патент
№ RU 2513706
МПК H01Q3/26

УСТРОЙСТВО ЗАЩИТЫ УЗКОПОЛОСНЫХ ПРИЕМНО-ПЕРЕДАЮЩИХ КАНАЛОВ РАДИОТЕХНИЧЕСКИХ СИСТЕМ

Авторы:
Кулик Михаил Геннадьевич
Номер заявки
2012135947/08
Дата подачи заявки
22.08.2012
Опубликовано
20.04.2014
Страна
RU
Как управлять
интеллектуальной собственностью
Чертежи 
2
Реферат

Изобретение относится к области радиотехники. Технический результат - повышение предела подавления помеховой импульсной мощности в узкополосных приемно-передающих каналах радиотехнических систем, работающих в диапазоне СВЧ, в условиях короткоимпульсных помеховых воздействий большой мощности при проведении испытаний на электромагнитную совместимость. Устройство защиты узкополосных приемно-передающих каналов радиотехнических систем, содержащее основную и дополнительную антенны, соединенные вычитающим элементом, содержит еще N≥1 пару из основной и дополнительной антенн и N≥1 вычитающий элемент, а также (N+1) узкополосных фильтров, которые образуют (N+1) взаимно ортогональных идентичных плеча устройства, состоящих каждое из одной пары основной и дополнительной антенн и последовательно включенных вычитающего элемента и узкополосного фильтра, при этом все антенны выполнены резонансными и идентичны друг другу, антенны попарно - основная и дополнительная - связаны с вычитающим элементом и фильтром, выполненными в виде объединенных отрезков экранированного волновода, в котором установлен режим бегущей волны, связь основной и дополнительной антенн с соответствующим волноводным вычитающим элементом в каждом плече осуществляется таким образом, чтобы синфазные сигналы с этих антенн возбуждали в волноводе противофазные поперечные пучности волноводного распределения электромагнитного поля. 3 ил.

Формула изобретения

Устройство защиты узкополосных приемно-передающих каналов радиотехнических систем, содержащее основную и дополнительную антенны, соединенные вычитающим элементом, отличающееся тем,что содержит еще N≥1 пару из основной и дополнительной антенн и N≥1 вычитающий элемент, а также (N+1) узкополосных фильтров, которые образуют (N+1) взаимно ортогональных идентичных плеча устройства, состоящих каждое из одной пары основной и дополнительной антенн и последовательно включенных вычитающего элемента и узкополосного фильтра, при этом все антенны выполнены резонансными и идентичны друг другу, антенны попарно - основная и дополнительная - связаны с вычитающим элементом и фильтром, выполненными в виде объединенных отрезков экранированного волновода, в котором установлен режим бегущей волны, связь основной и дополнительной антенн с соответствующим волноводным вычитающим элементом в каждом плече осуществляется таким образом, чтобы синфазные сигналы с этих антенн возбуждали в волноводе противофазные поперечные пучности волноводного распределения электромагнитного поля, причем директрисы диаграмм направленности основной и дополнительной антенн в каждом плече устройства нормальны к плоскостям боковых стенок волновода, на котором они расположены, а их максимумы ориентированы в противоположные стороны, длины волноводных фильтров в плечах устройства равны и составляют не менее одной волноводной длины волны на несущей частоте приемно-передающего канала, а место стыковки плеч устройства соответствует одноименным пучностям продольного распределения электромагнитного поля в соответствующих волноводах и является местом подключения приемо-передатчика, причем ортогонально стыкуемые плечи по отношению к плоскости, в которой лежит биссектриса прямого угла между ними, являются зеркальными отображениями друг друга.

Описание

[1]

Изобретение относится к области радиотехники и может быть использовано в узкополосных приемно-передающих устройствах для подавления мощных импульсных электромагнитных помех.

[2]

Проблема защиты радиоэлектронных средств особенно остро стоит при необходимости обеспечения функционирования приемно-передающих каналов на фоне помеховых электромагнитных воздействий несоизмеримо большей мощности по сравнению с уровнем полезных сигналов.

[3]

Как известно [1], одним из лучших методов защиты радиоэлектронных средств от мощных электромагнитных помех является обеспечение их автономности или так называемого режима общей изоляции, когда исключаются все внешние проводные связи радиотехнического устройства, кроме одной - по радиоканалу, поддерживающему его функционирование. Дальнейшая защита автономных радиоэлектронных средств строится по ступенчатому принципу: сначала организуется грубая защита, затем - более тонкая низкоуровневая. Способы повышения стойкости радиоэлектронных средств к воздействию мощных электромагнитных помех различаются по своему характеру и делятся на конструкционные, схемотехнические и структурно-функциональные. Применение этих способов для организации электромагнитной защиты зависит от мощности и временного поведения помех. Наибольшие трудности возникают при построении защиты от мощных импульсных (широкополосных) электромагнитных помех, что обусловливает комплексное применение перечисленных выше способов защиты в этом случае.

[4]

Известен радиоприемник с защитой входных цепей от мощных сигналов [2], в который с целью уменьшения количества ложных сигналов срабатывания от внеполосных помех введены датчики напряжения и тока во входной цепи, устройство перемножения сигналов с этих датчиков и система компараторов. При превышении уровня сигналов во входной цепи соответствующих компараторов на выходе исполнительного элемента защитного устройства появляется команда в виде управляющего напряжения, включающего аттенюатор преселектора радиоприемника.

[5]

Недостатком данного устройства является инерционность его защитных цепей, в результате чего короткоимпульсные помеховые сигналы пропускаются на вход преселектора.

[6]

Известно также устройство защиты приемных каналов радиотехнических систем[3], в котором недостаток предыдущего устройства устранен тем, что во входную цепь приемника дополнительно включена линия задержки, причем время задержки сигнала этой линией примерно равно времени переходного процесса в защитных цепях устройства. При таком схемном решении дополнительный управляемый аттенюатор, установленный между линией задержки и входом приемника, всегда успевает блокировать сигнал, превышающий опорный уровень. Устройство позволяет защитить входную цепь приемника от короткоимпульсных помеховых сигналов мощностью до 104 Вт, обеспечивая стабильность приема полезных сигналов на уровне 10-2 Вт.

[7]

Недостатком является то, что сигналы импульсной мощностью >104 Вт от высокоинтенсивных источников электромагнитных помех преодолевают эту защиту.

[8]

Наиболее близким по своей технической сущности к предлагаемому устройству является устройство защиты от радиопомех (прототип), реализующее способ защиты, предложенный в [4]. Данный способ защиты заключается в компенсации помех на выходе основной антенны путем вычитания из сигнала с основной антенны помех, полученных с выхода дополнительной антенны, причем дополнительную антенну выбирают с действующей высотой, меньшей, чем действующая высота основной антенны, а установление равенства уровней помех с выходов основной и дополнительной антенн осуществляют уменьшением расстояния между дополнительной антенной и источником помех. Устройство, выполненное по этому способу, позволяет компенсировать помеху на вычитающем элементе. Любой вычитающий элемент неидеален и его возможности компенсации входных воздействий ограничены. В частности, в частотном диапазоне до 1 МГц в техническом пределе электронная компенсация может достигать ~3·103 раз по току (или напряжению), при этом обеспечивая подавление помех по мощности до 107 раз. В результате такое устройство защиты дает возможность осуществить прием полезных сигналов на уровне 10-2 Вт на фоне помех с полосой до 1 МГц с импульсной мощностью до 105 Вт. Однако способность вычитающего элемента компенсировать синфазные помехи сильно зависит от спектра частот и уровня помех. С повышением частоты и уровня помехи это способность уменьшается, так что на частоте 100 МГц при уровне синфазных помеховых сигналов ~100 В компенсация помех составляет не более 102 раз. Таким образом, защитные свойства данного устройства заметно уменьшаются с повышением частоты помехи и для короткоимпульсных сигналов, максимум спектра которых лежит в частотном диапазоне >100 МГц, способность поддерживать стабильную работу радиоканала без риска выхода его из строя ограничивается импульсными мощностями (103-104) Вт.

[9]

В то же время, например, при проведении испытаний на электромагнитную совместимость проверка восприимчивости аппаратуры к короткоимпульсным электромагнитным излучениям большой мощности [5] сопровождается воздействием электрических полей напряженностью до ~105 В/м за время ~10-9с. При этом плотность потока мощности составляет до ~3·107 Вт/м2, и выносные элементы приемно-передающих каналов (в том числе и узкополосных) радиотехнической системы, осуществляющей контроль за проведением испытаний (например Wi-Fi), подвергаются помеховому высокоинтенсивному облучению в широкой полосе частот. Если за эффективную площадь линейной антенны адаптера Wi-Fi принять величину

[10]

,

[11]

где Са - емкость антенны;

[12]

lg - действующая длинна антенны;

[13]

ε0 - диэлектрическая проницаемость вакуума,

[14]

то в этом случае помеховая импульсная мощность, развиваемая во входных цепях адаптера Wi-Fi, может достигать 3·105 Вт, что при стандартной нагрузке 50 Ом обусловит появление опасного (пробивного) напряжения ~4·103 В. Во избежание выхода из строя аппаратуры приемно-передающих каналов воздействие на нее электромагнитных импульсов большой мощности должно быть гарантированно подавлено без заметного ослабления полезного сигнала. Кроме того, использование прототипа требует предварительного детального знания электромагнитной обстановки (т.е. места расположения источника помехи или в случае многократного переотражения (рассеяния) помехового сигнала проведения предварительной экспериментальной проверки возможности применения устройства), что неприемлемо при проведении квалификационных испытаний на восприимчивость технических средства в процессе оценки их электромагнитной совместимости.

[15]

Недостатком является низкий предел подавления помеховой импульсной мощности прототипом в узкополосных приемно-передающих каналах радиотехнических систем, работающих в диапазоне СВЧ, в условиях воздействия короткоимпульсных помех большой мощности, характерных для испытаний на электромагнитную совместимость.

[16]

Техническим результатом изобретения является повышение предела подавления помеховой импульсной мощности в узкополосных приемно-передающих каналах радиотехнических систем, работающих в диапазоне СВЧ, в условиях короткоимпульсных помеховых воздействий большой мощности при проведении испытаний на электромагнитную совместимость.

[17]

Технический результат достигается тем, что устройство защиты узкополосных приемно-передающих каналов радиотехнических систем, содержащее основную и дополнительную антенны, соединенные вычитающим элементом, содержит еще N≥1 пару из основной и дополнительной антенн и N≥1 вычитающий элемент, а также (N+1) узкополосных фильтров, которые образуют (N+1) взаимно ортогональных идентичных плеча устройства, состоящих каждое из одной пары основной и дополнительной антенн и последовательно включенных вычитающего элемента и узкополосного фильтра, при этом все антенны выполнены резонансными и идентичны друг другу, антенны попарно - основная и дополнительная - связаны с вычитающим элементом и фильтром, выполненными в виде объединенных отрезков экранированного волновода, в котором установлен режим бегущей волны, связь основной и дополнительной антенн с соответствующим волноводным вычитающим элементом в каждом плече осуществляется таким образом, чтобы синфазные сигналы с этих антенн возбуждали в волноводе противофазные поперечные пучности волноводного распределения электромагнитного поля, причем директрисы диаграмм направленности основной и дополнительной антенн в каждом плече устройства нормальны к плоскостям боковых стенок волновода, на котором они расположены, а их максимумы ориентированы в противоположные стороны, длины волноводных фильтров в плечах устройства равны и составляют не менее одной волноводной длины волны на несущей частоте приемно-передающего канала, а место стыковки плеч устройства соответствует одноименным пучностям продольного распределения электромагнитного поля в соответствующих волноводах и является местом подключения приемо-передатчика, причем ортогонально стыкуемые плечи по отношению к плоскости, в которой лежит биссектриса прямого угла между ними, являются зеркальными отображениями друг друга.

[18]

В результате благодаря применению идентичных резонансных антенн, вычитающих элементов и фильтров, объединенных на основе экранированных волноводов, снижен не менее чем на 50 дБ уровень синфазных помех на СВЧ-несущей приемно-передающих каналов радиотехнических систем, не менее чем на 100 дБ понижен уровень внеполосных помех со стороны низких частот и не менее чем на 35 дБ - со стороны высоких частот, кроме того, с помощью двух идентичных взаимно ортогональных плеч устройства обеспечена защита приемно-передающих каналов, работающих по детерминированному направлению на фоне многократно рассеянных помех, что в целом позволяет обеспечить работоспособность каналов радиотехнических систем в диапазоне СВЧ при проведении испытаний на электромагнитную совместимость технических средств ко всем известным мощным импульсным и гармоническим электромагнитным воздействиям.

[19]

На фиг.1 показано взаимное расположение основных и дополнительных антенн (например, щелевого типа) в волноводных (например, прямоугольного типа) плечах устройства.

[20]

На фиг.2 показано расположение основной и дополнительной антенн, волноводного вычитающего элемента и волноводного фильтра в каждом плече по отношению к волноводному распределению электрического и магнитного поля на примере волны Н10 в волноводе прямоугольного сечения.

[21]

На фиг.3 приведено схематическое изображение поглощающих нагрузок в плечах устройства и место съема результирующего сигнала на вход приемо-передатчика.

[22]

На чертежах приняты следующие обозначения:

[23]

1 - основные антенны;

[24]

2 - дополнительные антенны;

[25]

3 - волноводные вычитающие элементы;

[26]

4 - волноводные фильтры;

[27]

5 - поглощающие нагрузки.

[28]

Устройство защиты узкополосных приемно-передающих каналов радиотехнических систем содержит основные 1 и дополнительные 2 идентичные резонансные антенны, волноводные вычитающие элементы 3 и волноводные фильтры 4, образующие два идентичных взаимно ортогональных плеча устройства, основная 1 и дополнительная 2 антенны объединены в пары и попарно подсоединены в одном и том же волноводном сечении к соответствующим волноводным вычитающим элементам 3 таким образом, что директрисы диаграмм направленности каждой пары антенн 1 и 2 нормальны к плоскости боковых стенок волновода, на котором они расположены, а максимумы их диаграмм направленности ориентированы в противоположные стороны, волноводные фильтры 4 последовательно включены с соответствующими волноводными вычитающими элементами 3, на обоих концах каждого из плеч устройства располагаются поглощающие нагрузки 5, плечи стыкуются между собой со стороны волноводных фильтров 4 под углом 90°, по месту расположения одноименный пучностей продольного распределения электромагнитного поля, образуя в центре общей поглощающей нагрузки 5 место подключения приемо-передатчика, причем ортогонально стыкуемые плечи по отношению к плоскости, в которой лежит биссектриса прямого угла между ними, являются зеркальными отображениями друг друга.

[29]

Устройство работает следующим образом.

[30]

Перед началом работы устройство защиты узкополосного приемно-передающего канала локализуется в области его эфирного обмена с другими элементами радиотехнической системы в зоне видимости абонента. Для обеспечения наибольшей защищенности канала устройство располагается таким образом, чтобы прямая линия прихода излучения от детерминированного источника абонента, с которым осуществляется обмен, совпадала с биссектрисой прямого угла, образуемого конструктивно жесткими плечами устройства. При этом вектор Пойтинга принимаемого излучения должен быть направлен внутрь раствора этого угла к его вершине. В общем случае помеховая электромагнитная обстановка в зоне использования приемно-передающего канала определяется условиями, которые характерны для ближней зоны источника помехи. Это, например, в полной мере относится к ситуации, которая складывается при проведении испытаний на электромагнитную совместимость к воздействию мощного электромагнитного импульса. Для этой электромагнитной обстановки справедливы равновероятность направлений распространения многократно рассеянной помехи, однородность пространственного распределения ее интенсивности и сохранение формы помехового импульса по пространству взаимодействия вследствие когерентности рассеяния на малых неоднородностях. С учетом этого в процессе работы основные антенны 1 в плечах устройства, своими главными лепестками диаграмм направленности ориентированные в сторону источника излучения, принимают каждая одну и ту же сумму полезного сигнала на несущей частоте и соответствующую спектральную часть помехового сигнала, выделенную резонансными антеннами 1. В то же время идентичные основным антеннам 1 дополнительные антенны 2, диаграммы направленности которых своими максимумами ориентированные в противоположенную парным антеннам 1 сторону, принимают только сигнал, обусловленный той же частью многократно рассеянной помехи. Принимая во внимание, что форма и фаза прихода импульсной помехи на антеннах 1 и 2 в заданных условиях одинаковы, подача этих синфазных помеховых сигналов на волноводный вычитающий элемент 3 в одно и то же сечение волновода в области, где на данной частоте могут существовать только противофазные пучности одноименной по виду связи (электрической и магнитной) составляющей электромагнитного поля, не приводит к возбуждению продольных волн в волноводе, а результирующий помеховый сигнал может существовать в этом сечении только в виде стоячих поперечных волн и исключительно при условии, что поперечный размер волновода превышает половину длины волны сигнала возбуждения. Поэтому на выходе волноводного вычитающего элемента 3 в сечениях волновода, отстоящих от сечения подключения основной 1 и дополнительной 2 антенн на расстояние, превышающее половину длины волноводной волны на несущей частоте λнесв, помеховый сигнал уже не обнаруживается. Полезный сигнал в пределах сечений вычитающего элемента 3 (т.е. в пределах ±λнесв/4 от сечения подключения антенн 1,2) возбуждает две разновеликие волны одного типа, бегущие в разные стороны от сечения возбуждения и поглощающиеся полностью на оконечных нагрузках 5. Одна из этих волн движется через зону волноводного фильтра 4, ослабляющего влияние на результирующий сигнал волн высших типов, в сторону стыковки двух взаимно ортогональных плеч устройства. В месте стыковки плеч перед поглощающей нагрузкой 5 в пучности электрической и магнитной составляющих электромагнитного поля, соответствующей выходным сечениям фильтров 4, суммарный с двух плеч устройства полезный сигнал возбуждает электромагнитную связь с входом приемо-передатчика. В случае, если по каким-либо статистическим априорным причинам может произойти нарушение изотропности рассеянного помехового излучения, например при прогнозе увеличения вклада в помеховое излучение некогерентного рассеяния на крупных неоднородностях (что означает увеличение вклада в результирующий сигнал на входе приемо-передатчика нескомпенсированной помехи), количество плечей устройства для сохранения соотношения сигнал/помеха должно расти. При этом вклад помехи в сравнении с использованием двух плечей будет уменьшаться в Vn/2 раз, где n - общее число плечей устройства. Для обеспечения синфазного сложения поплечно возбужденных волн, несущих полезный сигнал (к месту стыковки плеч в процессе приема или формирования волнового пакета в растворе между плечами в процессе передачи), основные антенны 1 и дополнительные антенны 2 размещаются на плоскостях соответствующих волноводов таким образом, что являются попарно зеркальными отображениями друг друга относительно диагональных плоскостей параллелепипеда, построенного на сторонах волноводов двух взаимно ортогональных плеч устройства, как на образующих.

[31]

Количественная оценка полученного технического результата может быть проведена следующим образом.

[32]

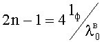
Рассмотрим достигаемый эффект на примере оценки защиты приемно-передающего канала радиотехнической системы Wi-Fi, работающего на частоте 2,4 ГГц, в условиях мощных импульсных электромагнитных воздействий, характерных для некоторых видов испытаний на электромагнитную совместимость. Реализация предлагаемого устройства в этом случае (т.е при (N+1) пары из основной и дополнительной антенн, а также (N+1) вычитающих элементов и (N+1) узкополосных фильтров) представлена на фиг.1, 2 и 3.

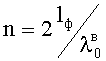
[33]

Приемлемым для защиты системы Wi-Fi типом основной и дополнительной резонансных антенн является полуволновая щелевая антенна. Щелевая антенна в соответствии с собственной геометрией возбуждается поперечной к своей оси компонентой электрической или продольной компонентой магнитной составляющих падающего на нее электромагнитного поля.

[34]

Найдем геометрические параметры щелевой антенны, работающей в резонансе на частоте 2,4 ГГц, имея в виду, что резонансная щель электрически аналогична полуволновому вибратору.

[35]

Тогда в первом приближении длина необходимой щели равна

[36]

lщλнес2=с2fнес6,25см,

[37]

где λнес, fнес - длина волны в воздушной среде на несущей частоте и несущая частота радиотехнического канала;

[38]

c - скорость света в свободном пространстве.

[39]

Ширина щели δщ определяется компромиссом между требованием наилучшего согласования с волноводом и чувствительностью (эффективностью) щели. Оптимальным является отношение lщδщ10. Тогда из зависимости фазовой скорости распространения волны вдоль вибратора νф от отношения lλ при различной толщине вибратора [6] следует, что для достижения резонанса длина щели должна быть укорочена в 1,08 раза. Так что окончательно принимаем

[40]

lщ=5,8 см и δщ=6 мм.

[41]

При выборе типа волны, формы и размеров сечения волновода следует иметь в виду ключевое для предлагаемого устройства требование высокой стабильности распределения электромагнитного поля внутри волновода. Это требование выполняется, если передача сигнала по волноводу осуществляется только одним типом волны, не имеющим вырождения. Таким типом волны является волна типа H10 в прямоугольном волноводе, поперечные размеры которого не равны друг другу.

[42]

Определим размеры сечения прямоугольного волновода, удовлетворяющего работе на волне типа H10. В соответствии с [7] можно записать

[43]

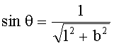
,

[44]

,

[45]

,

[46]

откуда получаем 0<b<λнес и

[47]

где λкр - критическая длина волны для волн соответствующего типа;

[48]

a, b - больший и меньший размеры, соответственно, сечения прямоугольного волновода.

[49]

С учетом того, что любой информационный сигнал может существовать только в некоторой полосе частот, из (1) принимаем значение a=0,7λнес≃8,8 см, занимающее среднее геометрическое положение в интервале возможных значений.

[50]

Меньший размер сечения волновода найдем, обращаясь к зависимостям погонных потерь в волноводе от частоты при различных соотношениях a/b для волны H10 [8]. Из этих зависимостей вытекает, что в предположении малости абсолютных потерь в устройстве защиты можно остановить свой выбор на a/b=6, т.е. b≃15 мм. Такое соотношение между размерами узкой и широкой стенок прямоугольного волновода обеспечивает гарантированное нарастание подавления по мере ухода от несущей частоты, как в сторону низких, так и высоких частот, еще не сильно сказываясь на эффективности приемо-передачи через щелевую антенну.

[51]

Для дальнейших оценок определим теперь волноводную длину волны на несущей частоте, которая, как видно из [9], равна

[52]

λнесв=λнесεотнμотн(λнесλкрН10)218,3см,

[53]

где εотн µотн - относительные диэлектрическая и магнитная проницаемости заполнения волновода.

[54]

Положение продольных по отношению к оси волновода антенных щелей можно найти из приближенного выражения для эквивалентной проводимости щели, нормированной на волновое сопротивление линии [10]

[55]

[56]

где x - расстояние от средней линии широкой стенки волновода до оси щели.

[57]

Из условия волноводного согласования, приравнивая gэквщ единице и подставляя в (2) найденные выше значения параметров, получаем

[58]

x≃14 мм.

[59]

Таким образом, основная и дополнительная щелевые антенны размещаются продольно на противоположных широких стенках прямоугольного волновода по разные стороны от средних линий этих стенок на расстоянии 14 мм от них каждая.

[60]

В процессе приемо-передачи основная и дополнительная антенны действуют разнонаправленно, но обладают идентичными электрическими характеристиками. Поэтому все рассматриваемые полуволновые щели можно приближенно соотносить со щелью на плоскости и их диаграммы направленности определять из выражения [11]

[61]

Ещ=iπUщexp(ikr)rcos(π2cosθ)sinθ,(3)

[62]

где

[63]

Ещ - величина напряженности электрического поля, действующего между продольными краями щели;

[64]

Uщщδщ - напряжение, действующее поперек щели;

[65]

k=2πλнес - волновое число на несущей частоте;

[66]

r - расстояние от центра щели до данной точки;

[67]

θ - угол места радиус-вектора, проведенного из центра щели в данную точку;

[68]

i - мнимая единица;

[69]

причем здесь ф(θ)=cos(π2cosθ)sinθ - диаграмма направленности излучения щели в вертикальной плоскости, содержащей ось щели. Максимумы диаграмм направленности полуволновых щелей достигаются при θ=π2, т.е. по направлениям нормали к широким стенкам волновода.

[70]

Переходя к вычитающему элементу плеча устройства, заметим, что поперечные сечения волновода, между которыми он заключен, соответствуют двум последовательным пучностям продольного распределения электрического и магнитного поля в волноводе и отстоят друг от друга на расстоянии lвыч=λнесв4 в обе стороны от сечения, соответствующего центрам противоположенных щелей, означенных как основная и дополнительная антенна того же устройства.

[71]

В каждом из плеч устройства по одну сторону от вычитающего элемента в пределах ближайших к вычитающему элементу соседних пучностей электрического и магнитного полей находиться поглощающая нагрузка, заканчивающаяся на торцевой стенке волновода, приходящейся на пучность поля. По другую сторону от вычитающего элемента расположен волноводно-связанный с ним узкополосный резонаторный фильтр в виде незамкнутого отрезка волновода. В зависимости от кратности длины незамкнутого отрезка волновода величине λв4 он проявляет разные резонансные свойства: при четном числе λв4 ему сопоставляется параллельный резонанс, при нечетном - последовательный.

[72]

Резонаторный фильтр переходит в общую для двух плеч устройства оконечную поглощающую нагрузку, располагающуюся на объединенной торцевой стенке волноводов.

[73]

Прежде чем оценивать ослабление устройством внешних электромагнитных полей, определим минимальную длину фильтра, обеспечивающую приемлемый уровень внутриволноводного внеполосного ослабления. Для этого обратимся к коэффициенту потерь в фильтре, рассматриваемом как четырехполюсник [12]

[74]

Кпотф=11|Г|2дБ,

[75]

где Г=ZвхZ0ZвхZ0=Y0YвхY0Yвх - коэффициент отражения от входа фильтра;

[76]

Zвx, Yвx - полные выходные сопротивление и проводимость резонаторного фильтра соответственно;

[77]

Z0,Y0=1Z0 - характеристические сопротивление и проводимость резонаторного фильтра на резонансной на резонансной частоте ω0 (для волны - типа Z0=377εотнλ0вλ0).

[78]

Тогда коэффициент ослабления резонаторного фильтра Кослф можно записать в стандартном виде

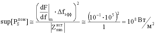
[79]

Кослф=20log11|Г|2,дБ.(4)

[80]

Полные входные сопротивление Zвx (последовательный резонанс) и проводимость Yвx (параллельный резонанс) для согласованного на выходе фильтра можно выразить следующим образом

[81]

Zвх=Zф-Z0 и Yвx=Yвх-Y0,

[82]

где Zф, Yф - полные собственные сопротивление и проводимость фильтра.

[83]

После подстановки этих соотношений в выражение для коэффициента отражения имеем

[84]

Г=ZфZф+2Z0=YфYф+2Y0,(5)

[85]

В пренебрежении активными потерями для резонаторного волноводного фильтра из [13] следует

[86]

{Zфi(2n1)4πZ0(λ0вλ0)2(ωω0ω0ω)YфinπY02(λ0вλ0)2(ωω0ω0ω),(6)

[87]

где n=1, 2, 3… и 2n1=4lфλ0в при последовательном резонансе,

[88]

n=2lфλ0в при параллельном резонансе;

[89]

lф - волноводная длина фильтра;

[90]

λ0, λ0в - длина волны на резонансной частоте в свободном пространстве и волноводе соответственно;

[91]

ω0, ω - текущая и резонансная круговые частоты, соответственно.

[92]

Выражение для коэффициента отражения (5) перепишем с учетом (6), заменяя индекс «0» резонансной частоты на индекс «нес» несущей частоты в приемно-передающем канале,

[93]

Г11i2πlфλнес2λнесвffнесf2fнес2(7)

[94]

и подставляя модуль выражения (7) в (4), окончательно имеем

[95]

Кослф20log1+(πlф2λнесвλнес2|ffнесfнесf|)2.(8)

[96]

Из (8) видно, что в узкой полосе частот, когда Δffнес5%,

[97]

при lфλнесвКослф1дБ, т.е. полезный сигнал практически не ослабляется. В то же время на краях существования в волноводе волны Н10(Δffнес40%) подавление составляет уже 5 дБ. Кроме того, частоты, меньшие критической для данного волновода f<fкр=c2a0,7fнес, ослабляются значительно быстрее, чем в (8) - экспоненциально. В результате внутри данного заполненного воздухом волновода при его общей длине L1,5λнесв могут существовать только fнес в узкой полосе и дискретный ряд частот, кратных и , где c - скорость света в вакууме.

[98]

Количественная оценка ослабления волноводного фильтра для частот меньших критической может быть получена из соотношения [14] для ослабления электромагнитного поля запредельным прямоугольным волноводом

[99]

SE,H=ехр(-αЕ,Нlф),

[100]

где αЕ=π1а2+1b2 - коэффициент ослабления электрического поля;

[101]

αH=πb - коэффициент ослабления магнитного поля.

[102]

В нашем случае при , тогда коэффициент ослабления волноводного фильтра на запредельных частотах можно записать в виде

[103]

Кослф20log(1SE,H)=9,6πlфb,дБ(9)

[104]

Подставляя в (9) значения lф=1,25λнесв и b, получаем

[105]

КослЕ,Нф290дБ,

[106]

что фактически исключает из рассмотрения возбуждение низких и закритических частот f<c2a в выходном сечении фильтра, кроме случаев его прямой «засветки» из антенной щели.

[107]

Оценку квазистационарного влияния щели на выходное сечение фильтра произведем, используя подход, изложенный в [14]. При этом подходе поля в защищаемой области пространства на расстоянии r от центра щели определяются как поля элементарных электрических или магнитных диполей (в зависимости от вида искомого поля) при возбуждении щели соответственно нормальной составляющей электрического поля Енорм или тангенциальной составляющей магнитного поля Нтан и в сферической системе координат с центром в середине щели вычисляются следующим образом

[108]

{Er(r,θ)=2Pcosθεr3,Eθ(r,θ)=Psinθεr3;Hr(r,ϕ,θ)=2Msinϕsinθr3,Hф(r)=Mr3,Hθ(r,ϕ,θ)=Msinϕcosθr3;(10)

[109]

где Р=Енормεlщδщ2641+(δщlщ)2 - эквивалентный электрический дипольный момент щели;

[110]

М=Нтанlщδщ264(1+δщ4lщ) - эквивалентный магнитный дипольный момент щели;

[111]

sinθ=1l2+b2; cosθ=bl2+b2;

[112]

l - длина волновода от сечения, в котором лежит центр щели, до выходного сечения фильтра.

[113]

С учетом того, что l=1,25λнесв>>b,lщ>>δщ и вблизи оси волновода sinφ≃0, соотношения (10) в центральной части выходного сечения волноводного фильтра преобразуются к общему виду для оценки величины полей

[114]

Eф, Нф≃Енорм, Hтанlщδщ264l3.

[115]

Добавляя к ослаблению полей от щели расстоянием ослабление при прохождении окна щели, в итоге получаем

[116]

КослЕ,Нщ=[20log(64l3lщδщ2)+9,6dвδщ],дБ,(11)

[117]

где dв - толщина металлических стенок волновода.

[118]

Подставляя в (11) численные значения параметров, имеем

[119]

КослЕ,Нщ110дБ.

[120]

Дискретный ряд волноводных колебаний, частоты которых превышают fнес и кратны и , в результате произвольного электромагнитного воздействия на внутриволноводное пространство не могут быть возбуждены в нем, т.к. главным условием возбуждения определенного типа волн в волноводе является наличие в его сечении соответствующей структуры электромагнитного поля или поверхностных токов [15], а следовательно, соответствующего возбуждающего устройства [16]. Полуволновые щелевые антенны устройства возбуждают в волноводе только один тип волны - H10, который предназначен для переноса информации на несущей частоте. Поэтому все колебания с частотами, большими чем fнес, могут присутствовать в волноводе устройства исключительно в виде ТЕМ-волн, излучаемых из пространства щелей внутрь волновода. При этом, вообще говоря, в прямоугольном волноводе могут распространяться только те ТЕМ-волны, частоты колебаний которых превышают критическую с2b. Их вставка фильтра, как волн излученных, может быть оценено исходя из соотношения (3), с учетом отражения от волноводной нагрузки

[121]

КослЕ,Нщ=20log(1,25λнесвδщ(1|Гw|))35дБ (12)

[122]

где Гw=WH10несWTEMWH10нес+WTEM - коэффициент отражения волн ТЕМ-волн от волноводной нагрузки;

[123]

WTEM, WH10нес - волновые сопротивления для ТЕМ и Н10, соответственно.

[124]

Отраженная от нагрузки часть ТЕМ-волн на частотах будет подавлена резонаторным фильтром в соответствии с (8) на ≥26 дБ.

[125]

Таким образом, уровень помехового воздействия на выходное сечение фильтра (место съема полезного сигнала с защитного устройства) определяется прямой «засветкой» из щелевых антенн с ослаблением, равным в соответствии с (11) и (12)

[126]

на частотах f<c2a<fнес110дБ,

[127]

на частотах f>c2b<fнес35дБ.

[128]

Когда помеха присутствует на несущей частоте приемно-передающего канала и может в принципе без ослабления переносится волной Н10 в выходное сечение фильтра, в предлагаемом устройстве работает механизм компенсации синфазных помеховых сигналов, основанный на использовании пары антенн - основной и дополнительной в каждом из плеч устройства. Для реализации этого механизма устройство в пространстве ориентируется таким образом, чтобы основная антенна, направленная на источник полезного сигнала, принимала сумму полезного сигнала и помехи, а дополнительная, ориентированная противоположено основной - только помеху. В вычитающем элементе устройства производится противофазное сложение поверхностных волноводных токов с обеих антенн, так что на выходе вычитающего элемента остается только воздействие полезного сигнала, возбуждающего волну Н10. Степень подавления синфазных помеховых воздействий, генерируемых основной и дополнительной щелевыми антеннами, зависит от уровня идентичности этих антенн и симметрии вычитающего элемента. Различия в электрических параметрах щелевых антенн и качество волноводного вычитающего элемента целиком определяются точностью их изготовления, иначе говоря, допусками. Суммарный относительный допуск δΣ можно оценить из соотношения

[129]

δΣ=δсрN,

[130]

где δср - среднее значение допуска;

[131]

N - количество контролируемых размеров.

[132]

Принимая реальное для техники СВЧ значение δср≃0,1% и ограничивая число контролируемых размеров десятью N=10, получаем

[133]

δΣ≃0,3%.

[134]

В такой реализации коэффициент ослабления синфазной помехи равен

[135]

КослСП=20log(1δΣ)50дБ.(13)

[136]

Синфазность и равенство исходных величин помех, принимаемых основной и дополнительной антеннами, зависит от степени однородности и изотропности поля помехи. При проведении испытаний на электромагнитную совместимость технических средств с импульсными электромагнитными излучениями большой мощности приемо-передатчик радиотехнической системы (например, адаптер Wi-Fi), располагается в ближней зоне источника помех, для которой характерно многократное рассеяние излучения на малых неоднородностях, т.е. dp<<λ, где dp - размер рассеивающих неоднородностей. В этом случае эффективная площадь рассеяния на единицу объема рассеивающей среды σ не зависит от угла рассеяния θ и дается выражением [17]

[137]

σ(θ,χ)2dp3(Δε¯ε¯)2(2πλ)2sinχ,

[138]

где ε¯, Δε¯ - среднее значение комплексной диэлектрической проницаемости рассеивающей среды и отклонение от ее среднего значения;

[139]

χ - угол между вектором напряженности электрического поля падающего излучения и направлением рассеяния.

[140]

При этом дифференциальное сечение рассеяния dS в телесный угол dΩ пропорционально квадрату числа рассеивающих неоднородностей (частиц) Np [18]

[141]

dSdΩ=Np2dσdΩ,

[142]

где dσ - дифференциальное сечение рассеяния излучения отдельной частицей, а мощность излучения, приходящего в данную точку из каждой выделенной области рассеяния Р(Ω), пропорциональна квадрату суммы амплитуд напряженности поля Е отдельных частиц, т.е. рассеянное излучение полностью когерентно. Эта ситуация характерна для статистически равномерного распределения большого числа малых рассеивателей по объему зоны излучения, когда grad Np≃0 и для приемника, находящегося в зоне рассеянного излучения, оно однородно и изотропно.

[143]

В этих помеховых условиях, как следует из предыдущего изложения, внеполосное помеховое излучение ослабляется предлагаемым защитным устройством не менее чем на

[144]

110 дБ при f<fнес±Δf,

[145]

35 дБ при f>fнес±Δf,

[146]

а внутри рабочей полосы на 50 дБ при f=fнес±Δf,

[147]

где Δf - узкая рабочая полоса частот.

[148]

Наличие среди малых рассеивателей крупных неоднородностей (dp>>λ), для которых в соответствии с [17]

[149]

σ(θ,χ)2(Δεε¯¯)2sin2χdpθ4,

[150]

приводит к появлению в помеховом излучении парциальных мононаправленных составляющих. Как видно из [18], дифференциальное сечение для крупных рассеивателей

[151]

dSdΩ=NpdσdΩ.

[152]

пропорционально первой степени их числа Np, т.е. рассеянное излучение не когерентно, и мощность этого излучения пропорциональна только сумме квадратов амплитуд напряженности поля от отдельных рассеивателей. Поэтому очевидно, что при импульсном помеховом источнике происходит «декомпозиция» волнового фронта при рассеянии на крупных неоднородностях, и статистически вклад этой компоненты рассеянного излучения в общее суперпозиционное поле помехового излучения по сравнению с когерентным рассеянным излучением невелик. (Это справедливо при одной оговорке: приемник излучения не размещается вблизи крупных рассеивателей.)

[153]

Вклад некогерентной компоненты помехового излучения в сигнал на выходе защитного устройства уменьшается в еще большей степени благодаря взаимно ортогональному расположению плеч устройства.

[154]

Действительно, диаграммы направленности основной и дополнительной антенн в соответствии с (3) имеют достаточно большую ширину (по уровню 0,7≃90°) и способствуют осреднению принимаемой некогерентной компоненты помехи, выравнивая ее вклад по всем четырем (2 шт.×2 плеча) антеннам защитного устройства. Кроме того, из (3) видно, что указанные антенны имеют нулевую чувствительность к излучению в плоскости их рассеяния. Из этой характеристики антенн вытекает, что взаимно ортогональное расположение плеч устройства имеет следствием пространственную «развязку» антенн и установление независимого приема помехи каждой из антенн при максимально возможной чувствительности основных антенн к полезному сигналу, источник которого располагается внутри прямого угла между плечами устройства на его биссектрисе.

[155]

Тогда сигналы с основной и дополнительной антенн можно представить в виде

[156]

Aосн(t)=Aпол(t)+[Aпом(t)±δ1],

[157]

Адоп(t)=Aпом(t)±δ2,

[158]

где Aпол(t) - полезный сигнал;

[159]

Aпом(t) - помеховый сигнал, обусловленный когерентной компонентой помехового излучения;

[160]

δ1,2 - относительные погрешности величины помехового сигнала, обусловленные вкладом случайной некогерентной компоненты помехового излучения.

[161]

Сигналы Aпол(t) и Aпом(t), действующие в плечах устройства, внутри своих групп разделяемых по признакам «полезный» и «помеховый», равны друг другу по величине и синфазны. При этом сигналы с каждого из плеч устройства с учетом функции вычитающего элемента равны

[162]

Апл1(t)=Апол(t)±δ12+δ22,

[163]

Апл2(t)=Апол(t)±δ32+δ42,

[164]

а на общей нагрузке двух плеч устройства выделяется суммарный сигнал

[165]

AΣ(t)=Aпл1(t)+Aпл2(t)=2[Aпол(t)±δ12+δ22+δ32+δ422].

[166]

В общем случае при n плечах этот суммарный сигнал запишется в виде

[167]

AΣ=n[Aпол(t)±2nSδ],(14)

[168]

где Sδ - средняя квадратичная относительная погрешность.

[169]

Из (14) следует, например, что при доминировании некогерентной помехи в одной из антенн, так что выполняется

[170]

S1>>2nSi

[171]

и

[172]

AΣ=n[Aпол(t)±2nδl¯(1+1n)],

[173]

то при этом, даже если Апом1(t)≃Aпом(t)(1±1), на выходе защитного устройства выполняется AΣ=n[Aпол(t)±(≤0,3)] при n≥2, т.е. приемно-передающий канал удовлетворительно функционирует.

[174]

При числе плеч более двух (т.е. при более (N+1) пар из основной и дополнительной антенн, более (N+1) вычитающих элементов и более (N+1) узкополосных фильтров) защитное устройство образует в пространстве n-гранную коническую розетку, открытым своим концом направленную в сторону источника полезного сигнала. Предельное число плеч, объединяемых жесткой конструкцией стыковочного узла устройства, по всей видимости, не превышает четырех. При большем количестве плеч устройство приобретает вид усеченного конуса, причем сигнал с каждого из плеч снимается коротким отрезком коаксиального кабеля и подается на суммирующее устройство, к выходу которого подключается приемо-передатчик.

[175]

Установим теперь степень защищенности предполагаемым устройством рассматриваемого в качестве примера приемно-передающего канала радиотехнической системы Wi-Fi при воздействии мощных импульсных электромагнитных источников с различным спектральным наполнением, руководствуясь данными, представленными в [19].

[176]

Будем полагать, что импульсная мощность на несущей частоте fнес=2,4 ГГц развиваемая адаптером Wi-Fi, достигает 1 Вт, и динамический диапазон его работы на прием по плотности потока мощности составляет (104÷1)Втм2.

[177]

Тогда из [19]:

[178]

1) Для относительно низкочастотного источника помех (имитация молниевых разрядов) имеем максимальную спектральную плотность напряженности электрического поля

[179]

dEdf|m101BмГц при эффективной ширине спектра Δfэфф≃105 Гц, тогда верхний предел плотности мощности, создаваемый этим источником, оценивается

[180]

sup[PSпом](dFdf|mΔfэфф)2|Zminист|(101105)21=108Втм2;

[181]

на минимальном расстоянии от источника ≃3 м в месте расположения испытуемого объекта предельная плотность мощности помехи составит PSпом107Втм2;

[182]

поскольку практически весь спектр этого помехового воздействия лежит ниже нижней критической частоты волноводной системы устройства fкрн=0,7fнес1,7109Гц, то принимаемая им мощность помехи будет ослабляться с учетом (11) на 110 дБ, что эквивалентно мощности приведенной к входу приемо-передатчика

[183]

PSпривпом1071011=104Втм2

[184]

вывод: защитное устройство сохраняет работоспособность канала без ограничений;

[185]

2) для более высокочастотного источника помех (имитация высотного ядерного взрыва) имеем dEdf|m103ВмГц, при Δfэфф≃108 Гц, откуда

[186]

sup[PSпом](103108)2377=3107Втм2

[187]

при том, что весь помеховый спектр лежит ниже fкрн1,7109Гц с учетом (11) и минимального расстояния до источника выполняется

[188]

PSпривпом<104Втм2;

[189]

вывод: защитное устройство сохраняет работоспособность канала без ограничений;

[190]

3) для сверхвысокочастотного источника помех (имитация сверхширокополосных воздействий) имеем dEdf|m5103ВмГц при Δfэфф≃1010 Гц, откуда

[191]

sup[PSпом](51061010)2377=7106Втм2,

[192]

при том, что большая часть помехового спектра лежит выше верхней критической частоты волноводной системы устройства с учетом (12) и минимального расстояния до источника получаем внеполосное превышение динамического диапазона канала

[193]

PSпривпом2102Втм2,

[194]

в то же время для этого источника помех на несущей частоте в узкой полосе Δfэфф≃0,1fнес

[195]

sup[PSпом](51062108)23773103Втм2,

[196]

и с учетом (13) и минимального расстояния от источника видно, что помеха ограничивает рабочий динамический диапазон

[197]

PSпривпом2103Втм2;

[198]

вывод: работоспособность канала может быть обеспечена при уменьшении исходных размеров b→b≃6 мм и δщ→δщ≃2 мм и соответственном увеличении fкрв.

[199]

При испытаниях на электромагнитную совместимость в реверберационных камерах, предназначенных для имитации электромагнитной обстановки в закрытых помещениях, в многомодовом режиме на моночастоте создаются условия электромагнитной «бани» и достигаются поля напряженностью до 700 В/м. В этом случае

[200]

sup[PSпом]=E2W0(7102)23771,3103Втм2

[201]

и на частотах f<fкрн с учетом (11)

[202]

PSпривпом1,3108Втм2,

[203]

на частотах f<fкрв с учетом (12)

[204]

PSпривпом0,7Втм2

[205]

на несущей частоте f=fнес

[206]

PSпривпом1,3102Втм2;

[207]

вывод: защитное устройство сохраняет работоспособность канала.

[208]

Это же справедливо для устройств, содержащих более (N+1) пар из основной и дополнительной антенн, более (N+1) вычитающих элементов и более (N+1) узкополосных фильтров, используемых в более сложных помеховых электромагнитных условиях.

[209]

Таким образом, благодаря применению идентичных резонансных антенн, вычитающего элемента и фильтра на основе экранированного волновода, снижен не менее чем на 50 дБ уровень синфазных помех на несущей частоте приемно-передающих каналов радиотехнических систем, работающих в диапазоне СВЧ, не менее чем на 100 дБ понижен уровень внеполосных помех со стороны низких частот и не менее чем на 35дБ - со стороны высоких частот, кроме того, с помощью двух идентичных взаимно ортогональных плеч устройства обеспечена защита приемно-передающих каналов, работающих по детерминированному направлению на фоне многократно рассеянных помех, что в целом позволяет обеспечить работоспособность каналов радиотехнических систем в диапазоне СВЧ при проведении испытаний на электромагнитную совместимость технических средств по всем известным мощным импульсным и гармоническим электромагнитным воздействиям.

[210]

Литература

[211]

1. Кравченко В.И., Болотов Е.А., Летунова Н.И. Радиоэлектронные средства и мощные электромагнитные помехи. - М.:Радио и связь, 1987, с.194-195.

[212]

2. Кудрявцев Е.М., Никифоров В.И., Михайлов Б.И. Радиоприемник с защитой входных цепей. Авторское свидетельство СССР №1798925, 1993.

[213]

3. Стрюков Б.А. Устройство защиты приемных каналов радиотехнических систем. Патент РФ №2205504, 2003.

[214]

4. Прилепский В.В., Федотов В.В., Федоренко С.Г., Чернов С.В. Способ защиты от радиопомех. Патент РФ №2115232, 1998.

[215]

5. ГОСТ Р51317.1.5-2009 Совместимость технических средств электромагнитная. Воздействия электромагнитные большой мощности на системы гражданского назначения. Основные положения.

[216]

6. Корбанский И.Н. Антенны. М.: Энергия, 1973, с.68.

[217]

7. Лебедев И.В. Техника и приборы СВЧ. - М.: Высшая школа, 1970, т.1, с.122-123.

[218]

8. Лебедев И.В. Техника и приборы СВЧ.- М.: Высшая школа, 1970, т.1, с.112.

[219]

9. Лебедев И.В. Техника и приборы СВЧ. - М.: Высшая школа, 1970, т.1, с.48.

[220]

10. Корбанский И.Н. Антенны.- М.: Энергия, 1973, с.153.

[221]

11. Корбанский И.Н. Антенны. - М.: Энергия, 1973, с.146.

[222]

12. Маттей Д.Л., Янг Л., Джонс Е.М.Т. Фильтры СВЧ, согласующие цепи и цепи связи.- М.: Связь, 1971, т.1, с.46.

[223]

13. Маттей Д.Л., Янг Л., Джонс Е.М.Т. Фильтры СВЧ, согласующие цепи и цепи связи.- М.: Связь, 1971, т.1, с.183.

[224]

14. Кравченко В.И., Болотов Е.А., Летунова Н.И. Радиоэлектронные средства и мощные электромагнитные помехи.- М.:Радио и связь, 1987, с.186-1987.

[225]

15. Вайншейн Л.А. Электромагнитные волны. - М.: Радио и связь, 1988, с.303, 306-307.

[226]

16. Лебедев И.В. Техника и приборы СВЧ.- М.: Высшая школа, 1970, т.1, с.95.

[227]

17. Семенов А.А. Теория электромагнитных волн, изд-во московского университета, 1968, с.284.

[228]

18. Бредов М.М. Румянцев В.В., Топтыгин И.Н. Классическая электродинамика, М., Наука, 1985, с.188-189.

[229]

19. ГОСТ Р 51317.1.5-2009 Совместимость технических средств электромагнитная. Воздействия электромагнитные большой мощности на системы гражданского назначения. Основные положения, с.7.

Как компенсировать расходы
на инновационную разработку
Похожие патенты