патент
№ RU 2579029
МПК E21B43/20

СПОСОБ РАЗРАБОТКИ НЕФТЯНОГО МЕСТОРОЖДЕНИЯ С УЧЕТОМ ВОССТАНОВЛЕНИЯ ТЕМПЕРАТУРНОГО ФОНА ПЛАСТА

Авторы:
Чупикова Изида Зангировна Хисамов Раис Салихович Афлятунов Ринат Ракипович
Все (6)
Номер заявки
2014149965/03
Дата подачи заявки
10.12.2014
Опубликовано
27.03.2016
Страна
RU
Как управлять
интеллектуальной собственностью
Реферат

Изобретение относится к области нефтедобычи, а именно к способу разработки нефтяного месторождения с учетом восстановления температурного фона пласта. Технический результат - повышение эффективности разработки за счет оптимизации эксплуатации нагнетательной скважины - снижения энергетических и трудовых затрат, связанных с закачкой текучей среды в нагнетательную скважину. По способу выбирают по меньшей мере одну пару скважин, состоящую из нагнетательной и добывающей скважины во взаимосвязи. Определяют с привлечением метода гидропрослушивания производительность закачки текучей среды в нагнетательную скважину для достижения заданного значения забойного давления в добывающей скважине. Определяют время восстановления температурного фона пласта в области призабойной зоны нагнетательной скважины при заданных периодах остановки нагнетательной скважины. Во время остановки нагнетательной скважины фиксируют время, необходимое для восстановления температурного фона пласта в призабойной зоне нагнетательной скважины по меньшей мере на 2°С. Указанное время восстановления температурного фона пласта в области призабойной зоны нагнетательной скважины принимают за время восстановления температурного фона всего пласта. Определяют время, за которое забойное давление в добывающей скважине снижается ниже заданного значения при остановке закачки текучей среды в нагнетательную скважину. На основании полученных данных выбирают период эксплуатации нагнетательной скважины с производительностью закачки текучей среды, необходимой для достижения заданного забойного давления в добывающей скважине. По результата

Формула изобретения

1. Способ разработки нефтяного месторождения с учетом восстановления температурного фона пласта, содержащий этапы, на которых:
а) выбирают по меньшей мере одну пару скважин, состоящую из нагнетательной и добывающей скважины, причем указанная добывающая скважина находится во взаимосвязи с указанной нагнетательной скважиной;
б) определяют по методу гидропрослушивания производительность (Qопт) закачки текучей среды в указанную нагнетательную скважину, необходимую для достижения заданного значения забойного давления в добывающей скважине;
в) определяют время восстановления температурного фона пласта в области призабойной зоны нагнетательной скважины при заданных периодах остановки нагнетательной скважины, при этом во время остановки нагнетательной скважины фиксируют время, необходимое для восстановления температурного фона пласта в призабойной зоне нагнетательной скважины по меньшей мере на 2°С, при этом указанное время восстановления температурного фона пласта в области призабойной зоны нагнетательной скважины принимают за время (Tt) восстановления температурного фона всего пласта;
г) определяют время (Tp), за которое забойное давление в добывающей скважине снижается ниже заданного значения при остановке закачки текучей среды в нагнетательную скважину;
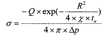
д) на основании данных, полученных на этапах б), в), г) выбирают период эксплуатации нагнетательной скважины с производительностью (Qопт) закачки текучей среды, необходимой для достижения заданного забойного давления в добывающей скважине, при этом период остановки нагнетательной скважины не должен превышать время (Tp), определенное на этапе г), не должен быть меньше времени (Tt) восстановления температурного фона всего пласта, определенного на этапе в), причем по результатам проведенных исследований определяют гидропроводность пласта по формуле
,
где σ - гидропроводность пласта, м3/Па×с;
Q - расход жидкости, м3/с;
R - расстояние между скважинами, м,
χ - пьезопроводность пласта, м2/сут;
tн - время начала реагирования, с;
Δp - изменение давления в добывающей скважине, Па,
при этом определяют производительность (Qопт) закачки текучей среды в нагнетательную скважину, необходимую для достижения заданного забойного давления в добывающей скважине, по формуле
,
где Qopt - расход жидкости, необходимый для достижения заданного значения забойного давления, м3/с;
Δpopt - изменение давления, необходимое для достижения заданного значения забойного давления в добывающей скважине, Па;
tн - время начала реагирования, с.

2. Способ по п 1, в котором при проведении гидропрослушивания в добывающую скважину по межтрубному пространству спускают манометр для определения забойного давления, при этом выбирают режим эксплуатации нагнетательной скважины с заданной производительностью закачки текучей среды, обеспечивающей изменение забойного давления в добывающей скважине, причем фиксируют время начала реагирования (tн) добывающей скважины на закачку текучей среды в нагнетательную скважину.

3. Способ по п. 1, в котором заданные периоды остановки нагнетательной скважины на этапе в) включают в себя 1, 5, 10 сут.

Описание

[1]

Область техники

[2]

Настоящее изобретение относится к области нефтегазодобывающей промышленности, а именно к области усиленной добычи для получения углеводородов.

[3]

Уровень техники

[4]

На данный момент используется широкий спектр различных технологий обработки призабойной зоны пласта (ОПЗ) и повышения нефтеотдачи пласта (ПНП), направленных на повышение фильтрационно-емкостных свойств продуктивных отложений путем очистки порового пространства пластов от различных загрязнений, а также расширению самого порового пространства. Однако при этом не уделяется должное внимание вязкости нефти. Несмотря на то что накоплен достаточно большой опыт разработки залежей с высоковязкой нефтью, данный опыт не учитывает изменение вязкости в процессе разработки залежи.

[5]

Снижение температурного фона пласта оказывает наибольшее влияние на увеличение вязкости нефти при разработке нефтяного месторождения.

[6]

На температурный фон пласта оказывает прямое влияние эксплуатация нагнетательных скважин, в частности закачка в нагнетательную скважину текучей среды, температура которой значительно ниже начальной температуры пласта.

[7]

При определении оптимального периода работы нагнетательной скважины в уровне техники используют такие параметры, как распространенность коллектора, тип коллектора, объемы закачки текучей среды и объемы отбора, пластовое давление и др. При этом не уделяется внимание температурному фону пласта, а именно - охлаждению пласта во время эксплуатации нагнетательных скважин.

[8]

Было выявлено, что снижение температурного фона пласта на 1°C снижает дебит добывающей скважины на 7%.

[9]

Известен способ разработки нефтяной залежи (RU 2369731 С1, МПК Е21В 43/16, Е21В 43/02, опубликовано 10.10.2009), который включает контроль в каждой нагнетательной и добывающей скважинах забойного давления, вычисление пластового давления вблизи скважин, определение фильтрационно-емкостных характеристик, закачку рабочего агента через нагнетательные скважины и отбор продукции через добывающие скважины, остановкой закачки и отбора и/или изменением режимов работы скважин, поддержание в пласте оптимального с точки зрения максимальной нефтеотдачи пластового давления. Однако данный способ не рассматривает проблему повышения вязкости нефти при понижении температурного фона пласта, и не предлагает решения проблемы поддержания дебита скважины при снижении температуры пласта.

[10]

Известен способ разработки нефтяной скважины (патент RU 2072031, Е21В 43/20, 20.01.1997), включающий раздельную закачку вытесняющего агента через нагнетательные скважины и совместный отбор продукции через добывающие скважины, при этом определяют фильтрационно-емкостные характеристики пластов, определяют интервалы оптимальных давлений нагнетания и пластовых давлений для пластов. Способ позволяет повысить дебит скважины и коэффициент нефтеизвлечения. Однако данный способ не учитывает снижение температурного фона пласта и не предлагает решения проблемы сопутствующего повышения вязкости нефти.

[11]

Сущность изобретения

[12]

Задачей изобретения является предоставление способа разработки нефтяного месторождения с учетом восстановления температурного фона пласта.

[13]

Указанный способ обеспечивает стабильный дебит скважины посредством поддержания температурного фона пласта в процессе разработки нефтяного месторождения на уровне, который обеспечивает значения вязкости нефти в пластовых условиях в пределах, не допускающих снижение дебита добывающих скважин, а также указанный способ позволяет оптимизировать эксплуатацию нагнетательной скважины посредством снижения энергетических и трудозатрат, связанных с закачкой текучей среды в нагнетательную скважину.

[14]

В одном аспекте изобретение раскрывает способ разработки нефтяного месторождения с учетом восстановления температурного фона пласта, содержащий этапы, на которых:

[15]

а) выбирают по меньшей мере одну пару скважин, состоящую из нагнетательной и добывающей скважины, причем указанная добывающая скважина находится во взаимосвязи с указанной нагнетательной скважиной,

[16]

б) определяют по методу гидропрослушивания производительность (Qопт) закачки текучей среды в указанную нагнетательную скважину, необходимую для достижения заданного значения забойного давления в добывающей скважине,

[17]

в) определяют время восстановления температурного фона пласта в области призабойной зоны нагнетательной скважины при заданных периодах остановки нагнетательной скважины, при этом во время остановки нагнетательной скважины фиксируют время, необходимое для восстановления температурного фона пласта в призабойной зоне нагнетательной скважины по меньшей мере на 2 градуса Цельсия, при этом указанное время восстановления температурного фона пласта в области призабойной зоны нагнетательной скважины принимают за время (Tt) восстановления температурного фона всего пласта,

[18]

г) определяют время (Tp), за которое забойное давление в добывающей скважине снижается ниже заданного значения при остановке закачки текучей среды в нагнетательную скважину,

[19]

д) на основании данных, полученных на этапах б), в), г) выбирают период эксплуатации нагнетательной скважины с производительностью (Qопт) закачки текучей среды, необходимой для достижения заданного забойного давления в добывающей скважине, при этом период остановки нагнетательной скважины не должен превышать время (Tp), определенное на этапе г) и не должен быть меньше времени (Tt) восстановления температурного фона всего пласта, определенного на этапе в).

[20]

В другом аспекте изобретение раскрывает способ разработки нефтяного месторождения с учетом восстановления температурного фона пласта, в котором при проведении гидропрослушивания в добывающую скважину по межтрубному пространству спускают манометр для определения забойного давления, при этом выбирают режим эксплуатации нагнетательной скважины с заданным объемом закачки текучей среды, обеспечивающим изменение забойного давления в добывающей скважине, причем фиксируют время начала реагирования добывающей скважины на закачку текучей среды в нагнетательную скважину.

[21]

В другом аспекте изобретение раскрывает способ разработки нефтяного месторождения с учетом восстановления температурного фона пласта, в котором, по результатам проведенных исследований по методу гидропрослушивания, определяют гидропроводность по формуле:

[22]

[23]

где σ - гидропроводность, м3/Па×с;

[24]

Δp - изменение давления в добывающей скважине, Па;

[25]

Q - расход жидкости, м3/с;

[26]

tн - время начала реагирования, с;

[27]

χ - пьезопроводность, м2/с;

[28]

R - расстояние между скважинами, м.

[29]

В другом аспекте изобретение раскрывает способ разработки нефтяного месторождения с учетом восстановления температурного фона пласта, в котором определяют объем закачки (Qопт) текучей среды в нагнетательную скважину, необходимый для достижения заданного значения забойного давления в добывающей скважине по формуле:

[30]

[31]

где Qopt - производительность закачки текучей среды, необходимой для достижения заданного значения забойного давления, м3/с;

[32]

Δpopt - изменение давления, необходимое для достижения заданного значения забойного давления в добывающей скважине, Па;

[33]

tн - время начала реагирования, с.

[34]

В другом аспекте изобретение раскрывает способ разработки нефтяного месторождения с учетом восстановления температурного фона пласта, в котором заданные периоды остановки нагнетательной скважины на этапе в) включают в себя 1, 5, 10 суток.

[35]

ПОДРОБНОЕ ОПИСАНИЕ ВАРИАНТОВ ВОПЛОЩЕНИЯ ИЗОБРЕТЕНИЯ

[36]

Выбирают пару скважин, состоящую из влияющей нагнетательной скважины №6614 и реагирующей добывающей скважины №6680, удаленной от нагнетательной скважины на 720 м.

[37]

Проводят исследование межскважинного пространства 6614-6680 методом гидропрослушивания. В межтрубное пространство добывающей скважины №6680 был спущен глубинный манометр на кровлю перфорированного пласта. В качестве источника сигнала использовалось возмущение, создаваемое нагнетательной скважиной №6614. Для этого был выбран следующий режим работы нагнетательной скважины №6614: 15 суток работы - 10 суток простоя. По результатам проведенного гидропрослушивания были получены данные о гидропроводности и пьезопроводности межскважинного интервала. Время начала реагирования, зафиксированного на добывающей скважине, составило 18 суток. Определяют по методу гидропрослушивания производительность (Qопт) закачки текучей среды в указанную нагнетательную скважину, необходимую для достижения заданного значения забойного давления в добывающей скважине. Принимая во внимание аномально высокое значение забойного давления на добывающей скважине №6680 объем закачки (Qопт) составил вдвое меньше от текущих объемов - 22 м3/сут.

[38]

Стандартный комплекс геофизических исследований (с помощью глубинного дистанционного расходомера (РГД) и термометрии) показал, что температура на забое нагнетательной скважины №6614 восстанавливается за 10 суток на 3 градуса Цельсия (Tt).

[39]

Указанное время принимают за время (Tt) восстановления температурного фона всего пласта. Определяют время (Tp), за которое забойное давление в добывающей скважине снижается ниже заданного значения при остановке закачки текучей среды в нагнетательную скважину. Время начала снижения забойного давления в добывающей скважине (Tp) после остановки нагнетательной скважины составило 14 суток.

[40]

На основании данных, полученных на вышеуказанных этапах выбирают период эксплуатации нагнетательной скважины с объемом (Qопт) закачки текучей среды, необходимым для достижения заданного забойного давления в добывающей скважине, при этом период остановки нагнетательной скважины не должен превышать время (Tp), определенное на этапе г), и не должен быть меньше времени (Tt) восстановления температурного фона всего пласта. Таким образом, производительность закачки (Qопт) текучей среды в нагнетательную скважину, необходимая для достижения заданного забойного давления в добывающей скважине, составляет 22 м3/сут, при этом время работы скважины составило 18 суток, время простоя нагнетательной скважины - 14 суток.

[41]

ПРИМЕРЫ

[42]

А) В качестве примера указывается теоретический расчет на основе взаимодействия добывающей скважины №901 и нагнетательной скважины №7216. Расстояние между забоями добывающей и нагнетательной скважинами составляет 200 м.

[43]

Б) Был произведен спуск глубинного манометра на глубину кровли пласта добывающей скважины №901 с целью проведения исследования межскважинного пространства методом гидропрослушивания и определения объем (Qопт) закачки текучей среды в нагнетательную скважину №7216, необходимый для достижения заданного значения забойного давления в добывающей скважине №901.

[44]

При этом гидропроводность определяется по формуле:

[45]

[46]

где σ - гидропроводность, м3/Па×с;

[47]

Δp - изменение давления в добывающей скважине, Па;

[48]

Q - расход жидкости, м3/с;

[49]

tн - время начала реагирования, с;

[50]

χ - пьезопроводность, м2/с;

[51]

R - расстояние между скважинами, м.

[52]

Согласно проведенным исследованиям межскважинного пространства 7216-901 изменение давления в скважине №901 составило 1050400 Па при расходе жидкости в нагнетательной скважине №7216 0,00528 м3/с. Пьезопроводность, с учетом времени реагирования 4233,6 с и расстояния между скважинами 200 м, составила 0,69161 м2/с. Таким образом, гидропроводность межскважинного интервала 7216-901 составила 2,127 мкм2×м/мПа×с.

[53]

Исходя из полученного значения гидропроводности, рассчитывается объем закачки, необходимый для достижения оптимального давления на участке, по формуле:

[54]

[55]

где Qopt - производительность закачки текучей среды, необходимая для достижения заданного значения забойного давления, м3/с;

[56]

Δpopt - изменение давления, необходимое для достижения заданного значения забойного давления в добывающей скважине, Па;

[57]

tн - время начала реагирования, с.

[58]

Согласно расчетам, объем закачки, необходимый для поддержания давления на участке в оптимальном интервале, должен составлять не менее 0,001015 м3/с или 87,7 м3/сут.

[59]

В) Согласно анализу произведенных ранее геофизических работ (РГД, термометрия) было выявлено, что температура на забое нагнетательной скважины №7216 восстанавливается за 0,5 сут на 2 градуса Цельсия. Таким образом, время восстановления температурного фона пласта в области призабойной зоны нагнетательной скважины принимают за время (Tt) восстановления температурного фона всего пласта составляет 15 сут.

[60]

Г) Определено время (Tp), за которое давление в добывающей скважине №901 снижается ниже заданного значения при остановке закачки текучей среды в нагнетательную скважину №7216, которое составило 0,5 сут.

[61]

Д) На основании данных, полученных на этапах Б, В, Г выбран период эксплуатации нагнетательной скважины №7216 с объемом закачки текучей среды 153,2 м3/сут, необходимым для достижения заданного забойного давления в добывающей скважине №901, при этом период остановки нагнетательной скважины не должен превышать 0,5 сут.

Как компенсировать расходы
на инновационную разработку
Похожие патенты