадсорбционной хроматографии на колонке с SE-30. В работе была использована программа «NetChrom», предназначенная для автоматизации хроматографа «Кристаллюкс-4000М». Эта программа обеспечивает обработку хроматографических сигналов.

[50]

Определяют полный состав алкилата - он представляет собой смесь изомеров парафиновых углеводородов C5÷C9, а также его расчетное октановое число.

[51]

Образующиеся газообразные продукты стабилизации - в основном непрореагировавший избыточный изобутан, также анализируют с помощью газо-адсорбционной хроматографии: на колонке с окисью алюминия.

[52]

Выход продуктов реакции - алкилата рассчитывают по представленному ниже уравнению реакции:

[53]

[54]

2 Этилен + Изобутан → 2,2,4-Триметилпентан

[55]

(100 октановое число исследовательским методом - ОЧИ)

[56]

Конверсия олефина характеризует полноту использования сырья в данном процессе и является отношением количества превращенного олефина (ОЛ) к взятому, выраженным в %, и рассчитывается по формуле:

[57]

[58]

Х(ОЛ) - конверсия ОЛ, % мас.;

[59]

С(ОЛ)сырье - концентрация ОЛ в сырье, % мас.;

[60]

m(сырья) - масса сырья, г;

[61]

С(ОЛ)прод. - концентрация ОЛ в продукте, % мас.;

[62]

m(продукта) - масса продукта, г.

[63]

Выход алкилбензина на олефины в сырье (выход АБ на взятые ОЛ), выраженный в %, определяют по формуле:

[64]

[65]

η(АБ) - Выход АБ, % мас.;

[66]

m(продукта) - масса продукта, г;

[67]

С(ОЛ)сырье - концентрация ОЛ в сырье, % мас.;

[68]

m(сырья) - масса сырья, г.

[69]

Селективность процесса оценивают по содержанию изоактановой фракции в смеси получаемых продуктов - алкилбензина, как самого ценного компонента автобензина, получаемого путем смешения высооктановых бензинов каталитического крекинга вакуумного газойля и риформинга низкооктанового бензина.

[70]

Селективность реакции - относительная концентрация изооктановой фракции на продукты реакции рассчитывают по формуле:

[71]

[72]

δ(АБ) - селективность реакции, % мас.;

[73]

C(ΣC8) - концентрация изооктановой фракции в продукте, % мас.;

[74]

С(прод.) - общая концентрация продуктов реакции, % мас.

[75]

Стабильная активность работы катализатора - изменение выхода алкилбензина на олефины в сырье во время работы рассчитывают по формуле:

[76]

[77]

An - степень снижения стабильной активности работы катализатора, % относит.;

[78]

n - длительность подачи сырья, ч;

[79]

η1(АБ) - выход алкилбензина на олефины в сырье за первый час от подачи сырья, % мас.;

[80]

ηn(АБ) - выход алкилбензина на олефины в сырье за n-й час от подачи сырья, % мас.;

[81]

В соответствии с представленными расчетами степень снижения стабильной активности работы катализатора за 7 часов от подачи сырья составляет 2% (по сравнению с 14% в прототипе).

[82]

Селективность процесса составляет - 68,5% мас.

[83]

Результаты испытаний приведены в таблице 2.

[84]

Пример 2.

[85]

Катализатор готовят по примеру 1, только с целью варьирования состава обработку смесью нитратов редкоземельных элементов и аммония ведут в течение 4 ч при 200°С, концентрация смеси растворов тетрааммиаката палладия и нитрата аммония составляет 0,68 г/л по палладию, и в эту смесь вводится раствор соляной кислоты и хлорида родия с концентрацией 0,25 г/л по родию и содержащий 0,04 г Cl в виде соляной кислоты.

[86]

Катализатор имеет следующий химический состав, % мас.:

[87]

Na2O - 0,26; La2O3 - 17,4; CaO - 0,8; PdO - 0,11; RhO - 0,05; Cl - 0,1; Al2O3+SiO2 - остальное (SiO2/Al2O3=4,0).

[88]

Катализатор испытывают в реакции жидкофазного алкилирования изобутана бутиленами при соотношении изо-C4:C4"=27:1, температуре 90°С, объемной скорости 1,2 ч-1, длительности работы катализатора 7 ч по методике, описанной в примере 1, но в качестве алкилирующего компонента используют бутан-бутиленовую фракцию, полученную на + установке каталитического крекинга (ББФ), углеводородный состав, которой определен методом газоадсорбционной хроматографии (хроматограф «Кристаллюкс-4000М» с пламенно-ионизационным детектором) и представлен в таблице 1.

[89]

Таблица 1
Характеристика бутан-бутиленовой фракции
УглеводородыКонцентрация, % мас.
Изобутан30,280
н-Бутан8,076
транс-Бутилен18,228
Бутилен13,003
Изобутилен15,283
цис-Бутилен13,876
Изопентан1,316

[90]

Выход продукта реакции - алкилата рассчитывают по представленным ниже уравнениям реакции:

[91]

Алкилирование бутеном-2

[92]

[93]

Бутен-2 + Изобутан → 2,2,4-Триметилпентан

[94]

(100 ОЧИ)

[95]

Алкилирование бутеном-1

[96]

[97]

Бутен-1 + Изобутан → 2,3-Диметилгексан

[98]

(71.3 ОЧИ)

[99]

[100]

Бутен-1 + Изобутан → 2,3,4-Триметилпентан

[101]

(102.7 ОЧИ)

[102]

Алкилирование изобутеном

[103]

[104]

Изобутен + Изобутан → 2,2,4-Триметилпентан

[105]

(100 ОЧИ)

[106]

Выход алкилбензина на олефины и селективность процесса рассчитывают, как показано в примере 1.

[107]

Результаты представлены в таблице 2.

[108]

Пример 3.

[109]

40 г порошкообразного цеолита типа У с молярным отношением SiO2/Al2O3, равным 5, подвергают всем операциям по примеру 1, только на обработку берут 180 мл смеси нитратов редкоземельных элементов и аммония, а концентрация смеси растворов тетрааммиаката палладия и нитрата аммония составляет 5,04 г/л по палладию, и в эту смесь вводят раствор фтористоводородной и рениевой кислот с концентрацией 0,043 г/л по рению и содержащий 0,32 г F в виде фтористоводородной кислоты.

[110]

Катализатор имеет следующий химический состав, % мас.:

[111]

Na2O - 0,48; La2O3 - 18,1; CaO - 1,4; PdO - 1,2; Re2O7 - 0,01; F - 0,05; Al2O3+SiO2 - остальное (SiO2/Al2O3=5,0).

[112]

Катализатор испытывают в условиях примера 1.

[113]

Выход алкилбензина на олефины и селективность процесса рассчитывают, как показано в примере 1.

[114]

Результаты представлены в таблице 2.

[115]

Пример 4.

[116]

100 г гранулированного цеолита типа Х с молярным отношением SiO2/Al2O3, равным 2,8, загружают в автоклав и заливают раствором хлорида кальция (концентрация 40 г/л, количество раствора 1020 мл). Автоклав нагревают до 150°С, выдерживают 3 ч и охлаждают. Отработанный раствор сливают и операцию повторяют, обрабатывая навеску 450 мл смеси растворов нитрата редкоземельных элементов и аммония (концентрация 15 г/л по La2O3). Затем цеолит промывают обессоленной водой и отфильтровывают с целью получения влажной лепешки.

[117]

Для реализации второго варианта способа получения катализатора навеску (10 г на сухое) лепешки редкоземельно-кальциевого цеолита заливают 20 мл раствора хлороплатината аммония (концентрация 0,25 г/л по Pt), соляной кислоты, содержащей 0,005 г Cl и униполярной водой до полного покрытия массы.

[118]

Нанесение активных металлов на редкоземельный кальциевый цеолит осуществляют в две стадии: на первой стадии проводят холодную пропитку при перемешивании 1 час при температуре 25°С. После проведения холодной пропитки на второй стадии пропиточный раствор нагревают до температуры 75°С и проводят пропитку редкоземельного кальциевого цеолита еще 1 час. Во второй стадии в пропиточный раствор через 0,75 часа добавляют 0,005 г щавелевой кислоты в виде водного раствора с концентрацией 50 г/дм3 и 0,025 г перекиси водорода в виде 30% водного раствора и обработку продолжают 0,25 часа при перемешивании.

[119]

Затем массу отфильтровывают, промывают, сушат, таблетируют и прокаливают.

[120]

Катализатор имеет следующий химический состав, % мас.: Na2O - 0,8; La2O3 - 15,5; CaO - 2,4; PtO - 0,06; Cl - 0,05; Al2O3+SiO2 - остальное (SiO2/Al2O3=2,8). Катализатор испытывают в условиях примера 1.

[121]

Выход алкилбензина на олефины, стабильную активность и селективность процесса рассчитывают, как показано в примере 1. Результаты испытания приведены в таблице 2.

[122]

Пример 5.

[123]

Редкоземельный кальциевый цеолит получают по примеру 4, только навеску (10 г на сухое) лепешки редкоземельно-кальциевого цеолита смешивают со связующим - гидроксидом алюминия бемитной структуры и раствором азотной кислоты, при рН в пределах, равных 2-4, полученную смесь упаривают, формуют методом экструзии, экструдаты провяливают, сушат и прокаливают. Затем полученный таким образом редкоземельный кальциевый цеолит обрабатывают униполярной водой, пропитывают смесью раствора нитрата аммония, тетрааммиаката платины и хлорида родия (с концентрацией 2,4 г/л по Pt и 0,10 г/л по Rh).

[124]

Нанесение активных металлов на редкоземельный кальциевый цеолит осуществляют в две стадии: на первой стадии проводят холодную пропитку при перемешивании 1 час при температуре 25°С. После проведения холодной пропитки на второй стадии пропиточный раствор нагревают до температуры 75°С и проводят пропитку редкоземельного кальциевого цеолита еще 1 час. Во второй стадии в пропиточный раствор через 0,75 часа добавляют 0,003 г щавелевой кислоты в виде водного раствора с концентрацией 50 г/дм3 и 0,025 г перекиси водорода в виде 30% водного раствора и обработку продолжают 0,25 часа при перемешивании.

[125]

Экструдаты провяливают, сушат и прокаливают.

[126]

Катализатор имеет следующий химический состав, % мас.:

[127]

Na2O - 0,6; La2O3 - 15,1; CaO - 2,0; PtO - 0,55; RhO - 0,02; Al2O3+SiO2 - остальное (SiO2/Al2O3=2,8).

[128]

Катализатор испытывают в реакции жидкофазного алкилирования в условиях примера 2.

[129]

Результаты испытаний приведены в таблице 2.

[130]

Пример 6.

[131]

40 г порошкообразного цеолита типа У с молярным отношением SiO2/Al2O3, равным 5, загружают в автоклав и заливают раствором хлорида кальция (концентрация 60 г/л, количество 3320 мл). Автоклав подогревают до 160°С и выдерживают 3 ч. По окончании обработки автоклав охлаждают, сливают отработанный раствор, заливают раствор промышленной смеси нитратов редкоземельных элементов (концентрация 30 г/л, количество 190 мл) и вновь подогревают до 160°С, выдерживают 3 часа и охлаждают.

[132]

После охлаждения и отделения маточного раствора цеолит промывают обессоленной водой (конденсатом) и отфильтровывают с целью получения влажной лепешки. Далее, как описано в примере 4, в две стадии наносят активные металлы, путем обработки раствором соляной, рениевой и платинохлористоводородной кислот с концентрацией 7,2 г/л по платине, 0,26 г/л по Re и содержащим 0,32 г Cl в виде соляной кислоты.

[133]

Затем полученный редкоземельный кальциевый цеолит с активными металлами смешивают со связующим - гидроксидом алюминия бемитной структуры и раствором азотной кислоты, при рН в пределах, равных 2-4, полученную смесь упаривают, формуют методом экструзии, экструдаты провяливают, сушат и прокаливают.

[134]

Катализатор имеет следующий химический состав, % мас.:

[135]

Na2O - 0,5; La2O3 - 14,8; CaO - 1,2; PtO - 1,5; Re2O7 - 0,06; Cl - 0,8; Al2O3+SiO2 - остальное (SiO2/Al2O3=5,0).

[136]

Катализатор испытывают в реакции жидкофазного алкилирования в условиях примера 1.

[137]

Результаты приведены в таблице 2.

[138]

Пример 7.

[139]

Катализатор готовят по примеру 1, но с удвоенным числом обработок раствором хлорида кальция и на обработку берут 140 мл смеси нитратов редкоземельных элементов и аммония. Далее навеску полученного редкоземельно-кальциевого цеолита обрабатывают в две стадии, как описано в примере 4, раствором нитрата аммония, хлорида рения и соляной кислоты (с концентрацией 7,37 г/л по Re и 0,12 г Cl в виде соляной кислоты). Катализатор имеет следующий химический состав, % мас.:

[140]

Na2O - 0,6; La2O3 - 12,1; CaO - 3,0; Re2O7 - 1,7; Cl - 0,3; Al2O3+SiO2 - остальное (SiO2/Al2O3=4,0).

[141]

Катализатор испытывают в реакции жидкофазного алкилирования изобутана пропиленом с концентрацией 99,5% мас. по основному веществу, при соотношении изо-С43"=8:1, температуре 20°С и длительности работы катализатора 3 ч.

[142]

Выход продукта реакции - алкилата рассчитывают по представленным ниже уравнениям реакции:

[143]

[144]

Пропилен + Изобутан → 2,3-Диметилпентан

[145]

(84 ОЧИ)

[146]

Расчет выхода продуктов реакции и селективности процесса, как показано в примере 1.

[147]

Результаты приведены в таблице 2.

[148]

Пример 8.

[149]

Деалюминирование натриевой формы цеолита типа У с молярным отношением SiO2/Al2O3, равным 5,1, проводят путем обработки смесью растворов соляной кислоты и трилона Б при 95°С до молярного отношения SiO2/Al2O3=7,0. Затем редкоземельно-кальциевую форму катализатора готовят по примеру 1, только обработку смесью нитратов редкоземельных элементов и аммония ведут в течение 3 ч при 140°С. Дальнейшую обработку полученной навески ведут по примеру 4 в две стадии смесью растворов нитрата аммония, фтористоводородной кислоты и тетрааммиаката платины (с концентрацией 0,076 г/л по Pt и 0,002 г F в виде фтористоводородной кислоты).

[150]

Катализатор имеет следующий химический состав, % мас.:

[151]

Na2O - 0,5; La2O3 - 15,4; CaO - 0,8; PtO - 0,015; F - 0,005; Al2O3+SiO2 - остальное (SiO2/Al2O3=7,0).

[152]

Катализатор испытывают в реакции жидкофазного алкилирования в условиях примера 1.

[153]

Результаты приведены в таблице 2.

[154]

Пример 9.

[155]

Катализатор готовят по примеру 1, только обработку смесью нитратов редкоземельных элементов и аммония ведут в течение 3 ч при 150°С, а полученный редкоземельно-кальциевый цеолит обрабатывают по примеру 4 в две стадии смесью растворов нитрата аммония, фтористоводородной кислоты, хлорида родия и перрената аммония (с концентрацией г/л по 5,2 Re, 0,05 г/л по Rh и 0,2 г F в виде фтористоводородной кислоты).

[156]

Катализатор имеет следующий химический состав, % мас.:

[157]

Na2O - 0.5; La2O3 - 16,0; CaO - 0,4; Re2O7 - 1,2; RhO - 0,01; F - 0,5; Al2O3+SiO2 - остальное (SiO2/Al2O3=4).

[158]

Катализатор испытывают в реакции жидкофазного алкилирования в условиях примера 1.

[159]

Результаты приведены в таблице 2.

[160]

Пример 10.

[161]

Катализатор готовят по примеру 7, только обработку раствором хлорида кальция проводят при 200°С, а полученный редкоземельно-кальциевый цеолит обрабатывают по примеру 4 в две стадии смесью растворов нитрата аммония, фтористоводородной кислоты, тетрааммиаката палладия, тетрааммиаката платины, хлорида родия, перрената аммония (с концентрацией 0,05 г/л по палладию, 0,05 г/л по платине, 0,43 г/л по Re, 0,44 г/л по Rh и 0,04 г F в виде фтористоводородной кислоты) и униполярной водой.

[162]

Катализатор имеет следующий химический состав, % мас.:

[163]

Na2O - 0,7; La2O3 - 10,1; СаО - 6,0; PtO - 0,01; PdO - 0,01; Re2O7 - 0,1; RhO - 0,1; F - 0,1; Al2O3+SiO2 - остальное (SiO2/Al2O3=2,8).

[164]

Катализатор испытывают в реакции жидкофазного алкилирования в условиях примера 1.

[165]

Результаты приведены в таблице 2.

[166]

Таким образом, предлагаемое техническое решение позволяет увеличить активность по конверсии олефинов, практически до 100% мас., выход продукта (алкилбензина) на 10÷15% мас., селективность процесса алкилирования изобутана олефинами С2÷С4 по целевому продукту - изооктанам (изо - C8) до 75,9% мас., а степень снижения стабильной активности работы катализатора за 7 часов от подачи сырья составляет максимум 3% (по сравнению с 7÷25% в прототипе).

[167]

Таблица 2
Результаты испытаний катализаторов в реакции жидкофазного алкилирования
ПоказателиПримеры
12345678910
Na2O0,50,260,480,80,60,50,60,50,50,7
РЗЭ20,017,418,115,515,114,812,115,416,010,1
СаО1,40,81,42,42,01,23,00,80,46,0
PtO---0,060,551,5-0,015-0,01
PdO0,010,111,2------0,01
Re2O7--0,01--0,061,7-1,20,1
RhO1,50,05--0,02---0,010,1
Хлор-0,1-0,05-0,80,3---
Фтор--0,05----0,0050,50,1
Количество часов работы катализатора N7777773777
Конверсия олефинов, % мас. Xn (ОЛ)9510010095100100100100100100
Выход алкилбензина за 1-й час, η1 (АБ)190204204185204204197200203204
Выход алкилбензина за n-й час, ηn (АБ)186200200180200200195198200201
Степень снижения стабильности, An222322111,51,5
Селективность, % мас., δ (АБ)70,574,571,269,875,969,466,768,565,673,2

Как компенсировать расходы
на инновационную разработку
Похожие патенты