патент
№ RU 2597935
МПК G01N23/20

СПОСОБ ОПРЕДЕЛЕНИЯ СОСТАВА ТВЕРДОГО РАСТВОРА

Авторы:
Дзидзигури Элла Леонтьевна Земцов Лев Михайлович Ефимов Михаил Николаевич
Все (6)
Номер заявки
2015123269/28
Дата подачи заявки
17.06.2015
Опубликовано
20.09.2016
Страна
RU
Как управлять
интеллектуальной собственностью
Чертежи 
12
Реферат

Использование: для оценки состава двухкомпонентных твердых растворов в нанодисперсных материалах, включающих, в частности, наноразмерные частицы: Pt-Ru, Pt-Rh, Fe-Co, Pd-Ru, Pd-Rh, Pd-H, Hf-O. Сущность изобретения заключается в том, что предложенный способ определения состава двухкомпонентного твердого раствора включает определение рентгеноструктурным анализом периода решетки твердого раствора и периода решетки чистого растворителя с последующим определением содержания растворенного элемента по его зависимости от периода решетки. Для определения состава твердого раствора в нанодисперсном материале предварительно получают чистый растворитель в наносостоянии способом, которым был получен указанный твердый раствор. Зависимость содержания растворенного элемента в нанодисперсном материале от периода решетки устанавливают путем расчета изменения периодов решеток х по формуле: а-а,=х, где а- период решетки растворителя в крупнокристаллическом состоянии, а- период решетки растворителя в наносостоянии, и корректировки зависимости содержания растворенного элемента от периода решетки, установленной для крупнокристаллических материалов, на величину х. Для определения содержания растворенного элемента по установленной зависимости используют разницу периодов решетки твердого раствора и чистого растворителя Δа, которую определяют по формуле: Δa=а-а, где а- период решетки твердого раствора в нанодисперсном материале. Технический результат: обеспечение возможности оценки состава твердых растворов в нанодисперсных материалах. 12 ил., 1 табл., 7 пр.

Формула изобретения

Способ определения состава двухкомпонентного твердого раствора, включающий определение рентгеноструктурным анализом периода решетки твердого раствора и периода решетки чистого растворителя с последующим определением содержания растворенного элемента по его зависимости от периода решетки, отличающийся тем, что для определения состава твердого раствора в нанодисперсном материале предварительно получают чистый растворитель в наносостоянии способом, которым был получен указанный твердый раствор, зависимость содержания растворенного элемента в нанодисперсном материале от периода решетки устанавливают путем расчета изменения периодов решеток x по формуле:
a0-aраст=x,
где a0 - период решетки растворителя в крупнокристаллическом состоянии,
aраст - период решетки растворителя в наносостоянии,
и корректировки зависимости содержания растворенного элемента от периода решетки, установленной для крупнокристаллических материалов, на величину x, а для определения содержания растворенного элемента по установленной зависимости используют разницу периодов решетки твердого раствора и чистого растворителя Δa, которую определяют по формуле:
Δa=aраст-aтр,
где aтр - период решетки твердого раствора в нанодисперсном материале.

Описание

[1]

Изобретение относится к методам анализа состава и может быть использовано для оценки состава твердых растворов в нанодисперсных материалах, включающих, в частности, наноразмерные частицы: Pt-Rh, Pd-Ru, Pd-Rh, Fe-Co, Pd-H, Hf-O и других.

[2]

Известен способ определения состава твердых растворов [1], согласно которому состав и количество растворенного элемента в равновесной двухкомпонентной смеси, в частности, твердом растворе, определяют путем перетирания и нагревания исходной смеси, снятия кривых методом дифференциально-термического анализа и последующей оценки величины тепловых эффектов реакций, протекающих при проведении дифференциально-термического анализа с образованием определяемой фазы.

[3]

Однако данный способ непригоден для анализа нанодисперсных материалов.

[4]

Образование твердых растворов в нанодисперсных материалах часто проходит более интенсивно, чем в крупнокристаллическом состоянии. При этом в нанодисперсных материалах часто наблюдается сильное расширение областей взаимной растворимости компонентов друг в друге по сравнению с равновесными диаграммами состояний.

[5]

Изучение растворимости возможно с помощью прецизионного измерения периодов решеток. Дифракционные методы и, в частности, рентгеноструктурный анализ, оказываются единственными методами, позволяющими определять и изучать образование твердых растворов в столь малых объектах.

[6]

Наиболее близким к предложенному является способ определения состава твердого раствора, включающий определение рентгеноструктурным анализом периода решетки твердого раствора и определение содержания растворенного элемента по измеренным периодам решеток с применением справочных данных [2]. Однако для нанодисперсных материалов табличные величины крупнокристаллического состояния не применимы, так как на величину периода решетки оказывает влияние размерный фактор.

[7]

Большое количество экспериментальных данных показывает, что при переходе в наносостояние происходит уменьшение периода решетки материала по сравнению с бесконечным кристаллом [3-11]. Это делает известный метод непригодным для анализа состава нанодисперсных материалов.

[8]

Задача изобретения - разработка способа определения состава твердых растворов в нанодисперсных материалах.

[9]

Поставленная задача решается тем, что в способе определения состава двухкомпонентного твердого раствора, включающем определение рентгеноструктурным анализом периода решетки твердого раствора и периода решетки чистого растворителя с последующим определением содержания растворенного элемента по его зависимости от периода решетки, отличающийся тем, что для определения состава твердого раствора в нанодисперсном материале предварительно получают чистый растворитель в наносостоянии способом, которым был получен указанный твердый раствор, зависимость содержания растворенного элемента в нанодисперсном материале от периода решетки устанавливают путем расчета изменения периодов решеток x по формуле:

[10]

a0-aраст,=х

[11]

где а0 - период решетки растворителя в крупнокристаллическом состоянии,

[12]

араст - период решетки растворителя в наносостоянии,

[13]

и корректировки зависимости содержания растворенного элемента от периода решетки, установленной для крупнокристаллических материалов, на величину х, а для определения содержания растворенного элемента по установленной зависимости используют разницу периодов решетки твердого раствора и чистого растворителя Δа, которую определяют по формуле:

[14]

Δа-арасттр,

[15]

где атр - период решетки твердого раствора в нанодисперсном материале.

[16]

Важно получить чистый растворитель в наносостоянии тем же методом, что и предполагаемый твердый раствор, потому что один и тот же материал, полученный разными методами, может иметь различные структурные характеристики.

[17]

Предложенный способ не относится к точным, но позволяет подтвердить наличие твердого раствора в нанодисперных материалах и оценить его состав.

[18]

Пример 1. Определение состава твердого раствора Pt-Ru.

[19]

Образцы твердых растворов Pt-Ru синтезируют путем ИК-пиролиза прекурсора, представляющего собой суспензию наноалмазов (НА) в совместном растворе солей PtCl4 и RuCl3 в ДМФА. Соотношение Pt: Ru в прекурсоре 9:1. НА используют для предотвращения агрегирования биметаллических наночастиц. НА получены из типовой шихты детонационного синтеза в газовой среде. Температура пиролиза 700°С.

[20]

Образцы растворителя - Pt синтезируют тем же методом, что и образцы твердого раствора - путем ИК-пиролиза прекурсора, представляющего собой суспензию НА в растворе соли PtCl4 в ДМФА. Температура пиролиза 700°С.

[21]

Методом просвечивающей электронной микроскопии определяют, что средний арифметический диаметр наночастиц Pt-Ru составляет 6-8 нм.

[22]

С помощью рентгеновского дифрактометра проводят рентгеноструктурный анализ нанодисперсных материалов состава HA/Pt-Ru и HA/Pt, полученных в одинаковых условиях.

[23]

На рентгенограммах образцов идентифицируются фазы Pt и НА. На большеугловой линии (222) Pt (Фиг. 1) определяется наплыв со стороны больших углов, что свидетельствует об образовании твердого раствора Pt-Ru. На Фиг. 1 штрих-диаграммы: 1 - Pt, 2 - интерметаллид Pt13Ru27.

[24]

Твердый раствор Pt-Ru образуется по типу замещения и до 62% Ru кристаллизуется в гранецентрированную кристаллическую (ГЦК) решетку. В литературе отсутствуют данные по изменению периода решетки Pt в наносостоянии при растворении в ней Ru. Для количественной оценки состава образующегося твердого раствора строят градуировочный график для крупнокристаллического состояния следующим образом. Исходя из справочных данных, строят график зависимости периода решетки системы Pt-Ru от содержания Ru (Фиг. 2 (1)). На Фиг. 2: 1 - крупнокристаллический материал, 2 - нанодисперсный материал.

[25]

За крайние точки берут значения периодов решеток чистой Pt (a0=0,3923 нм) и интерметаллида Pt13Ru27 аu=0,3837 нм [12].

[26]

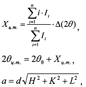
Из рентгеноструктурных данных рассчитывают периоды решеток Pt и твердого раствора по формулам:

[27]

[28]

где:

[29]

Хц.т. - координата центра тяжести пика;

[30]

I - интенсивность пика в точке i;

[31]

n - количество разбиений;

[32]

Δ(2θ) - цена деления по оси 2θ, мм;

[33]

Н, К, L - индексы плоскости отражения;

[34]

d - межплоскостное расстояние.

[35]

Получают значения периодов решеток твердого раствора Pt-Ru атр=0,3886 нм и растворителя - Pt араст=0,3903 нм в наносостоянии, которые оказались ниже величины периода решетки крупнокристаллического образца Pt (0,3923 нм [12]). Рассчитывают значение Δа=арасттр=0,3903-0,3886 нм=0,0017 нм.

[36]

Период решетки растворителя в наносостоянии является исходной точкой для зависимости периода решетки наноразмерного твердого раствора Pt-Ru от содержания растворенного Ru. Дальнейший ход графика аналогичен зависимости периода решетки твердого раствора в крупнокристаллическом состоянии от содержания Ru со смещением по оси ординат на величину x=a0-aраст=0,3923-0,3903=0,0020 нм, соответствующую разнице периодов решетки Pt в крупнокристаллическом и наносостояниях (Фиг. 2 (2)).

[37]

Количество Ru в наноразмерном твердом растворе определяют по зависимости периода решетки твердого раствора Pt-Ru от содержания в нем Ru, показанной на Фиг. 2 (2).

[38]

Содержание растворенного элемента Ru в синтезированном в описанных выше условиях твердом растворе Pt-Ru составляет 13,4 атомных долей, % (точка А на Фиг. 2). Точка А соответствует Δа=0,0017 нм.

[39]

Состав твердого раствора Pt-Ru приведен в таблице.

[40]

Пример 2. Определение состава твердого раствора Pt-Rh.

[41]

Образцы твердых растворов Pt-Rh синтезируют аналогично описанному в примере 1 путем ИК-пиролиза прекурсора, представляющего собой суспензию наноалмазов в совместном растворе солей PtCl4 и RhCl3 в ДМФА. Соотношение Pt:Rh в прекурсоре 9:1. Температура пиролиза 700°С.

[42]

Образцы растворителя - Pt синтезируют тем же методом, что и образцы твердого раствора - путем ИК-пиролиза прекурсора, представляющего собой суспензию наноалмазов в растворе соли PtCl4 в ДМФА. Температура пиролиза 700°С.

[43]

Методом просвечивающей электронной микроскопии определяют, что средний арифметический диаметр наночастиц Pt-Rh составляет 5-7 нм.

[44]

С помощью рентгеновского дифрактометра проводят рентгеноструктурный анализ нанодисперсных материалов состава HA/Pt-Rh и HA/Pt, полученных в одинаковых условиях.

[45]

На рентгенограммах образцов идентифицируются фазы Pt и НА. Большеугловой максимум (222) Pt (Фиг. 3) сильно смещен относительно табличного значения. Пик интенсивности интерметаллида PtRh также не совпадает с табличным значением, что свидетельствует об образовании твердого раствора иного количественного состава. На Фиг 3:1 - Pt, 2 - интерметаллид PtRh.

[46]

Твердый раствор Pt-Rh образуется по типу замещения и кристаллизуется в ГЦК кристаллическую решетку. В литературе отсутствуют данные по изменению периода решетки Pt в наносостоянии при растворении в ней Rh. Для количественной оценки состава образующегося твердого раствора градуировочный график для крупнокристаллического состояния строят аналогично примеру 1. За крайние точки берут значения периодов решеток чистой Pt a0=0,3923 нм и интерметаллида PtRh аu=0,3864 нм [12] (Фиг. 4 (1)). На Фиг. 4: 1 - крупнокристаллический материал, 2 - нанодисперсный материал.

[47]

Исходной точкой для наносостояния берут значение периода решетки наноразмерной Pt ahfcn=0,3903 нм, рассчитанное в соответствии с примером 1. Дальнейший ход графика аналогичен крупнокристаллическому состоянию со смещением по оси ординат на величину x=a0раст=0,3923-0,3903=0,0020 нм, соответствующую разнице периодов решетки Pt в крупнокристаллическом и наносостояниях (Фиг. 4 (2)).

[48]

Рассчитанное в соответствии с примером 1 значение периода решетки синтезированного твердого раствора Pt-Rh aтр=0,3892 нм. Величина Δа=арасттр=0,3903-0,3892=0,0011 нм.

[49]

Содержание растворенного элемента Rh в твердом растворе Pt-Rh составляет 9,3 атомных долей, % (точка А на Фиг. 4). Точка А соответствует Δа=0,0011 нм.

[50]

Состав твердого раствора Pt-Rh приведен в таблице.

[51]

Пример 3. Определение состава твердого раствора Pd-Ru.

[52]

Образцы твердых растворов Pd-Ru синтезируют аналогично описанному в примере 1 путем ИК-пиролиза прекурсора, представляющего собой суспензию наноалмазов в совместном растворе солей PdCl2 и RuCl3 в ДМФА. Соотношение металлов в прекурсоре Pd:Ru=9:1 и 7:3. Температура пиролиза 700°С. В качестве растворителя используют Pd.

[53]

Образцы растворителя - Pd синтезируют тем же методом, что и образцы твердого раствора - путем ИК-пиролиза прекурсора, представляющего собой суспензию наноалмазов в растворе соли PdCl2 в ДМФА. Температура пиролиза 700°С.

[54]

Методом просвечивающей электронной микроскопии определяют, что средний размер наночастиц Pd-Ru составляет 18-20 нм.

[55]

С помощью рентгеновского дифрактометра проводят рентгеноструктурный анализ нанодисперсных материалов состава HA/Pd-Ru и HA/Pd, полученных в одинаковых условиях.

[56]

На рентгенограммах образцов HA/Pd-Ru идентифицируются фазы Pd и НА. На Фиг. 5 штрих-диаграммы: 1 - Pd, 2 - Pd9Ru. Пик интенсивности (222) Pd (Фиг. 5) смещен в сторону больших углов относительно табличного значения (Фиг. 5, штрих-диаграмма 1). Максимум отражения образца HA/Pd-Ru примерно соответствует штрих-диаграмме фазы Pd9Ru (Фиг. 5, штрих-диаграмма 2), что позволяет сделать вывод об образовании твердого раствора Ru в Pd схожей концентрации.

[57]

Твердые растворы Pd-Ru формируются по типу замещения и образуют ГЦК кристаллическую решетку. В литературе отсутствуют данные по изменению периода решетки наноразмерного Pd при растворении в нем Ru. Поэтому для количественной оценки состава образующегося твердого раствора график для крупнокристаллического состояния строят аналогично описанному в примере 1. За крайние точки берут значения периодов решеток чистого Pd а0=0,3889 нм [12] и интерметаллида Pd9Ru аи=0,3874 нм [12] (Фиг. 6 (1)). Рассчитанный, как описано в примере 1, период решетки Pd в наносостоянии равен араст=0,3881 нм, что явилось исходной точкой для зависимости периода решетки наноразмерного твердого раствора Pd-Ru от содержания Ru. Дальнейший ход графика аналогичен крупнокристаллическому состоянию со смещением по оси ординат на величину х=а0раст=0,3889-0,3881=0,0008 нм (Фиг. 6 (2)), соответствующую разнице периодов решетки Pd в крупнокристаллическом и наносостояниях (Фиг. 6 (2)). На Фиг. 6:1 - крупнокристаллический материал, 2 - нанодисперсный материал.

[58]

Рассчитанное в соответствии с примером 1 значение периода решетки твердого раствора Pd-Ru, полученного при соотношении в прекурсоре Pd:Ru=9:1, aтр=0,3872 нм. Величина Δа=арасттр=0,3881-0,3872 нм=0,0009 нм. Значение периода решетки твердого раствора Pd-Ru, полученного при соотношении в прекурсоре Pd:Ru=7:3, aтр=0,3875 нм. Величина Δа=арасттр=0,3881-0,3875 нм=0,0006 нм.

[59]

Содержание растворенного элемента Ru в твердом растворе Pd-Ru составляет для образцов с соотношением металлов в прекурсоре 9:1-6,4 атомных долей, % (точка А на Фиг. 6 (2)), для образца с соотношением металлов в прекурсоре 7:3-4,2 атомных долей, % (точка Б на Фиг. 6 (2)). Точка А соответствует Δа=0,0009 нм. Точка Б соответствует Δа=0,0006 нм.

[60]

Составы твердых растворов Pd-Ru приведены в таблице.

[61]

Пример 4. Определение состава твердого раствора Pd-Rh.

[62]

Образцы твердых растворов Pd-Rh синтезируют аналогично описанному в примере 1 путем ИК-пиролиза прекурсора, представляющего собой суспензию наноалмазов в совместном растворе солей PdCl2 и RhCl3 в ДМФА. Соотношение металлов в прекурсоре Pd:Rh=9:1. Температура пиролиза 700°С.

[63]

Образцы растворителя - Pd синтезируют тем же методом, что и образцы твердого раствора путем ИК-пиролиза прекурсора, представляющего собой суспензию наноалмазов в растворе соли PdCl2 в ДМФА. Температура пиролиза 700°С.

[64]

Методом просвечивающей электронной микроскопии определяют, что средний размер наночастиц Pd-Rh составляет 5-8 нм.

[65]

С помощью рентгеновского дифрактометра проводят рентгеноструктурный анализ нанодисперсных материалов состава HA/Pd-Rh и HA/Pd, полученных в одинаковых условиях.

[66]

Максимум интенсивности образца HA/Pd-Rh (Фиг. 7) находится между табличными значениями фаз чистых Pd и PdRh (Фиг. 7, штрих-диаграмма 1 и 2, соответственно), что свидетельствует об образовании твердого раствора иного количественного состава.

[67]

Твердые растворы Pd-Ru и формируются по типу замещения и образуют ГЦК кристаллическую решетку. В литературе отсутствуют данные по изменению периода решетки наноразмерного Pd при растворении в нем Rh. Для количественной оценки состава образующегося твердого раствора график для крупнокристаллического состояния строят аналогично твердому раствору Pd-Ru, описанному в примере 3. За крайние точки берут значения периодов решеток чистого Pd а0=0,3889 нм и интерметаллида PdRh аu=0,3850 нм [12] (Фиг. 8 (1)). Исходной точкой для наносостояния берут значение периода решетки наноразмерного Pd араст=0,3881 нм. Дальнейший ход графика аналогичен крупнокристаллическому состоянию со смещением по оси ординат на величину x=а0раст=0,3889-0,3881=0,0008 нм (Фиг. 8 (2)), соответствующую разнице периодов решетки Pd в крупнокристаллическом и наносостояниях. На Фиг. 8:1 - крупнокристаллический материал, 2 - нанодисперсный материал.

[68]

Рассчитанное в соответствии с примером 3 значение периода решетки синтезированного твердого раствора атр=0,3875. Величина Δа=арасттр=0,3881-0,3875 нм=0,0006 нм.

[69]

Содержание растворенного элемента Rh в твердом растворе Pd-Rh составляет 7,5 атомных долей, % (точка А на Фиг. 8 (2)). Точка А соответствует Δа=0,0006 нм.

[70]

Состав твердого раствора Pd-Rh приведен в таблице.

[71]

Пример 5. Определение состава твердого раствора Fe-Co.

[72]

Твердые растворы Fe-Co синтезируют методом ИК-пиролиза прекурсоров, представляющих совместный раствор в ДМФА полиакрилонитрила (ПАН) и ацетилацетонатов железа (Fe(C5H7O2)3 и кобальта Со(C5H7O2)2) при температуре 600°С. Соотношение компонентов в прекурсоре Fe:Со составляет 1:1.

[73]

Образцы растворителя - Fe синтезируют тем же методом, что и образцы твердого раствора - путем ИК-пиролиза прекурсора, представляющего собой совместный раствор в ДМФА ПАН и ацетилацетоната железа (Fe(C5Н7О2)3 при температуре 600°С.

[74]

Методом просвечивающей электронной микроскопии определяют, что средний размер наночастиц Fe-Co составляет 9-11 нм.

[75]

С помощью рентгеновского дифрактометра проводят рентгеноструктурный анализ нанодисперсных материалов состава ИК-ΠΑΗ/Fe-Co и ИК-ПАН/Fe, полученных в одинаковых условиях.

[76]

Твердый раствор Fe-Co образуется по типу замещения и до 80% Со кристаллизуется в объемно-центрированную кристаллическую (ОЦК) решетку. Для количественной оценки состава образующегося твердого раствора по справочным данным строят график для крупнокристаллического состояния, представленный на Фиг. 9 (1) [12, 13]. На Фиг. 9: 1 - крупнокристаллический материал, 2 - нанодисперсный материал.

[77]

Рассчитанная в соответствии с примером 1 величина периода решетки растворителя в наносостоянии араст=0,2852 нм. Величина араст является исходной точкой для зависимости периода решетки наноразмерного твердого раствора Fe-Co от содержания в нем Со (Фиг. 9 (2)). Дальнейший ход кривой определяют путем уменьшения справочных данных на величину

[78]

x=а0раст=0,2866-0,2852=0,0014 нм, соответствующую разнице периодов решетки Fe в крупнокристаллическом и наносостояниях.

[79]

Затем графическим методом определяют количество Со в твердом растворе Fe-Co.

[80]

Рассчитанное в соответствии с примером 1 значение периода решетки синтезированного твердого раствора Fe-Co атр=0,2845 нм. Величина Δа=арасттр=0,2852-0,2845=0,0007 нм.

[81]

Содержание растворенного элемента Со в твердом растворе Fe-Co составляет 42 атомных долей, % (точка А на Фиг. 9 (2)). Точка А соответствует Δа=0,0007 нм.

[82]

Состав твердого раствора Fe-Co приведен в таблице.

[83]

Пример 6. Определение состава твердого раствора водорода в палладии.

[84]

Образцы твердых растворов Pd-H синтезируют методом ИК-пиролиза прекурсора, представляющего собой совместный раствор в ДМФА полиакрилонитрила (ПАН) и хлорида палладия PdCl2, при температуре 800°С. В условиях ИК-пиролиза происходит деструкция ПАН с выделением водорода.

[85]

Образцы растворителя - Pd синтезируют в аналогичных условиях ИК-пиролиза прекурсора, представляющего собой суспензию НА в растворе соли PdCl2 в ДМФА. Температура пиролиза 800°С.

[86]

Методом просвечивающей электронной микроскопии определяют, что средний размер наночастиц Pd-H 10-14 нм.

[87]

С помощью рентгеновского дифрактометра проводят рентгеноструктурный анализ нанодисперсного материала состава ИК-ΠΑΗ/Pd-H и HA/Pd.

[88]

Рентгеноструктурный анализ показывает, что пики отражения Pd в нанодисперсном материале РЖ-ПАН/Pd-H имеют несколько максимумов (Фиг. 10 (2)), что связано с растворением Н2 в наночастицах Pd, как это имеет место при отжиге крупнокристаллического Pd в атмосфере Н2.

[89]

Твердые растворы Н2 в Pd образуются по типу внедрения и представляют собой ГЦК кристаллическую решетку. В литературе отсутствуют данные по изменению периода решетки Pd при растворении в нем Н2. Для количественной оценки состава образующегося твердого раствора Pd-H строят график изменения периода решетки крупнокристаллического Pd от количества растворенного Н2. За исходную точку в системе Pd-H берут значение периода решетки чистого Pd а0=0,3889 нм [12] (Фиг. 11 (1)). На Фиг. 11:1 - крупнокристаллический материал 2 - нанодисперсный материал.

[90]

Дальнейший ход зависимости определяют по значениям периодов решеток гидридов палладия различного состава: PdH0,6 (37,5% Н2), PdH0,7 (42,8% Н2) и PdH (50% Н2) [12].

[91]

Пики отражения от растворителя - Pd в наносостоянии не имели расщепления. Период решетки Pd в наносостоянии, определенный в соответствии с примером 3, равен араст=0,3881 нм, что явилось исходной точкой для зависимости периода решетки наноразмерного твердого раствора от содержания растворенного водорода. Дальнейший ход графика аналогичен крупнокристаллическому состоянию со смещением по оси ординат на величину х=а0раст=0,3889-0,3881=0,0008 нм, соответствующую разнице периодов решетки Pd в крупнокристаллическом и наносостояниях (Фиг. 11 (2)).

[92]

Рассчитанное в соответствии с примером 1 значение периода решетки синтезированного твердого раствора Pd-H атр=0,3924 нм. Величина Δа=арасттр=0,3881-0,3924=-0,0043 нм.

[93]

Содержание растворенного элемента - водорода в твердом растворе Pd-H составляет 11,2 атомных долей, % (точка А на Фиг. 11). Точка А соответствует Δа=-0,0043 нм.

[94]

Пример 7. Определение состава твердого раствора кислорода в гафнии.

[95]

Образцы нанодисперсного твердого раствора Hf-O получают методом магниетермического восстановления в атмосфере воздуха при Т=700°С [14]. По данным рентгенофазового анализа синтезированные образцы состоят только из фазы металлического Hf. Оксидная фаза отсутствует.

[96]

Образцы растворителя - Hf получают в тех же условиях методом магниетермического восстановления в инертной атмосфере при Т=700°С.

[97]

Методом просвечивающей электронной микроскопии определяют, что образцы состоят из частиц двух фракций: мелкой с размером 10-20 нм и крупной с размером около 100 нм.

[98]

Анализ на содержание кислорода в нанопорошке Hf, проведенный в режиме фракционного газового анализа на газоанализаторе ТС-600 фирмы Leco, показывает следующие результаты: общий кислород 4,466, поверхностный 0,002, объемный 4,464 массовых долей, %.

[99]

Доля поверхностного кислорода в нанопорошках гафния, полученных в атмосфере воздуха, весьма незначительна. Поскольку, согласно данным рентгенофазового анализа, доля кислорода в оксиде очень мала, основное его количество должно находиться в составе твердого раствора.

[100]

Для количественной оценки состава образующегося твердого раствора строят график для крупнокристаллического состояния, исходя из табличных значений периода решетки а чистого гафния и фазы HfO0,27, которые равны 0,3195 нм и 0,3213 нм, соответственно (Фиг. 12 (1)). На Фиг. 12: 1 - крупнокристаллический материал, 2 - нанодисперсный материал.

[101]

Период решетки наноразмерного гафния равен араст=0,3175 нм, что является исходной точкой для зависимости периода решетки наноразмерного твердого раствора от содержания растворенного кислорода. Дальнейший ход графика аналогичен крупнокристаллическому состоянию со смещением по оси ординат на величину х=а0раст=0,3195-0,3175=0,0020 нм, соответствующую разнице периодов решетки Hf в крупнокристаллическом и наносостояниях (Фиг. 12 (2)).

[102]

Рассчитанное в соответствии с примером 1 значение периода решетки синтезированного твердого раствора Hf-O атр=0,3193 нм. Величина Δа=арасттр=0,3175-0,3193=-0,0018 нм.

[103]

Содержание растворенного элемента - кислорода в твердом растворе Hf-О составляет 27 атомных долей, % (точка А на Фиг. 12 (2)). Точка А соответствует Δа=-0,0018 нм.

[104]

Состав твердого раствора Hf-О приведен в таблице.

[105]

[106]

Источники информации

[107]

1. Патент РФ №2258216 C1, опубл. 10.08.2005, кл. МПК G01N 25/00.

[108]

2. Горелик С.С. Рентгенографический и электронно-оптический анализ, Москва: Металлургия, 1970, с. 83, 94-129.

[109]

3. Гамарник М.Я., Сидорин Ю.Ю. Изменение параметров элементарной ячейки в высокодисперсных порошках платины // Поверхность. Физика. Химия. Механика. - 1990. - №4. - С. 124-129.

[110]

4. Бурханов A.B., Непийко С.А., Петрунин В.Ф., Хофмайстер Х.Х. Изменение периода решетки в приповерхностной области малых частиц золота //Поверхность. Физика, химия, механика. - 1985. - №9. - С. 130-135.

[111]

5. Васильев М.А. Релаксация атомной структуры поверхности металлов // Металлофизика. - 1993. - 15. - №3. - С. 77-96.

[112]

6. Физикохимия ультрадисперсных систем. / Отв. ред. И.В. Тананаев. - М.: Наука, 1987.

[113]

7. Петров Ю.И. Кластеры и малые частицы. - М.: Наука, 1986.

[114]

8. Губин СП., Кокшаров Ю.А. Получение, строение и свойства магнитных материалов на основе кобальтосодержащих наночастиц // Неорганические материалы. 2002. - Т. 38. - №11.

[115]

9. Непийко С.А. Физические свойства малых металлических частиц. - Киев: Наук. Думка, 1985.

[116]

10. Petrunin V.F. Neutron diffraction investigation of specific features of the structure of ultrafine (nano) materials // Physics of the solid state. - 2014. - V. 56. - №1. - P. 170-175.

[117]

11. Гусев А.И., Ремпель A.A. Нанокристаллические материалы. - M.: Физматлит, 2000. - 234 с.

[118]

12. База данных по порошковым дифрактограммам неорганических и органических веществ - URL: http://www.icdd.com/

[119]

13. Барабаш O.M., Коваль Ю.Н. Структура и свойства металлов и сплавов. - Киев: Наукова думка, 1986. - 598 с.

[120]

14. Нехамкина Л.Г. Металлургия циркония и гафния. - М.: Металлургия, 1979.

Как компенсировать расходы
на инновационную разработку
Похожие патенты