Изобретение относится к области техники связи и может использоваться в системах передачи сообщений, защищенных корректирующим помехоустойчивым кодом. Технический результат - повышение объема полезной информации, передаваемой по каналу связи. Способ контроля качества канала связи характеризуется тем, что на передающей стороне системы связи сообщение кодируют помехоустойчивым кодом, который передают в канал связи, на приемной стороне системы связи помехоустойчивый код декодируют и при успешном декодировании помехоустойчивого кода по каналу обратной связи передают квитанцию на передающую сторону системы связи, в случае неполучения квитанции на передающей стороне системы связи помехоустойчивый код передают повторно, на передающей стороне определяют число квитанций, полученных по каналу обратной связи в скользящем окне приема, оценивают отношение числа принятых и непринятых квитанций к числу переданных помехоустойчивых кодов, определяют вероятности приема и стирания помехоустойчивого кода в канале связи, определяют вероятности правильного приема и трансформации помехоустойчивого кода и оценивают качество канала связи. 7 з.п. ф-лы.
1. Способ контроля качества канала связи, при котором на передающей стороне системы связи сообщение кодируют помехоустойчивым кодом, который передают в канал связи, на приемной стороне системы связи помехоустойчивый код декодируют и при успешном декодировании помехоустойчивого кода передают квитанцию на передающую сторону системы связи и оценивают качество канала связи, в случае неполучения квитанции на передающей стороне системы связи помехоустойчивый код передают повторно, при успешном декодировании повторно переданного помехоустойчивого кода передают квитанцию на передающую сторону системы связи и качество канала связи оценивают с учетом неприема помехоустойчивого кода с первого раза, отличающийся тем, что на передающей стороне системы связи в скользящем окне приема сначала определяют число квитанций, полученных по каналу обратной связи, далее оценивают частоты приема и неприема квитанций в виде отношения числа принятых и непринятых квитанций к числу переданных помехоустойчивых кодов и оценивают вероятности приема и стирания помехоустойчивого кода в канале связи, затем определяют вероятности правильного приема и трансформации помехоустойчивого кода и на передающей стороне системы связи оценивают качество канала связи. 2. Способ по п. 1, отличающийся тем, что для контроля качества канала связи сообщения кодируют двоичным блоковым циклическим помехоустойчивым кодом, который передают с передающей стороны на приемную сторону системы связи. 3. Способ по п. 1, отличающийся тем, что декодирование помехоустойчивого кода на приемной стороне выполняют с исправлением и обнаружением ошибок в пределах, ограниченных минимальным кодовым расстоянием. 4. Способ по п. 1, отличающийся тем, что качество канала связи оценивают средней вероятностью ошибки на бит по биномиальной модели канала связи. 5. Способ по п. 1, отличающийся тем, что вероятность приема и стирания помехоустойчивого кода оценивают соответственно частотами приема и неприема квитанции на передающей стороне системы связи с учетом качества канала обратной связи. 6. Способ по п. 1, отличающийся тем, что вероятность приема помехоустойчивого кода оценивают суммой вероятностей правильного приема и трансформации помехоустойчивого кода. 7. Способ по п. 1, отличающийся тем, что качество канала связи определяют путем численного решения нелинейного уравнения для суммы вероятностей правильного приема и трансформации помехоустойчивого кода. 8. Способ по п. 5, отличающийся тем, что вероятность трансформации помехоустойчивого кода оценивают коэффициентом необнаруженной ошибки по объему сфер разрешенных кодовых комбинаций.
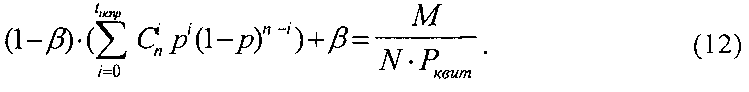
Изобретение относится к области техники связи и может быть использовано в системах передачи дискретной информации для контроля качества каналов связи, в которых передают сообщения, защищенные корректирующим помехоустойчивым кодом. Основной задачей систем связи является доведение сообщений с передающей стороны до получателя в заданное время с вероятностью не менее требуемого значения, близкого к 1. Существующие радиоканалы ДКМВ и MB на предельной дальности, особенно радиоканалы мобильных систем связи, в силу своей физической природы (многолучевое распространение радиоволн, замирания, затенение) являются нестационарными, что приводит к снижению устойчивости и надежности радиосвязи при использовании систем связи с постоянными параметрами. Для повышения надежности передачи и обеспечения заданных вероятностно-временных характеристик (ВВХ) доведения сообщений применяют адаптивные методы управления параметрами систем связи, такими как несущие частоты передачи, скорость передачи, мощность передачи, вид модуляции, корректирующая способность помехоустойчивого кода и так далее. В адаптивных радиолиниях параметры систем связи автоматически и целенаправленно изменяют при изменении качества канала связи. Для управления параметрами систем связи необходимо выполнять постоянный контроль (мониторинг) состояния каналов связи. Предлагаемый способ может применяться для контроля качества нестационарных каналов в системах связи с адаптивной коррекцией параметров при изменении помеховой обстановки в каналах связи. Наиболее эффективно способ может применяться в системах связи с помехоустойчивым кодированием и квитированием сообщений. В таких системах после успешного декодирования кода и приема сообщения по каналу обратной связи передают квитанцию. При отсутствии квитанции сообщения, закодированные помехоустойчивым кодом, передают повторно. Многие современные технологии пакетной передачи сообщений, использующие протоколы международного союза электросвязи МСЭ - Т, такие как Х.25, TCP/IP и другие, предусматривают квитирование и повторную передачу сообщений для повышения вероятности доведения сообщений. При этом частоты получения квитанций Ркв или неполучения квитанций Рнкв=1-Ркв в ответ на передачу сообщения определяют качество канала связи. Квитанцию о приеме сообщения обычно формируют в случае успешного декодирования помехоустойчивого кода. Следует учесть, что определение качества нестационарного канала связи для целей адаптивного управления должно выполняться за наименьшее время и с наибольшей точностью во всем диапазоне изменения помеховой обстановки в канале связи. Качество канала связи определяется несколькими параметрами, однако основной характеристикой является средняя вероятность ошибки на бит или коэффициент ошибок. Это объясняется тем, что значение средней вероятности ошибки на бит в канале связи в наибольшей степени влияет на вероятность доведения сообщения до получателя. Известен способ контроля качества канала связи, при котором по каналу связи передают служебную испытательную последовательность. На выходе канала связи из принятой испытательной последовательности вычитают передаваемую испытательную последовательность и в результате получают последовательность ошибок канала связи. Затем подсчитывают число ошибок в последовательности ошибок и оценивают среднюю вероятность ошибки на бит в канале связи, характеризующую его качество (Элементы теории передачи информации, под ред. Л.П. Пуртова. М.: Связь, 1972, стр. 39). Недостатком этого способа является уменьшение объема полезной информации, передаваемой по каналу связи, из-за необходимости передавать служебную испытательную последовательность, а также снижение точности контроля качества канала связи, обусловленное тем, что при неприеме испытательной последовательности ошибки в непринятой испытательной последовательности не учитывают при определении качества канала связи. Известен также способ контроля качества канала связи, заключающийся в том, что на передающей стороне формируют помехоустойчивый код, который передают по каналу связи, на приемной стороне по результатам декодирования помехоустойчивого кода определяют последовательность ошибок канала связи, затем вычисляют экспериментальную блочную статистику ошибок помехоустойчивого кода и определяют среднее квадратичное отклонение экспериментальной блочной статистики ошибок помехоустойчивого кода от теоретической блочной статистики ошибок помехоустойчивого кода с учетом достоверности экспериментальной блочной статистики ошибок помехоустойчивого кода, и затем определяют характеристики качества канала связи, обеспечивающие наименьшее значение среднего квадратичного отклонения экспериментальной блочной статистики ошибок помехоустойчивого кода от теоретической блочной статистики ошибок помехоустойчивого кода с учетом достоверности экспериментальной блочной статистики ошибок помехоустойчивого кода (Патент РФ №2285345, МПК 7 Н04В 17/00. Квашенников В.В., Рынденков М.В. Способ контроля качества канала связи. Приор. 28.12.2004. Опубл. 10.08.2006). Недостатком этого способа также является снижение точности контроля качества канала связи, обусловленное тем, что в случае неприема помехоустойчивого кода ошибки в непринятом помехоустойчивом коде не учитывают, кроме того, качество канала связи оценивают на приемной стороне, а управление параметрами передачи в зависимости от качества канала выполняют на передающей стороне, что приводит к необходимости передавать характеристики качества канала по каналу обратной связи. Наиболее близким к предлагаемому способу является способ (прототип) контроля качества канала связи, при котором на передающей стороне системы связи сообщение кодируют помехоустойчивым кодом, который затем передают в канал связи, на приемной стороне системы связи помехоустойчивый код декодируют и при успешном декодировании помехоустойчивого кода передают квитанцию на передающую сторону системы связи и оценивают качество канала связи. В случае неполучения квитанции на передающей стороне системы связи помехоустойчивый код передают повторно. При успешном декодировании повторно переданного помехоустойчивого кода передают квитанцию на передающую сторону системы связи и качество канала связи оценивают с учетом неприема помехоустойчивого кода с первого раза (Патент РФ №2321176, МПК 7 Н04В 17/00. Квашенников В.В., Шабанов А.К. Способ контроля качества канала связи. Приор. 05.06.2006. Опубл. 27.03.2008). Однако и этот способ имеет недостатки, заключающиеся в высокой сложности способа и уменьшении объема полезной информации, передаваемой по каналу обратной связи, поскольку качество канала связи определяют на приемной стороне системы связи и в адаптивных радиолиниях служебную информацию о качестве канала связи необходимо доводить до передающей стороны системы связи. Цель изобретения - уменьшение сложности способа и повышение объема полезной информации, передаваемой по каналу обратной связи, за счет того, что качество канала связи определяют на передающей стороне системы связи и не требуется передачи дополнительной служебной информации по каналу обратной связи о качестве канала связи с приемной стороны на передающую сторону системы связи. Для достижения цели предложен способ контроля качества канала связи, при котором на передающей стороне системы связи сообщение кодируют помехоустойчивым кодом, который затем передают в канал связи, на приемной стороне системы связи помехоустойчивый код декодируют и при успешном декодировании помехоустойчивого кода передают квитанцию на передающую сторону системы связи и оценивают качество канала связи. В случае неполучения квитанции на передающей стороне системы связи помехоустойчивый код передают повторно. При успешном декодировании повторно переданного помехоустойчивого кода передают квитанцию на передающую сторону системы связи и качество канала связи оценивают с учетом неприема помехоустойчивого кода с первого раза. Новым является то, что на передающей стороне системы связи в скользящем окне приема сначала определяют число квитанций, полученных по каналу обратной связи, далее оценивают вероятность приема и стирания помехоустойчивого кода в канале связи, затем определяют вероятность правильного приема и трансформации помехоустойчивого кода и, наконец, на передающей стороне системы связи оценивают качество канала связи. При этом для контроля качества канала связи сообщения кодируют циклическими двоичными блоковыми помехоустойчивыми кодами, которые доводят с передающей стороны системы связи на приемную сторону. Причем декодирование помехоустойчивого кода на приемной стороне системы связи выполняют с исправлением и обнаружением ошибок в пределах, ограниченных минимальным кодовым расстоянием. Вероятность приема и стирания помехоустойчивого кода оценивают соответственно частотами приема и неприема квитанции на передающей стороне системы связи с учетом качества канала обратной связи. Качество канала связи оценивают средней вероятностью ошибки на бит по биномиальной модели канала связи с независимыми ошибками. Причем вероятность приема помехоустойчивого кода оценивают суммой вероятности правильного приема и вероятности трансформации помехоустойчивого кода. Качество канала связи определяют путем численного решения нелинейного уравнения для суммы вероятности правильного приема и вероятности трансформации помехоустойчивого кода. При этом вероятность трансформации помехоустойчивого кода оценивают с помощью коэффициента необнаруженной ошибки, который определяют по объему сфер разрешенных кодовых комбинаций. Предлагаемый способ контроля качества канала связи реализуется следующим образом. На передающей стороне формируют помехоустойчивый код, например блоковый циклический двоичный помехоустойчивый код. При полиномиальном описании блоковый помехоустойчивый код записывают в виде полинома где А(х)=ak-1xk-1+…+a1x+a0x0 - информационный многочлен кода, коэффициентами которого ai∈GF(2), i=0…k-1 являются символы исходной информации, n и k - соответственно блоковая и информационная длины кода, g(x) - образующий или порождающий многочлен кода. Степень образующего многочлена g(x) равна n-k При соответствующем выборе образующего многочлена g(x) полиномиальные коды обладают свойством цикличности. Для циклического кода циклическая перестановка символов кода вновь приводит к коду. Условием цикличности кода является то, что многочлен хn-1 делится без остатка на образующий многочлен кода g(x). Таким образом строятся двоичные циклические коды БЧХ (Боуза-Чоудхури-Хоквинхема), Голея, Прейджа и многие другие важные для практических приложений коды. Выбор для реализации кодов, обладающих свойством цикличности, обусловлен возможностью их более простой реализации на сдвиговых регистрах с линейными обратными связями. Например, для двоичного кода Прейнджа (17,9) образующий многочлен делит без остатка многочлен х17+1. Поэтому линейный код Прейнджа (17,9) является циклическим кодом. При кодировании исходной информации, значение которой в двоичной форме записи, например, равно 010010110, вычисляют остаток от деления сдвинутого в сторону старших разрядов информационного многочлена А(х) на образующий многочлен кода g(х): Тогда помехоустойчивый код Прейджа (17,9) в полиномиальной форме запишется в виде Кодирование циклического кода Прейджа (17,9) согласно (4) может быть реализовано на регистре сдвига длины 8, обратные связи которого определяются образующим многочленом кода g(x). Затем символы помехоустойчивого кода (коэффициенты полинома В(х)) передают в канал связи. На сигнал, передаваемый по каналу связи, влияют различные мешающие воздействия в виде помех. Это приводит к появлению ошибок в помехоустойчивом коде. На приемной стороне помехоустойчивый код декодируют с исправлением ошибок и стираний в пределах минимального кодового расстояния кода. Декодирование может выполняться по схеме Меггита с использованием табличных преобразований, возможно использование перестановочного декодирования Касами-Рудольфа, мажоритарного декодирования и других методов декодирования. Число исправляемых tиспр и число обнаруживаемых tобн при декодировании ошибок связано с минимальным кодовым расстоянием кода dmin следующим соотношением Например, для кода Прейджа dmin=5. Этот код является квазисовершенным кодом, поэтому даже при исправлении двойных ошибок он еще может обнаружить 102 комбинации тройных ошибок. При исправлении одиночных ошибок код гарантированно может еще обнаруживать все двойные ошибки. Возможность исправления ошибок повышает вероятность правильного приема кода, а возможность обнаружения ошибок позволяет уменьшить вероятность приема ошибочных кодовых слов. По результатам декодирования кода с исправлением или обнаружением ошибок можно определить событие приема или стирания (неприема) кода. В случае успешного декодирования кода до передающей стороны доводится квитанция о приеме кода, в противном случае - квитанция не доводится. Квитанция передается по обратному каналу связи, в котором возможны мешающие воздействия на сигнал в виде помех. Поэтому вероятность доведения квитанции будет меньше 1, и ее величину Рквит можно определить заранее, например путем проведения экспериментальных исследований. На передающей стороне системы связи, подсчитав число принятых квитанций М и число переданных кодов N в скользящем окне приема, оценивают частоту приема помехоустойчивого кода с помощью формулы Длину скользящего окна приема выбирают соизмеримой с длительностью квазистационарного состояния канала связи, в котором характеристики канала связи изменяются незначительно (менее чем на 10%). Событие приема помехоустойчивого кода имеет место при правильном приеме кода или при его приеме с необнаруженной ошибкой (трансформации кода). Поэтому справедливо где Рпп - вероятность правильного приема кода, Ртр - вероятность трансформации кода. Вероятность правильного приема кода с исправлением tиспр ошибок для биномиального канала (с независимыми ошибками) запишется в виде Вероятность трансформации кода с исправлением tиспр ошибок запишется в виде где β - коэффициент трансформации кода приближенно оценивают по объему сфер разрешенных кодовых комбинаций Исходя из формул (8)-(10) уравнение для оценивания средней вероятности ошибки запишется Выразить из нелинейного уравнения (12) в явном виде среднюю вероятность ошибки на бит р в большинстве случаев не представляется возможным, однако величину р можно определить численным путем, например используя пакет программ математических вычислений MATLAB. При этом могут использоваться различные методы численного, решения алгебраических уравнений типа метода дихотомии, метода секущей или метода Ньютона. В случае неполучения квитанции на передающей стороне системы связи помехоустойчивый код передают повторно. При успешном декодировании повторно переданного помехоустойчивого кода передают квитанцию на передающую сторону системы связи и качество канала связи оценивают с учетом неприема помехоустойчивого кода с первого раза. Для этого в формуле (12) число переданных кодов в скользящем окне приема следует увеличить на 2, а число принятых квитанций М увеличится при этом только на 1. Средняя вероятность ошибки на бит, полученная из уравнения (12), будет характеризовать качество канала связи. Таким образом, качество канала связи оценивается в зависимости от частоты приема помехоустойчивого кода и соответствующей ей частоты доведения квитанций до передающей стороны системы связи. При этом учитывается влияние трансформации помехоустойчивого кода, что повышает точность определения качества канала. Оценивание качества канала осуществляют на передающей стороне системы связи, что упрощает построение адаптивных радиолиний и сокращает объем служебной информации, передаваемой по каналу обратной связи. Достигаемым техническим результатом способа контроля качества канала связи является уменьшение сложности способа и повышение точности и объема полезной информации, передаваемой по каналу связи.