патент
№ RU 2531657
МПК G01N21/41

БОРТОВОЕ УСТРОЙСТВО ОЦЕНКИ КАЧЕСТВА ТОПЛИВА

Авторы:
Садеев Тагир Султанович Морозов Олег Геннадьевич Садыков Искандер Рустемович
Все (6)
Номер заявки
2012157352/28
Дата подачи заявки
25.12.2012
Опубликовано
27.10.2014
Страна
RU
Как управлять
интеллектуальной собственностью
Чертежи 
2
Реферат

Изобретение относится к области исследования или анализа веществ и материалов путем определения их химических или физических свойств, в частности к рефрактометрическим датчикам оценки качества топлива. Устройство содержит источник оптического излучения, первый отрезок оптического волокна, помещаемый в канал подачи топлива, и первый фотоприемник, соединенный с блоком обработки сигналов. Первый отрезок оптического волокна состоит из сердцевины, внутри которой сформирована внутриволоконная решетка, оболочки и защитного покрытия, отсутствующего в зоне внутриволоконной решетки. В устройство дополнительно введены разветвитель, второй отрезок оптического волокна, аналогичный первому, с частично вытравленной оболочкой в зоне внутриволоконной решетки, и помещаемый в канал подачи топлива параллельно первому отрезку оптического волокна, и второй фотоприемник. Выход источника оптического излучения соединен со входом разветвителя, выходы которого через первый и второй отрезки оптических волокон соединены соответственно с входами первого и второго фотоприемников, а выход второго фотоприемника соединен со вторым входом блока обработки сигналов. Технический результат - повышение точности оценки качества топлива. 3 ил.

Формула изобретения

Бортовое устройство оценки качества топлива, содержащее источник оптического излучения, первый отрезок оптического волокна, помещаемый в канал подачи топлива, и первый фотоприемник, соединенный с блоком обработки сигналов, при этом первый отрезок оптического волокна состоит из сердцевины, внутри которой сформирована внутриволоконная решетка, оболочки и защитного покрытия, отсутствующего в зоне внутриволоконной решетки, отличающееся тем, что в него дополнительно введены разветвитель, второй отрезок оптического волокна, аналогичный первому, с частично вытравленной оболочкой в зоне внутриволоконной решетки, и помещаемый в канал подачи топлива параллельно первому отрезку оптического волокна, и второй фотоприемник, при этом выход источника оптического излучения соединен со входом разветвителя, выходы которого через первый и второй отрезки оптических волокон соединены соответственно с входами первого и второго фотоприемников, а выход второго фотоприемника соединен со вторым входом блока обработки сигналов.

Описание

[1]

Техническое решение относится к области исследования или анализа веществ и материалов путем определения их химических или физических свойств, в частности к рефрактометрическим датчикам оценки качества топлива, в том числе бензина, биотоплива на основе спиртов и смесей биотоплива и бензина.

[2]

Известно устройство оценки качества топлива (патент US №7605361 В2, G01N 21/41, 20.10.2009), состоящее из источника оптического излучения, оптического кристалла и позиционно-чувствительного фотоприемника.

[3]

Работа устройства заключается в том, что генерируют излучение в источнике оптического излучения, передают его в оптический кристалл, находящийся в непосредственном контакте с топливом, и принимают преломленное излучение позиционно-чувствительным детектором.

[4]

Недостатком устройства являются его относительно большие массогабаритные размеры и сложная конструкция, использование сложного фотоприемного устройства и алгоритмов оценивания качества топлива. При этом в устройстве не учитывается погрешность, обусловленная изменениями его температуры и температуры топлива, возникающими в ходе работы двигателя.

[5]

Прототипом технического решения является бортовое устройство оценки качества топлива (патент US №0204714 A1, G01N 21/00, 18.09.2007), которое содержит последовательно соединенные источник оптического излучения, отрезок оптического волокна, помещенный в канал подачи топлива, и фотоприемник, соединенный с блоком обработки сигналов, при этом отрезок оптического волокна состоит из сердцевины, оболочки и защитного покрытия, в его сердцевине сформирована внутриволоконная решетка, а защитное покрытие в зоне внутриволоконной решетки снято.

[6]

Прототип работает следующим образом. В источнике оптического излучения генерируют излучение в диапазоне оболочечных мод оптического волокна, передают его по оптическому волокну к оптическому датчику и принимают излучение, преобразованное в оптическом датчике, фотоприемником, где определяют параметры топлива, регистрируя интенсивность принятого излучения, изменяющуюся в зависимости от качества топлива, определяемого его коэффициентом преломления.

[7]

Недостаток прототипа заключается в отсутствии учета погрешности, обусловленной изменениями его температуры и температуры топлива, возникающими в ходе работы двигателя, а следовательно, недостоверность полученных данных на выходе фотоприемника.

[8]

Решение технической задачи заключается в повышении точности оценки качества топлива.

[9]

Решаемая техническая задача в бортовом устройстве оценки качества топлива, содержащем источник оптического излучения, первый отрезок оптического волокна, помещаемый в канал подачи топлива, и первый фотоприемник, соединенный с блоком обработки сигналов, при этом первый отрезок оптического волокна состоит из сердцевины, внутри которой сформирована внутриволоконная решетка, оболочки и защитного покрытия, отсутствующего в зоне внутриволоконной решетки, достигается тем, что в него дополнительно введены разветвитель, второй отрезок оптического волокна, аналогичный первому, с частично вытравленной оболочкой в зоне внутриволоконной решетки, и помещаемый в канал подачи топлива параллельно первому отрезку оптического волокна, и второй фотоприемник, при этом выход источника оптического излучения соединен со входом разветвителя, выходы которого через первый и второй отрезки оптических волокон соединены соответственно с входами первого и второго фотоприемников, а выход второго фотоприемника соединен со вторым входом блока обработки сигналов.

[10]

На фиг.1 изображена структурная схема устройства, где первый и второй отрезки оптического волокна помещены в канал подачи топлива.

[11]

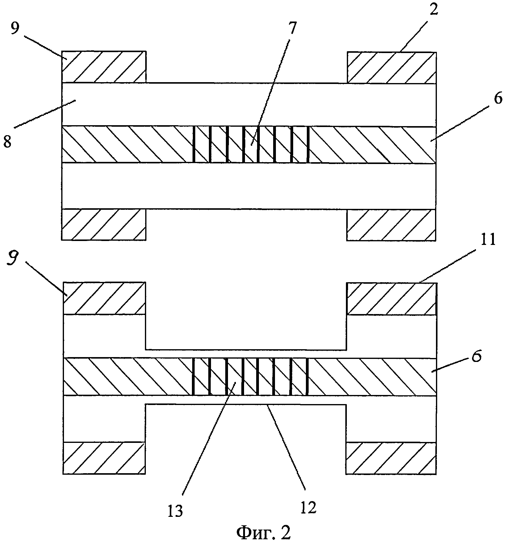
На фиг.2 схематично изображены в разрезе первый и второй отрезки оптического волокна.

[12]

На фиг.3 изображен алгоритм работы блока обработки сигналов.

[13]

Бортовое устройство оценки качества топлива (фиг.1, 2) содержит источник оптического излучения 1, первый отрезок оптического волокна 2, помещаемый в канал подачи топлива 3, и первый фотоприемник 4, соединенный с блоком обработки сигналов 5, при этом первый отрезок оптического волокна 2 состоит из сердцевины 6, внутри которой сформирована внутриволоконная решетка 7, оболочки 8 и защитного покрытия 9, отсутствующего в зоне внутриволоконной решетки 7. Бортовое устройство оценки качества топлива также содержит разветвитель 10, второй отрезок оптического волокна 11, аналогичный первому, с частично вытравленной оболочкой 12 в зоне внутриволоконной решетки 13, и помещаемый в канал подачи топлива 3 параллельно первому отрезку оптического волокна 2, и второй фотоприемник 14, при этом выход источника оптического излучения 1 соединен со входом разветвителя 10, выходы которого через первый 2 и второй 11 отрезки оптических волокон соединены соответственно с входами первого 4 и второго 14 фотоприемников, а выход второго фотоприемника 14 соединен со вторым входом блока обработки сигналов 5.

[14]

Представленные на фиг.1 источник оптического излучения 1, первый фотоприемник 4, блок обработки сигналов 5 и второй фотоприемник 14 имеют систему электропитания, не указанную на схеме.

[15]

Съем информации из блока обработки сигналов 5 осуществляется на индикатор, например светодиодный индикатор FYT-5631AUY-21, на фигуре не указанный.

[16]

Представленные на фиг.1 источник оптического излучения 1, разветвитель 10, первый фотоприемник 4, второй фотоприемник 14 и блок обработки сигналов 5 имеют стандартные опубликованные в литературе схемы.

[17]

На фиг.2 показаны первый 2 и второй 11 отрезки оптического волокна, состоящие из защитного покрытия 9, оболочки 8 и сердцевины 6, внутри которой сформированы соответственно внутриволоконные решетки 7 и 13. При этом первый отрезок оптического волокна 2 и второй отрезок оптического волокна 11 не имеют защитного покрытия 9 в зоне внутриволоконных решеток 7 и 13. Второй отрезок оптического волокна 11 отличается от первого отрезка оптического волокна 2 частично вытравленной оболочкой 12 в зоне внутриволоконной решетки 13.

[18]

Частично - это та величина вытравленной оболочки 12 второго отрезка оптического волокна 11, при которой наблюдается разность в эффективном показателе преломления оболочки первого отрезка оптического волокна 2 и второго отрезка оптического волокна 11, например 50%.

[19]

Определение качества автомобильного топлива заключается в детектировании изменения его коэффициента преломления. Согласно п.4.4 "ГОСТ 2084-77. Бензины автомобильные", бензин должен быть прозрачным и не содержать взвешенных и осевших на дно цилиндра посторонних примесей, в том числе и воды. Следовательно, детектирование показателя преломления автомобильного топлива позволит говорить о прозрачности топлива и определить его качество.

[20]

Рассмотрим бортовое устройство оценки качества топлива, изображенное на фиг.1, 2, в работе. Источник оптического излучения 1 генерирует широкополосное излучение, которое через разветвитель 10 подается к внутриволоконным решеткам 7 и 13 соответственно по первому 2 и второму 11 отрезкам оптического волокна, находящимся в непосредственном контакте с исследуемой средой в канале подачи топлива 3. При взаимодействии широкополосного излучения с исследуемой средой посредством внутриволоконных решеток 7 и 13, сформированных соответственно в первом 2 и втором 11 отрезках оптического волокна, происходит сдвиг резонансной длины волны спектра пропускания внутриволоконных решеток 7 и 13 в частотной области на комплексную величину изменения коэффициента преломления и температуры окружающей среды. Величина сдвига резонансной длины волны спектра пропускания внутриволоконной решетки 13 отличается от величины сдвига резонансной длины волны спектра пропускания внутриволоконной решетки 7 в силу частично вытравленной оболочки 12 второго отрезка оптического волокна 11.

[21]

Далее с помощью первого фотоприемника 4 принимают сигнал, пропущенный через внутриволоконную решетку 7, передаваемую от него по первому отрезку оптического волокна 2. С помощью второго фотоприемника 14 принимают сигнал, пропущенный через внутриволоконную решетку 13, передаваемую от него по второму отрезку оптического волокна 11. На выходах первого фотоприемника 4 и второго фотоприемника 14 образуются сигналы, амплитуды которых пропорциональны суммарному значению температуры и коэффициента преломления исследуемой жидкости. Далее сигналы с выходов первого фотоприемника 4 и второго фотоприемника 14 поступают на входы блока обработки сигналов 5.

[22]

Определение значения коэффициента преломления и температуры исследуемой жидкости в блоке обработки сигналов 5 происходит следующим образом. При одинаковой температуре исследуемой жидкости, воздействующей на внутриволоконную решетку 7 и внутриволоконную решетку 13, различная амплитуда сигналов на выходе первого фотоприемника 4 и второго фотоприемника 14 будет достигаться за счет различной величины эффективного показателя преломления оболочки 12 в чувствительной зоне внутриволоконной решетки 13 второго отрезка оптического волокна 11:

[23]

ΔT=λ1(nэффсnэффо)Λ(nэффсnэффо)Λγ(α+ξcnсξоnоnсnо),

[24]

nэффо=λ2nэффсλ1nэффсcλ1λ2λ1,

[25]

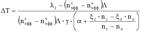
где λ1 и λ2 сигналы, поступившие на входы блока обработки сигналов 5 соответственно с выхода первого фотоприемника 4 и второго фотоприемника 14, nэффс - эффективный показатель преломления сердцевины 6 первого отрезка оптического волокна 2 и второго отрезка оптического волокна 11, nэффо - эффективный показатель преломления оболочки 8 в чувствительной зоне внутриволоконной решетки 7, сформированной в сердцевине 6 первого отрезка оптического волокна 2, с - разность эффективного показателя преломления оболочки 8 в чувствительной зоне внутриволоконной решетки 7 первого отрезка оптического волокна 2 и частично вытравленной оболочки 12 в чувствительной зоне внутриволоконной решетки 13 второго отрезка оптического волокна 11, Λ - период внутриволоконных решеток 7 и 13, γ -дисперсионный фактор, ξс и ξо - термо-оптические коэффициенты соответственно сердцевины 6 и оболочки 8 первого 2 и второго 11 отрезков оптических волокон, nс и nо - показатели преломления соответственно сердцевины 6 и оболочки 8 первого 2 и второго 11 отрезков оптических волокон, α - коэффициент термического расширения материала первого 2 и второго 11 отрезков оптических волокон, ΔT - температура измеряемой жидкости.

[26]

В блоке обработки сигналов 5 происходит сравнение амплитуд сигналов, полученных с выходов первого фотоприемника 4 и второго фотоприемника 14, и по заранее заложенному алгоритму, значениям эффективного показателя преломления сердцевины 6 первого 2 и второго 11 отрезков оптических волокон, разности эффективного показателя преломления оболочки 8 в чувствительной зоне внутриволоконной решетки 7 первого отрезка оптического волокна 2 и частично вытравленной оболочки 12 в чувствительной зоне внутриволоконной решетки 13 второго отрезка оптического волокна 11, периода внутриволоконных решеток 7 и 13, дисперсионного фактора, термо-оптических коэффициентов сердцевины 6 и оболочки 8 первого 2 и второго 11 отрезков оптических волокон, показателей преломления сердцевины 6 и оболочки 8 первого 2 и второго 11 отрезков оптических волокон и коэффициента термического расширения материала первого отрезка оптического волокна 2 и второго отрезка оптического волокна 11 однозначно определяют измеряемый параметр исследуемой жидкости.

[27]

По сравнению с бортовым устройством оценки качества топлива по прототипу, предложенное устройство позволяет разделить измерение показателя преломления и температуры исследуемой жидкости и учитывать ошибку измерения, вызванную нестабильностью температуры топлива.

[28]

Все это позволяет говорить о достижении решения поставленной технической задачи - повышении точности оценки качества топлива.

Как компенсировать расходы
на инновационную разработку
Похожие патенты